Программы вступительных испытаний, проводимых вузом самостоятельно
Магистратура
Настоящий раздел содержит официальные программы вступительных испытаний, проводимых Уфимским университетом науки и технологий (УУНиТ) самостоятельно при приёме на обучение по образовательным программам высшего образования.
В перечне представлены программы по общеобразовательным, профильным и творческим дисциплинам. Каждая программа включает следующие структурные элементы: цели и задачи вступительного испытания, содержание разделов и тем, перечень вопросов для подготовки, критерии оценивания, рекомендации по выполнению заданий, список рекомендуемой литературы и нормативных документов.
Обращаем внимание: содержание программ ежегодно актуализируется.
Профессиональная педагогика
ПРОГРАММА
вступительных испытаний
для поступающих в магистратуру по направлениям подготовки
44.04.01 «Педагогическое образование»,
44.04.03 «Специальное (дефектологическое) образование»
программы (профиль)
«Духовно-нравственное просвещение»
«Профессионально-педагогический инжиниринг в образовательной деятельности»,
«Проектирование и разработка образовательных программ»,
«История России»,
«Логопедическое сопровождение детей и взрослых»,
«Нейропсихологическое сопровождение в специальном (дефектологическом) образовании»
ОБЩИЕ ПОЛОЖЕНИЯ
Программа вступительного испытания в магистратуру составлена в соответствии с требованиями, устанавливаемыми государственным образовательным стандартом подготовки магистров по направлениям 44.04.01 «Педагогическое образование» (квалификация (степень) «магистр»), «Специальное (дефектологическое) образование» (квалификация (степень) «магистр»), а также с требованиями, предъявляемыми к профессиональной подготовленности выпускника по направлениям 44.04.01 «Педагогическое образование», 44.04.03 «Специальное (дефектологическое) образование».
Данная программа предназначена для подготовки к вступительному экзамену в магистратуру по направлениям 44.04.01 «Педагогическое образование», программа «Профессионально-педагогический инжиниринг в образовательной деятельности», «Проектирование и разработка образовательных программ», «История России»; 44.04.03 «Специальное (дефектологическое) образование», программ «Логопедия», «Нейропсихологическое сопровождение в специальном (дефектологическом) образовании».
Программа предназначена для лиц, имеющих дипломы бакалавра и специалиста, в том числе не обучавшихся ранее по направлениям Педагогическое образование, Специальное (дефектологическое) образование.
В результате обучения, после защиты выпускной квалификационной работы, выпускнику присуждается квалификация (степень) – магистр.
Вступительное испытание включает ключевые и практически значимые вопросы по теории и практике образования, отражающие содержание дисциплин профессиональной подготовки, предусмотренные федеральным государственным образовательным стандартом по направлениям 44.03.01 «Педагогическое образование», 44.03.03 «Специальное (дефектологическое) образование».
Вступительное испытание проводится очно и (или) с использованием дистанционных технологий (при условии идентификации поступающих при сдаче ими вступительных испытаний).
ПРОЦЕДУРА ВСТУПИТЕЛЬНОГО ИСПЫТАНИЯ
Дата и время проведения вступительного испытания и консультации определяются расписанием вступительных испытаний, которое утверждается председателем приемной комиссии.
Перед вступительным испытанием для поступающих проводится консультация по содержанию программы испытания, критериям оценки, предъявляемым требованиям, правилам поведения на испытании.
Форма вступительного испытания (в соответствии Положением о вступительных испытаниях УУНИТ): тестирование.
Вступительные испытания в виде электронного тестирования проводятся в соответствии с программами вступительных испытаний, утверждаемых председателем предметной комиссии.
Вступительные испытания в форме тестирования включают вопросы как закрытого, так и открытого типа, а также задания в аудио- и видеоформатах.
Составление вариантов экзаменационных заданий в форме электронных тестов осуществляется ответственным секретарем приемной комиссии университета.
Из вариантов экзаменационных заданий формируются комплекты вопросов-тестов.
Компоновку комплектов вопросов-тестов ответственный секретарь, заместитель ответственного секретаря производят до вступительных испытаний.
Тест содержит 40 тестовых вопросов.
Результаты испытаний оцениваются по 100 бальной шкале.
Абитуриент, не согласный с оценкой, полученной на ВИ и (или) в связи с нарушением процедуры проведения ВИ имеет право подать апелляцию. Процедура подачи и рассмотрения апелляции регламентируется Положением об апелляционной комиссии УУНиТ.
КРИТЕРИИ ОЦЕНИВАНИЯ ОТВЕТА
Критериями оценки экзаменационного ответа, поступающего в магистратуру являются полнота, логичность, доказательность, прочность, осознанность знаний и теоретическая обоснованность суждений, самостоятельность в интерпретации информации, практическая направленность, уровень овладения профессиональными умениями менеджера и др. В случае тестирования является правильные ответы на тестовые задания.
При проверке количество первичных баллов переводится в итоговую 100 балльную шкалу через информационную платформу университета.
СОДЕРЖАНИЕ РАЗДЕЛОВ И ТЕМ ПРОГРАММЫ ВСТУПИТЕЛЬНОГО ИСПЫТАНИЯ
- Перечень разделов и тем программы
Методология педагогической науки.
Объект, предмет, функции педагогики. Категории педагогики. Модели классификации наук. Место педагогики в различных концепциях классификации наук. Диалектическое взаимодействие педагогической науки и педагогической практики. Методы и логика педагогического исследования. Взаимосвязь методологии и методов педагогических исследований. Функции психолого-педагогических исследований в образовании. Образовательные стратегии. Роль педагогики и психологии в исследовании образования.
Содержание профессионально-педагогической деятельности педагога
Сущность и специфика педагогической деятельности. Мотивация, цель, содержание, виды и функции педагогической деятельности. Стили педагогической деятельности. Профессиональная компетентность и умения педагога. Профессиональные ошибки в деятельности педагога. Правовые аспекты профессиональной деятельности педагога Гуманистическая природа педагогической деятельности.
Инновационные образовательные процессы
Инновационные образовательные процессы. Система непрерывного образования. Создания гуманистической системы воспитания и образования в нашей стране
Новые информационные технологии. Стандартизация образования.
Компетентностный подход в современном российском образовании
Понятия: компетенция и компетентность. Этапы становления компетентностного подхода в образовании. Образовательные компетенции: ключевые, общепредметные, предметные. Особенности их формирования. Особенности ключевых компетенций: многофункциональность,
междисциплинарность, многомерность.
Требования к подготовке современного педагога Профессиональный стандарт педагога: концепция и содержание.
Профессиональные компетенции педагога. Профессиональная компетентность учителя. Профессиональные задачи педагога. Оценка профессиональной компетентности учителя на разных этапах его профессиональной карьеры.
Сущность и структура педагогического процесса
Содержательные характеристики педагогического процесса. Закономерности педагогического процесса. Принципы педагогического процесса. Этапы реализации педагогического процесса.
Современные концепции обучения, их характеристика
Типы концепций обучения: бихевиористская концепция, парадигмальная концепция, кибернетическая концепция, управленческая модель обучения. Концепции сотрудничества. Современные теории и концепции: ассоциативно-рефлекторная, поэтапного формирования умственных действий, проблемного обучения, развивающего обучения.
Современные модели организации обучения.
Единство преподавания и учения как сотворчество педагога и обучающегося. Гуманистическая направленность и личностный характер обучения. Современные модели организации обучения. Личностно- ориентированное, интегрированное, развивающее обучение.
Личностный подход как принцип реализации образовательно- воспитательной среды. Личностный подход. Индивидуальный подход. Дифференцированный подход. Ребенок как субъект педагогического процесса. Педагог как субъект педагогического процесса. Родители как субъекты педагогического процесса.
Понятие о воспитательных системах
Понятие о воспитательных системах. Классические концепции воспитания. Современные концепции, ориентированные на коллективное воспитание В.А. Караковский, Л.И. Новикова. Концепции социального воспитания А.В. Мудрик, Г.Н. Филонов. Личностно-ориентированные культурологические концепции Е.П. Белозерцев, Е.В. Бондаревская. Стратегии воспитания в современной России. Интеграция школы и дополнительного образования. Детский сад – школа. Авторские школы.
Научно-теоретические основы управления образовательными системами
Объекты и субъекты государственного управления. Органы управления образованием. Государственно-общественный характер управления образованием. Взаимодействие социальных институтов в управлении образовательными системами. Проблемы обеспечения качества образования. Критерии качества деятельности образовательных учреждений.
Правовое положение участников образовательного процесса Участники образовательного процесса. Виды и основы правового
статуса. Типы виды полномочия образовательных учреждений. Права и
обязанности обучающихся. Международные и российские нормативные акты.
Современные педагогические технологии, их классификация Сущность технологического подхода в обучении и воспитании.
Структура педагогических технологий. Особенности проектирования педагогических технологий. Классификация педагогических технологий.
Педагогическое взаимодействие в условиях образовательной организации
Основы субъект-субъектного взаимодействия участников образовательного процесса. Стили педагогического взаимодействия. Стратегии педагогического взаимодействия. Принципы, формы и методы педагогического взаимодействия педагога с родителями обучающихся. Феномены педагогического взаимодействия. Коммуникативные задачи педагогического взаимодействия.
Сотрудничество в педагогическом процессе.
Педагогическое взаимодействие в воспитании. Понятие о педагогическом общении. Роль общения в воспитательном процессе. Коллектив и индивидуальность. Коллектив как объект и субъект воспитания.
Перечень вопросов для подготовки к тестированию
-
-
-
- Объект, предмет, функции педагогики.
- Категории педагогики.
- Диалектическое взаимодействие педагогической науки и
-
-
педагогической практики.
-
-
-
- Методы и логика педагогического исследования.
- Взаимосвязь методологии и методов педагогических исследований.
- Роль педагогики и психологии в исследовании образования.
- Сущность и специфика педагогической деятельности.
- Цель, содержание, виды и функции педагогической деятельности.
- Правовые аспекты профессиональной деятельности педагога
- Гуманистическая природа педагогической деятельности. 11.Инновационные образовательные процессы.
-
-
- Система непрерывного образования.
- Создание гуманистической системы воспитания и образования в нашей стране.
- Новые информационные технологии в образовании.
- Образовательные компетенции: ключевые, общепредметные,
предметные. Особенности их формирования.
- Особенности ключевых компетенций: многофункциональность, междисциплинарность, многомерность.
- Профессиональный стандарт педагога: концепция и содержание.
- Профессиональные компетенции педагога.
- Содержательные характеристики педагогического процесса.
- Закономерности педагогического процесса.
- Принципы педагогического процесса.
- Этапы реализации педагогического процесса.
- Единство преподавания и учения как сотворчество педагога и обучающегося.
- Гуманистическая направленность и личностный характер обучения.
- Современные модели организации обучения.
- Личностно-ориентированное, интегрированное, развивающее обучение.
- Личностный подход как принцип реализации образовательно- воспитательной среды.
- Ребенок как субъект педагогического процесса.
- Педагог как субъект педагогического процесса.
- Родители как субъекты педагогического процесса.
- Понятие о воспитательных системах.
- Классические концепции воспитания.
- Современные концепции, ориентированные на коллективное воспитание (В.А. Караковский, Л.И. Новикова).
- Концепции социального воспитания (А.В. Мудрик, Г.Н. Филонов).
- Личностно-ориентированные культурологические концепции (Е.П.
Белозерцев, Е.В. Бондаревская).
36.Стратегии воспитания в современной России.
37.Интеграция школы и дополнительного образования.
38.Авторские школы.
- Органы управления образованием.
- Государственно-общественный характер управления образованием
- Взаимодействие социальных институтов в управлении
образовательными системами.
- Проблемы обеспечения качества образования.
- Критерии качества деятельности образовательных учреждений. 44.Участники образовательного процесса.
45.Типы виды полномочия образовательных учреждений. 46.Права и обязанности обучающихся.
- Международные и российские нормативные акты в области образования.
- Сущность технологического подхода в обучении и воспитании.
- Структура педагогических технологий.
50.Особенности проектирования педагогических технологий.
51.Классификация педагогических технологий.
- Основы субъект-субъектного взаимодействия участников образовательного процесса.
- Стили педагогического взаимодействия.
- Стратегии педагогического Формы и методы педагогического взаимодействия педагога с родителями обучающихся.
- Коммуникативные задачи педагогического взаимодействия.
- Педагогическое взаимодействие в воспитании.
- Роль общения в воспитательном процессе.
- Проблема коллектива и личности в педагогике.
- Коллектив как объект и субъект воспитания.
Демоверсия экзаменационного варианта
Профессиональная педагогика – тестирование для поступающих в магистратуру по направлениям 44.04.01 Педагогическое образование,
44.04.03 Специальное (дефектологическое) образование
Вариант 1
1: Нормативный документ, обеспечивающий реализацию государственного образовательного стандарта с учетом региональных (национальных) особенностей, типа и вида образовательного учреждения, образовательных потребностей и запросов обучающихся (воспитанников) - это:
а: программа развития образовательного учреждения
б: основная образовательная программа образовательного учреждения в: базисный учебный план
г-: дополнительная образовательная программа
2: Система ценностных отношений обучающихся, сформированных в образовательном процессе, - это:
а: личностные результаты
б: метапредметные результаты в: предметные результаты
г: познавательные УУД
3: Прогностическая функция педагогики заключается в…
а: обоснованном предвидении развития педагогической реальности
б: совершенствовании педагогической практики, разработке новых методов, средств, форм, системы обучения, воспитания
в: теоретическом анализе закономерностей педагогического процесса г: вооружении учащихся системой научных знаний, умений и навыков
4: Функции и движущие силы процесса обучения, его логику и структуру исследует… а: дидактика
б: общая педагогика
в: методология педагогики г: философия образования
5: В структуре учебного плана выделяют и части. а: инвариантную и вариативную
б: региональную и федеральную
в: содержательную и методическую г: вариативную и обязательную
СПИСОК ЛИТЕРАТУРЫ
Основная литература:
- Беспалько В.П. Слагаемые педагогических технологий. - М.,2005.
- Бондаревская Е.В. Теория и практика личностно ориентированного образования. -Ростов н/Дону,2000.
- Бордовская Н. В. Психология и педагогика : учебник для вузов / Н. В. Бордовская, С. И. Розум . – СПб. идр. : Питер, 2014. – 621 с.
- Загвязинский В.И., Емельянова И.Н. Теория обучения и воспитания – М., 2013
- Иванов Е. В. История и методология педагогики и образования: учеб.пособие для бакалавриата и магистратуры / Е. В. Иванов. – 2-е изд., испр. – М.: Юрайт, 2019. – 173 с.
- Коджаспирова Г. М. Педагогика: учебник для академического бакалавриата, обуч. по пед. спец.(ОПД.Ф.02-Педагогика) / Г. М. Коджаспирова. – 4-е изд., перераб. и доп. – М.: Юрайт, 2019. – 719 с.
- Латышина, Д. И. История отечественной педагогики и образования : учебник для академического бакалавриата / Д. И. Латышина. – М.: Юрайт, 2019. – 260 с.
- Методика воспитательной работы: учебное пособие для студентов / А. М. Руденко [и др.]; под ред. А. М. Руденко. – Ростов-на-Дону: Феникс, 2015. – 283 с.
- Педагогика: учебник и практикум для академ. бакалавриата / Б. З. Вульфов [и др.] /Под ред. П. И. Пидкасистого. – 4-е изд., испр. и доп. – М.: Юрайт, 2016. – 511 с
- Педагогика: учебник и практикум / Л. П. Крившенко, Л. В. Юркина. – М.: Проспект, 2018. – 240 с.
- Пешкова В. Е. Педагогика: курс лекций: учебное пособие, Ч. 2. Общие основы педагогики. – М.: Директ-Медиа 2015 - 121 с.
- Пешкова В. Е. Педагогика: курс лекций: учебное пособие, Ч. 3. Теория и методика воспитания. - М.: Директ-Медиа 2015 - 161 с.
- Пешкова В. Е. Педагогика: курс лекций: учебное пособие, Ч. 5. Педагогические технологии в начальном образовании. - М.: Директ-Медиа 2015 - 438 с.
- Психология и педагогика: учебник для бакалавров / П. И. Пидкасистый [и др.]; отв. ред. П. И. Пидкасистый. – 3-е изд., перераб. и доп. – М.: Юрайт, 2019. –724 с.
- Сластенин В.А. и др. Педагогика Учеб.пособие для студ. высш. пед. учеб. заведений / В. А. Сластенин, И. Ф. Исаев, Е. Н. Шиянов; Под ред. В.А. Сластенина. - М.: Издательский центр «Академия», 2013. - 576 с.
- Фоминова А.Н., Шабанова Т.Л. Педагогическая психология: учебное пособие. – М.: Флинта; Наука, 2011. – 333 с.
Дополнительная литература:
- Бороздина, Г. В. Психология и педагогика : учеб.для студ. вузов, обуч. по дисциплине Психология и педагогика / Г. В. Бороздина .— 2-е изд., испр. и доп. — Москва : Юрайт, 2016 .— 477 с.
- Безрукова, В.С. . Педагогика : учеб. пособ. по напр. 050100 Пед. образование / В. С. Безру-кова .— Ростов-на-Дону : Феникс, 2013 .— 381 с.
- Педагогика : учебник и практикум для академ. бакалавриата / Б. З. Вульфов [и др.] /Под ред. П. И. Пидкасистого .— 4-е изд., испр. и доп. — Москва : Юрайт, 2016 .— 511 с.
- Психология и педагогика : учебник для бакалавров / П. И. Пидкасистый [и др.] ; отв. ред. П. И. Пидкасистый. — 3-е изд., перераб. и доп. — Москва : Издательство Юрайт, 2019. — 724 с. — (Серия : Бакалавр. Академический курс). — URL: https://www.biblio-online.ru/bcode/425162
- Иванов, Е. В. История и методология педагогики и образования : учеб.пособие для бака-лавриата и магистратуры / Е. В. Иванов. — 2-е изд., испр. — Москва : Издательство Юрайт, 2019. — 173 с. — URL: https://www.biblio-online.ru/bcode/438820
- Князев, Е. А. История зарубежного образования и педагогики : учеб.пособие для академического бакалавриата / Е. А. Князев. — Москва : Издательство Юрайт, 2019. — 302 с. — URL: https://www.biblio- online.ru/bcode/433953 5.2.
Политест 15.23.27
ПРОГРАММА
вступительных испытаний
для поступающих в магистратуру по направлениям подготовки
15.04.04 «Автоматизация технологических процессов и производств»,
-
-
- «Технология транспортных процессов»,
-
27.04.01 «Стандартизация и метрология»,
27.04.02 «Управление качеством»,
27.04.05 «Инноватика»
программы (профиль)
«Автоматизация и управление технологическими процессами и производствами»,
«Транспортная логистика»,
«Системы метрологического обеспечения измерений, стандартизации и качества»,
«Управление качеством»,
«Инновационные системы в промышленности»
ОБЩИЕ ПОЛОЖЕНИЯ
Вступительные испытания предназначены для определения практической и теоретической подготовленности поступающего в магистратуру и проводятся с целью определения соответствия знаний умений и навыков требованиям обучения магистратуры по направлениям подготовки 15.04.04 «Автоматизация технологических процессов и производств» (магистратура), 23.04.01 «Технология транспортных процессов» (магистратура), 27.04.01 «Стандартизация и метрология» (магистратура), 27.04.02 «Управление качеством» (магистратура), 27.04.05 «Инноватика» (магистратура). Программа составлена в соответствии с требованиями федерального государственного образовательного стандарта высшего профессионального образования.
Вступительные испытания в магистратуру проводят экзаменационные комиссии, назначенные председателем приёмной комиссии УУНиТ.
ПРОЦЕДУРА ВСТУПИТЕЛЬНОГО ИСПЫТАНИЯ
Дата и время проведения вступительного испытания и консультации определяются расписанием вступительных испытаний, которое утверждается председателем приемной комиссии.
Перед вступительным испытанием для поступающих проводится консультация по содержанию программы испытания, критериям оценки, предъявляемым требованиям, правилам поведения на испытании.
Форма вступительного испытания (в соответствии Положением о вступительных испытаниях УУНИТ): тестирование.
Вступительные испытания в виде электронного тестирования проводятся в соответствии с программами вступительных испытаний, утверждаемых председателем предметной комиссии.
Вступительные испытания в форме тестирования включают вопросы как закрытого, так и открытого типа, а также задания в аудио- и видеоформатах.
Составление вариантов экзаменационных заданий в форме электронных тестов осуществляется ответственным секретарем приемной комиссии университета.
Из вариантов экзаменационных заданий формируются комплекты вопросов-тестов.
Компоновку комплектов вопросов-тестов ответственный секретарь, заместитель ответственного секретаря производят до вступительных испытаний.
Тест содержит 40 тестовых вопросов.
Результаты испытаний оцениваются по 100 бальной шкале.
Абитуриент, не согласный с оценкой, полученной на ВИ и (или) в связи с нарушением процедуры проведения ВИ имеет право подать апелляцию. Процедура подачи и рассмотрения апелляции регламентируется Положением об апелляционной комиссии УУНиТ.
КРИТЕРИИ ОЦЕНИВАНИЯ ОТВЕТА
Критериями оценки экзаменационного ответа, поступающего в магистратуру являются полнота, логичность, доказательность, прочность, осознанность знаний и теоретическая обоснованность суждений, самостоятельность в интерпретации информации, практическая направленность, уровень овладения профессиональными умениями менеджера и др. В случае тестирования является правильные ответы на тестовые задания.
При проверке количество первичных баллов переводится в итоговую 100 балльную шкалу через информационную платформу университета.
СОДЕРЖАНИЕ РАЗДЕЛОВ И ТЕМ ПРОГРАММЫ ВСТУПИТЕЛЬНОГО ИСПЫТАНИЯ
Содержание программы по дисциплине ‹Иностранный язык›
- Лексика
Знать 4000 единиц общей и терминологической лексики по специальности, необходимых для чтения литературы, извлечения информации из оригинального текста по научной специальности.
- Грамматика
Структура предложения. Части речи и члены предложения. Структура времен (активный/пассивный залоги). Неличные формы глагола: инфинитив, инфинитивные обороты; причастие, причастные обороты. Структура сложноподчиненного предложения. Сослагательное наклонение.
- Чтение
Ознакомительное чтение с целью определения истинности / ложности утверждения. Поисковое чтение с целью определения наличия или отсутствия в тексте запрашиваемой информации. Изучающее чтение с элементами анализа информации. Изучающее чтение с элементами аннотирования. Изучающее чтение с элементами сопоставления. Изучающее чтение с выделением главных компонентов содержания текста.
- Речевой этикет
Профессионально-деловая сфера: уметь продемонстрировать адекватную формулу речевого этикета профессионально-деловой сферы. Учебно-социальная сфера: понимать и адекватно подбирать ответную реплику, соответствующую ситуации общения. Социально-деловая сфера: продемонстрировать навыки общения в заданной ситуации, предложенной в рамках ролевой игры.
- Письмо
Оформление делового письма: размещение адресов отправителя, получателя, стиль обращения; оформление содержательной составляющей письма, заключительные фразы. Оформление конверта: правильное размещение адресов. Оформление резюме: основные пункты, стиль изложения. Оформление письма-заявления, письма-уведомления, письма- запроса, контракта: знание речевых клише, форм обращения. Оформление электронного сообщения, факса, служебной записки, повестки дня: знание правил составления, пунктуации, форм завершения письменной информации.
Содержание программы по дисциплине «Математика»
- Аналитическая геометрия
- Прямая на плоскости. Общее, каноническое и параметрическое уравнение прямой. Нормальное уравнение прямой. Расстояние от точки до прямой. Взаимное расположение двух прямых. Угол между двумя прямыми.
- Плоскость в пространстве. Общее уравнение плоскости. Нормальное уравнение плоскости. Расстояние от точки до плоскости. Угол между плоскостями.
- Прямая в пространстве. Общие уравнения прямой, канонические уравнения прямой и параметрические уравнения прямой. Угол между прямыми в пространстве.
- Прямая и плоскость в пространстве. Взаимное расположение прямой и плоскости в пространстве. Угол между прямой и плоскостью.
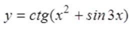
- Математический анализ
1) Непрерывность функции. Точки разрыва функции и их классификация.
2) Производная функции, ее геометрический смысл. Основные правила дифференцирования. Уравнение касательной и нормали к плоской кривой. Производная сложной функции.
3) Условие возрастания и убывания функций. Точки экстремума. Достаточные признаки максимума и минимума. Отыскание наибольших и наименьших значений непрерывной на отрезке функции. Исследование на максимум и минимум с помощью производных Высших порядков. Исследование функций на выпуклость. Точки перегиба. Асимптоты кривой
4) Первообразная. Неопределенный интеграл и его свойства. Замена переменной, интегрирование по частям. Интегрирование рациональных функций. Интегрирование тригонометрических функций. Интегрирование иррациональных функций.
5) Определение определенного интеграла. Формула Ньютона-Лейбница. Основные свойства определенного интеграла. Замена переменной и интегрирование по частям в определенном интеграле.
- Комплексный анализ
- Комплексные числа. Геометрическая, тригонометрическая и показательная форма комплексного числа. Арифметические действия над комплексными числами, сложение, вычитание, умножение и деление.
- Функции комплексного переменного. Дифференцирование функции комплексного переменного. Условия Коши-Римана. Пространство аналитических функций.
- Теорема Коши и интегральная формула Коши.
- Особые точки аналитических функций. Вычеты, способы их вычисления, основная теорема о вычетах. Применение вычетов для вычисления интегралов.
- Дифференциальные уравнения
- Дифференциальные уравнения с разделяющимися переменными. Однородные дифференциальные уравнения. Линейные дифференциальные уравнения 1 порядка. Уравнение Бернулли.
- Линейные однородные дифференциальные уравнения 2 порядка с постоянными коэффициентами. Линейные неоднородные дифференциальные уравнения 2 порядка с постоянными коэффициентами. Метод неопределенных коэффициентов.
- Теория вероятностей
- Виды случайных событий. Теоремы сложения и умножения вероятностей, вероятность суммы событий, вероятность произведения событий. Независимые события.
- Формула полной вероятности и формула Байеса.
- Дискретная случайная величина и ее закон распределения. Функция распределения случайной величины. Числовые характеристики дискретных случайных величин.
- Непрерывная случайная величина и ее закон распределения. Плотность распределения и функция распределения. Числовые характеристики непрерывных случайных величин.
Содержание программы по дисциплине ‹Информатика»
- Основные понятия и методы теории информатики и кодирования.
Общая характеристика процессов сбора, передачи, обработки и накопления информации. Сообщения, данные, сигнал, атрибутивные свойства информации, показатели качества информации, формы представления информации. Системы передачи информации. Меры и единицы количества и объема информации. Позиционные системы счисления. Логические основы ЭВМ.
- Технические средства реализации информационных процессов.
История развития ЭВМ. Понятие и основные виды архитектуры ЭВМ. Состав и назначение основных элементов персонального компьютера, их характеристики. Запоминающие устройства: классификация, принцип работы, основные характеристики. Устройства ввода/вывода данных, их разновидности и основные характеристики.
- Программные средства реализации информационных процессов.
Понятие системного и служебного (сервисного) программного обеспечения: назначение, возможности, структура. Операционные системы. Файловая структура операционных систем. Операции с файлами. Технологии обработки текстовой информации. Электронные таблицы. Технологии обработки графической информации. Средства электронных презентаций. Системы управления базами данных. Основы баз данных и знаний.
- Алгоритмизация и программирование.
Понятие алгоритма и его свойства. Блок-схема алгоритма. Основные алгоритмические конструкции. Базовые алгоритмы. Программы линейной структуры. Операторы ветвления, операторы цикла.
- Локальные и глобальные сети ЭВМ. Защита информации в сетях.
Сетевые технологии обработки данных. Основы компьютерной коммуникации. Принципы организации и основные топологии вычислительных сетей. Сетевой сервис и сетевые стандарты. Защита информации в локальных и глобальных компьютерных сетях.
- Технологии программирования. Языки программированная высокого уровня.
Этапы решения задач на компьютерах. Понятие о структурном программировании. Модульный принцип программирования. Подпрограммы. Принципы проектирования программ сверху-вниз и снизу- вверх. Объектно-ориентированное программирование. Эволюция и классификация языков программирования. Основные понятия языков программирования. Структуры и типы данных языка программирования. Трансляция, компиляция и интерпретация
Содержание программы по дисциплине «Метрология и стандартизация»
- Физические величины, методы и средства их измерений
Физические величины и шкалы измерений. Международная система единиц SI. Виды и методы измерений. Общие сведения о средствах измерений (CFl).
- Погрешности измерений, обработка результатов, выбор средств измерений
Погрешности измерений, их классификация. Обработка результатов однократных измерений. Обработка результатов многократных измерений. Выбор средств измерений по точности.
- Основы обеспечения единство измерений (ОЕИ)
Организационные основы ОЕИ. Научно - методические и правовые основы ОЕИ. Технические основы OEH. Государственный метрологический контроль и надзор.
- Стандартизация
Стандартизация в Российской Федерации. Основные принципы и теоретическая база стандартизации. Методы стандартизации. Международная стандартизация.
Демоверсия экзаменационного варианта
1. В первой урне 2 белых и 8 черных шаров. Во второй урне 4 белых и 6 черных шаров. Из наудачу взятой урны вынули один шар. Тогда вероятность того, что этот шар окажется белым, равна…
A) 0,3
B) 0,1
C) 0,35
D) 0,6
2. Для хранения изображения экрана разрешением 1024 х 768 пикселей с глубиной цвета 8 бит понадобится ____ килобайт дискового пространства.
A) 768
B) 8
C) 124
D) 1024
3. Качественной характеристикой физической величины является …
A) размерность
B) размер
C) погрешность измерения
D) постоянство во времени
- Заполните пропуск
Don’t you know that Alex ___ next month?
Выберите один ответ:
1) have got married
2) got married
3) is getting married
4) gets married
СПИСОК ЛИТЕРАТУРЫ
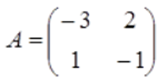
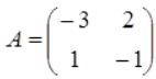
- Беклемишев Д. В. Курс аналитической геометрии и линейной алгебры. М.: Физматлит, 2007.
- Проскуряков И.В. Сборник задач по линейной алгебре. СЛб: Лань, 2008.
- Беклемишева Л.А. Сборник задач по аналитической геометрии и линейной алгебре. М.: Физматлит, 2006.
- Ефимов Н.В. Линейная алгебра и многомерная геом етрия. М.: Физматлит, 2004.
- Ильин В.А. , Позняк Э.Г. Основы математического анали з а . Т. 1, 2. М.: Фи з матл ит, 2009.
- Фихтенгольц Г.М . Курс дифференциального и интегрального исчислени я . Т. 1, 2, 3. М.: Физматлит, 2003, 2007, 2008.
- Демидович Б .П. Сборник задач и упражнений по математическому анализу. М.: Астрель, 2007.
- Кудрявцев Л.Д, Кутасов А.Д., Чехлов В.И., Шабунин М.И. Сборник задач по математическому анализу. В 3 - х т. М. : Физматлит, 2003.
- Иванов М.Н. Детали машин: Учеб. для студ. втузов / М.Н.Иванов, В.А.Финогенов; ред. В.А.Козлов. - 12-е испр. - М.:Высшая школа. 2003.- 408 с . ISBN 978-5-06-005678-2
- Дунаев П.Ф. Конструирование узлов и деталей машин: Учеб. пособие для вузов / П.Ф.Дунаев, О.П.Леликов. - 10-е изд., перераб. и доп. - М.: Академия, 2004. - 496 с. ISBN 978-5-7695-4929-8
- Атлас конструкций узлов и деталей машин : Учебн. Пособие/Б.А.Байков, А.В.Клыпин, И.К.Гамулич и др.; Под ред. О.А.Ряховског. - М.: МГТУ им. Н.Э.Баумана, 2007. - 384 с. ISBN 5-7038-2734-5
- Рощин Г.И., Самойлов Е.А. и др. Детали машин и основы конструирования: Дрофа, 2006. Формат PDF, р-р 523 Мб; JSBN: 5-7107- 80863.
- Олофинская В.П. Детали машин. Краткий курс и тестовые задания. - Форум, 2006. JSBN; 5-91134-005-4; 5-16-002523-5; Формат PDF.
- Дудко Т.А. Детали машин и основы конструирования учебное пособие для курсового проектирования. Программа АРМ Winmashine modul АРМ.
- Бучаков Ю.В. Элементы конструирования деталей машин. - Омск, 2005, формат dok; р - р 1,22 Мб. Для сайта: MirKnig.com.
- Алексеев Н . А., Джанай В . В., Серпичева Е.В. Основы проектирования и конструирования деталей машин и механизмов. - М.: МАИ,2006, формат pdf.
- Ерохин М.Н. Детали машин и основы конструирования: Колосс, 2005, формат djvu, JSBN: 5-9532-0044-7.
- Арзамасов Б.Н. Материаловедение. М.: Машиностроение, 2002. - 400 с., ил.
- Солнцев Ю.П., Пряхин Е.И. Материаловедение: Учебник для вузов. Изд.3-е перераб. и доп. - СПб.: ХИМИЗДАТ, 2004. - 736 с.: ил.
- Фетисов Г.П., Карпман М.Г., Матюнин В.М. и др. Материаловедение и технология металлов: Учеб. для студентов машиностроит.спец.вузов. - 4-е изд., испр. - М.: Высш.шк. , 2006. - 862 с.; ил.
- Конструкционные материалы: Справочник. Под общ.ред. Б.Н.Арзамасова. - М.: Машиностроение, 1990. - 688 с.
- Строение и свойства авиационных материалов. Учебник дл я вузов.
Под ред акад. Белова А.Ф., д.т.н., проф. Николенко В.В. - М.: Металлургия, 1989. - 368 с.
- Зарипова Р.Г. Материаловедение. Электронное учебное пособие. Уфа: УГ АТУ, 2002. Ugatu@ac/da/ru/otim.
Политест 13.24.25
ПРОГРАММА
вступительных испытаний
для поступающих в магистратуру по направлениям подготовки
13.04.01 «Теплоэнергетика и теплотехника»,
13.04.03 «Энергетическое машиностроение»,
24.04.04 «Авиастроение»,
24.04.05 «Двигатели летательных аппаратов»,
25.04.01 «Техническая эксплуатация летательных аппаратов и
двигателей»
программы (профиль)
«Теплоэнергетика и теплотехника»,
«Энергетическое машиностроение»,
«Авиастроение»,
«Авиационные воздушно-реактивные двигатели»,
«Техническая эксплуатация летательных аппаратов и двигателей»
ОБЩИЕ ПОЛОЖЕНИЯ
Вступительные испытания предназначены для определения практической и теоретической подготовленности поступающего в магистратуру и проводятся с целью определения соответствия знаний умений и навыков требованиям обучения магистратуры по направлениям подготовки 13.04.01 «Теплоэнергетика и теплотехника» (магистратура), 13.04.03 «Энергетическое машиностроение» (магистратура), 24.04.04 «Авиастроение» (магистратура), 24.04.05 «Двигатели летательных аппаратов» (магистратура), 25.04.01 «Техническая эксплуатация летательных аппаратов и двигателей» (магистратура). Программа составлена в соответствии с требованиями федерального государственного образовательного стандарта высшего профессионального образования.
Вступительные испытания в магистратуру проводят экзаменационные комиссии, назначенные председателем приёмной комиссии УУНиТ.
ПРОЦЕДУРА ВСТУПИТЕЛЬНОГО ИСПЫТАНИЯ
Дата и время проведения вступительного испытания и консультации определяются расписанием вступительных испытаний, которое утверждается председателем приемной комиссии.
Перед вступительным испытанием для поступающих проводится консультация по содержанию программы испытания, критериям оценки, предъявляемым требованиям, правилам поведения на испытании.
Форма вступительного испытания (в соответствии Положением о вступительных испытаниях УУНИТ): тестирование.
Вступительные испытания в виде электронного тестирования проводятся в соответствии с программами вступительных испытаний, утверждаемых председателем предметной комиссии.
Вступительные испытания в форме тестирования включают вопросы как закрытого, так и открытого типа, а также задания в аудио- и видеоформатах.
Составление вариантов экзаменационных заданий в форме электронных тестов осуществляется ответственным секретарем приемной комиссии университета.
Из вариантов экзаменационных заданий формируются комплекты вопросов-тестов.
Компоновку комплектов вопросов-тестов ответственный секретарь, заместитель ответственного секретаря производят до вступительных испытаний.
Тест содержит 40 тестовых вопросов.
Результаты испытаний оцениваются по 100 бальной шкале.
Абитуриент, не согласный с оценкой, полученной на ВИ и (или) в связи с нарушением процедуры проведения ВИ имеет право подать апелляцию. Процедура подачи и рассмотрения апелляции регламентируется Положением об апелляционной комиссии УУНиТ.
КРИТЕРИИ ОЦЕНИВАНИЯ ОТВЕТА
Критериями оценки экзаменационного ответа, поступающего в магистратуру являются полнота, логичность, доказательность, прочность, осознанность знаний и теоретическая обоснованность суждений, самостоятельность в интерпретации информации, практическая направленность, уровень овладения профессиональными умениями менеджера и др. В случае тестирования является правильные ответы на тестовые задания.
При проверке количество первичных баллов переводится в итоговую 100 балльную шкалу через информационную платформу университета.
СОДЕРЖАНИЕ РАЗДЕЛОВ И ТЕМ ПРОГРАММЫ ВСТУПИТЕЛЬНОГО ИСПЫТАНИЯ
Содержание программы по дисциплине «Детали машин»
Классификация механизмов, узлов и деталей. Основы проектирования механизмов, стадии разработки. Требования к деталям. Критерии работоспособности, влияющие на них факторы.
- Соединения деталей машины
- Резьбовые соединения
Резьба. Основные понятия и определения. Геометрические параметры метрической резьбы. Методы изготовления резьбы. Анализ конструкций соединений основными крепежными деталями (болтом, винтом и шпилькой). Анализ способов стопорения резьбовых соединений. Теория винтовой пары. Зависимость между моментом, приложенным к гайке, и осевой силой на винте. Самоторможение и к.п.д. винтовой пары. Самоторможение и к.п.д. винтовой пары. Распределение осевой нагрузки по виткам резьбы. Критерии работоспособности и расчета подшипников качения. Расчет резьбы на прочность. Анализ конструкций болтового соединения, выполненного одиночным болтом, поставленным в отверстие с зазором, и болтом, поставленным в отверстие из-под развертки (с натягом). Расчет на прочность стержня затянутого болта при отсутствии внешней нагрузки. Расчет болтового соединения, выполненного в двух вариантах конструкции и нагруженного сдвигающей по стыку силой. Расчет предварительно затянутого болта, когда внешняя нагрузка раскрывает стык деталей соединения. Расчет соединений, включающих группу болтов.
-
- Сварные соединения
Общая характеристика. Типы сварных соединений и сварных швов. Расчет сварных швов нахлесточного соединения, нагруженного силой. Расчет на прочность угловых сварных швов нахлесточного соединения, нагруженного моментом. Расчет на прочность сварных швов таврового соединения.
-
- Шпоночные и зубчатые (шлицевые) соединения.
Конструкции разъемного соединения призматической шпонкой и ее разновидностями. Подбор стандартной призматической шпонки и расчет шпоночного соединения на прочность. Шлицевое (зубчатое) соединение. Способы центрирования прямобочного шлицевого соединения. Условное обозначение соединения прямобочными шлицами.
- Передачи и корпусные детали
- Механические передачи. Зубчатые передачи.
Механические передачи. Классификация, основные характеристики. Важнейшие силовые зависимости в передаче. Зубчатые передачи. Классификация. Область применения. Кинематическая схема трехступенчатой двухпоточной (в одной какой-либо ступени) зубчатой передачи. Основные геометрические и кинематические параметры эвольвентной цилиндрической зубчатой передачи. Виды разрушения зубьев зубчатых колес. Основные критерии расчетов зубьев на прочность. Коэффициент расчетной нагрузки в зубчатых передачах. Контактная прочность прямозубых цилиндрических передач. Расчет зубьев прямозубых цилиндрических колес по напряжениям изгиба. Косозубые цилиндрические передачи. Основные особенности расчета зубьев косозубых передач по контактным напряжениям. Конические зубчатые передачи. Особенности геометрии, кинематики, изготовления и сборки конических прямозубых передач. Особенности расчета зубьев конических прямозубых передач по контактным напряжениям. Особенности расчета зубьев конических прямозубых колес по напряжениям изгиба. Определение допускаемых напряжений при расчетах зубчатых передач на выносливость. Усилия в косозубой цилиндрической передаче. Усилия в зацеплении ортогональных прямозубых конических колес.
-
- Червячные передачи.
Кинематика червячных передач. Коэффициент полезного действия передачи. Усилия в червячном зецеплении. Усилия в червячном зацеплении.
-
- Основные типы фрикционных передач и вариаторов.
Кинематические и силовые зависимости в передаче. Диапазон
регулирования вариаторов.
-
- Ременные передачи
Область применения. Основные геометрические и кинематические характеристики. Анализ конструкций элементов клиноременной передач. Усилия в ремне работающей передачи с гибкой связью. Напряжения в ремне работающей передачи с гибкой связью. Скольжение в ременной передаче. Кривые скольжения и КПД. Клиноременная передача.
-
- Цепные передачи
Область применения. Основные геометрические и кинематические характеристики. Конструкция приводных цепей ( роликовых., втулочных, зубчатых). Силы в цепной передаче. Динамика цепной передачи. Критерии работоспособности и расчета приводных цепей. Допускаемое давление в шарнирах цепи.
4.1. Валы и оси
Классификация. Критерии расчетов валов. Проектный расчет валов. Проверочный расчет вала передачи на прочность. Расчеты валов на жесткость (при изгибе и кручении).
- Подшипники
Опоры скольжения. Анализ конструкций, материалы вкладышей и требования к ним. Опоры скольжения. Режимы трения и критерии расчета подшипников скольжения. Основы гидродинамической теории смазки для расчета опор скольжения жидкостного трения. Классификация подшипников качения. Расшифровка маркировки подшипника качения. Конструкции основных типов подшипников качения. Конструкция и область применения самоустанавливающихся подшипников качения. Конструкция и область применения радиально-упорных подшипников качения. Основные виды разрушения подшипников качения. Основные критерии расчета. Распределение нагрузки между телами качения в подшипнике качения. Контактные напряжения в деталях подшипника качения. Практический подбор подшипников качения по статической грузоподъемности. Практический подбор подшипников качения по динамической грузоподъемности. Особенности расчета нагрузки радиально-упорных подшипников качения при проверке их ресурса.
- Муфты
Компенсирующие муфты приводов. Назначение, устройство и принцип действия. Управляемые (сцепные) муфты приводов. Принцип действия и конструктивные схемы. Самоуправляемые муфты. Назначение. Конструктивные схемы. Принцип действия.
Содержание программы по дисциплине «Метрология и стандартизация»
Физические величины и шкалы измерений. Международная система единиц 81. Виды и методы измерений. Общие сведения о средствах измерений (СИ)
Погрешности измерений, их классификация. Обработка результатов однократных измерений. Обработка результатов многократных измерений. Выбор средств измерений по точности
Организационные основы ОЕИ. Научно - методические и правовые основы ОЕИ. Технические основы ОЕИ. Государственный метрологический контроль и надзор.
Стандартизация в Российской Федерации. Основные принципы и теоретическая база стандартизации. Методы стандартизации. Международная стандартизация.
Содержание программы по дисциплине «Сопротивление материалов»
Основные понятия, определения, гипотезы и принципы. Модель прочностной надежности. Внутренние силовые факторы, Метод сечений. Понятие о напряжениях, перемещениях и деформациях.
Внутренние силовые факторы при растяжении. Определение продольной силы методом сечений. Закон распределения напряжений по плоскости поперечного сечения, справедливость гипотезы плоских сечений. Определение напряжений, перемещений и деформаций при растяжении. Экспериментальное изучение свойств конструкционных материалов при растяжении-сжатии, получение основных механических характеристик материалов. Расчет на прочность и жесткость стержней при растяжении. Статически неопределимые стержневые системы при растяжении.
Чистый сдвиг. Определение касательных напряжений при чистом сдвиге. Закон парности касательных напряжений. Деформации при сдвиге. Закон Гука. Расчет на прочность.
Внутренние силовые факторы при кручении. Построение эпюр крутящего момента. Определение касательных напряжений в стержнях круглого поперечного сечения. Перемещения и деформации при кручении. Расчет на прочность и жесткость.
Основные геометрические характеристики плоских сечений, используемые при расчете на прочность и жесткость стержневых систем. Определение центра тяжести составного плоского сечения.
Моменты инерции простых сечений. Изменение моментов инерции при параллельном переносе и повороте осей. Определение положения главных осей и моментов инерции относительно главных осей.
Виды изгиба. Внутренние силовые факторы при плоском изгибе. Построение эпюр поперечных сил и изгибающих моментов. Дифференциальные зависимости при плоском изгибе. Нормальные напряжения при чистом изгибе. Формула Навье. Расчет на прочность длинных балок при поперечном изгибе. Перемещения при плоском изгибе. Расчет балок на жесткость.
Понятие о напряженном состоянии в точке. Главные площадки и главные напряжения. Виды напряженного состояния в точке. Плоское напряженное состояние. Прямая и обратная задачи напряженного состояния. Потенциальная энергия упругих деформаций. Понятие о предельном состоянии в точке деформированного тела. Классические теории прочности. Теория прочности Мора.
Виды нагружения стержня, относящиеся к сложному сопротивлению (пространственный, косой изгиб, изгиб с растяжением, изгиб с кручением). Расчет на прочность и жесткость при сложном сопротивлении.
Понятие обобщенных сил и обобщенных перемещений. Энергетические теоремы. Определение перемещений с помощью интеграла Мора. Способ Верещагина.
Классификация связей стержневых систем. Причины возникновения статической неопределимости. Степень статической неопределимости. Раскрытие статической неопределимости методом сил. Расчет на прочность и жесткость статически неопределимых стержневых систем.
Понятие об устойчивом и неустойчивом упругом равновесии. Критическая сила и критическое напряжение. Формула Эйлера для определения критической силы и границы ее применимости. Влияние способов закрепления концов сжатого стержня на величину критической силы. Устойчивость за пределом пропорциональности.
Расчет продольно сжатых стержней на устойчивость.
Причины возникновения напряжений, периодически изменяющихся во времени. Понятие усталости материала. Характеристики циклов.
Экспериментальное определение характеристик сопротивления усталости. Предел усталости. Диаграммы усталости. Факторы, влияющие на усталостную прочность. Расчет на прочность при переменных напряжения.
Определение напряжений и деформаций с учетом сил инерции. Расчет на прочность и жесткость при колебаниях. Собственные и вынужденные колебания систем с одной степенью свободы. Ударное действие сил. Расчет на прочность и жесткость при ударе.
Содержание программы по дисциплине «Электротехника и электроника»
Основные определения и законы электротехники. Расчет электрических цепей. Однофазные цепи синусоидального тока: сопротивления и фазовые соотношения между токами и напряжениями. Трехфазные цепи: основные понятия, элементы трехфазных цепей. Магнитные цепи с постоянными и переменными магнитными потоками.
Трансформаторы; принцип действия и конструкция. Электрические машины постоянного и переменного токов: принцип действия и конструкция. Основы электропривода: регулирование частоты вращения двигателей.
Элементная база современных электронных устройств. Источники вторичного электропитания. Усилители электрических сигналов. Основы цифровой электроники. Микропроцессорные средства.
Демоверсия экзаменационного варианта
- Большие постоянные напряжения в деталях могут вызывать…
Выберите один ответ:
1) потерю выносливости
2) потерю жесткости
3) потерю статической прочности
4) потерю виброустойчивости
- В АЦП не происходит …
Выберите один ответ:
1) детектирование
2) квантование по уровню
3) цифровое кодирование
4) дискретизация во времени
- В основе решения задач с учетом сил инерции лежит …
Выберите один ответ:
1) метод расчета по допускаемым напряжениям
2) принцип Даламбера
3) принцип независимости действия сил
4) принцип Сен-Венана
- Все команды внутри микропроцессора представляются в виде многоразрядных слов в…
Выберите один ответ:
1) в семеричном коде
2) в десятичном виде
3) в пятнадцетиричном коде
4) двоичном коде
СПИСОК ЛИТЕРАТУРЫ
- Беневоленский С. Б., Марченко А. Л. Основы электротехники: учебное пособие для втузов. — М.: Издательство физико-математической литературы, 2006. —568 с.
- Борисов Ю.М., Липатов Д.Н., Зорин Ю.Н. Электротехника. Учебник для вузов. — М.: Энергоатомиздат, 1985. — 552 с.
- Жаворонков М.А., Кузин А.В. Электротехника и электроника: учебное пособие — 3-е изд., стер. — М.: Академия, 2010. — 400 с.
- Иванов И. И., Соловьев Г.И., Фролов В.Я. Электротехника и основы электроники [Электронный ресурс]: учебник. — 7-е изд., перераб. и доп. — СПб.: Лань, 2012 .— 736 с. — (Учебники для вузов, Специальная литература) .— Доступ по логину и паролю из сети Интернет .— 18ВК 978-5-8114-1363-8 .— <ЦКЬ:Ьйр://е.1апЬоок.сош/Ьоокз/е1етеп1:.рЬр?р11_ск1=25&р111(1=3190>.
- Касаткин А.С., Немцов М.В. Электротехника: учебник. - 11-е изд., стер. -М.: Академия, 2008. - 539с.
- Электротехника и электроника. Учебник для вузов. - В 3-х книгах / В.И. Киселёв, А.И. Копылов, Э.В. Кузнецов и др. // Под ред. Проф. В.Г. Герасимова. - М.: Энергоатомиздат, 1997.
- Электрические цепи, электромагнитные устройства и электроника: учебное пособие / Р.В. Ахмадеев, И.В. Вавилова, П.А. Грахов, И.Р. Енгалычев, Т.М. Крымская, В.С. Лукманов, О.В. Мельничук, Р.Г. Фаррахов; Уфимск. Гос. Авиац. Техн. Ун-т. - Уфа: УГАТУ, 2014. - 252с.
- Электротехника и электроника: Часть 1. Электрические и магнитные цепи. Сборник тестовых заданий: учебное пособие / Р.В. Ахмадеев, И.В. Вавилова, П.А. Грахов, В.С. Лукманов; Уфимск. Гос. Авиац. Техн. Ун-т. - Уфа: УГАТУ, 2009.-91с.
- Электротехника и электроника: Часть 2. Электрические машины и электроника. Сборник тестовых заданий: учебное пособие / Р.В. Ахмадеев, И.В. Вавилова, П.А. Грахов, В.С. Лукманов; Уфимск. Гос. Авиац. Техн. Ун-т. - Уфа: УГАТУ, 2009.-91с.
- Жернаков В. С. Сопротивление материалов - механика материалов и конструкций: [учебник для студентов высших технических учебных заведений] / В. С. Жернаков - Уфа: УГАТУ, 2012 - 495с.
- Феодосьев В. И. Сопротивление материалов: [учебник для студентов высших технических учебных заведений] / В. И. Феодосьев - Москва: Изд-во МГТУ, 2005 - 591 с.
- Александров А. В. Сопротивление материалов: [учебник для студентов вузов] / А. В. Александров, В. Д. Потапов, Б. П. Державин; под ред. А. В. Александрова - Москва: Высшая школа, 2008 - 560 с.
- Степин П. А. Сопротивление материалов [Электронный ресурс]: учебник для студентов технических вузов / П. А. Степин - Санкт-Петербург [и др.]: Лань, 2012 - 320с.
- Гафаров Р. X. Сборник задач по сопротивлению материалов: [учебное пособие для студентов высших аэрокосмических учебных заведений по дисциплине "Сопротивление материалов"] / Р. X. Гафаров; ГОУ ВПО УГАТУ - Уфа: УГАТУ, 2005 - 384 с.
- Жернаков В. С. Расчет валов на статическую, усталостную прочность и жесткость: [учебное пособие] / В. С. Жернаков, В. С. Куликов, Т. Н. Мардимасова; УГАТУ - Уфа: УГАТУ, 2003 - 76 с.
- Молотников В. Я. Курс сопротивления материалов [Электронный ресурс]: [учебное пособие для студентов высших учебных заведений, обучающихся по направлению подготовки дипломированного специалиста 660300 - "Агроинженерия"] / В. Я. Молотников - Санкт-Петербург [и др.]: Лань, 2005 - 384 с.
- Сопротивление материалов [Электронный ресурс]: пособие по решению задач / И. Н. Миролюбов [и др.] - Санкт-Петербург [и др.]: Лань, 2009-512 с.
- Гафаров Р.Х., Жернаков В.С. Что нужно знать о сопротивлении материалов: Учебное пособие / Под ред. В.С.Жернакова. - М.: Машиностроение, 2003. -384 с.
Управление в технических системах
ПРОГРАММА
вступительных испытаний
для поступающих в магистратуру по направлениям подготовки
27.04.03 «Системный анализ и управление»
программа (профиль)
«Анализ данных и управление большими системами»
27.04.04 «Управление в технических системах»
программа (профиль)
«Интеллектуальные системы управления»
ОБЩИЕ ПОЛОЖЕНИЯ
Вступительные испытания предназначены для определения практической и теоретической подготовленности поступающего в магистратуру и проводятся с целью определения соответствия знаний умений и навыков требованиям обучения магистратуры по направлениям подготовки 27.04.03 «Системный анализ и управление» (магистратура), 27.04.04 «Управление в технических системах» (магистратура).
Программа составлена в соответствии с требованиями федерального государственного образовательного стандарта высшего образования.
Вступительные испытания в магистратуру проводят экзаменационные комиссии, назначенные председателем приёмной комиссии Уфимского университета науки и технологий.
ПРОЦЕДУРА ВСТУПИТЕЛЬНОГО ИСПЫТАНИЯ
Дата и время проведения вступительного испытания и консультации определяются расписанием вступительных испытаний, которое утверждается председателем приемной комиссии.
Перед вступительным испытанием для поступающих проводится консультация по содержанию программы испытания, критериям оценки, предъявляемым требованиям, правилам поведения на испытании.
Форма вступительного испытания (в соответствии Положением о вступительных испытаниях Уфимского университета науки и технологий): тестирование.
Вступительные испытания в виде электронного тестирования проводятся в соответствии с программами вступительных испытаний, утверждаемых председателем предметной комиссии.
Вступительные испытания в форме тестирования включают вопросы как закрытого, так и открытого типа, а также задания в аудио- и видеоформатах.
Составление вариантов экзаменационных заданий в форме электронных тестов осуществляется ответственным секретарем приемной комиссии университета.
Из вариантов экзаменационных заданий формируются комплекты вопросов-тестов.
Компоновку комплектов вопросов-тестов ответственный секретарь, заместитель ответственного секретаря производят до вступительных испытаний.
Тест содержит 40 тестовых вопросов.
Результаты испытаний оцениваются по 100 бальной шкале.
Абитуриент, не согласный с оценкой, полученной на вступительных испытаниях и (или) в связи с нарушением процедуры проведения вступительных испытаний имеет право подать апелляцию. Процедура подачи и рассмотрения апелляции регламентируется Положением об апелляционной комиссии Уфимского университета науки и технологий.
КРИТЕРИИ ОЦЕНИВАНИЯ ОТВЕТА
Критериями оценки экзаменационного ответа, поступающего в магистратуру являются полнота, логичность, доказательность, прочность, осознанность знаний и теоретическая обоснованность суждений, самостоятельность в интерпретации информации, практическая направленность, уровень овладения профессиональными умениями менеджера и др. В случае тестирования является правильные ответы на тестовые задания.
При проверке количество первичных баллов переводится в итоговую 100 балльную шкалу через информационную платформу университета.
СОДЕРЖАНИЕ РАЗДЕЛОВ И ТЕМ ПРОГРАММЫ ВСТУПИТЕЛЬНОГО ИСПЫТАНИЯ
Содержание программы по дисциплине «Информатика»
- Основные понятия и методы теории информатики и кодирования
Общая характеристика процессов сбора, передачи, обработки и накопления информации. Сообщения, данные, сигнал, атрибутивные свойства информации, показатели качества информации, формы представления информации. Системы передачи информации. Меры и единицы количества и объема информации. Позиционные системы счисления. Логические основы ЭВМ.
История развития ЭВМ. Понятие и основные виды архитектуры ЭВМ. Состав и назначение основных элементов персонального компьютера, их характеристики. Запоминающие устройства: классификация, принцип работы, основные характеристики. Устройства ввода/вывода данных, их разновидности и основные характеристики.
Понятие системного и служебного (сервисного) программного обеспечения: назначение, возможности, структура. Операционные системы. Файловая структура операционных систем. Операции с файлами. Технологии обработки текстовой информации. Электронные таблицы. Технологии обработки графической информации. Средства электронных презентаций. Системы управления базами данных. Основы баз данных и знаний.
Понятие алгоритма и его свойства. Схема алгоритма. Основные алгоритмические конструкции. Базовые алгоритмы. Программы линейной структуры. Операторы ветвления, операторы цикла.
Сетевые технологии обработки данных. Основы компьютерной коммуникации. Принципы организации и основные топологии вычислительных сетей. Сетевой сервис и сетевые стандарты. Защита информации в локальных и глобальных компьютерных сетях.
Этапы решения задач на компьютерах. Понятие о структурном программировании. Модульный принцип программирования. Подпрограммы. Принципы проектирования программ сверху-вниз и снизу-вверх. Объектно-ориентированное программирование. Эволюция и классификация языков программирования. Основные понятия языков программирования. Структуры и типы данных языка программирования. Трансляция, компиляция и интерпретация
Содержание программы по дисциплине «Метрология и стандартизация»
Физические величины и шкалы измерений. Международная система единиц. Виды и методы измерений. Общие сведения о средствах измерений. Измерительные приборы и измерительные преобразователи. Информационно-измерительные системы.
Основные метрологические характеристики средств измерений.
Погрешности измерений, их классификация. Обработка результатов однократных измерений. Обработка результатов многократных измерений. Выбор средств измерений для систем автоматизации управления.
Организационные основы обеспечения единства измерений. Научно - методические и правовые основы обеспечения единства измерений. Технические основы обеспечения единства измерений. Государственная система промышленных приборов и средств автоматизации. Классификация средств измерений и автоматизации. Государственный метрологический контроль и надзор.
Стандартизация в Российской Федерации. Основные принципы и теоретическая база стандартизации. Методы стандартизации. Международная стандартизация.
Содержание программы по дисциплине «Теория автоматического управления»
- Основные понятия теории автоматического управления
Основные понятия теории управления: объект управления, управляемая координата, возмущающее воздействие; управляющее устройство, задающее воздействие, отклонение управляемой величины, управляющее воздействие; система автоматического управления (САУ). Принципы и законы управления. Статические характеристики объекта управления и САУ. Классификация САУ. Задачи анализа и синтеза САУ.
- Математические модели объектов и систем управления
Математические модели непрерывных и дискретных линейных объектов и систем; дифференциальные и разностные кусочно-линейные модели нелинейных объектов и систем. Формы представления моделей. Математические модели в виде дифференциальных уравнений. Линеаризация. Преобразование Лапласа. Передаточная функция.
- Динамические характеристики элементов и систем автоматического управления
Типовые звенья и их характеристики. Частотная передаточная функция. Амплитудно-фазовая частотная характеристика. Переходная и импульсная переходная (весовая) функция. Связи между динамическими характеристиками. Структурные схемы и их преобразования. Передаточные функции и уравнения разомкнутой и замкнутой САУ.
- Устойчивость линейных систем автоматического управления
Понятие устойчивости САУ по Ляпунову А.М. Возмущенное и невозмущенное движение. Необходимое и достаточное условие устойчивости линейной САУ. Теоремы Ляпунова для линеаризованных дифференциальных уравнений. Понятие о критериях устойчивости. Алгебраические критерии устойчивости Рауса и Гурвица. Частотные критерии устойчивости Михайлова и Найквиста. Запасы устойчивости. Метод D-разбиения. Влияние параметров САУ на устойчивость. Построение областей устойчивости.
- Качество и синтез систем автоматического управления
Понятие качества САУ. Прямые показатели качества и методы их определения. Точность на установившихся режимах в статических и астатических системах. Корневые показатели качества и методы их определения. Интегральные оценки качества САУ. Постановка задачи синтеза САУ. Синтез линейных САУ методом стандартных коэффициентов и приближения функций.
Демоверсия экзаменационного варианта
пробный тест
1 Для передачи сигналов на флоте используются цепочки сигнальных флагов, вывешиваемых в одну линию (последовательность флагов в цепочке важна). Каждая цепочка кодирует один сигнал. Какое количество различных сигналов может передать корабль при помощи цепочек, состоящих из четырёх сигнальных флагов, если на корабле имеются флаги пяти различных видов и флагов каждого вида неограниченное количество?
2 Истинными являются логические выражения

A) а, в B) а, г C) б, в D) в, г
3 Представлена база данных MS Access «Гостиница».
|
Номер |
Количество комнат |
Цена |
|
210л |
3 |
500 |
|
101о |
1 |
30 |
|
215д |
2 |
80 |
|
101д |
1 |
50 |
|
112пл |
2 |
250 |
После сортировки в порядке возрастания по полю «Номер» сведения о номере ценой 250 переместятся на ______ вверх.
A) две строки B) три строки C) одну строку D) четыре строки
4 В представленном фрагменте программы
a := 10
b := 40
нц пока b >= a
| b := b – a
кц
тело цикла выполнится ________ раз(а).
A) 4 B) 3 C) 2 D) 1
5 В представленной рекурсивной подпрограмме
функция F(K);
начать функцию
если K>3 то
F:=F(K-1)*K
иначе F:=1;
все
конец функции
при вызове функции F с параметром 6: F(6) – будет возвращено значение ...
СПИСОК ЛИТЕРАТУРЫ
- Веремеевич А.Н. Метрология, стандартизация и сертификация. Основы взаимозаменяемости [Электронный ресурс]: курс лекций / А.Н. Веремеевич. – Москва: МИСИС, 2004. – 99 с.
- Гайдук А.Р. Теория автоматического управления в примерах и задачах с решениями в MATLAB: учебное пособие для вузов / А.Р. Гайдук, В.Е. Беляев, Т.А. Пьявченко. – 6-е изд., стер. – Санкт-Петербург: Лань, 2022. – 464с. – ISBN 978-5- 8114-9549-8. – Текст: электронный // Лань: электронно-библиотечная система. – URL: https://e.lanbook.com/book/200441 – Книга из коллекции Лань – Автоматика и управление в технических системах.
- Галимов А.К. Методы измерения. Лекция [Электронный ресурс]: лекция для студентов очной формы обучения, обучающихся по дисциплине «Методы и средства измерений и контроля», направлениям подготовки 27.03.01 «Стандартизация и метрология» / А.К. Галимов; Уфимский государственный авиационный технический университет (УГАТУ), Кафедра стандартизации и метрологии. – Уфа: УГАТУ, 2019. – URL:https://sdo.ugatu.su/course/view.php?id=478.
- Дегтярева О.Н. Нормирование точности и технические измерения [Электронный ресурс]: учебное пособие / Дегтярева О. Н., Баканов А.А. – Кемерово: КузГТУ имени Т.Ф. Горбачева, 2017. – 200 с. – URL:https://e.lanbook.com/book/105390. URL:https://e.lanbook.com/img/cover/book/105390.jpg
- Иванов И.А. Метрология, стандартизация и сертификация [Электронный ресурс] / Иванов И.А., Урушев С.В., Кононов Д.П., Воробьев А.А., Шадрина Н.Ю., Кондратенко В.Г. – 3-е изд., стер. – Санкт-Петербург: Лань, 2021 – 356 с. – ISBN 978-5-8114-8574-1. – URL:https://e.lanbook.com/book/177835. – URL:https://e.lanbook.com/img/cover/book/177835.jpg.
- Информатика [Электронный ресурс]: курс лекций / Л.И. Шехтман
[и др.]; ГОУ ВПО УГАТУ. – Уфа: УГАТУ, 2011. - Информатика. Базовый курс: [учебное пособие для студентов высших технических учебных заведений] / под ред. С.В. Симоновича – Санкт-Петербург [и др.]: Питер, 2011. – 637 с.
- Каймин В.А. Информатика: учебник / В.А. Каймин. – Москва: Проспект, 2010. – 270 с.
- Кауфман В.Ш. Языки программирования. Концепции и принципы [Электронный ресурс]: [пособие для студентов вузов] / В.Ш. Кауфман. – Москва: ДМК ПРЕСС, 2010. – 464 с.
- Ким Д.П. Теория автоматического управления: учебник / Д.П. Ким. – 2-е изд., испр. и доп. – Москва: ФИЗМАТЛИТ, 2007. – Том 1: Линейные системы – 2007. – 312 с. – ISBN 978-5-9221-0857-7. – Текст: электронный // Лань: электронно-библиотечная система. – URL: https://e.lanbook.com/book/154012 – Книга из коллекции Лань – Автоматика и управление в технических системах.
- Коновалов Б.И. Теория автоматического управления: учебное пособие / Б.И. Коновалов, Ю.М. Лебедев. – 5-е изд., стер. – Санкт-Петербург: Лань, 2020. – 220 с. – ISBN 978-5-8114-5816-5. – Текст: электронный // Лань: электронно-библиотечная система. – URL: https://e.lanbook.com/book/145842 – Книга из коллекции Лань – Информатика.
- Кудинов Ю.И. Основы современной информатики [Электронный ресурс]: [учебное пособие для студентов высших учебных заведений, обучающихся по специальности «Прикладная информатика»] / Ю.И. Кудинов, Ф.Ф. Пащенко – Санкт-Петербург [и др.]: Лань, 2011. – 256 с.
- Макарова Н.В. Информатика: [учебник для студентов вузов, обучающихся по направлениям подготовки бакалавров "Системный анализ и управление" и «Экономика и управление»] / Н.В. Макаров, В.Б. Волкова. – Санкт-Петербург [и др.]: Питер, 2013. – 576 с.
- Новожилов О.П. Информатика: [учебное пособие для студентов высших учебных заведений, обучающихся по специальностям группы «Экономика и управление» и направлению «Информатика и вычислительная техника»] / О.П. Новожилов; Московский государственный индустриальный университет (МГИУ). – 2-е изд., испр. и доп. – Москва: Юрайт, 2013. – 564 с.
- Орлов С.А. Теория и практика языков программирования: [учебник по направлению «Информатика и вычислительная техника»] / С. А. Орлов. – Санкт-Петербург [и др.]: Питер ,2013. – 688 с.
- Ощепков А.Ю. Системы автоматического управления: теория, применение, моделирование в MATLAB: учебное пособие для вузов / А.Ю. Ощепков. – 4-е изд., стер. – Санкт-Петербург: Лань, 2021. – 208 с. — ISBN 978-5-8114-8544-4. – Текст: электронный // Лань: электронно-библиотечная система. – URL: https://e.lanbook.com/book/177027 – Книга из коллекции Лань – Информатика.
- Певзнер Л.Д. Теория автоматического управления. Задачи и решения: учебное пособие / Л. Д. Певзнер. – Санкт-Петербург: Лань, 2021. – 604 с. – ISBN 978-5-8114-2161-9. – Текст: электронный // Лань: электронно-библиотечная система. – URL: https://e.lanbook.com/book/168937 – Книга из коллекции Лань – Информатика.
- Певзнер Л.Д. Теория систем управления: учебное пособие / Л.Д. Певзнер. – 2-е изд., испр. и доп. – Санкт-Петербург: Лань, 2021. – 424 с. – ISBN 978-5-8114- 1566-3. – Текст: электронный // Лань: электронно-библиотечная система. – URL: https://e.lanbook.com/book/168877 – Книга из коллекции Лань – Информатика.
- Сергеев А.Г. Метрология, стандартизация и сертификация: [учебник для студентов вузов / А.Г. Сергеев, В.В. Терегеря. – Москва: Юрайт, 2014. – 820 с.
- Хорев П.Б. Объектно-ориентированное программирование: [учебное пособие для студентов, обучающихся по направлению «Информатика и вычислительная техника»] / П.Б. Хорев. – 3-е изд., испр. – Москва: Академия, 2011. – 446 с.
- Яблонский О.И. Основы стандартизации: [учебное пособие для студентов вузов для направлений в области техники и технологии при изучении метрологии, стандартизации и сертификации] / О.П. Яблонский, В.А. Иванова; рецензенты В.Ф. Безъязычный, В.В. Костров. – Москва: Логос, 2006. – 192 с.
Информационные системы
ПРОГРАММА
вступительного испытания
для поступающих в магистратуру по направлению подготовки
09.04.03 «Прикладная информатика»
программа (профиль)
«Информационные системы»
(Бирский филиал)
ОБЩИЕ ПОЛОЖЕНИЯ
Вступительные испытания предназначены для определения практической и теоретической подготовленности поступающего в магистратуру и проводятся с целью определения соответствия знаний умений и навыков требованиям обучения магистратуры по направлению подготовки 09.04.03 «Прикладная информатика» (магистратура). Программа составлена в соответствии с требованиями федерального государственного образовательного стандарта высшего профессионального образования.
Вступительные испытания в магистратуру проводят экзаменационные комиссии, назначенные председателем приёмной комиссии УУНиТ.
ПРОЦЕДУРА ВСТУПИТЕЛЬНОГО ИСПЫТАНИЯ
Дата и время проведения вступительного испытания и консультации определяются расписанием вступительных испытаний, которое утверждается председателем приемной комиссии.
Перед вступительным испытанием для поступающих проводится консультация по содержанию программы испытания, критериям оценки, предъявляемым требованиям, правилам поведения на испытании.
Форма вступительного испытания (в соответствии Положением о вступительных испытаниях УУНИТ): устно-письменная.
Вступительные испытания в виде устного, устно-письменного, устного с элементами тестирования проводятся в соответствии с программами вступительных испытаний, утверждаемых председателем приемной комиссии.
Экзаменационные билеты включают два или три вопроса по направлению подготовки (по специальности).
В аудитории, где проводится вступительное испытание в устной форме, не может находиться одновременно более 6 человек. Нахождение в аудитории посторонних лиц не допускается.
Абитуриенту предоставляется право готовиться к ответу в течение 30 минут.
Абитуриенту предоставляется право ответа на экзаменационные вопросы в течение 20-25 минут.
В процессе сдачи вступительного испытания абитуриенту могут быть заданы дополнительные вопросы как по содержанию экзаменационного билета, так и по любым разделам предмета в пределах программы вступительного испытания.
Абитуриент, не согласный с оценкой, полученной на ВИ и (или) в связи с нарушением процедуры проведения ВИ имеет право подать апелляцию. Процедура подачи и рассмотрения апелляции регламентируется Положением об апелляционной комиссии УУНиТ.
КРИТЕРИИ ОЦЕНИВАНИЯ ОТВЕТА
Критериями оценки экзаменационного ответа, поступающего в магистратуру являются полнота, логичность, доказательность, прочность, осознанность знаний и теоретическая обоснованность суждений, самостоятельность в интерпретации информации, практическая направленность, уровень овладения профессиональными умениями менеджера и др. В случае тестирования является правильные ответы на тестовые задания.
Результаты вступительного испытания определяются по 100-балльной шкале, разброс баллов представлен ниже в таблице:
|
№ |
Критерии оценивания |
Оценка |
|
1 |
Дан полный развернутый ответ на теоретический вопрос:
|
85-100 баллов «отлично» |
|
2 |
Дан в целом правильный ответ на теоретический вопрос:
|
67-84 балла «хорошо» |
|
3 |
Дан в основном правильный ответ на теоретический вопрос:
|
50-66 баллов «удовлетворительно» |
|
4 |
Дан фрагментарный ответ или неправильный ответ на теоретический вопрос из предложенного тематического раздела:
|
0-49 баллов «неудовлетворительно» |
СОДЕРЖАНИЕ РАЗДЕЛОВ И ТЕМ ПРОГРАММЫ ВСТУПИТЕЛЬНОГО ИСПЫТАНИЯ
ВЫЧИСЛИТЕЛЬНЫЕ СИСТЕМЫ
- Архитектура компьютеров. Физические основы вычислительных процессов. Основные принципы построения и архитектуры вычислительных машин. Персональные ЭВМ. Информационно-логические основы вычислительных машин. Системы счисления. Предоставление информации в ЭВМ. Архитектурные и логические основы ЭВМ.
- Архитектура компьютеров. Функциональная и структурная организация ЭВМ. Центральный процессор. Основная память. Периферийные устройства. Внешние ЗУ. Устройства ввода. Внешние устройства. Программное обеспечение ЭВМ. Технические данные. Многопроцессорные и многопользовательские вычислительные системы. Типовые вычислительные структуры и их программное обеспечение.
- Операционные системы. Основные функции операционных систем (управление процессами, памятью, файловой системой).
- Операционные системы. Механизмы распределения ресурсов.
- Операционные системы. Параллельное выполнение задач и управление многозадачностью.
ВЫЧИСЛИТЕЛЬНЫЕ СЕТИ
- Основы сетевой архитектуры: Понимание модели OSI и TCP/IP, их уровней и функций.
- Сетевые протоколы: Знание основных протоколов (TCP, UDP, IP, HTTP, FTP и др.) и их назначения.
- Сетевые устройства: Основы работы маршрутизаторов, коммутаторов, повторителей, шлюзов и точек доступа.
- Сетевые технологии: Знание о различных типах сетей (LAN, WAN, WLAN), технологии Ethernet, беспроводные сети.
- IP-адресация и маршрутизация: Основы статической и динамической маршрутизации, работа с IP-адресами (IPv4 и IPv6).
- Безопасность в сетях: Основы сетевой безопасности, шифрование, безаопасные и безопасные протоколы (например, SSL/TLS, VPN).
- Управление сетями: Основы мониторинга и управления сетями, инструменты диагностики (ping, traceroute и др.).
- Сетевые сервисы: Знание о работе распространенных сетевых сервисов, таких как DNS, DHCP и почтовые протоколы.
БАЗЫ ДАННЫХ
- Основы баз данных. Понятие и архитектура баз данных (модель клиент-сервер, трехуровневая архитектура). Системы управления базами данных (СУБД): различия между реляционными, нереляционными, распределенными и графовыми СУБД.
- Язык SQL. Основы SQL: создание, обновление, удаление и выборка данных.
- Язык SQL. Нормализация данных и проектирование реляционных баз данных.
- Язык SQL. Индексы, представления, триггеры и хранимые процедуры.
- Моделирование данных. Концептуальное, логическое и физическое моделирование данных.Диаграммы сущность-связь (ER-диаграммы).
- Продвинутые технологии баз данных. Распределенные базы данных и репликация. Большие данные и концепции Data Warehouse. NoSQL базы данных: понимание различных типов (документные, ключ-значение, колоночные и графовые).
- Производительность и оптимизация. Оптимизация запросов: индексы, анализ производительности.
- Производительность и оптимизация. Параллелизм и управление транзакциями.
- Безопасность данных. Методы защиты данных: аутентификация, авторизация, шифрование.
- Безопасность данных. Политики резервного копирования и восстановления.
- Анализ данных и бизнес-аналитика. Основы анализа данных: Data Mining, OLAP.
- Безопасность данных. Использование статистических методов для анализа данных.
- Новейшие тенденции и технологии. Облачные базы данных и их архитектура. Микросервисы и их влияние на работу с базами данных.
- Практические навыки. Основы работы с конкретными СУБД (например, PostgreSQL, MySQL, MongoDB).
ПРОЕКТИРОВАНИЕ ИНФОРМАЦИОННЫХ СИСТЕМ
- Основы проектирования информационных систем. Жизненный цикл разработки программного обеспечения (SDLC). Методологии разработки (Scrum, Agile, Waterfall и др.)
- Моделирование данных. ER-диаграммы (Entity-Relationship)
- Моделирование данных. UML-диаграммы (Unified Modeling Language)
- Архитектура систем. Клиент-серверная архитектура. Микросервисная архитектура. Сетевые архитектуры и распределенные системы
- Разработка интерфейсов. Принципы проектирования пользовательских интерфейсов (UX/UI). Адаптивный и отзывчивый дизайн.
- Информационные технологии и инструменты. Основы работы с базами данных (SQL, NoSQL)
- Информационные технологии и инструменты. ORM-технологии.
- Информационные технологии и инструменты. Средства разработки (IDE, системы контроля версий и др.)
- Тестирование и обеспечение качества. Методы и виды тестирования. Обеспечение качества программного обеспечения.
- Безопасность информационных систем. Основы информационной безопасности. Защита данных и шифрование.
- Управление проектами. Основы управления проектами в сфере ИТ. Методы оценки и управления рисками.
- Современные технологии и тренды. Искусственный интеллект и машинное обучение. Большие данные и аналитика. Блокчейн и распределенные реестры.
ПРОГРАММНАЯ ИНЖЕНЕРИЯ
- Алгоритмы и структуры данных. Основные алгоритмы сортировки и поиска.
- Алгоритмы и структуры данных. Деревья, графы, хэш-таблицы и другие структуры данных.
- Проектирование программного обеспечения. Принципы SOLID.
- Проектирование программного обеспечения. Шаблоны проектирования (Design Patterns).
- Проектирование программного обеспечения. UML и другие нотации для моделирования систем.
- Методологии разработки ПО. Agile, Scrum, Kanban, Водопадная модель и ее варианты.
- Архитектура программного обеспечения. Модульная и компонентная архитектура.
- Архитектура программного обеспечения. Микросервисы, клиент-серверные модели.
ПРОЕКТИРОВАНИЕ И РАЗРАБОТКА WEB-РЕСУРСОВ
- Сетевые сервисы и сетевые средства. Организация компьютерных сетей. Адресация в Internet. Архитектура. Серверы и клиенты WWW. Понятие протокола. Протоколы прикладного уровня.
- Основные понятия. URL. Всемирная паутина (WWW). Основные сервисы сети Internet. Система доменных имен DNS.
- Основы веб-технологий. HTML, CSS, JavaScript
- Принципы построения веб-страниц и структуры документов
- Структура HTML-документа. Общие атрибты элементов HTML. Теги заголовка документа. Теги тела документа. Блочные и строчные элементы разметки. Работы с текстом. Заголовки и абзацы. Списки: нумерованные, маркированные. Объекты HTML-документов.
- Типы файлов иллюстрации. Управление размещением иллюстраций и отбивками текста. Вставка объектов. Картинки. Создание гиперссылок. Позиция вынуждает и внутренний элемент. Способы указания адресов файлов для ссылок и иллюстраций: абсолютный, относительный, URL.
- Таблицы — основное средство для управления расположением ресурсов. Язык HTML. Основные теги создания таблиц. Основные атрибты таблиц, строк, ячеек. Логическое форматирование фрагментов таблиц, объединение ячеек.
- Элементы формы. Типы управляющих элементов. Вывод данных: элемент INPUT. Меню. Многопользовательский текст. Кнопки. Принципы управления элементами. Правила работы с формами.
- Основные синтаксисы языка JavaScript. Типы данных, литералы. Интерфейс CGI и HTTP. Web сервер. Сервер баз данных. Сделано языком PHP.
- Адаптивная и отзывчивая верстка.
ПРОГРАММИРОВАНИЕ
- Основы программирования. Знание одного или нескольких языков программирования (C#, Python, Java, C++ и др.).
- Основы программирования. Основные концепции: переменные, типы данных, условные операторы, циклы, функции.
- Структуры данных и алгоритмы. Работа с основными структурами данных (массивы, списки, стеки, очереди, деревья, графы).
- Структуры данных и алгоритмы Изучение алгоритмов сортировки и поиска.
- Структуры данных и алгоритмы Основы анализа сложности алгоритмов (O(n), O(log n) и т.д.).
- Объектно-ориентированное программирование (ООП). Понимание принципов ООП: инкапсуляция, наследование, полиморфизм. Создание и использование классов и объектов.
- Основы теории вычислений. Понимание формальных моделей (машины Тьюринга, конечные автоматы).
- Основы теории вычислений. Основы теории сложности.
- Тестирование программного обеспечения. Основы юнит-тестирования, интеграционного тестирования и тестирования производительности -Автоматизация тестирования.
- Системы управления версиями. Знание Git и основы работы с репозиториями.
Демоверсия экзаменационного варианта
ПРИМЕРНЫЕ ПРАКТИЧЕСКИЕ ЗАДАНИЯ
ИНФОРМАТИКА
Задание 1.
Описание:
Вам необходимо разработать ER-диаграмму для системы управления библиотекой. Система должна учитывать книги, читателей и операции с книгами, такие как заимствование и возврат.
Требования:
Сущности:
Книга: атрибуты могут включать ISBN, название, автор, жанр, год издания и статус наличия.
Читатель: атрибуты могут включать ID читателя, имя, фамилию, дату рождения, номер телефона и адрес электронной почты.
Заимствование: атрибуты могут включать дату заимствования, дату возврата, статус (например, "активно" или "возвращено").
Связи:
Определите, какие отношения существуют между сущностями. Например, Читатель может заимствовать множество книг (один-ко-многим).
Каждая книга может быть заимствована множеством читателей (многие-ко-многим), но только один читатель может заимствовать данную книгу в определённый момент времени.
Дополнительные элементы:
Укажите кардинальность связей (например, 1:N, M:N и т.д.).
Рассмотрите возможность добавления дополнительных сущностей, таких как "Автор", "Жанр", если это необходимо для вашей модели.
Формат выполнения:
Представьте ER-диаграмму в графическом виде (с использованием программ вроде draw.io, Lucidchart, или специализированного ПО для моделирования).
Опишите каждую сущность и связь, объяснив выбор атрибутов и их значимость для системы.
Задание 2.
Создание классов и объектов:
Разработайте систему управления библиотекой, включающую классы Book, Member и Library. Реализуйте методы для добавления и удаления книг, регистрации и удаления членов, а также для выдачи и возврата книг.
Задание 3.
Наследование и полиморфизм:
Создайте иерархию классов для представления различных типов транспортных средств (например, Vehicle, Car, Bike, Truck). Реализуйте методы, которые будут специфичны для каждого типа транспортного средства и демонстрируйте полиморфизм.
Задание 4.
Инкапсуляция и абстракция:
Разработайте простую финансовую систему учета, где классы, такие как Account и Transaction, будут использовать инкапсуляцию для скрытия данных. Добавьте методы для выполнения операций пополнения и снятия средств, а также для получения баланса.
Задание 5.
Работа с коллекциями:
Реализуйте класс для управления коллекцией студентов. Этот класс должен поддерживать добавление, удаление, поиск и сортировку студентов по различным критериям (например, по имени, фамилии или оценкам).
СПИСОК ЛИТЕРАТУРЫ
- Объектно-ориентированное программирование: учебное пособие: в 3 частях: [16+] / П. П. Степанов, А. А. Кабанов, В. А. Никонов, Т. С. Павлюченко; ред. К. В. Обухова; Омский государственный технический университет. – Омск: Омский государственный технический университет (ОмГТУ), 2021. – Часть 1. – 112 с.: ил. – Режим доступа: по подписке. – URL: https://biblioclub.ru/index.php?page=book&id=700657 (дата обращения: 08.04.2025). – ISBN 978-5-8149-3301-0 (ч. 1). – ISBN 978-5-8149-3300-3. – Текст: электронный.
- Васильев, Алексей Программирование на C# для начинающих. / Москва: Эксмо, 2018. – 592 с.
- Олифер В. Г. Компьютерные сети принципы, технологии, протоколы, учебное пособие для студентов вузов по направлению "Информатика и вычислительная техника" и по специальностям "Вычислительные машины, комплексы, системы и сети", "Автоматизированные машины, комплексы, системы и сети", "Программное обеспечение вычислительной техники и автоматизированных систем" / В. Олифер, Н. Олифер. — 4-е изд. - Санкт-Петербург [и др.]: Питер, 2010. — 943 с. ил.; 24. — (Учебник для вузов); ISBN 978-5-49807-389-7.
- Дейт, К. Дж. Введение в системы баз данных, 8-е издание.: Пер. с англ. — М.: Издательский дом "Вильяме", 2005. — 1328 с.: ил. — Парал. тит. Англ.
Органическая и неорганическая химия
ПРОГРАММА
вступительного испытания
для поступающих в магистратуру по направлению подготовки
04.04.01 «Химия»
программа (профиль)
«Фундаментальная и прикладная химия»
ОБЩИЕ ПОЛОЖЕНИЯ
Вступительные испытания предназначены для определения практической и теоретической подготовленности поступающего в магистратуру и проводятся с целью определения соответствия знаний умений и навыков требованиям обучения магистратуры по направлению подготовки 04.04.01 «Химия» (магистратура). Программа составлена в соответствии с требованиями федерального государственного образовательного стандарта высшего профессионального образования.
Вступительные испытания в магистратуру проводят экзаменационные комиссии, назначенные председателем приёмной комиссии УУНиТ.
ПРОЦЕДУРА ВСТУПИТЕЛЬНОГО ИСПЫТАНИЯ
Дата и время проведения вступительного испытания и консультации определяются расписанием вступительных испытаний, которое утверждается председателем приемной комиссии.
Перед вступительным испытанием для поступающих проводится консультация по содержанию программы испытания, критериям оценки, предъявляемым требованиям, правилам поведения на испытании.
Форма вступительного испытания (в соответствии Положением о вступительных испытаниях УУНИТ): устно-письменно.
Вступительные испытания в виде устно-письменного экзамена проводятся в соответствии с программами вступительных испытаний, утверждаемых председателем приемной комиссии.
Экзаменационные билеты включают два или три вопроса по направлению подготовки (по специальности).
В аудитории, где проводится вступительное испытание в устно-письменной форме, не может находиться одновременно более 6 человек. Нахождение в аудитории посторонних лиц не допускается.
Абитуриенту предоставляется право готовиться к ответу в течение 30 минут.
Абитуриенту предоставляется право ответа на экзаменационные вопросы в течение 20-25 минут.
В процессе сдачи вступительного испытания абитуриенту могут быть заданы дополнительные вопросы как по содержанию экзаменационного билета, так и по любым разделам предмета в пределах программы вступительного испытания.
Абитуриент, не согласный с оценкой, полученной на ВИ и (или) в связи с нарушением процедуры проведения ВИ имеет право подать апелляцию. Процедура подачи и рассмотрения апелляции регламентируется Положением об апелляционной комиссии УУНиТ.
КРИТЕРИИ ОЦЕНИВАНИЯ ОТВЕТА
Критериями оценки экзаменационного ответа, поступающего в магистратуру являются полнота, логичность, доказательность, прочность, осознанность знаний и теоретическая обоснованность суждений, самостоятельность в интерпретации информации, практическая направленность, уровень овладения профессиональными умениями менеджера и др. В случае тестирования является правильные ответы на тестовые задания.
Результаты вступительного испытания определяются по 100-балльной шкале, разброс баллов представлен ниже в таблице:
|
№ |
Критерии оценивания |
Оценка |
|
1 |
Дан полный развернутый ответ на теоретический вопрос:
|
85-100 баллов «отлично» |
|
2 |
Дан в целом правильный ответ на теоретический вопрос:
|
67-84 балла «хорошо» |
|
3 |
Дан в основном правильный ответ на теоретический вопрос:
|
50-66 баллов «удовлетворительно» |
|
4 |
Дан фрагментарный ответ или неправильный ответ на теоретический вопрос из предложенного тематического раздела:
|
0-49 баллов «неудовлетворительно» |
СОДЕРЖАНИЕ РАЗДЕЛОВ И ТЕМ ПРОГРАММЫ
ВСТУПИТЕЛЬНОГО ИСПЫТАНИЯ
Строение вещества и химическая связь
- Волновая теория строения атома, двойственная природа электрона, принцип неопределённости. Квантовомеханические представления о строении электронных оболочек атома.
- Метод молекулярных орбиталей. Основные положения метода. Понятие молекулярной орбитали (МО). Приближенное описание молекулярной орбитали как линейной комбинации атомных орбиталей (ЛКАО).
- Химическая связь. Понятие о природе химической связи. Характеристики химической связи: энергия, длина, полярность. Основные положения и недостатки метода валентных связей (МВС). σ-, π -, δ-связывание. Типы гибридизации атомных орбиталей.
- Химическая связь в комплексных соединениях с позиции теории валентных связей. Внутриорбитальные и внешнеорбитальные, диамагнитные и парамагнитные комплексы.
Основные разделы органической химии
- Свободно-радикальные реакции: галогенирование, сульфохлорирование, нитрование, окисление. Крекинг и пиролиз алканов.
- Понятие о конформации и конфигурации. Реакционная способность С-Н связей.
- Алкены. Способы образования двойной связи. Реакции электрофильного присоединения к алкенам, механизм. Перекисный эффект. Радикальные реакции алкенов. Окислительное превращение алкенов: цис- и транс-гидроксилирование, озонолиз.
- Алициклические соединения. Циклопарафины. Номенклатура, способы получения, свойства.
- Галогенопроизводные углеводородов. Механизм замещения и отщепления на примере гидролиза хлористого метила и хлористого третбутила. Особенности химического поведения аллил-, бензил-, винил- и арилгалогенидов.
- Алкадиены. Электронное строение и представление о делокализованных π-молекулярных орбиталях сопряженных диенов. Их особые свойства.
- Гидроксипроизводные углеводородов. Кислотно-основные свойства спиртов. Механизм реакции электрофильного замещения на примере галогенирования, сульфирования, нитрования, алкилирования и ацилирования фенола.
- Карбонильные соединения. Получение, химические свойства. Альдольно-кротоновая конденсация. Удельная и эквивалентная электропроводность, ее зависимость от концентрации и температуры. Подвижность ионов, закон Кольрауша, формула Стокса. Аномальная подвижность ионов гидроксония и гидроксила (механизм).
- Арены. Правило ароматичности Хюккеля. Механизм, направление и скорость реакции замещения на примере нитрования толуола, анизола, нитробензола. Алкилирование, ацилирование, сульфинирование, галогенирование бензола.
- Предельные и непредельные карбоновые кислоты. Получение, химические свойства, применение.
- Сложные эфиры. Получение, химические свойства, применение.
- Нитросоединения алифатического и ароматического рядов. Номенклатура, получение, свойства, применение.
- Кислородсодержащие кислоты галогенов и их соли. Номенклатура, строение молекул, устойчивость. Изменение окислительных и кислотных свойств. Хлорная известь. Бертолетова соль.
- Амины. Основность аминов в зависимости от природы углеводородных радикалов. Алкилирование, ацилирование бутиламина и анилина, взаимодействие с азотистой кислотой.
- Азо- и диазосоединения. Строение, получение, свойства, применение. Понятие об азокрасителях.
- Гетероциклы с одним гетероатомом: фуран, тиофен, пиррол, пиридин, хинолин. Строение, химические свойства.
- Классификация и номенклатура углеводов. Моносахариды, олигосахариды и полисахариды. Строение и оптические свойства. Понятие об энантиомерах, диастереомерах, аномерах.
Основные разделы физической химии
- Предмет термодинамики. Термодинамическая система. Термодинамические параметры и функции. Первый закон термодинамики: формулировки, интегральная и дифференциальная форма записи. Применение первого закона термодинамики к процессам с участием идеального газа.
- Термодинамический и кинетический аспекты полимеризации. Радикальная полимеризация винильных мономеров. Мономеры, инициаторы. Характеристика элементарных актов радикальной полимеризации (инициирование, рост, обрыв и передача цепи).
- Энтропия в случае равновесных и неравновесных процессов. Условия равновесия в изолированной системе.
- Химическое равновесие, общее условие химического равновесия. Закон действия масс, константа равновесия. Уравнение изотермы химической реакции. Тепловой закон Нернста, расчет химических равновесий.
- Растворы. Термодинамика многокомпонентных систем, химический потенциал. Уравнение Гиббса-Дюгема. Давление насыщенного пара бинарных жидких растворов. Закон Рауля, идеальные растворы, предельно разбавленные растворы. Отклонение от закона Рауля.
- Явление гидролиза. Константа и степень гидролиза. Учет гидролиза катионов и анионов при их аналитическом определении.
- Современная коллоидная химия как физическая химия дисперсных систем и поверхностных явлений. Специфические особенности дисперсных систем. Роль поверхностных явлений в дисперсных системах.
- Адсорбция на границе газ-твердое тело и твердое тело-раствор. Теории мономолекулярной и полимолекулярной адсорбции. Изотермы адсорбции и их описание с помощью этих теорий.
- Классификация электродов. Электроды первого, второго рода, газовые, амальгамные, редокси-электроды. Применение электродов (электроды сравнения, индикаторные электроды и др.).
- Гальванические элементы. ЭДС. Связь ЭДС с константой равновесия реакции. Электродный потенциал. Диффузионный потенциал. Термодинамический вывод формулы Нернста для электродного потенциала. Стандартный электродный потенциал.
- Основной постулат химической кинетики. Скорость химической реакции, скорость реакции средняя и истинная. Кинетическая классификация реакций, различие понятий «порядок реакции» и «молекулярность реакции», понятие об элементарной реакции. Необратимые реакции первого, второго, n-го и нулевого порядка.
Основные разделы аналитической химии
- Гравиметрический метод: сущность метода, условия получения кристаллических и аморфных осадков, применение метода.
- Титриметрический метод. Понятие о рабочих, стандартных растворах, точке эквивалентности, точке конца титрования. Классификация методов титриметрического анализа. Кривые титрования и выбор индикаторов.
- Буферные растворы. Сущность буферного действия. Уравнение Гендерсона-Гассельбаха. Буферная емкость.
- Кондуктометрические методы анализа. Прямая кондуктометрия и кондуктометрическое титрование. Факторы, влияющие на электропроводность растворов электролитов.
Основные разделы химии высокомолекулярных соединений
- Макромолекула. Конформационная и конфигурационная изомерия. Гибкость, количественные характеристики гибкости макромолекул. Свободно-сочлененная цепь как идеализированная модель гибкой макромолекулы. Связь гибкости макромолекул с их химическим строением.
- Фазовые, агрегатные и физические состояния полимеров. Характеристика трех физических состояний – стеклообразного, высокоэластического и вязкотекучего.
- Полимеризация как метод получения высокомолекулярных соединений. Механизм радикальной и ионной полимеризации.
Основные разделы неорганической химии
- Классификация и номенклатура комплексных соединений. Устойчивость комплексных соединений в водных растворах. Константы устойчивости (Куст.) и константы нестойкости (Кнест.) комплексов. Условия образования и разрушения комплексов.
- Важнейшие соединения мышьяка(V) и (III): оксиды(V) и (III), мышьяковая и мышьяковистая кислоты, арсенаты и арсениты. Сульфиды и тиосоли мышьяка(V) и (III). Проявление амфотерных свойств соединениями мышьяка.
- Аммиак. Строение молекулы, получение, свойства, соли аммония. Производные аммиака: амиды, имиды, нитриды. Классификация реагентов: радикальные, электрофильные и нуклеофильные, их использование для синтеза органических соединений. Промежуточные частицы, переходное состояние и механизм реакции. Энергетические диаграммы реакций.
- Марганец. Оксиды и гидроксиды марганца, их кислотно-основные свойства. Окислительно-восстановительные свойства соединений марганца (IV, VI, VII).
- Соединения хрома (III) и хрома (VI). Кислотно-основные и окислительно-восстановительные свойства.
Демоверсия экзаменационного варианта
МИНИСТЕРСТВО НАУКИ И ВЫСШЕГО ОБРАЗОВАНИЯ
РОССИЙСКОЙ ФЕДЕРАЦИИ
ФЕДЕРАЛЬНОЕ ГОСУДАРСТВЕННОЕ БЮДЖЕТНОЕ
ОБРАЗОВАТЕЛЬНОЕ УЧРЕЖДЕНИЕ ВЫСШЕГО ОБРАЗОВАНИЯ
«УФИМСКИЙ УНИВЕРСИТЕТ НАУКИ И ТЕХНОЛОГИЙ»
СТЕРЛИТАМАКСКИЙ ФИЛИАЛ
|
Вступительный экзамен по направлению 04.04.01 Химия 2025-2026 уч. год |
УТВЕРЖДАЮ Директор СФ УУНиТ ___________ И.А. Сыров |
Экзаменационный билет №1
- Гидроксипроизводные углеводородов. Кислотно-основные свойства спиртов. Механизм реакции электрофильного замещения на примере галогенирования, сульфирования, нитрования, алкилирования и ацилирования фенола.
- Классификация электродов. Электроды первого, второго рода, газовые, амальгамные, редокси-электроды. Применение электродов (электроды сравнения, индикаторные электроды и др.).
Заведующий кафедрой ______________ Я.М. Абдрашитов
СПИСОК ЛИТЕРАТУРЫ
- Хаханина, Т. И. Органическая химия: учебник для среднего профессионального образования / Т. И. Хаханина, Н. Г. Осипенкова. — М.: Издательство Юрайт, 2025. — 396 с.
- Клюев, М. В. Органическая химия: учебное пособие для среднего профессионального образования / М. В. Клюев, М. Г. Абдуллаев. — М.: Издательство Юрайт, 2025. — 202 с.
- Каминский, В. А. Органическая химия: учебник для среднего профессионального образования / В. А. Каминский. — 2-е изд., испр. и доп. — М.: Издательство Юрайт, 2025. — 583 с.
- Дрюк, В. Г. Органическая химия: учебник для вузов / В. Г. Дрюк, В. Г. Карцев, В. П. Хиля. — 3-е изд., испр. и доп. — М.: Издательство Юрайт, 2025. — 491 с.
- Гаршин, А. П. Органическая химия: учебное пособие для среднего профессионального образования / А. П. Гаршин. — 3-е изд., испр. и доп. — М.: Издательство Юрайт, 2025. — 189 с.
- Дерябин, В. А. Физическая химия дисперсных систем : учебник для вузов / В. А. Дерябин, Е. П. Фарафонтова ; под научной редакцией Е. А. Кулешова. — М.: Издательство Юрайт, 2025. — 86 с.
- Казин, В. Н. Физическая химия : учебник для вузов / В. Н. Казин, Е. М. Плисс, А. И. Русаков. — 2-е изд., испр. и доп. — М.: Издательство Юрайт, 2025. — 182 с.
- Доломатов, М. Ю. Физико-химия наночастиц : учебник для вузов / М. Ю. Доломатов, Р. З. Бахтизин, М. М. Доломатова. — 2-е изд., перераб. и доп. — М.: Издательство Юрайт, 2025. — 285 с.
- Никитина, Н. Г. Общая и неорганическая химия. Химия элементов : учебник и практикум для вузов / Н. Г. Никитина, В. И. Гребенькова. — 2-е изд., перераб. и доп. — М.: Издательство Юрайт, 2025. — 304 с.
- Никитина, Н. Г. Аналитическая химия и физико-химические методы анализа : учебник и практикум для вузов / Н. Г. Никитина, А. Г. Борисов, Т. И. Хаханина ; под редакцией Н. Г. Никитиной. — 5-е изд., испр. — М.: Издательство Юрайт, 2025. — 451 с.
- Тупикин, Е. И. Общая и неорганическая химия : учебник для вузов / Е. И. Тупикин. — 2-е изд., испр. и доп. — М.: Издательство Юрайт, 2025. — 419 с.
- Технология переработки полимеров. Физические и химические процессы: учебник для вузов / под редакцией М. Л. Кербера. — 2-е изд., испр. и доп. — М.: Издательство Юрайт, 2025. — 316 с.
- Бекман, И. Н. Неорганическая химия. Радиоактивные элементы : учебник для вузов / И. Н. Бекман. — 2-е изд., испр. и доп. — М.: Издательство Юрайт, 2025. — 399 с.
- Высокомолекулярные соединения : учебник и практикум для вузов / под редакцией А. Б. Зезина. — М.: Издательство Юрайт, 2025. — 386 с.
- Плисс, Е. М. Кинетика гомолитических химических и биохимических реакций : учебник для вузов / Е. М. Плисс. — М.: Издательство Юрайт, 2025. — 248 с.
- Медведев, Н. Н. Молекулярная динамика. Получение моделей : учебник для вузов / Н. Н. Медведев. — М.: Издательство Юрайт, 2025. — 168 с.
- Росин, И. В. Общая и неорганическая химия. Общая химия : учебник / И. В. Росин, Л. Д. Томина. — М.: Издательство Юрайт, 2025. — 426 с.
- Никитина, Н. Г. Общая и неорганическая химия. Химия элементов : учебник и практикум для вузов / Н. Г. Никитина, В. И. Гребенькова. — 2-е изд., перераб. и доп. — М.: Издательство Юрайт, 2025. — 304 с.
- Общая и неорганическая химия: учебник и практикум для вузов / под общей редакцией В. В. Негребецкого, И. Ю. Белавина, В. П. Сергеевой. — М.: Издательство Юрайт, 2025. — 389 с.
- Смарыгин, С. Н. Неорганическая химия. Практикум : учебник и практикум для вузов / С. Н. Смарыгин. — М.: Издательство Юрайт, 2025. — 414 с.
- Физическая и коллоидная химия. В 2 ч. Часть 1. Физическая химия : учебник для вузов. – 2-е изд, испр. и доп. – Электрон. дан. – М.: Юрайт, 2022. – 259 с.
- Жуков Б. Д. Физическая химия: учебник / Б. Д. Жуков. – М.:
КНОРУС, 2024. – 351 с.
Политест 15.22.28
ПРОГРАММА
вступительных испытаний
для поступающих в магистратуру по направлениям подготовки
15.04.01 «Машиностроение»
программа (профиль)
«Лазерные и аддитивные технологии в авиадвигателестроении»,
«Сварочные и литейные технологии в авиадвигателестроении»
15.04.02 «Технологические машины и оборудование»
программа (профиль)
«Инжиниринг мехатронного технологического оборудования и комплексов»,
«Технологии и оборудование в авиадвигателестроении»
15.04.05 «Конструкторско-технологическое обеспечение
машиностроительных производств»
программа (профиль)
«Инновационные технологии в авиадвигателестроении»
15.04.06 «Мехатроника и робототехника»
программа (профиль)
«Мехатронные станочные системы»
22.04.01 «Материаловедение и технологии материалов»
программа (профиль)
«Неразрушающий контроль»
ОБЩИЕ ПОЛОЖЕНИЯ
Вступительные испытания предназначены для определения практической и теоретической подготовленности поступающего в магистратуру и проводятся с целью определения соответствия знаний умений и навыков требованиям обучения магистратуры по направлениям подготовки 15.04.01 «Машиностроение», 15.04.02 «Технологические машины и оборудование», 15.04.05 «Конструкторско-технологическое обеспечение машиностроительных производств», 15.04.06 «Мехатроника и робототехника», 22.04.01 «Материаловедение и технологии материалов» (магистратура). Программа составлена в соответствии с требованиями федерального государственного образовательного стандарта высшего профессионального образования.
Вступительные испытания в магистратуру проводят экзаменационные комиссии, назначенные председателем приёмной комиссии УУНиТ.
ПРОЦЕДУРА ВСТУПИТЕЛЬНОГО ИСПЫТАНИЯ
Дата и время проведения вступительного испытания и консультации определяются расписанием вступительных испытаний, которое утверждается председателем приемной комиссии.
Перед вступительным испытанием для поступающих проводится консультация по содержанию программы испытания, критериям оценки, предъявляемым требованиям, правилам поведения на испытании.
Форма вступительного испытания (в соответствии Положением о вступительных испытаниях УУНИТ): тестирование.
Вступительные испытания в виде электронного тестирования проводятся в соответствии с программами вступительных испытаний, утверждаемых председателем предметной комиссии.
Вступительные испытания в форме тестирования включают вопросы как закрытого, так и открытого типа, а также задания в аудио- и видеоформатах.
Составление вариантов экзаменационных заданий в форме электронных тестов осуществляется ответственным секретарем приемной комиссии университета.
Из вариантов экзаменационных заданий формируются комплекты вопросов-тестов.
Компоновку комплектов вопросов-тестов ответственный секретарь, заместитель ответственного секретаря производят до вступительных испытаний.
Тест содержит 40 тестовых вопросов.
Результаты испытаний оцениваются по 100 бальной шкале.
Абитуриент, не согласный с оценкой, полученной на ВИ и (или) в связи с нарушением процедуры проведения ВИ имеет право подать апелляцию. Процедура подачи и рассмотрения апелляции регламентируется Положением об апелляционной комиссии УУНиТ.
КРИТЕРИИ ОЦЕНИВАНИЯ ОТВЕТА
Критериями оценки экзаменационного ответа, поступающего в магистратуру являются полнота, логичность, доказательность, прочность, осознанность знаний и теоретическая обоснованность суждений, самостоятельность в интерпретации информации, практическая направленность, уровень овладения профессиональными умениями менеджера и др. В случае тестирования является правильные ответы на тестовые задания.
При проверке количество первичных баллов переводится в итоговую 100 балльную шкалу через информационную платформу университета.
СОДЕРЖАНИЕ РАЗДЕЛОВ И ТЕМ ПРОГРАММЫ ВСТУПИТЕЛЬНОГО ИСПЫТАНИЯ
Раздел «Математика»
Аналитическая геометрия
- Прямая на плоскости. Общее, каноническое и параметрическое уравнение прямой. Нормальное уравнение прямой Расстояние от точки до прямой. Взаимное расположение двух прямых. Угол между двумя прямыми.
- Плоскость в пространстве. Общее уравнение плоскости. Нормальное уравнение плоскости. Расстояние от точки до плоскости. Угол между плоскостями.
- Прямая в пространстве. Общие уравнения прямой, канонические уравнения прямой и параметрические уравнения прямой. Угол между прямыми в пространстве.
- Прямая и плоскость в пространстве. Взаимное расположение прямой и плоскости в пространстве. Угол между прямой и плоскостью.
Математический анализ
- Непрерывность функции. Точки разрыва функции и их классификация.
- Производная функции, ее геометрический смысл. Основные правила дифференцирования. Уравнение касательной и нормали к плоской кривой. Производная сложной функции.
- Условие возрастания и убывания функций. Точки экстремума. Достаточные признаки максимума и минимума. Отыскание наибольших и наименьших значений непрерывной на отрезке функции. Исследование на максимум и минимум с помощью производных высших порядков. Исследование функций на выпуклость. Точки перегиба. Асимптоты кривой.
- Первообразная. Неопределенный интеграл и его свойства. Замена переменной, интегрирование по частям. Интегрирование рациональных функций. Интегрирование тригонометрических функций. Интегрирование иррациональных функций.
- Определение определенного интеграла. Формула Ньютона-Лейбница. Основные свойства определенного интеграла. Замена переменной и интегрирование по частям в определенном интеграле.
Дифференциальные уравнения
- Дифференциальные уравнения с разделяющимися переменными. Однородные дифференциальные уравнения. Линейные дифференциальные уравнения j порядка. Уравнение Бернулли.
- Линейные однородные дифференциальные уравнения 2 порядка с постоянными коэффициентами. Линейные неоднородные дифференциальные уравнения 2 порядка с постоянными коэффициентами. Метод неопределенных коэффициентов.
Теория вероятностей.
- Виды случайных событий. Теоремы сложения и умножения вероятностей, вероятность суммы событий, вероятность произведения событий. Независимые события.
- Формула полной вероятности и формула Байеса.
- Дискретная случайная величина и ее закон распределения. Функция распределения случайной величины. Числовые характеристики дискретных случайных величин.
- Непрерывная случайная величина и ее закон распределения. Плотность распределения и функция распределения. Числовые характеристики непрерывных случайных величин
Раздел «Детали машин»
Основы проектирования
- Классификация механизмов, узлов и деталей. Основы проектирования механизмов, стадии разработки. Требования к деталям. Критерии работоспособности, влияющие на них факторы.
Соединения деталей машины
- Резьбовые соединения. Резьба. Основные понятия и определения. Геометрические параметры метрической резьбы. Методы изготовления резьбы. Анализ конструкций соединений основными крепежными деталями (болтом, винтом и шпилькой). Анализ способов стопорения резьбовых соединений. Теория винтовой пары. Зависимость между моментом, приложенным к гайке, и осевой силой на винте. Самоторможение и к.п.д. винтовой пары. Распределение осевой нагрузки по виткам резьбы. Критерии работоспособности и расчета подшипников качения. Расчет резьбы на прочность. Анализ конструкций болтового соединения, выполненного одиночным болтом, поставленным в отверстие с зазором, и болтом, поставленным в отверстие из-под развертки (с натягом). Расчет на прочность стержня затянутого болта при отсутствии внешней нагрузки. Расчет болтового соединения, выполненного в двух вариантах конструкции и нагруженного сдвигающей по стыку силой. Расчет предварительно затянутого болта, когда внешняя нагрузка раскрывает стык деталей соединения. Расчет соединений, включающих группу болтов.
- Сварные соединения. Общая характеристика. Типы сварных соединений и сварных швов. Расчет сварных швов нахлесточного соединения, нагруженного силой. Расчет на прочность угловых сварных швов нахлесточного соединения, нагруженного моментом. Расчет на прочность сварных швов таврового соединения.
- Шпоночные и зубчатые (шлицевые) соединения. Конструкции разъемного соединения призматической шпонкой и ее разновидностями. Подбор стандартной призматической шпонки и расчет шпоночного соединения на прочность. Шлицевое (зубчатое) соединение. Способы центрирования прямобочного шлицевого соединения. Условное обозначение соединения прямобочными шлицами.
- Механические передачи. Зубчатые передачи. Механические передачи. Кл ассификация, основные характеристики. Важнейшие силовые зависимости в передаче. Зубчатые передачи. Классификация. Область применения. Кинематическая схема трехступенчатой двухпоточной (в одной какой-либо ступени) зубчатой передачи. Основные геометрические и кинематические параметры эвольвентной цилиндрической зубчатой передачи. Виды разрушения зубьев зубчатых колес. Основные критерии расчетов зубьев на прочность. Коэффициент расчетной нагрузки в зубчатых передачах. Контактная прочность прямозубых цилиндрических передач. Расчет зубьев прямозубых цилиндрических колес по напряжениям изгиба. Косозубые цилиндрические передачи. Основные особенности расчета зубьев косозубых передач по контактным напряжениям. Конические зубчатые передачи. Особенности геометрии, кинематики, изготовления и сборки конических прямозубых передач. Особенности расчета зубьев конических прямозубых передач по контактным напряжениям. Особенности расчета зубьев конических прямозубых колес по напряжениям изгиба. Определение допускаемых напряжений при расчетах зубчатых передач на выносливость. Усилия в косозубой цилиндрической передаче. Усилия в зацеплении ортогональных прямозубых конических колес.
Валы, подшипники
- Валы и оси. Классификация. Критерии расчетов валов. Проектный расчет валов. Проверочный расчет вала передачи на прочность. Расчеты валов на жесткость (при изгибе и кручении).
- Подшипники. Опоры скольжения. Анализ конструкций, материалы вкладышей и требования к ним. Режимы трения и критерии расчета подшипников скольжения. Основы гидродинамической теории смазки для расчета опор скольжения жидкостного трения. Классификация подшипников качения. Расшифровка маркировки подшипника качения. Конструкции основных типов подшипников качения. Конструкция и область применения самоустанавливающихся подшипников качения. Конструкция и область применения радиально-упорных подшипников качения. Основные виды разрушения подшипников качения. Основные критерии расчета. Распределение нагрузки между телами качения в подшипнике качения. Контактные напряжения в деталях подшипника качения. Практический подбор подшипников качения по статической грузоподъемности. Практический подбор подшипников качения по динамической грузоподъемности. Особенности расчета нагрузки радиально-упорных подшипников качения при проверке их ресурса.
Раздел «Общее материаловедение и технология конструкционных материалов»
Кристаллическое строение металлов.
Кристаллическое строение металлов. Элементарная ячейка. Период решетки. Координационное число. Основные типы кристаллической решетки металлов: объемноцентрированная кубическая, гранецентрированная кубическая, гексагональная плотноупакованная решетка. Анизотропия свойств металлов. Дефекты кристаллического строения. Точечные, линейные и поверхностные дефекты. Вакансии. Межузельные атомы. Дислокации. Вектор Бюргерса дислокации. Краевые и винтовые дислокации. Движение дислокаций. Теоретическая и реальная прочность металлов. Границы зерен. Когерентные, полукогерентные и произвольные границы.
Формирование структуры металлов и сплавов.
Кристаллизация. Термодинамический стимул кристаллизации. Кинетические параметры процесса кристаллизации: скорость зарождения центров кристаллизации и линейная скорость роста кристаллов. Степень переохлаждения. Равновесная температура кристаллизации. Критический размер зародыща. Формирование структуры в процессе кристаллизации. Дендритная ликвация. Строение слитка. Полиморфные превращения металлов. Термодинамический стимул полиморфного превращения. Диффузионный и сдвиговой механизмы полиморфного превращения. Упругая и пластическая деформация металлов. Структурные изменения при холодной пластической деформации металлов. Наклеп. Структурные изменения при нагреве холоднодеформированного металла. Стадии возврата и рекристаллизации. Влияние нагрева на свойства холоднодеформированного металла.
Механические свойства металлов и сплавов.
Понятие о механических свойствах материалов. Механические характеристики, определяемые при испытаниях на одноосное растяжение. Методы определения твердости. Динамические испытания металлов и сплавов.
Теория сплавов.
Понятия: сплав, фаза, структура, компоненты, равновесное состояние. Твердые растворы замещения и внедрения. Условия образования неограниченных твердых растворов. Промежуточные фазы. Особенности химических соединений. Диаграммы фазового равновесия в двухкомпонентных системах. Диаграмма с неограниченной растворимостью компонентов в твердом состоянии. Правило фаз. Правило отрезков. Диаграмма с ограниченной растворимостью компонентов в твердом состоянии и образованием эвтектики. Диаграммы с образованием химического соединения. Диаграммы сплавов с полиморфным превращением.
Диаграмма состояния «Железо – углерод».
Компоненты и фазы системы «железо -углерод». Диаграмма состояния «железо цементит». Основные превращения. Структурообразование сплавов системы «железо - углерод» при охлаждении. Классификация сплавов по содержанию углерода. Диаграмма состояния «железо-графит». Процесс графитизации. Классификация чугунов по микроструктуре. Серый, высокопрочный и ковкий чугун. Влияние графита на свойства чугунов.
Термическая обработка стали.
Виды термической обработки стали. Основные превращения в сталях при охлаждении и нагреве. Отжиг 1 и 2 рода: назначение, режимы, влияние на структуру и свойства. Закалка: назначение, режимы, влияние на структуру и свойства. Закаливаемость и прокаливаемость. Отпуск: назначение, режимы, влияние на структуру и свойства. Диаграмма изотермического превращения переохлажденного аустенита для доэвтектоидной, эвтектоидной и заэвтектоидной сталей. Критическая скорость охлаждения. Диффузионное и мартенситное превращения аустенита при охлаждении. Мартенсит. Поверхностная закалка. Химико-термическая обработка стали. Цементация, азотирование, нитроцементация. Термомеханическая обработка.
Промышленные стали и сплавы.
Классификация сталей по составу и назначению. Маркировка углеродистых и легированных сталей. Конструкционные углеродистые и легированные стали. Инструментальные стали. Жаропрочные, жаростойкие и коррозионностойкие стали. Цветные металлы: сплавы меди, алюминия, никеля и титана. Классификация, маркировка, свойства и применение.
Неметаллические материалы.
Полимеры и пластмассы. Реакции образования полимеров: полимеризация и поликонденсация. Структура полимеров: линейная, разветвленная и пространственная. Свойства полимеров. Термопласты и реактопласты. Стекла и ситаллы. Виды и свойства стекла. Эластомеры. Вулканизация. Свойства и структура резины. Понятие композиционных материалов. Получение композиционных материалов.
Основы литейного производства.
Литейные свойства сплавов. Жидкотекучесть, линейная и объемная усадки, склонность к поглощению газов и образованию мелкокристаллической структуры и напряжений в отливках. Склонность к ликвации. Влияние литейных свойств на качество отливок. Технологический процесс получения отливок в разовых песчано-глинистых формах. Технологии, схемы, область применения специальных способов литья: в кокиль, по выплавляемым и выжигаемым моделям, центробежное литье с вертикальной и горизонтальной осью вращения, литье под давлением с горячей и холодной камерами прессования, в оболочковые песчано-смоляные формы. Преимущества и недостатки литья заготовок. Дефекты отливок, методы их предупреждения и исправления.
Основные способы обработки металлов давлением: прокатка, ковка и штамповка, прессование и волочение.
Физические основы пластической деформации металлов. Холодная и горячая деформация. Наклеп, возврат и рекристаллизация, их влияние на свойства материала. Ковка и горячая объемная штамповка: оборудование, инструмент. Открытая и закрытая штамповка. Сущность, основные операции ковки. Достоинства и недостатки ковки и объемной штамповки Листовая штамповка. Прокатка, прессование и волочение: достоинства и недостатки способов, область применения. Сущность процесса прокатки. Основные параметры процесса прокатки, сортамент проката, инструмент и оборудование (схема прокатного стана, классификация прокатных станов по количеству валков, непрерывные прокатные станы, устройство валков). Сущность процессов прессования и волочения. Исходные заготовки и готовая продукция. Инструмент и оборудование. Достоинства и недостатки способов, область применения.
Основы технологии сварочного производства. Физическая сущность сварки. Условия получения идеального сварного соединения. Классификация способов сварки. Сварка давлением и плавлением: отличия, понятие свариваемость, ограниченная свариваемость. Различные способы сварки плавлением. Ручная электродуговая сварка. Сварочная электрическая дуга. Три этапа зажигания сварочной дуги. Электроды для ручной дуговой сварки. Автоматическая дуговая сварка под флюсом. Сущность, достоинства и недостатки, область применения. Сварка в среде защитных газов. Сварка сжатой дугой (плазменная). Электронно-лучевая сварка. Лазерная сварка. Электрическая контактная сварки. Сущность способа. Разновидности электрической контактной сварки. Различные способы сварки давлением. Диффузионная сварка. Сварка трением. Ультразвуковая сварка. Холодная сварка. Сварка взрывом. Термитная сварка. Электрошлаковая сварка. Области применения. Пайка, напыление, наплавочные работы. Сущность и область применения пайки.
Основы технологии механической обработки. Общая характеристика и основные методы обработки металлов резанием на металлорежущих станках. Точение, сверление, фрезерование: главное движение резания и движение подачи. Стружка: виды. Наростообразование при резании металлов: влияние нароста при чистовом и черновом точении.
Демоверсия экзаменационного варианта
1. Большие постоянные напряжения в деталях могут вызывать…
A) потерю виброустойчивости
B) потерю жесткости
C) потерю статической прочности
D) потерю выносливости
ANSWER: C
2. Вакансия является дефектом …
A) объемным
B) поверхностным
C) точечным
D) линейным
ANSWER: C
3.Расстояние от точки (-5;3) до оси Oy равно …
A) 5
B) 3
C) 2
D) 
ANSWER: A
4. Внешняя нагрузка, приходящаяся на один болт F. Усилие затяжки F3 при переменной нагрузке надо назначить …
A) F3 = (2,5...4)F
B) F3 = (1,25...2)F
C) F3 = 5F
D) F3 = 1F
ANSWER: A
5 Деформация металла при температуре ниже температуры рекристаллизации называется …
A) упругой
B) холодной
C) теплой
D) пластической
ANSWER: B
6. Скорость материальной точки, движущейся прямолинейно по закону
, в момент времени t=3 равна…
A) 5
B) 6
C) 7
D) 
ANSWER: A
СПИСОК ЛИТЕРАТУРЫ
Раздел «Математика»
1. Беклемишев Д. В. Курс аналитической геометрии и линейной алгебры. М.: Физматлит, 2007.
2. Проскуряков И.В. Сборник задач по линейной алгебре. СЛб: Лань, 2008.
3. Беклемишева Л.А. Сборник задач по аналитической геометрии и линейной алгебре. М.: Физматлит, 2006.
4. Ефимов Н.В. Линейная алгебра и многомерная геом етрия. М.: Физматлит, 2004.
5. Ильин В.А. , Позняк Э.Г. Основы математического анали з а . Т. 1, 2. М.: Фи з матл ит, 2009.
6. Фихтенгольц Г.М . Курс дифференциального и интегрального исчислени я . Т. 1, 2, 3. М.: Физматлит, 2003, 2007, 2008.
7. Демидович Б .П. Сборник задач и упражнений по математическому анализу. М.: Астрель, 2007.
8. Кудрявцев Л.Д, Кутасов А.Д., Чехлов В.И., Шабунин М.И. Сборник задач по математическому анализу. В 3 - х т. М. : Физматлит, 2003.
Раздел «Детали машин»
1. Иванов М.Н. Детали машин: Учеб. для студ. втузов / М.Н.Иванов, В.А.Финогенов; ред. В.А.Козлов. - 12-е испр. - М.:Высшая школа. 2003.- 408 с . ISBN 978-5-06-005678-2
2. Дунаев П.Ф. Конструирование узлов и деталей машин: Учеб. пособие для вузов / П.Ф.Дунаев, О.П.Леликов. - 10-е изд., перераб. и доп. - М.: Академия, 2004. - 496 с. ISBN 978-5-7695-4929-8
3. Атлас конструкций узлов и деталей машин : Учебн. Пособие/Б.А.Байков, А.В.Клыпин, И.К.Гамулич и др.; Под ред. О.А.Ряховског. - М.: МГТУ им. Н.Э.Баумана, 2007. - 384 с. ISBN 5-7038-2734-5
4. Рощин Г.И., Самойлов Е.А. и др. Детали машин и основы конструирования: Дрофа, 2006. Формат PDF, р-р 523 Мб; JSBN: 5-7107- 80863.
5. Олофинская В.П. Детали машин. Краткий курс и тестовые задания. - Форум, 2006. JSBN; 5-91134-005-4; 5-16-002523-5; Формат PDF.
6. Дудко Т.А. Детали машин и основы конструирования учебное пособие для кур сового проектирования. Программа АРМ Winmashine modul АРМ.
7. Бучаков Ю.В. Элементы конструирования деталей машин. - Омск, 2005, формат dok; р - р 1,22 Мб. Для сайта: MirKnig.com.
8. Алексеев Н . А., Джанай В . В., Серпичева Е.В. Основы проектирования и конструирования деталей машин и механизмов. - М.: МАИ,2006, формат pdf.
9. Ерохин М.Н. Детали машин и основы конструирования: Колосс, 2005, формат djvu, JSBN: 5-9532-0044-7.
Раздел «Общее материаловедение и технология конструкционных материалов»
1. Арзамасов Б.Н. Материаловедение. М.: Машиностроение, 2002. - 400 с., ил.
2. Солнцев Ю.П., Пряхин Е.И. Материаловедение: Учебник для вузов. Изд.3-е перераб. и доп. - СПб.: ХИМИЗДАТ, 2004. - 736 с.: ил.
3.Фетисов Г.П., Карпман М.Г., Матюнин В.М. и др. Материаловедение и технология металлов: Учеб. для студентов машиностроит.спец.вузов. - 4-е изд., испр. - М.: Высш.шк. , 2006. - 862 с.; ил.
3. Конструкционные материалы: Справочник. Под общ.ред. Б.Н.Арзамасова. - М.: Машиностроение, 1990. - 688 с.
4. Строение и свойства авиационных материалов. Учебник дл я вузов.
Под ред акад. Белова А.Ф., д.т.н., проф. Николенко В.В. - М.: Металлургия, 1989. - 368 с.
- Зарипова Р.Г. Материаловедение. Электронное учебное пособие. Уфа: УГ АТУ, 2002. Ugatu@ac/da/ru/otim.
Педагогика дошкольного и начального образования
ПРОГРАММА
вступительного испытания
для поступающих в магистратуру по направлению подготовки
44.04.01 «Педагогическое образование»
программы (профили):
«Начальное образование»,
«Дошкольное образование»
ОБЩИЕ ПОЛОЖЕНИЯ
Вступительные испытания предназначены для определения практической и теоретической подготовленности поступающего в магистратуру и проводятся с целью определения соответствия знаний умений и навыков требованиям обучения магистратуры по направлению подготовки 44.04.01 «Педагогическое образование» (магистратура). Программа составлена в соответствии с требованиями федерального государственного образовательного стандарта высшего профессионального образования.
Вступительные испытания в магистратуру проводят экзаменационные комиссии, назначенные председателем приёмной комиссии УУНиТ.
ПРОЦЕДУРА ВСТУПИТЕЛЬНОГО ИСПЫТАНИЯ
Дата и время проведения вступительного испытания и консультации определяются расписанием вступительных испытаний, которое утверждается председателем приемной комиссии.
Перед вступительным испытанием для поступающих проводится консультация по содержанию программы испытания, критериям оценки, предъявляемым требованиям, правилам поведения на испытании.
Форма вступительного испытания (в соответствии Положением о вступительных испытаниях УУНИТ): устно-письменная.
Вступительные испытания в виде устно-письменного экзамена проводятся в соответствии с программами вступительных испытаний, утверждаемых председателем приемной комиссии.
Экзаменационные билеты включают два вопроса по направлению подготовки (по специальности).
В аудитории, где проводится вступительное испытание в устно-письменной форме, не может находиться одновременно более 6 человек. Нахождение в аудитории посторонних лиц не допускается.
Абитуриенту предоставляется право готовиться к ответу в течение 30 минут.
Абитуриенту предоставляется право ответа на экзаменационные вопросы в течение 20-25 минут.
В процессе сдачи вступительного испытания абитуриенту могут быть заданы дополнительные вопросы как по содержанию экзаменационного билета, так и по любым разделам предмета в пределах программы вступительного испытания.
Абитуриент, не согласный с оценкой, полученной на ВИ и (или) в связи с нарушением процедуры проведения ВИ имеет право подать апелляцию. Процедура подачи и рассмотрения апелляции регламентируется Положением об апелляционной комиссии УУНиТ.
КРИТЕРИИ ОЦЕНИВАНИЯ ОТВЕТА
Критериями оценки экзаменационного ответа, поступающего в магистратуру являются полнота, логичность, доказательность, прочность, осознанность знаний и теоретическая обоснованность суждений, самостоятельность в интерпретации информации, практическая направленность, уровень овладения профессиональными умениями менеджера и др. В случае тестирования является правильные ответы на тестовые задания.
Результаты вступительного испытания определяются по 100-балльной шкале, разброс баллов представлен ниже в таблице:
|
№ |
Критерии оценивания |
Оценка |
|
1 |
Дан полный развернутый ответ на теоретический вопрос:
|
85-100 баллов «отлично» |
|
2 |
Дан в целом правильный ответ на теоретический вопрос:
|
67-84 балла «хорошо» |
|
3 |
Дан в основном правильный ответ на теоретический вопрос:
|
50-66 баллов «удовлетворительно» |
|
4 |
|
0-49 баллов «неудовлетворительно» |
СОДЕРЖАНИЕ РАЗДЕЛОВ И ТЕМ ПРОГРАММЫ
ВСТУПИТЕЛЬНОГО ИСПЫТАНИЯ
РАЗДЕЛ 1. ОБЩИЕ ОСНОВЫ ПЕДАГОГИКИ
Педагогика в системе современного человекознания.
Социальные функции педагогики как области гуманитарного знания и как компонента культуры общества. Становление и развитие педагогики как науки. Ее важнейшие деятели. Структура педагогической науки. Расширение отраслей педагогической науки.
Взаимодействие педагогической теории и практики. Педагогика как наука и искусство. Связь педагогики с другими отраслями человекознания. Задачи педагогической науки.
Задачи и специфика дошкольной педагогики, ее связь с другими отраслями человекознания.
Задачи и специфика педагогики начального образования, ее связь с другими отраслями человекознания.
Образование как социальное явление и педагогический процесс.
Образование как социокультурный феномен и педагогический процесс. Образование как общечеловеческая ценность, его социокультурные функции. Гуманистическая направленность образования.
Понятие о системе образования, характеристика ее основных звеньев. Принципы государственной политики в области образования (Закон Российской Федерации «Об образовании»). Модели, типы, виды, уровни образования.
Система непрерывного образования в современных условиях. Особенности дошкольного и начального образования. Задачи дошкольного и начального образования
Сущность образовательного процесса, его двусторонний характер. Функции и структура педагогического процесса, его компоненты. Общность и специфика процессов обучения и воспитания детей дошкольного возраста.
Общность и специфика процессов обучения и воспитания детей младшего школьного возраста Принципы воспитания и обучения как отражение закономерностей, как основные требования к организации педагогического процесса. Характеристика основных принципов.
Методология педагогики.
Понятие о методологии педагогики. Философские основания педагогики. Виды и уровни педагогических исследований: философский, общенаучный, конкретнонаучный, технологический.
Методологическая культура педагога. Логика научного педагогического исследования, его основные характеристики. Специфика эмпирических и теоретических методов педагогического исследования.
Педагогическая деятельность и личность педагога.
Педагогическая культура. Личностные и профессионально значимые качества педагога. Виды педагогической деятельности. Профессиональные знания и умения. Гуманизация цели и принципов педагогической деятельности. Личность ребенка как объект и субъект педагогических воздействий. Возрастная периодизация развития ребенка.
Сущность социализации. Механизмы социализации: традиционный, институциональный, стилизованный, межличностный, рефлексивный. Естественно-культурные, социально-культурные, социально-психологические задачи социализации личности. Факторы социализации и формирования личности. Взаимодействие факторов социализации между собой. Осуществление социализации человека в процессе его взаимодействия с многообразными факторами.
РАЗДЕЛ 2. ТЕОРИЯ ОБУЧЕНИЯ
Дидактика.
Дидактика как наука и учебный предмет. Общая и частная дидактика. Основные категории дидактики. Соотношение категорий: обучение, преподавание, учение, образование, самообразование.
Тенденции развития дидактики. Современные теории обучения (дидактические концепции): ассоциативная и деятельностная. Педагогика сотрудничества как основа личностно-ориентированного подхода в образовательном процессе в системе дошкольного и начального образования.
Обучение в системе целостного педагогического процесса.
Обучение как составная часть целостного педагогического процесса, его сущность, противоречия, движущие силы. Особенности современной модели обучения в системе дошкольного и начального образования. Единство преподавания и учения. Двусторонний и личностный характер обучения. Функции процесса обучения. Этапы процесса обучения: планирование, организация, контроль, оценка и коррекция. Мотивы, ход и результаты процесса. Закономерности и принципы обучения, их характеристика. Реализация принципов обучения в условиях современной системы дошкольного и начального образования.
Содержание образования, тенденции его развития.
Содержание образования как фундамент базовой культуры личности. Понятие содержания образования. Знания, умения, навыки, развитие познавательных способностей, опыт творческой деятельности, ценностного отношения к миру – результат процесса образования.
Виды и способы получения образования в мировой и отечественной практике. Общее, профессиональное, политехническое образование. Система дошкольного образования. Характерные особенности ступени начального общего образования.
Государственный образовательный стандарт. Содержание обучения в учебном плане, учебных программах, учебниках и учебных пособиях.
Типология и многообразие образовательных учреждений.
Методы и средства обучения в системе целостного педагогического процесса.
Методы обучения как педагогическая категория, как элемент целостного педагогического процесса. Классификации и характеристика современных методов обучения. Критерии выбора метода обучения. Приемы и средства обучения. Функции дидактических средств. Средства обучения в системе дошкольного и начального образования. Классификация дидактических средств (визуальные, аудиальные, аудиовизуальные средства и дидактические машины). Компьютеризация начального обучения.
Формы организации обучения.
Многообразие форм обучения в различных системах образования. Классификация организационных форм обучения: индивидуальные, групповые и коллективные. Формы организации образовательного процесса в системе дошкольного и начального образования. Характеристика различных форм организации обучения в начальной школе. Формы организации обучения и их связь с возрастными особенностями детей дошкольного возраста
Особенности и признаки классно-урочной системы обучения. Особенности школьного урока.
Педагогическая оценка.
Социальные и психологические основы оценивания. Сущность и функции оценивания. Образовательная, воспитательная и развивающая функции проверки и оценки усвоения знаний. Содержание, виды проверки и оценки знаний, умений, навыков. Оценка и отметка. Методика педагогической оценки. Методы контроля и самоконтроля.
Диагностика развития личности ребенка дошкольного возраста в образовательном процессе.
РАЗДЕЛ 3. ТЕОРИЯ ВОСПИТАНИЯ
Воспитание в системе целостного педагогического процесса.
Понятие о воспитании в социальном и педагогическом значении слова. Сущность, функции и основные особенности процесса воспитания (целенаправленность, двусторонний характер, целостность, многофакторность, непрерывность). Отличие воспитания от обучения. Основные функции воспитания и структура воспитательного процесса.
Воспитание, самовоспитание, перевоспитание. Закономерный характер процесса воспитания детей дошкольного и младшего школьного возраста. Характеристика закономерностей воспитательного процесса. Особенности их проявления в ходе воспитательной работы. Развитие системы принципов воспитания. Условия эффективности воспитательного процесса. Роль педагога в современном воспитательном процессе.
Цели, задачи и содержание воспитания.
Цели воспитания в современном обществе. Разностороннее и гармоничное развитие личности. Содержание воспитания как формирование «базовой культуры личности». Задачи воспитания детей дошкольного и младшего школьного возраста.
Умственное воспитание в целостном педагогическом процессе. Задачи умственного воспитания. Нравственное воспитание – ведущее звено разностороннего развития личности. Задачи и содержание нравственного воспитания. Характеристика основных средств и методов физического воспитания. Сущность эстетического воспитания и его место в гармоничном развитии личности. Пути и средства эстетического воспитания. Задачи и пути организации трудового воспитания. Система профессиональной ориентации школьников (профессиональное просвещение, профессиональная диагностика, профессиональное консультирование, профессиональный отбор, профессиональная адаптация). Взаимосвязь всех направлений развития личности. Преемственность воспитания детей дошкольного и младшего школьного возраста.
Система методов и форм воспитания.
Методы и приемы воспитания в системе целостного педагогического процесса. Подходы к классификации методов воспитания, их характеристика. Методы формирования сознания личности. Методы организации деятельности и формирования опыта общественного поведения. Методы стимулирования поведения и деятельности. Методы контроля, самоконтроля и самооценки в воспитании. Взаимосвязь методов воспитания. Факторы, влияющие на оптимальный выбор и применение конкретного метода воспитания. Основные средства воспитания. Взаимосвязь методов, форм и средств воспитания детей дошкольного и младшего школьного возраста. Типология форм воспитания. Формы организации воспитания детей дошкольного возраста. Формы организации воспитания детей младшего школьного возраста.
Детский воспитательный коллектив и его роль в формировании личности. Основные признаки детского коллектива. Структура и основные типы детского коллектива. Воспитательная работа с коллективом детей. Этапы и пути формирования детского коллектива.
Педагогические основы взаимодействия образовательного учреждения и семьи. Методы и формы организации работы с родителями.
Педагогическая технология как составная часть педагогического мастерства.
Педагогическая технология как последовательная взаимосвязанная система действий педагога, направленных на решение педагогических задач; планомерное и последовательное воплощение на практике заранее спроектированного педагогического процесса; его организационно-методический инструментарий.
Слагаемые педагогической технологии: технологии обучения (дидактические технологии) и технологии воспитания. Классификация и характеристика педагогических технологий.
Демоверсия экзаменационного варианта
МИНИСТЕРСТВО НАУКИ И ВЫСШЕГО ОБРАЗОВАНИЯ
РОССИЙСКОЙ ФЕДЕРАЦИИ
ФЕДЕРАЛЬНОЕ ГОСУДАРСТВЕННОЕ БЮДЖЕТНОЕ
ОБРАЗОВАТЕЛЬНОЕ УЧРЕЖДЕНИЕ ВЫСШЕГО ОБРАЗОВАНИЯ
«УФИМСКИЙ УНИВЕРСИТЕТ НАУКИ И ТЕХНОЛОГИЙ»
СТЕРЛИТАМАКСКИЙ ФИЛИАЛ
ФАКУЛЬТЕТ ПЕДАГОГИКИ И ПСИХОЛОГИИ
|
Вступительный экзамен по направлению 44.04.01 Педагогическое образование |
УТВЕРЖДАЮ |
|
программы: «Начальное образование», «Дошкольное образование» |
Директор СФ УУНиТ |
|
2025-2026 уч. год |
________ И.А. Сыров |
Экзаменационный билет № 1
- Задачи, объект и предмет педагогики. Связь педагогики с другими науками.
- Формы организации образовательного процесса в системе дошкольного и начального образования.
Зав. кафедрой ДиНО _______________ Л.Б. Абдуллина
СПИСОК ЛИТЕРАТУРЫ
- Артеменко О.Н. Педагогика: учебное пособие / О.Н. Артеменко, Л.И. Макадей; Министерство образования и науки Российской Федерации, Федеральное государственное автономное образовательное учреждение высшего профессионального образования «Северо-Кавказский федеральный университет». - Ставрополь: СКФУ, 2015. - 251 с.: ил. - Библиогр.: с. 215-217. - ISBN 978-5-9296-0731-8; То же [Электронный ресурс]. - URL: http://biblioclub.ru/index.php?page=book&id=457136 (24.03.2025)
- Мандель Б.Р. Педагогика: учебное пособие / Б.Р. Мандель. - 2-е изд., стер. - Москва: Флинта, 2014. - 288 с.: табл., схем. - ISBN 978-5-9765-1685-4; То же [Электронный ресурс]. - URL: http://biblioclub.ru/index.php?page=book&id=463778 (24.03.2025)
- Педагогика: Учебник для студентов педагогических вузов и педагогических колледжей: учебник / под ред. П.И. Пидкасистого. - 5-е изд., допол. и перераб. - Москва: Педагогическое общество России, 2008. - 580 с. - ISBN 978-5-93134-371-6; То же [Электронный ресурс]. - URL: http://biblioclub.ru/index.php?page=book&id=93280 (24.03.2025)
- Пешкова В.Е. Педагогика: курс лекций: учебное пособие / В.Е. Пешкова. - Москва; Берлин: Директ-Медиа, 2015. - Ч. 3. Теория и методика воспитания. - 161 с.: ил. - Библиогр. в кн. - ISBN 978-5-4475-3913-9; То же [Электронный ресурс]. - URL: http://biblioclub.ru/index.php?page=book&id=426827 (24.03.2025).
- Сударчикова Л.Г. Введение в основы педагогического мастерства / Л.Г. Сударчикова ; науч. ред. Е. Кузьмина. - 3-е изд., стер. - Москва : Флинта, 2014. - 377 с.: ил. - ISBN 978-5-9765-1968-8 ; То же [Электронный ресурс]. - URL: http://biblioclub.ru/index.php?page=book&id=363750 (24.03.2025).
Гидрометеорология
ПРОГРАММА
вступительного испытания
для поступающих в магистратуру по направлению подготовки
05.04.04 «Гидрометеорология»
программа (профиль)
«Организация и планирование в инженерно-гидрометеорологических изысканиях»
ОБЩИЕ ПОЛОЖЕНИЯ
Вступительные испытания предназначены для определения практической и теоретической подготовленности поступающего в магистратуру и проводятся с целью определения соответствия знаний умений и навыков требованиям обучения магистратуры по направлению подготовки 05.04.04 «Гидрометеорология» (магистратура). Программа составлена в соответствии с требованиями федерального государственного образовательного стандарта высшего профессионального образования.
Вступительные испытания в магистратуру проводят экзаменационные комиссии, назначенные председателем приёмной комиссии УУНиТ.
ПРОЦЕДУРА ВСТУПИТЕЛЬНОГО ИСПЫТАНИЯ
Дата и время проведения вступительного испытания и консультации определяются расписанием вступительных испытаний, которое утверждается председателем приемной комиссии.
Перед вступительным испытанием для поступающих проводится консультация по содержанию программы испытания, критериям оценки, предъявляемым требованиям, правилам поведения на испытании.
Форма вступительного испытания (в соответствии Положением о вступительных испытаниях УУНИТ): тестирование.
Вступительные испытания в виде электронного тестирования проводятся в соответствии с программами вступительных испытаний, утверждаемых председателем предметной комиссии.
Вступительные испытания в форме тестирования включают вопросы как закрытого, так и открытого типа, а также задания в аудио- и видеоформатах.
Составление вариантов экзаменационных заданий в форме электронных тестов осуществляется ответственным секретарем приемной комиссии университета.
Из вариантов экзаменационных заданий формируются комплекты вопросов-тестов.
Компоновку комплектов вопросов-тестов ответственный секретарь, заместитель ответственного секретаря производят до вступительных испытаний.
Тест содержит 40 тестовых вопросов.
Результаты испытаний оцениваются по 100 бальной шкале.
Абитуриент, не согласный с оценкой, полученной на ВИ и (или) в связи с нарушением процедуры проведения ВИ имеет право подать апелляцию. Процедура подачи и рассмотрения апелляции регламентируется Положением об апелляционной комиссии УУНиТ.
КРИТЕРИИ ОЦЕНИВАНИЯ ОТВЕТА
Критериями оценки экзаменационного ответа, поступающего в магистратуру являются полнота, логичность, доказательность, прочность, осознанность знаний и теоретическая обоснованность суждений, самостоятельность в интерпретации информации, практическая направленность, уровень овладения профессиональными умениями менеджера и др. В случае тестирования является правильные ответы на тестовые задания.
При проверке количество первичных баллов переводится в итоговую 100 балльную шкалу через информационную платформу университета.
СОДЕРЖАНИЕ РАЗДЕЛОВ И ТЕМ ПРОГРАММЫ ВСТУПИТЕЛЬНОГО ИСПЫТАНИЯ
Общая гидрология
1. Химические и физические свойства природных вод.
2. Круговорот воды в природе и водные ресурсы Земли.
3. Физические основы гидрологических процессов.
4. Водные объекты. Понятие о гидросфере.
5. Гидрологический режим и гидрологические процессы.
Метеорология и климатология
1. Наблюдения и информационные сети в метеорологии.
2. Первичная и вторичная метеорологическая информация.
3. Барические образования.
4. Типы прогнозов и уровни срочности сообщений.
Гидрология озер и водохранилищ
1. Классификация озер.
2. Водные массы.
3. Гидрологическая структура водоема.
4. Химический состав воды.
5. Трофический статус озер.
6. Уравнение баланса наносов в озере.
7. Термическая классификация Ф.А. Фореля.
8. Термодинамическая типизация озер. Термический бар.
Гидрология рек
- Физико-географические, геологические и морфометрические характеристики речного бассейна: речная сеть.
- Питание рек.
- Потери воды на испарение и инфильтрацию.
- Водный баланс речного бассейна и участка реки.
- Водный режим рек.
- Термический и ледовый режим рек.
- Гидробиологический и гидрохимический режим рек.
- Динамика и кинематика речного потока.
- Речные наносы.
- Русловые процессы.
Гидрометрия и гидрометеорологический мониторинг
1. Определение науки, цели и задачи курса.
2. Наблюдения за уровнями воды.
3. Вычисление расхода воды, измеренного поплавками.
4. Вычисление расхода воды, измеренного вертушкой.
5. Измерение глубин.
6. Определение зависимости между расходами и уровнями.
Почвоведение с основами почвенной гидрологии
1. Разделы почвоведения. Методы почвоведения.
2. Факторы почвообразования.
3. Морфологические признаки почв.
4. Влажность почвы. Весовая и объемная влажность почвы.
5. Режим почвы. Типы режима почв.
Гидробиологический мониторинг
- Предмет, методы и задачи экологии водных экосистем.
- Структурно-функциональные особенности водных экосистем.
- Основные экологические группы (жизненные формы) водных организмов.
- Питание гидробионтов. Трофические группы. Кормовые ресурсы, кормовая база и кормность водных объектов.
- Загрязнение и самоочищение водоемов. Общая характеристика основных типов антропогенного воздействия на водные экосистемы.
- Загрязнение водных экосистем. Проблема «чистой воды». Экологические основы охраны гидросферы.
Гидрометеорологические основы охраны окружающей среды
1. Мониторинг и контроль загрязнения атмосферы.
2. Законодательство в области охраны окружающей среды.
3. Показатели и индексы загрязнения атмосферы.
4. Загрязнение атмосферного воздуха.
Нормативно-правовые основы водопользования
- Понятие водного права как отрасли права. Предмет, метод и система водного права. Принципы водного права.
- Понятие, виды и общая характеристика водных объектов как объектов водных отношений.
- Понятие и формы права собственности на водные объекты. Субъекты права собственности на водные объекты.
- Понятие государственного управления в области использования и охраны водных объектов. Понятие муниципального управления в области использования и охраны водных объектов.
- Понятие функций государственного управления в области использования и охраны водных объектов.
- Понятие, принципы, классификация видов права водопользования.
- Понятие правовой охраны водных объектов. Правовая охрана водных объектов от засорения, загрязнения и истощения.
- Понятие и принципы экономического механизма платности за использование, восстановление и охрану водных объектов.
- Понятие и функции юридической ответственности за водные правонарушения.
Водные проблемы
- Водные ресурсы суши.
- Бассейновый принцип в водопользовании и охране водных ресурсов.
- Проблемы рационального использования и охраны водных ресурсов.
- Водные проблемы, обусловленные влиянием на состояние природных вод сельского хозяйства, рекреации, рыбного хозяйствам и гидроэнергетики.
- Общие требования к составу и свойствам воды водных объектов, используемых в рыбохозяйственных целях.
- Загрязняющие вещества и их виды. Понятия ПДК, ПДС, ПДВВ, ИЗВ, УКИЗВ. Способы и методы очистки сточных вод.
- Индивидуальные нормы водопотребления и водоотведения, допустимый сброс.
Инженерная гидрология
- Основные гидрометеорологические характеристики, используемые в инженерных гидрологических расчетах.
- Расчет гидрологических характеристик при разном объеме гидрометрической информации.
- Расчет гидрологических характеристик при наличии длинного ряда гидрометрических наблюдений.
- Расчет гидрологических характеристик при ограниченности данных гидрометрических наблюдений.
- Расчет гидрологических характеристик при отсутствии данных гидрометрических наблюдений.
Гидрометеорологические прогнозы
1. Виды гидрометеорологических прогнозов.
2. Группы фонда научно-оперативных материалов.
3. Методики составления гидрологических прогнозов.
4. Гидрологическая информация для составления прогноза.
5. Составление гидрологических прогноз.
6. Долгосрочные прогнозы.
7. Заблаговременность и оправдываемость прогноза.
8. Эффективность методики Государственного гидрологического института.
9. Оправдываемость метода Гидрометцентра.
10. Долгосрочные прогнозы ледовых явлений на реках.
11. Прогноз волны паводка по линейной модели трансформации.
Методы гидрометеорологических изысканий
1. Инженерно-гидрометеорологические изыскания
2. Методики гидрологических измерений
3. Назначение и задачи гидрометеорологических изысканий
4. Экономические аспекты гидрометеорологических исследований
Гидрогеология
- Гидрогеологическая стратификация. Таксономические единицы.
гидрогеологической стратификации.
2. Физические свойства подземных вод.
3. Химический состав подземных вод.
4. Жесткость подземных вод. Виды жесткости.
5. Типы подземных вод.
6. Трещиноватость горных пород. Виды трещиноватости.
7. Формы выражения результатов анализа воды.
8. Виды воды в горных породах.
Общая и речная гидравлика
1. Разделы гидравлики. Предмет, задачи гидравлики.
2. Закон Паскаля.
3. Давление жидкости.
4. Уравнение Бернулли.
5. Движение жидкости. Виды движения.
6. Сопротивления. Виды сопротивлений.
7. Гидравлические характеристики.
Демоверсия экзаменационного варианта
Выберите один правильный ответ: |
|
А. выпадение атмосферных осадков, испарение с поверхности водных объектов, подземный сток; Б. выпадение атмосферных осадков, речной сток, водопотребление хозяйственными объектами; В. выпадение атмосферных осадков, речной сток, испарение с поверхности бассейна реки; Г. речной сток, приток и отток поверхностного стока, испарение; Д. правильного ответа нет |
СПИСОК ЛИТЕРАТУРЫ
- Баженова, О. П. Водное, земельное и экологическое право : учебное пособие / О. П. Баженова, О. О. Кренц. — Омск : Омский ГАУ, 2021. — 58 с. — ISBN 978-5-89764-967-9. — Текст : электронный // Лань : электронно-библиотечная система. — URL: https://e.lanbook.com/book/176593
- Гальперин А.М. Геология. Часть III. Гидрогеология. М.: Горная книга, 2009, 397 с. - Доступ к тексту электронного издания возможен через Электронно-библиотечную систему "Университетская библиотека online" <URL:http://www.biblioclub.ru/book/79052/>.
- Дряхлов, В. О. Инженерно-экологические изыскания : учебно-методическое пособие / В. О. Дряхлов. — Казань : КНИТУ, 2022. — 88 с. — ISBN 978-5-7882-3261-4. — Текст : электронный // Лань : электронно-библиотечная система. — URL: https://e.lanbook.com/book/412259
- Зайцев, В. А. Промышленная экология : учебное пособие / В. А. Зайцев. — Москва : Лаборатория знаний, 2012. — 382 с. — ISBN 978-5-9963-1477-5. — Текст : электронный // Лань : электронно-библиотечная система. — URL: https://e.lanbook.com/book/4365
- Игнатова, А. Ю. Промышленная экология. Курс лекций : учебное пособие / А. Ю. Игнатова. — Кемерово : КузГТУ имени Т.Ф. Горбачева, 2017. — 96 с. — ISBN 978-5-906888-90-7. — Текст : электронный // Лань : электронно-библиотечная система. — URL: https://e.lanbook.com/book/105443
- Инженерно-гидрометеорологические изыскания : учебно-методическое пособие / составители О. Г. Савичев, М. В. Решетько. — Томск : ТПУ, 2020. — 250 с. — ISBN 978-5-4387-0936-7. — Текст : электронный // Лань : электронно-библиотечная система. — URL: https://e.lanbook.com/book/246245
- Инженерно-гидрометеорологические изыскания и гидрологические расчеты : учебное пособие / составитель О. Г. Савичев. — Томск : ТПУ, 2018. — 239 с. — ISBN 978-5-4387-0797-4. — Текст : электронный // Лань : электронно-библиотечная система. — URL: https://e.lanbook.com/book/113207
- Кабатченко И.М. Гидрология и водные изыскания. Практикум. – М.: Альтаир – МГАВТ, 2015. – 92 с. http://biblioclub.ru/index.php?page=book_red&id=429566&sr=1
- Крестин Е.А. Гидравлика: курс лекций. - Самара: СГАСУ, 2014. - 189 с. - Доступ через Электронно-библиотечную систему «Университетская библиотека online. <URL:http://biblioclub.ru/index.php?page=book&id=256108&sr=1>.
- Макаров, К. Н. Морские гидротехнические сооружения : учебное пособие / К. Н. Макаров. — Москва : ФЛИНТА, 2021. — 270 с. — ISBN 978-5-9765-4762-9. — Текст : электронный // Лань : электронно-библиотечная система. — URL: https://e.lanbook.com/book/182989
- Мелкий, В. А. Мониторинг катастрофических природных процессов : учебное пособие для вузов / В. А. Мелкий, А. А. Верхотуров, И. И. Лобищева. — Санкт-Петербург : Лань, 2024. — 148 с. — ISBN 978-5-507-48502-4. — Текст : электронный // Лань : электронно-библиотечная система. — URL: https://e.lanbook.com/book/385808
- Морозов, А. Е. Метеорологические условия и загрязнение атмосферы : учебное пособие / А. Е. Морозов. — Екатеринбург : УГЛТУ, 2020. — 128 с. — ISBN 978-5-94984-752-7. — Текст : электронный // Лань : электронно-библиотечная система. — URL: https://e.lanbook.com/book/157272
- Нагалевский, Ю. Я. Гидрология : учебное пособие / Ю. Я. Нагалевский, И. Н. Папенко, Э. Ю. Нагалевский. — Санкт-Петербург : Лань, 2022. — 380 с. — ISBN 978-5-8114-3272-1. — Текст : электронный // Лань : электронно-библиотечная система. — URL: https://e.lanbook.com/book/213194
- Проблемы современной гидрометеорологии и геоэкологии: / Российский государственный гидрометеорологический университет Ростовский филиал. – Ростов-на-Дону, 2007. – 214 с. Проблемы гидрометеорологии и геоэкологии
- Расчет максимальных расходов воды водотоков: методические указания / сост. А.К. Битюрин, В.В. Агеева; Федеральное государственное бюджетное образовательное учреждение высшего профессионального образования «Нижегородский государственный архитектурно-строительный университет» (ННГАСУ), Кафедра гидравлики. - Нижний Новгород: ННГАСУ, 2011. - 29 с. : схем., табл. - Библиогр. в кн.; То же [Электронный ресурс]. - URL: http://biblioclub.ru/index.php?page=book&id=427480
- Решетняк, О.С. Гидрохимия и охрана водных ресурсов : учебное пособие / О.С. Решетняк, А.М. Никаноров ; Министерство образования и науки Российской Федерации, Федеральное государственное автономное образовательное учреждение высшего образования «Южный федеральный университет», Институт наук о Земле. - Ростов-на-Дону ; Таганрог : Издательство Южного федерального университета, 2018. - 135 с. : ил. - Библиогр. в кн. - ISBN 978-5-9275-2428-0 ; То же [Электронный ресурс]. - URL: http://biblioclub.ru/index.php?page=book&id=500005
- Семиколенных А.А. Оценка воздействия на окружающую среду объектов атомной энергетики [Электронный ресурс] / А.А. Семиколенных; Жаркова Ю. Г. — М.: Инфра-Инженерия, 2013.— 368 с. http://biblioclub.ru/index.php?page=book&id=144649
- Современные проблемы гидрометеорологии: / Санкт-Петербургский гос. ун-т [и др.]; под ред. А. М. Догановского. — Санкт-Петербург : Астерион, 2006. — 278 с. Современные проблемы гидрометеорологии (2006) (5-94856-197-6) — Санкт-Петербургский гос. ун-т [и др.] ; под ред. А. М. Догановского — читать книгу онлайн | НЭБ [000199_000009_002950296]
- Стрелков, А.К. Охрана окружающей среды и экология гидросферы : учебник / А.К. Стрелков, С.Ю. Теплых ; Министерство образования и науки РФ, Федеральное государственное бюджетное образовательное учреждение высшего профессионального образования «Самарский государственный архитектурно-строительный университет». - 2-е изд. перераб. и доп. - Самара : Самарский государственный архитектурно-строительный университет, 2013. - 488 с. URL: http://biblioclub.ru/index.php?page=book&id=256154(16.04.2019).
- Тусупбеков, Ж. А. Геоэкологическая оценка природно-техногенных комплексов : учебное пособие / Ж. А. Тусупбеков, Н. Л. Ряполова, В. С. Надточий. — Омск : Омский ГАУ, 2020. — 94 с. — ISBN 978-5-89764-907-5. — Текст : электронный // Лань : электронно-библиотечная система. — URL: https://e.lanbook.com/book/153570
- Тусупбеков, Ж. А. Гидрометеорологические изыскания в водном хозяйстве : учебное пособие / Ж. А. Тусупбеков, Н. Л. Ряполова, В. С. Надточий. — Омск : Омский ГАУ, 2022. — 87 с. — ISBN 978-5-907507-42-5. — Текст : электронный // Лань : электронно-библиотечная система. — URL: https://e.lanbook.com/book/221783
- Фундаментальные и прикладные проблемы гидросферы : учебное пособие / А.Я. Гаев, Ю.А. Килин, Е.Б. Савилова, О.Н. Маликова ; под общ. ред. А.Я. Гаева ; Министерство образования и науки Российской Федерации, Оренбургский Государственный Университет. - Оренбург : ОГУ, 2016. - Ч. 1. Основы гидрогеологии. - 249 с. : ил., схем., табл. - Библиогр. в кн. - ISBN 978-5-7410-1519-3 ; То же [Электронный ресурс]. - URL: http://biblioclub.ru/index.php?page=book&id=467138
- Чеботарев, Н.П. Сток и гидрологические расчеты / Н.П. Чеботарев. - Москва : Гидрометеоиздат, 1939. - 319 с. - ISBN 978-5-4458-1893-9 ; То же [Электронный ресурс]. - URL: http://biblioclub.ru/index.php?page=book&id=132741
- Чурагулова, З. С. Почвоведение / З. С. Чурагулова. — 2-е изд., стер. — Санкт-Петербург : Лань, 2023. — 284 с. — ISBN 978-5-507-46079-3. — Текст : электронный // Лань : электронно-библиотечная система. — URL: https://e.lanbook.com/book/297029
- Царенко, А. С. Управление проектами : учебное пособие для СПО / А. С. Царенко. — 2-е изд., стер. — Санкт-Петербург : Лань, 2024. — 236 с. — ISBN 978-5-507-49961-8. — Текст : электронный // Лань : электронно-библиотечная система. — URL: https://e.lanbook.com/book/405614
Международные отношения
ПРОГРАММА
вступительного испытания
для поступающих в магистратуру по направлению подготовки
41.04.05 «Международные отношения»
программа (профиль)
«Международная безопасность»
ОБЩИЕ ПОЛОЖЕНИЯ
Вступительные испытания предназначены для определения практической и теоретической подготовленности поступающего в магистратуру и проводятся с целью определения соответствия знаний умений и навыков требованиям обучения магистратуры по направлению подготовки 41.04.05 «Международные отношения» (магистратура). Программа составлена в соответствии с требованиями федерального государственного образовательного стандарта высшего профессионального образования.
Вступительные испытания в магистратуру проводят экзаменационные комиссии, назначенные председателем приёмной комиссии УУНиТ.
ПРОЦЕДУРА ВСТУПИТЕЛЬНОГО ИСПЫТАНИЯ
Дата и время проведения вступительного испытания и консультации определяются расписанием вступительных испытаний, которое утверждается председателем приемной комиссии.
Перед вступительным испытанием для поступающих проводится консультация по содержанию программы испытания, критериям оценки, предъявляемым требованиям, правилам поведения на испытании.
Форма вступительного испытания (в соответствии Положением о вступительных испытаниях УУНИТ): тестирование.
Вступительные испытания в виде электронного тестирования проводятся в соответствии с программами вступительных испытаний, утверждаемых председателем предметной комиссии.
Вступительные испытания в форме тестирования включают вопросы как закрытого, так и открытого типа, а также задания в аудио- и видеоформатах.
Составление вариантов экзаменационных заданий в форме электронных тестов осуществляется ответственным секретарем приемной комиссии университета.
Из вариантов экзаменационных заданий формируются комплекты вопросов-тестов.
Компоновку комплектов вопросов-тестов ответственный секретарь, заместитель ответственного секретаря производят до вступительных испытаний.
Тест содержит 40 тестовых вопросов.
Результаты испытаний оцениваются по 100 бальной шкале.
Абитуриент, не согласный с оценкой, полученной на ВИ и (или) в связи с нарушением процедуры проведения ВИ имеет право подать апелляцию. Процедура подачи и рассмотрения апелляции регламентируется Положением об апелляционной комиссии УУНиТ.
КРИТЕРИИ ОЦЕНИВАНИЯ ОТВЕТА
Критериями оценки экзаменационного ответа, поступающего в магистратуру являются полнота, логичность, доказательность, прочность, осознанность знаний и теоретическая обоснованность суждений, самостоятельность в интерпретации информации, практическая направленность, уровень овладения профессиональными умениями менеджера и др. В случае тестирования является правильные ответы на тестовые задания.
При проверке количество первичных баллов переводится в итоговую 100 балльную шкалу через информационную платформу университета.
СОДЕРЖАНИЕ РАЗДЕЛОВ И ТЕМ ПРОГРАММЫ ВСТУПИТЕЛЬНОГО ИСПЫТАНИЯ
- Основы теории международных отношений.
Истоки и этапы развития теории международных отношений. Основные категории науки о международных отношениях. Реалистическая традиция в теории международных отношений: классический реализм, неореализм, системный подход. Либеральная традиция в теории международных отношений: идеализм, неолиберализм и его основные направления, теории глобализации. Марксизм и неомарксизм. Постструктурализм и конструктивизм.
- Акторы международных отношений
Государственно-центричный подход к определению субъектов МО и его критика. Понятие «субъекта» и «актора» МО. Государство как приоритетный субъект МО.
Политическая и правовая классификация государств как акторов МО. Субъектный состав МО в концепции Ная – Кохэна. Правительственные и неправительственные акторы МО. Классификация неправительственных акторов МО.
- Международная безопасность, национальные интересы и национальная безопасность
Основные подходы к определению международной и национальной безопасности. Различные грани проблемы безопасности в международных отношениях: военно-политическая безопасность, экономическая безопасность, информационная безопасность, экологическая безопасность и др. Взаимосвязь безопасности и баланса сил, «дилемма безопасности». Коллективная безопасность и коллективная оборона: принципы, механизмы и институты. Основные механизмы и инструменты обеспечения международной безопасности: превентивная дипломатия, миротворчество, поддержание мира, принуждение к миру, миростроительство.
Структура национального интереса. Национальный интерес как аксиологическое образование. Критика идеи «национального интереса» в марксистском направлении ТМО. Факторы государственной мощи как системообразующий элемент национального интереса. Диверсификация ресурсного обеспечения национального интереса в современных МО. Типология государственной мощи: power to defeat, power to hurt. Понятие национального интереса во внешнеполитическом планировании. Согласование национальных интересов во внешней политике. Взаимосвязь категорий национального интереса и национальной безопасности. Понятие национальных угроз и их классификация. Национальная безопасность как предмет государственной доктрины. Внутри - и внешнеполитическая составляющие доктрин национальной безопасности.
- Система международных отношений
Понятие системы международных отношений. Особенности и границы применения системного подхода в ТМО. Типологии международных систем. Глобальная международная система. Особенности региональных и субрегиональных международных систем. Структура международной системы и ее составляющие. Понятие среды международных отношений и ее основные компоненты. Компоненты среды как факторы силы в международных отношениях. Международные процессы. Проблема применения системного подходы в МО.
- Конфликты в международных отношениях
Противоречие, конфликт и кризис в МО. Классификация конфликтов. «Фундаментальные» и «производные» конфликты. Насильственные и ненасильственные конфликты. Конфликты с нулевой, ненулевой и отрицательной суммой. Значение конфликтов для изменения системы и подсистем МО. Этапы развития конфликта. Понятие «эскалационной ловушки» в конфликте. Война как тип конфликта в МО. Историческая классификация войн. Классификация войн в основных школах ТМО. Перспективы военных конфликтов в условиях глобализации и роста информационного общества. Терроризм как технология управления конфликтом в МО. Управление и разрешение конфликтов. Средства управления конфликтами. Урегулирование конфликта.
- Сотрудничество в международных отношениях
Причины и условия сотрудничества в МО, Кооперация и интеграция как формы сотрудничества в МО. Институты международного сотрудничества. Значение международных организаций для поддержания сотрудничества и их эволюция. Классификация международных организаций. Интеграция в МО. «Порог обратимости» в интеграционных процессах. Развитие ЕЭС – ЕС как пример интеграционных процессов в МО. Проблема государственного суверенитета в условиях интеграции. Соотношение интеграции и глобализации. Политическое измерение глобализации. Концепция «позитивного» и «негативного» мира Й. Галтунга.
- Международно-правовое регулирование международных отношений.
Международное публичное и международное частное право: общее и особенное, соотношение и взаимодействие. Источники международного публичного права. Виды субъектов международного права, их классификация. Проблема правосубъектности народов и наций, право народов на самоопределение, соотношение понятий самоопределения и сепаратизма. Основные принципы и источники права международных договоров. Международно-правовое регулирование дипломатических и консульских сношений. Привилегии и иммунитеты в дипломатическом и консульском праве. Право международной безопасности: ключевые понятия, источники и принципы. Международное гуманитарное право и международно-правовое регулирование статуса участников вооруженного конфликта. Международное уголовное право: понятие, источники, принципы и институты.
- Вестфальский мир (1648 г.) и его международное значение
Основные акторы международных отношений начала XVII в. и их роль в Европе. Тридцатилетняя война (1618-1648 гг.). Вестфальский мирный договор и становление нового баланса сил в Европе. Вестфальская система международных отношений и ее эволюция. Войны первой половины и середины XVIII в. Превращение России в империю и активизация ее внешней политики.
- Генезис и эволюция Венской системы международных отношений
Влияние Великой Французской революции на международные отношения. Наполеоновские войны и их результаты. Парижский мир 1814 г. Венский конгресс 1814-1815 гг. Новые территориально-государственные реалии в Европе. Становление Венской системы международных отношений. Новая расстановка сил в Европе. Дипломатия Александра I, Меттерниха, Талейрана. Польский и саксонский вопросы. «Священный союз» как механизм поддержки международного порядка и сохранения монархий в странах Европы. (1815-1830 гг.) Кризис и причины крушения Венской системы международных отношений. Русско-турецкий конфликт 1853 г. и позиция европейский стран. Поражение России в Крымской войне. Парижский конгресс 1856 г. и его решения. Изменение баланса сил в Европе в связи с образованием Германской империи. Берлинский конгресс и его решения (1878 г.).
- Колониальная политика ведущих мировых держав
Колониальная экспансия великих держав и нарастание соперничества за овладение новыми колониями. Причины усиления колониальной экспансии в 70-80-е гг. XIX в. Колониальный раздел Африки. Общее и особенное в колониальной политике Англии, Франции, Германии, России. Геополитические интересы ведущих стран мира в Восточной Азии. Доктрина "открытых дверей" в отношении Китая. Активизация внешнеполитической деятельности Японии. Русско-японская война 1904-1905 гг. Портсмутский мир (сентябрь 1905 г.). Международные последствия поражения России в войне.
- Международные отношения накануне и в годы Первой мировой войны
Перегруппировка сил и оформление двух осевых линий в международных отношениях: английской и германской. Политика англо-французской Антанты. Присоединение России к блоку Антанты. Сближение Германии и Австро-Венгрии. Усиление соперничества Англии и Германии на море. Причины антагонизма между австро-германским и англо-франко-российским блоками. Интересы России в Первой мировой войне. Поворот в международной политике от войны к сепаратному миру. Вступление в войну США.
Великая российская революция, политика Советского правительства за выход России из войны. Перемирие и Брестский мир. Окончание Первой мировой войны.
- Версальско-Вашингтонская система международных отношений
Международные отношения первых послевоенных лет. Парижская конференция. Образование Лиги наций как «инструмента мира». Подготовка условий мира. Германский вопрос. Подписание Версальского мира (28 июня 1919 г.). Итоги Первой мировой войны. Оформление Версальской системы. Советская Россия и Версальская система международных отношений. Укрепление международных связей Советской России. Вашингтонская конференция (1921-1922): создание системы регулирования МО.
Версальско-Вашингтонская система МО в годы стабилизации. Репарационный вопрос. Европейская безопасность. Национальная революция в Китае. СССР и державы Запада. Мандатная система. Колониальная политика держав Запада.
Мировой экономический кризис и «Великая депрессия». Разрушение Версальской системы международных отношений. Выход Германии из Лиги наций и создание блока с Японией и Италией. Отказ Германии от ряда статей Версальского договора. Нарастание военной угрозы в Европе. Вторжение Италии в Абиссинию. Франко-советский пакт о взаимопомощи. Советско-чехословацкий договор. Вступление войск Германии в Рейнскую область. «Антикоминтерновский пакт». Активизация Японии на Дальнем Востоке. Японо-китайская война. Война в Испании. Дипломатия «Мюнхена». Советско-германский договор о ненападении. Дальневосточная политика советского правительства.
- Международные отношения в годы Второй мировой войны
Международные отношения на начальном этапе войны. Гегемония Германии в Европе.Атлантическая хартия и ее значение для создания антигитлеровской коалиции. Вступление США в войну. Соглашение СССР и США о взаимопомощи в войне. Декларация Объединенных Наций. Подготовка и проведение Тегеранской конференции. Решения Ялтинской и Потсдамской конференции. Конференция в Сан-Франциско и создание Организации Объединенных наций.
- Послевоенное мирное урегулирование международных отношений и становление биполярной системы международных отношений. Холодная война
Сессии СМИД и совещания министров иностранных дел по послевоенному устройству. Доктрина Трумэна. "План Маршалла". Организация военно-политических блоков во главе с США и СССР. Североатлантический договор – НАТО. Формирование просоветских правительств в Польше, Венгрии, Румынии; Болгарии, Югославии. Образование ГДР. Организация Варшавского Договора. Экономическое и политическое сотрудничество СССР со странами Восточной Европы. Отношения Советского Союза со странами Восточной Азии. Установление дипломатических отношений СССР с ДРВ, КНДР, КНР. Отношение советской дипломатии к японо-американскому пакту безопасности и решениям Сан-Франциской мирной конференции 1951 г.
Переход стран Запада к стратегии «сдерживания коммунизма». Силовая дипломатия и политика создания военно-политических блоков. Региональные конфликты, колониальные войны, военно-политические кризисы времен «холодной войны» и попытки их дипломатического урегулирования. Политическое разрешение Берлинских кризисов 1948, 1953, 1961 гг. Позиция СССР по германскому вопросу. Корейская война. Колониальная война Франции во Вьетнаме. Решения Женевской конференции 1954 г. по Индокитаю. Агрессия США во Вьетнаме – крах стратегии неоколониализма. Парижские соглашения по Вьетнаму Образование СРВ. Тайваньская проблема во взаимоотношениях КНР – США – СССР. Этапы и результаты нормализации американо-китайских отношений: от Шанхайского коммюнике 1972 г. до дипломатического признания в январе 1979 г. Кашмирская проблема в международных отношениях 40-80-х гг. Формирование особых отношений СССР и Индии в период эры Дж. Неру и И. Ганди. Арабо-израильский конфликт, его истоки и этапы развития. Карибский кризис 1962 г. Процесс перестройки системы международных отношений. Разрядка - переход от "холодной войны" к равноправным межгосударственным отношениям. Встречи на высшем уровне и начало нормализации отношений между Советским Союзом и США. Советско-американские переговоры и заключение договоров ПРО, ОСВ-1, ОСВ-2. «Новая восточная политика» ФРГ и нормализация советско-германских отношений. Московский договор 12.VIII.1970 г., договоры ФРГ со своими восточными соседями. Четырехстороннее соглашение по Западному Берлину. Подготовка и подписание Заключительного акта Совещания по безопасности и сотрудничеству в Европе. Хельсинский Акт 1975 г.: этапы и результаты общеевропейского процесса. Начало нового этапа во взаимоотношениях между СССР и ФРГ
Западноевропейская интеграция в 70-х - первой половине 80-х гг.: расширение Европейского сообщества, создание Европейской валютной системы, курс на создание Европейского союза. Реакция Запада на размещение советских ракет в Восточной Европе и введение советских войск в Афганистан. Роль США в обострении конфронтации: "Вторая разрядка", окончание холодной войны и распад биполярной системы (1985-1991 гг.). "Новое политическое мышление" М. С. Горбачева: взгляд с Запада. Практические итоги "второй разрядки": подписание договора по РСМД, вывод советских войск из Афганистана, прекращение ряда международных конфликтов, "бархатные революции" в странах Центральной и Юго-Восточной Европы. Объединение Германии - символ прекращения раскола Европы. Парижский саммит ОБСЕ, "Декларация двадцати двух" и Парижская Хартия для новой Европы. Западноевропейская интеграция: новый этап развития (расширение ЕС, завершение формирования единого внутреннего рынка). Самороспуск СЭВ и ОВД, распад СССР, конец биполярности. Проблема победы и поражения в холодной войне
- Постбиполярная система международных отношений
Геополитические изменения в МО в 1990 гг. Крушение биполярной системы и проблема формирования новой системы МО. Дискуссия о сильных и слабых сторонах многополярных, биполярных и однополярных структур. Основные сценарии формирования новой модели мира («раскола мира и хаоса» С. Хантингтона, И. Валлерстайна, В.Л. Иноземцева; формирование «однородной политической структуры» мира Ф. Фукуямы; «сетевой модели» мира Дж. Розенау), их сильные и слабые стороны.
Россия и СНГ: особенности взаимоотношений в 1990-е гг. Россия и Запад: основные аспекты взаимоотношений в 1990-е гг. Отношения Российской Федерации и НАТО. Российско-американские договоренности в ракетно-ядерной сфере в 1992-2002 гг. Восточное направление внешней политики России в 1990-е гг.
- Основные проблемы современной мировой политики
Демография, стратегия и геополитика. Демографические ограничители развития. Экологические ограничители развития: экологическая динамика, взаимодействие и стратегия. Технократическая модель развития и проблема ресурсов. Природоохранные аспекты международной безопасности. Понятие и концепция «устойчивого развития». Глобальная асимметрия «Север-Юг» в мировой экономике, международных отношениях и мировой политике: пути преодоления раскола мира. Проблемы международной и национальной безопасности в эпоху глобализации. Современное прочтение понятий «государственная» и «международная безопасность». Противоречия процесса принятия решений по вопросам безопасности. Новые концепции безопасности и представления об источниках угроз безопасности. Проблема распространения ОМУ и ОМП. Современные оценки роли союзов и систем коллективной безопасности в МО.
Гуманизация международных отношений и мировой политики, возрастание роли экономического, правового и морально-политического факторов. Правовое измерение современного мира (проблема прав человека, гуманитарной интервенции, государственного суверенитета и территориальной целостности). Социокультурные аспекты мировой политики, роль образования. Изменение роли идеологического фактора. Национализм и религия в роли идеологии. Этнополитические и этносоциальные проблемы. Политические аспекты глобальных миграций.
Современный Запад в мировой политике. Понятие и структура современного Запада. США как лидер Запада и цели их внешней политики. Внутризападные отношения. Запад и незападные секторы МО. Трактовка преимуществ, издержек и перспектив американского лидерства.
Демоверсия экзаменационного варианта
Выберите один ответ
1. Американо-советский договор об ограничении систем противоракетной обороны 1972 г. предусматривал
1) возможность развертывания одной системы ПРО с ограниченным радиусом;
2) возможность развертывания двух систем ПРО с ограниченным радиусом;
3) отказ от строительства радиолокационных станций;
4) отказ от развертывания система ПРО, прикрывающих пусковые установки противоракет;
Выберите несколько ответов
2. Война за Испанское наследство велась Францией против
1) Англии
2) Священной Римской империи
3) Неаполитанского королевства
4) Испании
3. Военное, политическое, информационное или экономическое вмешательство, одного или нескольких государств во внутренние дела другого государства, нарушающее его суверенитет - ________
Ответ:___________
4. По мнению руководителей КНР, эта политика СССР в 1970-1980-е гг. привела к созданию обстановки международной напряженности и разрушению системы коллективной безопасности:
1) поддержка Вьетнама во время Вьетнамской войны и вьетнамо-китайского пограничного конфликта
2) введение войск в Афганистан с целью создания просоветского режима
3) увеличение состава советской военной группировки в Монголии
4) расширение дружбы и сотрудничества с Индией, с которой у Китая были пограничные конфликты
5. Выбрать один ответ:
1. В Совет Европы входят ____ государств
1) 39
2) 37
3) 46
4) 27
СПИСОК ЛИТЕРАТУРЫ
- Батюк, В. И. Мировая политика : учебник для вузов / В. И. Батюк. — Москва : Издательство Юрайт, 2021. — 256 с. — (Высшее образование). — Доступ к тексту возможен через ЭБС «Юрайт». URL: https://biblio-online.ru/bcode/433675
- Главные политические документы XX в. [Электронный ресурс]. – М.: Берлин, 2016. – 613 с. – Доступ к тексту возможен через ЭБС «Университетская библиотека online». – URL:http://biblioclub.ru/index.php?page=book_view&book_id=428999
- Говоров Ю.Л. История стран Азии и Африки в новейшее время: курс лекций / Ю.Л. Говоров, Е.В. Ипатенко. – изд. 2-е, испр. и доп. – Кемерово: Кемеровский гос.унив., 2017. – 363 с. – Доступ к тексту возможен через ЭБС «Университетская библиотека online». – URL: http://biblioclub.ru/index.php?page=book&id=481525
- Дробот, Г. А. Мировая политика : учебник для вузов / Г. А. Дробот. — 3-е изд., перераб. и доп. — Москва : Издательство Юрайт, 2021. — 232 с. — (Высшее образование). — Доступ к тексту возможен через ЭБС «Юрайт». URL: https://biblio-online.ru/bcode/432880
- Европейский Союз в XXI веке: время испытаний: серия монографий / ред. О.Ю. Потемкиной, Н.Ю. Кавешникова, Н.Б. Кондратьевой. – М.: Весь Мир, 2012. – 656 с. – Доступ к тексту возможен через ЭБС «Университетская библиотека online». – URL: http://biblioclub.ru/index.php?page=book&id=229768
- История Второй мировой войны [Электронный ресурс]: учеб. пособие для бакалавриата и магистратуры / В.А. Ачкасов [и др.]; под ред. В.А. Ачкасова, С.А. Ланцова. – М.: Издательство Юрайт, 2019. – 335 с. – (Серия: Авторский учебник). – ISBN 978-5-534-06253-3. – Доступ к тексту возможен через ЭБС «Юрайт» – URL: https://biblioonline.ru/viewer/istoriya-vtoroy-mirovoy-voyny-438119#page/1.
- История международных отношений: XVII — начало XX века : хрестоматия / составитель Н. Ю. Васильева. — Москва : Аспект Пресс, 2020. — 512 с. — ISBN 978–5–7567–1075–5. — Текст : электронный // Лань : электронно-библиотечная система. — URL: https://e.lanbook.com/book/144100 (дата обращения: 26.04.2024). — Режим доступа: для авториз. пользователей.
- История международных отношений : учебник : в 3 томах / А. В. Ревякин, Н. Ю. Васильева. — 3-е изд. — Москва : Аспект Пресс, [б. г.]. — Том I : От Вестфальского мира до окончания Первой мировой войны — 2017. — 400 с. — ISBN 978-5-7567-0868-4. — Текст : электронный // Лань : электронно-библиотечная система. — URL: https://e.lanbook.com/book/97247 (дата обращения: 26.04.2024). — Режим доступа: для авториз. пользователей.
- История международных отношений : учебник : в 3 томах / под редакцией А. В. Торкунова, М. М. Наринского. — 2-е изд., испр. — Москва : Аспект Пресс, 2021 — Том 2 : Межвоенный период и Вторая мировая война — 2021. — 496 с. — ISBN 978-5-7567-1117-2. — Текст : электронный // Лань : электронно-библиотечная система. — URL: https://e.lanbook.com/book/217352 (дата обращения: 26.04.2024). — Режим доступа: для авториз. пользователей.
- История международных отношений : учебник : в 3 томах / под редакцией А. В. Торкунова, М. М. Наринского. — 2-е изд., испр. — Москва : Аспект Пресс, 2022 — Том 3 : Ялтинско-Потсдамская система — 2022. — 552 с. — ISBN 978-5-7567-0673-4. — Текст : электронный // Лань : электронно-библиотечная система. — URL: https://e.lanbook.com/book/217358 (дата обращения: 26.04.2024). — Режим доступа: для авториз. пользователей.
- Международные отношения и мировая политика: учебник для вузов / П. А. Цыганков [и др.]; под ред. П. А. Цыганкова. — 2-е изд., перераб. и доп.— М.: Издательство Юрайт, 2021 г. — 279 с. — (Высшее образование). — Доступ к тексту возможен через ЭБС «Юрайт». URL:https://biblio-online.ru/viewer/mezhdunarodnye-otnosheniya-i-mirovaya-politika-413409#page/1
- Медяков А. С. История международных отношений в Новое время. – М. Просвещение, 2007. – 463 с.
- Международные экономические организации : учебное пособие : [16+] / Э. А. Исраилова, Е. С. Захарченко, Н. Н. Решетникова, Т. С. Шепель ; Ростовский государственный экономический университет (РИНХ). – Ростов-на-Дону : Издательско-полиграфический комплекс РГЭУ (РИНХ), 2023. – 104 с. : ил., табл. – Режим доступа: по подписке. – URL: https://biblioclub.ru/index.php?page=book&id=713637
- Чеботарёв, Н. Ф. Мировая экономика и международные экономические отношения : учебник / Н. Ф. Чеботарёв. – 4-е изд., стер. – Москва : Дашков и К°, 2022. – 350 с. – (Учебные издания для бакалавров). – Режим доступа: по подписке. – URL: https://biblioclub.ru/index.php?page=book&id=684383
- Обеспечение международной безопасности в условиях холодной войны: поиски согласованных подходов: сборник научных статей / Институт всеобщей истории РАН; ред. Н. Егоровой. – М.: Весь Мир, 2017. [Электронный ресурс]. - URL: http://biblioclub.ru/index.php?page=book&id=483523.
- Олейников, И. В. Международные отношения и внешняя политика стран Восточной Азии : учебное пособие : [16+] / И. В. Олейников ; Новосибирский государственный технический университет. – Новосибирск : Новосибирский государственный технический университет, 2018. – 131 с. – Режим доступа: по подписке. – URL: https://biblioclub.ru/index.php?page=book&id=576445. – Библиогр.: с. 123-129. – ISBN 978-5-7782-3509-0. – Текст : электронный.
- Протопопов А.С. История международных отношений и внешней политики России (1648-2010) [Электронный ресурс]: учебник / А.С. Протопопов, В.М. Козьменко, М.А. Шпаковская. – М.: Аспект Пресс, 2012. – 384 с. – ISBN 978-5-7567-0659-8. – URL: http://www.biblioclub.ru/book/104406/.
- Самофалов, В. И. Очерки международных организаций : учебное пособие : [16+] / В. И. Самофалов ; Ростовский государственный экономический университет (РИНХ). – Ростов-на-Дону : Издательско-полиграфический комплекс РГЭУ (РИНХ), 2022. – 364 с. : ил. – Режим доступа: по подписке. – URL: https://biblioclub.ru/index.php?page=book&id=708618
- Сафонов А. А. Международные конфликты в XXI веке: учебник и практикум для академического бакалавриата / А. А. Сафонов, М. А. Сафонова. — М.: Издательство Юрайт, 2018. — 299 с. –Доступ к тексту возможен через ЭБС «Юрайт» – URL: https://biblio online.ru/book/mezhdunarodnye-konflikty-v-xxi-veke-424739
- Современные международные отношения: учебник / [А.Г.Олейнов и др.] ; под ред. А.В.Торкунова, А.В.Мальгина. — Москва: Аспект-Пресс, 2017. — 688 с.
- Согрин В.В. США в XX-XXI веках. Либерализм. Демократия. Империя. М.: Весь Мир, 2015. – 592 с. – Доступ к тексту возможен через ЭБС «Университетская библиотека online». – URL: http://biblioclub.ru/index.php?page=book&id=276689
- Сорокин, А. Н. История внешней политики ФРГ : учебное пособие (для студентов исторического факультета направления подготовки бакалавров 41.03.05 «Международные отношения») : [16+] / А. Н. Сорокин. – Омск : Омский государственный университет им. Ф.М. Достоевского (ОмГУ), 2021. – 108 с. – Режим доступа: по подписке. – URL: https://biblioclub.ru/index.php?page=book&id=614074
- Стратегические ядерные вооружения в истории международных отношений ХХ-ХХI веков / [Воробьев В.С. и др.] Отв. ред. Воробьев В.С. Москва, 2022. – 278 с.
Реклама и связи с общественностью
ПРОГРАММА
вступительного испытания
для поступающих в магистратуру по направлению подготовки
42.04.01 «Реклама и связи с общественностью»
программа (профиль)
«Реклама и связи с общественностью в коммерческой сфере»
ОБЩИЕ ПОЛОЖЕНИЯ
Вступительное испытание предназначено для определения практической и теоретической подготовленности поступающего в магистратуру и проводятся с целью определения соответствия знаний умений и навыков требованиям обучения магистратуры по направлению подготовки 42.04.01 «Реклама и связи с общественностью» (магистратура). Программа составлена в соответствии с требованиями федерального государственного образовательного стандарта высшего профессионального образования.
Вступительное испытание в магистратуру проводит экзаменационная комиссия, назначенная председателем приёмной комиссии УУНиТ.
ПРОЦЕДУРА ВСТУПИТЕЛЬНОГО ИСПЫТАНИЯ
Дата и время проведения вступительного испытания и консультации определяются расписанием вступительных испытаний, которое утверждается председателем приемной комиссии.
Перед вступительным испытанием для поступающих проводится консультация по содержанию программы испытания, критериям оценки, предъявляемым требованиям, правилам поведения на испытании.
Форма вступительного испытания (в соответствии Положением о вступительных испытаниях УУНиТ): тестирование.
Вступительные испытания в виде электронного тестирования проводятся в соответствии с программами вступительных испытаний, утверждаемых председателем предметной комиссии.
Вступительные испытания в форме тестирования включают вопросы как закрытого, так и открытого типа, а также задания в аудио- и видеоформатах.
Составление вариантов экзаменационных заданий в форме электронных тестов осуществляется ответственным секретарем приемной комиссии университета.
Из вариантов экзаменационных заданий формируются комплекты вопросов-тестов.
Компоновку комплектов вопросов-тестов ответственный секретарь, заместитель ответственного секретаря производят до вступительных испытаний.
Тест содержит 40 тестовых вопросов.
Результаты испытаний оцениваются по 100 бальной шкале.
Абитуриент, не согласный с оценкой, полученной на ВИ и (или) в связи с нарушением процедуры проведения ВИ имеет право подать апелляцию. Процедура подачи и рассмотрения апелляции регламентируется Положением об апелляционной комиссии УУНиТ.
КРИТЕРИИ ОЦЕНИВАНИЯ ОТВЕТА
Критериями оценки экзаменационного ответа, поступающего в магистратуру являются полнота, логичность, доказательность, прочность, осознанность знаний и теоретическая обоснованность суждений, самостоятельность в интерпретации информации, практическая направленность, уровень овладения профессиональными умениями менеджера и др. В случае тестирования является правильные ответы на тестовые задания.
При проверке количество первичных баллов переводится в итоговую 100 балльную шкалу через информационную платформу университета.
СОДЕРЖАНИЕ РАЗДЕЛОВ И ТЕМ ПРОГРАММЫ ВСТУПИТЕЛЬНОГО ИСПЫТАНИЯ
МОДУЛЬ 1. PR И РЕКЛАМА В СИСТЕМЕ МАРКЕТИНГОВЫХ КОММУНИКАЦИЙ.
Тема 1. Паблик рилейшнз: многообразие определений и понятий. Принципы паблик рилейшнз.
1. Понятие и основные функции PR.
2. Основные принципы PR.
3. Модели коммуникаций в контексте развития PR-технологий (односторонняя, двухсторонняя ассиметричная, двухсторонняя.).
4. Особенности PR в сравнении с другими инструментами маркетинговых коммуникаций (рекламой, стимулированием сбыта, директ-маркетингом).
Тема 2. Реклама: основные понятия.
1. Предмет, субъект и объект рекламы. Отличие различных видов рекламы.
2. Методы рекламной деятельности.
3. Классификация рекламы по каналу ее восприятия адресатом: визуальная, аудиальная, аудиовизуальная.
4. Классификация рекламы в зависимости от силы воздействия на аудиторию.
5. Функциональная типология рекламы.
6. Информационная, коммуникативная функции рекламы.
Тема 3. Психологические аспекты применения технологий в рекламе и связях с общественностью.
1. Психологические аспекты восприятия текста и изображения в рекламе и связях с общественностью.
2. Простейшие приемы нейролингвистического программирования.
3. Психологические эффекты и приемы манипуляции современных СМИ.
4. Приемы манипуляции российских СМИ.
5. Психологические особенности радиорекламы.
6. Примеры манипуляции сознанием зарубежных СМИ.
7. Психологические аспекты использования музыки в связях с общественностью и рекламе.
8. Основные принципы воздействия музыки на человека. Использование музыки в рекламе. Аудиобрендинг.
МОДУЛЬ 2. PR-ТЕХНОЛОГИИ: РАЗНОВИДНОСТИ И БАЗОВЫЕ ИНСТРУМЕНТЫ
Тема 4. Технологии связей с общественностью.
1. Политические технологии.
2. Экономические кампании: PR как способ повышения инвестиционной привлекательности.
3. Социальные кампании: спонсоринг и фандрейзинг.
2. Экологический PR. Модульные технологии в реализации PR-проектов.
3. PR-технологии в бизнесе.
4. Инфopмaциoнныe PR-тexнoлoгии.
5. LifePlacement: Сторителлинг.
6. Слухи в PR-кампаниях организаций.
7. Управление толпой как инструмент РR.
8. Проведение имидж-ивентов в контексте РR-сопровождений.
Тема 5. Технологии рекламы и связей с общественностью в государственных, общественных и коммерческих структурах.
1. Построение политических PR-компаний. PR-технологии в избирательной кампании. Основные инструменты политической рекламы.
2. Связи с общественностью в сфере услуг, в финансовой сфере и в реальном секторе экономики. PR как способ повышения инвестиционной привлекательности компании.
2. Особенности рекламных и PR-технологий на информационном рынке.
3. Специфика применения инструментов рекламы и PR в науке, культуре и искусстве.
4. Специфика осуществления коммуникационной деятельности в сфере образования.
Демоверсия экзаменационного варианта
1. Какой этап жизненного цикла товара отличается наибольшими издержками из расчета на покупателя?
a. Упадок
b. Зрелость
c. Выведение на рынок
2. Выберите правильное определение лояльности
a. Это процесс выбора товара в магазине,
b. Это осознанная повторяющаяся покупка товара
c. Это рекомендации товара знакомым.
3. Какая группа факторов составляет основу для позиционирования продукта?
a. Поведение покупателей при покупке
b. Поведение покупателей после покупки
c. Восприятие продуктов потребителями
d. Намерение потребителей совершить покупку
4. Компания, которая предлагает множество различных продуктов с разным уровнем качества на нескольких рынках, хочет обезопасить себя от такой ситуации, когда имя и репутация организации будут связываться с конкретными продуктами. Какую политику в отношении торговых марок следует проводить в таком случае?
a. Индивидуальные марки
b. Марки для групп товаров
c. Зонтичная марка
5. Рыночный сегмент — это:
a. группа потребителей с однотипной реакцией на предлагаемый товар и инструменты маркетинговой деятельности
b. часть рынка, на котором реализуется весь товар предприятия
c. часть рынка, на котором реализуется определенная группа товаров
d. рынок, на котором предприятие имеет свою торговую сеть
6. Сочетание названия какого-либо товара и его графического изображения, используемое для большей узнаваемости потребителем товара, – это…
a. товарная марка (товарный знак)
b. торговая марка
c. бренд
d. дизайн
e. узнаваемость торговой марки
7. Термин в маркетинге, символизирующий весь комплекс информации о компании, продукте или услуге, – это…
a. логотип
b. товарная марка (товарный знак)
c. торговая марка
d. бренд
e. позиционирование
8. Что такое бренд?
a. Зарегистрированная торговая марка,
b. Комплекс составляющих фирменного стиля,
c. Комплексный образ предложения в сознании потребителя, позволяющий ему оценить это предложение относительно своих потребностей и сделать осознанный выбор
9. Одной из составляющих имиджа бренда является:
a. Модель поведения потребителей торговой марки
b. Капитал торговой марки
c. Марочная коммуникация
10. Какой из способов расширения бренда сопряжен с риском для марки?
a. Расширение общей позиции марки
b. Расширение определения бизнеса
c. Расширение целевого рынка
11. Функциональное, социальное, ментальное и духовное измерения являются основой…
a. 5 законов маркетинга
b. потребительского спроса
c. создания товарного знака
d. данных измерений e. концепции 4D-брендинга
12. В зависимости от направлений маркетинговой деятельности (товарное, ценовое, сбытовое, сервисное или рекламное), различают…
a. товары, цены, сбыт
b. сервис и рекламу
c. виды позиционирования бренда
d. типы брендов
e. направления маркетинга
13. Координирует деятельность всех служб агентства на всех этапах рекламного процесса:
a. ассистент медийного отдела
b. экаунт-менеджер
c. арт-директор
d. дизайнер
14. Фактором дальнейшего развития печатных СМИ, в том числе как рекламного носителя является:
a. появление интернет-сервисов по аккумулированию аудитории печатных СМИ и реализация возможности подписки на электронную версию
b. появление брендовых ТВ и формирование контента на основе материалов зрителей
c. разработка и внедрение конструкторов авторских проектов потребителей и трансляция обучающих радиопрограмм
d. демонстрация жизни потребителей и легенд жизни товара на месте продаж и установка электронных консультантов
СПИСОК ЛИТЕРАТУРЫ
1. Федеральный закон от 27.12.1991 N 2124-1 «О средствах массовой информации» [Электронный ресурс] // Консультант плюс. – 2020. – Режим доступа: http://www.consultant.ru/document/cons_doc_LAW_1511/
2. Федеральный закон от 13.03.2006 N 38-ФЗ «О рекламе» [Электронный ресурс] // Консультант плюс. – 2020. – Режим доступа: http://www.consultant.ru/document/cons_doc_LAW_58968/
3. Федеральный закон от 27.07.2006 N 152-ФЗ «О персональных данных» [Электронный ресурс] // Консультант плюс. – 2020. – Режим доступа: http://www.consultant.ru/document/cons_doc_LAW_61801/
4. Актуальные проблемы коммуникации: теория и практика: материалы XI Всероссийской науч.-практич. конференции (г. Уфа, 2020 г.) / БашГУ; [отв. ред. Р. Р. Сулейманова]. – Уфа : РИЦ БашГУ, 2022.
5. Байкова И.А. Особенности связей с общественностью в современных маркетинговых коммуникациях // Петербургский экономический журнал. – № 1. – 2018. – 30 с.
6. Ворошилов В.В. Современная пресс-служба / В.В. Ворошилов. – М.: Кно-Рус, 2019. – 224 с.
7. Вылегжанин Д.А. Теория и практика паблик рилейшнз / Д.А. Вылепканин. – М.: Ф, 2019. – 371 с.
8. Гавра Д.П. Основы теории коммуникации / Д.П. Гавра. – М.: Юрайт, 2020. – 231 с.
9. Голубкова Е.Н. Интегрированные маркетинговые коммуникации /Е.Н. Голубкова. – М.: Юрайт, 2020. – 363 с.
10. Джефкинс Ф., Ядин Д. Паблик рилейшнз / Пер. с англ. под ред. Б.Л. Еремина. – М.: ЮНИТИ-ДАНА, 2017 – 416 с.
11. Домнин В.Н. Брендинг / В.Н. Домнин. – М.: Юрайт, 2020.– 493 с.
12. Дорский А.Ю. Правовое регулирование рекламной деятельности и связей с общественностью / А.Ю. Дорский. – СПб: СПбГУ, 2019. – 216 с.
13. Емельянов С.М. Теория и практика связей с общественностью / С.М. Емельянов. – М.: Юрайт, 2020. – 197 с.
14. Жильцова О.Н. Связи с общественностью / О.Н. Жильцова, И.М. Синяева, Д.А. Жильцов. – М.: Юрайт, 2020. – 337 с.
15. Катлип С. Паблик рилейшнз. Теория и практика / С.Катлип, А. Сентер, Г. Брум. – М.: Вильямс, 2016. – 624 с.
16. Китчен Ф. Паблик рилейшнз: принципы и практика / Пер. с англ. под ред. Б.Л. Ерёмина. – М.: ЮНИТИ-ДАНА, 2017. – 454 с.
17. Кожемякин Е.А. Основы теории коммуникации / Е.А. Кожемякин. – М.: ИНФРА- М, 2019. – 189 с
18. Коноваленко В.А. Основы интегрированных коммуникаций/ В.А. Коноваленко, Н.Г. Швед. – М.: Юрайт, 2019. – 486 с.
19. Коноваленко В.А. Реклама и связи с общественностью: введение в специальность / В.А. Коноваленко, Н.Г. Швед. – М. Юрайт, 2020. – 383 с.
20. Котлер Ф. Основы маркетинга / Ф. Котлер. – М.: Вильямс, 2019. – 486 с.
21. Кривоносов А.Д. Ситуационный анализ в связях с общественностью (в соавт. с Л.В. Азаровой, В.А. Ачкасовой, К. А. Ивановой, О.Г. Филатовой). – СПб: Питер, 2018. – 288 с.
22. Кривоносов А.Д. Стратегические коммуникации / А.Д. Кривоносов, С.М. Емельянов, М.Е. Кудрявцева [и др.]. – СПб: Изд-во СПбГЭУ,2016. – 127 с.
23. Кузьмина О.Г. Интегрированные маркетинговые коммуникации. Теория и практика рекламы / О.Г. Кузьмина, О.Ю. Посухова. – М.: ИНФРА-М, 2018. – 187 с.
24. Лысикова О.В. Имиджелогия и паблик рилейшнз в социокультурной сфере / О. В. Лысикова, Н. П. Лысикова. – М.: ФЛИНТА, 2019. –168 с.
25. Миллер Д. Расскажите о своем бренде так, чтобы в него влюбились / Д. Миллер. – М.: Альпина Паблишер, 2020. – 232 с.
26. Музыкант В. Л. Интегрированные маркетинговые коммуникации / В.Л. Музыкант. – М.: ИЦ РИОР: НИЦ Инфра-М, 2019. – 216 с.
27. Музыкант В.Л. Основы интегрированных коммуникаций. Теория и современные практики /В.Л. Музыкант. – М.: Юрайт, 2020. – 342 с.
28. Мышанский А.А. К вопросу о связях с общественностью как инструменте трансляции марочных ассоциаций // StudNet. – № 9. – 2020.
29. Назайкин А.Н. Медиарилейшнз на 100% или искусство управления отношениями с прессой и социальными сетями / А.Н. Назайкин. – М.: Солон-пресс, 2020. – 380 с.
30. Николаенко Н.А. Сущность и роль PR в деятельности современной организации // Бюллетень науки и практики. – № 5. – 2019. – 56 с.
31. Носова Н.С. Конкурентная стратегия компании, или маркетинговое методы конкурентной борьбы / Н.С. Носова. – М: Дашков и К, 2017. – 256 с.
32. Осипова Е.А. Аксиологические основания теории связей с общественностью: монография / Осипова Е.А. – М.: НИЦ ИНФРА-М, 2016. – 228 с.
33. Осипова Е.А. Организация работы отделов рекламы и связей с общественностью / Е.А. Осипова. – М.: ИНФРА-М, 2020. – 381 с.
34. Основы теории коммуникации/ отв. ред. О.Я. Гойхман. – М: ИНФРА-М, 2019. – 352 с.
35. Почекаев Р.Ю. История связей с общественностью / Р.Ю. Почекаев. – М.: Юрайт, 2020. – 223 с.
36. Рожков И.Я. Брендинг / И.Я. Рожков, В.Г. Кисмерешкин. – М.: Юрайт, 2019. – 331 с.
37. Сальникова Л.С. Репутационный менеджмент / Л.С. Сальникова. – М.: Юрайт, 2018. – 306 с.
38. Связи с общественностью как социальная инженерия / В.А. Ачкасова [и др.]; под редакцией В.А. Ачкасовой, Л.В. Володиной. – М.: Юрайт, 2020.– 351 с.
39. Связи с общественностью: теория, практика, коммуникативные стратегии / под ред. В.М. Горохова, Т.Э. Гринберг. – М.: Аспект Пресс, 2017. – 224 с.
40. Семёнова Л.М. Имиджменеджмент / Л.М. Семёнова. – СПб: Изд-во СПбГЭУ, 2017. – 84 с.
41. Синяева И.М. Паблик рилейшнз в коммерческой деятельности. – М.: ЮНИТИ-ДАНА, 2017. – 414 с.
42. Синяева И.М. Реклама и связи с общественностью / И.М. Синяева, О.Н. Романенкова, Д.А. Жильцов – М.: Юрайт, 2020 . – 552 с.
43. Умаров М.Ю. PR в реальном времени: Тренды. Кейсы. Правила / М.Ю. Умаров. – М.: Альпина Паблишер, 2019. – 232 с.
44. Фадеева Е.Н. Связи с общественностью / Е.Н. Фадеева. – М.: Юрайт, 2020. – 263 с.
45. Чамкин А.С. Основы коммуникологии (теория коммуникации): / А.С. Чамкин. – М.: ИНФРА-М, 2017. – 350 с.
46. Чумиков А.Н. Реклама и связи с общественностью: имидж, репутация, бренд. – М.: Аспект Пресс, 2016. – 159 с.
47. Шарков Ф. И. Интегрированные коммуникации: Массовые коммуникации и медиапланирование / Ф. И. Шарков, В. Н. Бузин; под общ. ред. проф. Ф. И. Шаркова. – М.: Дашков и К°, 2018. – 486 с.
48. Шарков Ф.И. Интегрированные коммуникации: реклама, паблик рилейшнз, брендинг / Ф.И. Шарков. – М.: Дашков и К°, 2020. – 322 с.
49. Шарков Ф.И. Коммуникология: основы теории коммуникации / Ф.И. Шарков. – М.: Дашков и К, 2020. – 488 с.
Политология
ПРОГРАММА
вступительного испытания
для поступающих в магистратуру по направлению подготовки
41.04.04 «Политология»
программа (профиль)
«Политические коммуникации в системе управления»
ОБЩИЕ ПОЛОЖЕНИЯ
Вступительное испытание предназначено для определения практической и теоретической подготовленности поступающего в магистратуру и проводятся с целью определения соответствия знаний умений и навыков требованиям обучения магистратуры по направлению подготовки 41.04.04 «Политология» (магистратура). Программа составлена в соответствии с требованиями федерального государственного образовательного стандарта высшего профессионального образования.
Вступительное испытание в магистратуру проводит экзаменационная комиссия, назначенная председателем приёмной комиссии УУНиТ.
ПРОЦЕДУРА ВСТУПИТЕЛЬНОГО ИСПЫТАНИЯ
Дата и время проведения вступительного испытания и консультации определяются расписанием вступительных испытаний, которое утверждается председателем приемной комиссии.
Перед вступительным испытанием для поступающих проводится консультация по содержанию программы испытания, критериям оценки, предъявляемым требованиям, правилам поведения на испытании.
Форма вступительного испытания (в соответствии Положением о вступительных испытаниях УУНиТ): тестирование.
Вступительные испытания в виде электронного тестирования проводятся в соответствии с программами вступительных испытаний, утверждаемых председателем предметной комиссии.
Вступительные испытания в форме тестирования включают вопросы как закрытого, так и открытого типа, а также задания в аудио- и видеоформатах.
Составление вариантов экзаменационных заданий в форме электронных тестов осуществляется ответственным секретарем приемной комиссии университета.
Из вариантов экзаменационных заданий формируются комплекты вопросов-тестов.
Компоновку комплектов вопросов-тестов ответственный секретарь, заместитель ответственного секретаря производят до вступительных испытаний.
Тест содержит 40 тестовых вопросов.
Результаты испытаний оцениваются по 100 бальной шкале.
Абитуриент, не согласный с оценкой, полученной на ВИ и (или) в связи с нарушением процедуры проведения ВИ имеет право подать апелляцию. Процедура подачи и рассмотрения апелляции регламентируется Положением об апелляционной комиссии УУНиТ.
КРИТЕРИИ ОЦЕНИВАНИЯ ОТВЕТА
Критериями оценки экзаменационного ответа, поступающего в магистратуру являются полнота, логичность, доказательность, прочность, осознанность знаний и теоретическая обоснованность суждений, самостоятельность в интерпретации информации, практическая направленность, уровень овладения профессиональными умениями менеджера и др. В случае тестирования является правильные ответы на тестовые задания.
При проверке количество первичных баллов переводится в итоговую 100 балльную шкалу через информационную платформу университета.
СОДЕРЖАНИЕ РАЗДЕЛОВ И ТЕМ ПРОГРАММЫ ВСТУПИТЕЛЬНОГО ИСПЫТАНИЯ
Раздел I. «Теоретико-методологические основы политической науки»
Политология как наука о политике. Объекты изучения: властные отношения, государственно-политическая организация общества, политические институты, взаимоотношения между людьми, обществом и государством. Предмет изучения - тенденции и закономерности функционирования и развития политической жизни, включения субъектов политики в процесс разработки и реализации политических решений, регулирования политических конфликтов.
Общелогические методы исследований (анализ и синтез, индукция и дедукция, абстрагирование, аналогия и др.). Методы эмпирических исследований (использование статистики, анализ документов, опрос, интервьюирование и др.). Методологии как концептуальные практикотеоретические подходы (бихевиорализм, структурный функционализм, системный подход, сравнительный подход, нормативно-ценностный подход и др.)
Зарождение политической науки. Философский этап развития. Оформление дисциплинарной самостоятельности (правовая школа в Германии, учебные и научные структуры в США и Западной Европе). Завершение этапа становления: Международный симпозиум под эгидой ЮНЕСКО, создание национальных и международной ассоциаций политической науки, крупных исследовательских центров.
Генезис, особенности развития политической мысли в России. Образование русской государственности и принятие христианства на Руси как исходный момент и основа развития политической мысли. Политические идеи в период татаромонгольских завоеваний, становления и развития централизованного русского государства:
«Москва - третий Рим» (Филофей), укрепления самодержавной власти И.Г розного. Политические идеи периода образования и укрепления абсолютизма, социально-политические реформы Петра I. Консервативные, либеральные, революционно-демократические и социал-демократические идеологии в России конца XIX и начала XX в.
Политическая мысль в советский и постсоветский период.
Раздел II. «Политика и ее субстанциональные свойства»
Причины возникновения политики. Определения политики (экономические, правовые, этические и др.). Понятия «полити», «полиси» и «политикс». Основные функции как направления воздействия политики на общество. Функции политики в русле системного анализа (функции «входа» и функции «выхода»). Конкретные составные части политики. Три уровня существования политики: макроуровень, микроуровень, мегауровень.
Неразрывная связь политики и других сфер общественной жизни. Роль политики во взаимоотношениях между ними (ведущая роль; зависимая роль; равноправие). Политика и экономика: экономический детерминизм и регулирующее воздействие политики. Политика и право: взаимодействие в разных политических системах. Политика и мораль. Противоречивость взаимоотношений между политикой и моралью.
Раздел III. «Политические институты»
Определения государства в узком и широком значении слова. Происхождение государства. Политическая сущность и политическая функция государства. Государство как центральный институт политической системы общества. Признаки государства (суверенитет, территория, публичность, социальный арбитраж, легальное и легитимное насилие и др.).
Определение правового государства.
Определение социального государства. Социальное государство как новый этап в расширении прав и свобод граждан. Функции социального государства и инструмент их реализации. Этапы становления социального государства и социальной политики. Модели социальной политики в современных государствах (либеральная, консервативная, социалдемократическая). Форма правления как структура и характер взаимоотношений высших органов государства. Монархия и республика как две основные формы правления в традиционном и современном государствах. Основное различие между ними. Разновидности современных монархий: абсолютная, парламентарная, дуалистическая, выборная. Вектор развития современных монархий.
Три основные формы территориально-политического устройства государств. Их характерные черты, особенности, специфика.
Две основные формы республики. Их сущностные характеристики и главные отличия. Развитие теории разделения властей. Классическая модель «горизонтального» и «вертикального» разделения властей, системы «сдержек и противовесов». Разделение властей как один из важнейших принципов функционирования правового государства.
Особенности партии как общественно-политического объединения. Цель, задачи, функции политической партии. Понятие партийно-политической системы. Особенности становления современной партийно-политической системы России.
Группа интересов и ее политические функции. Виды групп интересов. Группы давления. Функции и особенности.
Раздел IV. «Политические системы и процессы»
Понятие политической системы и ее роль в реализации политической власти, управлении делами общества. Функции политической системы по Т. Парсонсу и Г. Алмонду. Типологии политических систем: по характеру взаимоотношений системы со средой; по уровню функционирования; по степени централизации власти и типу ценностей.
Соотношение функций управления и политической системы. Понятие политического управления. Сохранение и развитие общества как высшая цель политического управления.
Понятие политического процесса. Типология политических процессов. Режимы протекания политических процессов. Специфика переходных политических процессов в России.
Развитие как особый тип протекания политических процессов. Модернизация: основные концепции. Понятие политического участия. Основные характеристики и типы политического участия.
Сущность и особенности политического конфликта. Структура политического конфликта. Типологизация политических Стратегии и тактики урегулирования политических конфликтов.
Международная политика и международные отношения. Реализм и идеализм о понимании мировой политики. Основные субъекты международных отношений. Концепции международной политики и их исторический генезис. Состояние международных отношений в мире.
Особенности внешнеполитической стратегии современной России. Глобализация как мировой политический процесс.
Раздел V. «Неинституциональные основы политики»
Политическая культура и ее функции. Компоненты политической культуры. Модели политического поведения. Типы политической культуры.
Политическое сознание как субъективная сторона политической жизни. Функции политического сознания. Структура политического сознания. Формы политического сознания.
Политическая идеология как одна из форм политического сознания.
Определения политической идеологии. Роль и функции политической идеологии в обществе. Основные идеологические течения современности. Либерализм и неолиберализм. Сущность, эволюция, классики либерализма. Консерватизм и неоконсерватизм. Истоки, классики, принципы. Социалистическая и коммунистическая идеология. Утопический социализм и его основатели. Теоретическое обоснование социализма в работах классиков марксизма. Базовые идеи и завоевания современного социал-демократизма.
Раздел VI. «Политическая стратификация»
Индивид как субъект политики. Исторические модели взаимоотношений власти и человека. Понятие и типология прав человека.
Социальные группы как субъекты политики. Процесс артикуляции и агрегирования групповых интересов. Роль среднего класса в политическом процессе.
Динамика социальной структуры в современном мире и ее влияние на политический процесс.
Политические элиты: понятие, концепции, типология. Понятие политического лидерства. Теории лидерства. Основные типологии лидерства. Стили лидерства. Типы лидеров в современной российской политике.
Раздел VII. «Политические технологии»
Политические технологии как способ достижения заранее определенной политической цели. Виды политических технологий. Последовательность процедур в политических технологиях.
Выборы и их предназначение. Выборы как атрибут демократии. Их функции. Избирательная система. Виды избирательных систем.
Избирательная система в России. Избирательные технологии.
Политические переговоры: понятие, структура, виды
Специфика политических переговоров. Стратегии и приемы переговоров. Технологии регулирования политических конфликтов.
Демоверсия экзаменационного варианта
1.Термин «тоталитаризм» впервые в политических целях применил:
а) А. Гитлер;
б) Б. Муссолини;
в) И. Сталин
г) И. Бродский
2.Авторитарный режим основан на:
а) абсолютном контроле власти над всеми сферами жизни и деятельности граждан;
б) стремлении власти контролировать лишь политические процессы, допуская экономическую самостоятельность граждан;
в) минимизации участия политической власти в жизни общества и государства.
г) возможность диктора контролировать общественный прогресс
3.Наиболее неустойчивым видом территориального устройства является:
а) конфедерация;
б) федерация;
в) унитарное государство
г) монархия
4.Наиболее точно термин «политический миф» раскрывает следующее определение:
а) это технология модернизации общества;
б) это идеологическая платформа любого общественно-политического движения;
в) это целенаправленно внедряемое в массовое политическое сознание искаженное восприятие окружающего социального мира, истории и политических процессов
г) это технология манипулирования политическими массами
5.Официальная российская внешняя политика декларирует, что современный мир в интересах всех народов должен стать:
а) однополярным;
б) многополярным;
в) основанным на военно-политическом равновесии между двумя сверхдержавами
г) противостояние двух и более политических систем
6.Толкование циркуляции элит как историческое чередование «лис» и «львов» было характерно для следующего мыслителя:
а) Г. Моска;
б) В. Парето;
в) Р. Михельс
г) Л. Троцкий
7.Значительный вклад в становление современной теории политических систем внес:
а) М.Дюверже;
б) К. Шмитт;
в) Д. Истон
г) Н. Бухарин
8.Основное сходство группы интересов с политической партией заключается в том, что группа интересов:
а) представляет интересы значительных групп населения;
б) не стремится к политической власти в стране;
в) стремится к решению социально-экономических проблем
г) считает возможным манипулировать противоположной стороной
СПИСОК ЛИТЕРАТУРЫ
Основная литература
- Цыганков П.А. Международные отношения и мировая политика. Учебник для бакалавриата и магистратуры. М.: Издательство Юрайт, 2019. 450 с.
- Гаджиев К.С., Примова Э.Н. Политология: учебник / К.С. Гаджиев, Э.Н. Примова. – Инфра-М, 2018. 345 с.
- Пугачѐв В.П., Соловьѐв А.И. Введению в политологию. Учебник для бакалавров. Издательство: Кнорус. 2019. 450 с.
- Соловьѐв А.И. Политология: политическая теория, политические технологии. Учебник для студентов вузов. М.: Аспект Пресс, 2020. 575 c.
- Мельвиль А.Ю. Политические системы современных государств. Издательство: Аспект-Пресс. 2014. 250 с.
- Исаев Б.А. Введение в политическую теорию: учебное пособие. Спб.: Питер, 2018. 432 с.
- Василенко И.А. Политология. Учебник для ВУЗов. М.: Издательство Юрайт, 2019. 470 с.
- Мухаев Р.Т. Теория политики. Учебник / Мухаев Р. Т. — М.: Юнити-Дана, 2020. 624 с.
Дополнительная литература
- Меркулов П.А. Политология. Учебник. - Орѐл: ОФ РАНХиГС, 2015. - 328 с.
- Понкин И.В. Теория государственного управления: инструменты государственного управления и государственной политики // 2014. №1.
- Сморгунов Л.В. Сравнительная политология. Учебник для вузов. СПб. Питер, 2012. 448 с.
- Кравченко А.И. Политология: учебник / А. И. Кравченко; Моск. гос. ун-т им. М.В. Ломоносова. - М.: Проспект, 2007. - 448с.
- Политология: учебник для вузов / под ред. В.А. Ачкасова, В.А. Гуторова. - М.: Высш. образование, 2007. - 692с.
- Политология: учебник для вузов / под ред. В.Н.Лавриненко. - 3-е изд., перераб. и доп. - М.: ЮНИТИ, 2007. - 591с.
- Косов Г.В., Харламова Ю.А., Нефедов С.А. Экополитология: политология в контексте экологических проблем. Учебник. М.: 2006. 405 с.
- История политических и правовых учений/ отв. ред. В.С. Нерсесянц. - М., 2005.
- Панарин А.С. Политология. Западная и Восточная традиции. Учебник для вузов. Москва: Университет, 2000. 320 с.
- Мухаев Р. Т. Хрестоматия по теории государства и права, политологии, истории политических и правовых учений. – М.: ПРИОР, 2000. 1104 с.
- Политология: Энциклопедический словарь. - М., 1999.
- Антология мировой политической мысли: В 5 т. Т.3: Политическая мысль в России: Х - первая половина XIX в. М., 1997.
Языкознание
ПРОГРАММА
вступительного испытания
для поступающих в магистратуру по направлениям подготовки
44.04.01 «Педагогическое образование»
45.04.01 «Филология»
программы (профили):
«Филология в диалоге языков и культур»,
«Филологическое обеспечение информационно-коммуникативной
деятельности»
ОБЩИЕ ПОЛОЖЕНИЯ
Вступительные испытания предназначены для определения практической и теоретической подготовленности поступающего в магистратуру и проводятся с целью определения соответствия знаний умений и навыков требованиям обучения магистратуры по направлениям подготовки 44.04.01 Педагогическое образование (магистратура), 45.04.01 Филология (магистратура). Программа составлена в соответствии с требованиями федерального государственного образовательного стандарта высшего профессионального образования. Абитуриенты, поступающие в магистратуру по программам «Филология в диалоге языков и культур» и «Филологическое обеспечение информационно-коммуникативной деятельности», сдают экзамен по языкознанию.
Вступительные испытания в магистратуру проводят экзаменационные комиссии, назначенные председателем приёмной комиссии СФ УУНиТ.
ПРОЦЕДУРА ВСТУПИТЕЛЬНОГО ИСПЫТАНИЯ
Дата и время проведения вступительного испытания и консультации определяются расписанием вступительных испытаний, которое утверждается председателем приемной комиссии.
Перед вступительным испытанием для поступающих проводится консультация по содержанию программы испытания, критериям оценки, предъявляемым требованиям, правилам поведения на испытании.
Форма вступительного испытания (в соответствии Положением о вступительных испытаниях УУНИТ): устно-письменная.
Вступительные испытания в виде устно-письменного экзамена проводятся в соответствии с программами вступительных испытаний, утверждаемых председателем приемной комиссии.
Экзаменационные билеты включают два или три вопроса по направлению подготовки (по специальности).
В аудитории, где проводится вступительное испытание в устно-письменной форме, не может находиться одновременно более 6 человек. Нахождение в аудитории посторонних лиц не допускается.
Абитуриенту предоставляется право готовиться к ответу в течение 30 минут.
Абитуриенту предоставляется право ответа на экзаменационные вопросы в течение 20-25 минут.
В процессе сдачи вступительного испытания абитуриенту могут быть заданы дополнительные вопросы как по содержанию экзаменационного билета, так и по любым разделам предмета в пределах программы вступительного испытания.
Абитуриент, не согласный с оценкой, полученной на ВИ и (или) в связи с нарушением процедуры проведения ВИ имеет право подать апелляцию. Процедура подачи и рассмотрения апелляции регламентируется Положением об апелляционной комиссии СФ УУНиТ.
КРИТЕРИИ ОЦЕНИВАНИЯ ОТВЕТА
Критериями оценки экзаменационного ответа, поступающего в магистратуру являются полнота, логичность, доказательность, прочность, осознанность знаний и теоретическая обоснованность суждений, самостоятельность в интерпретации информации, практическая направленность, уровень овладения профессиональными умениями менеджера и др. В случае тестирования является правильные ответы на тестовые задания.
Результаты вступительного испытания определяются по 100-балльной шкале, разброс баллов представлен ниже в таблице:
|
№ |
Критерии оценивания |
Оценка |
|
1 |
Дан полный развернутый ответ на теоретический вопрос:
|
85-100 баллов «отлично» |
|
2 |
Дан в целом правильный ответ на теоретический вопрос:
|
67-84 балла «хорошо» |
|
3 |
Дан в основном правильный ответ на теоретический вопрос:
|
50-66 баллов «удовлетворительно» |
|
4 |
Дан фрагментарный ответ или неправильный ответ на теоретический вопрос из предложенного тематического раздела:
|
0-49 баллов «неудовлетворительно» |
СОДЕРЖАНИЕ РАЗДЕЛОВ И ТЕМ ПРОГРАММЫ
ВСТУПИТЕЛЬНОГО ИСПЫТАНИЯ
Раздел I. ЯЗЫК И ЕГО СУЩНОСТЬ
Сущность языка. Основные функции языка. Язык и другие средства общения.
Множество и разнообразие языков мира. Факторы, обусловливающие языковое сходство: ареальный, генеалогический, типологический, их соотношение. Основные виды классификации языков.
Основные теории происхождения языка.
Язык как общественное явление. Двусторонняя связь языка и общества.
Закономерности исторического развития языка. Связь развития языка с историей общества. Внешние факторы и внутренние противоречия как источник развития языка.
Язык и мышление. Связь форм мышления с единицами языка. Психологическое направление в исследованиях связи языка и мышления.
Этнологическое направление в исследовании связи языка и мышления: язык и картина мира
Философия языка Вильгельма фон Гумбольдта и лингвистическая концепция Фердинанда де Соссюра. Значение их трудов для современного изучения языка как знаковой системы.
Текст. Основные категории (признаки) текста.
Язык и речь. Единицы языка и единицы речи.
Раздел II. ЯЗЫКОЗНАНИЕ КАК НАУКА
Методология языкознания. Классификация методов языкознания. Метод и приём. Приёмы лингвистического анализа языковых единиц разных уровней языковой системы.
Современное языкознание как результат длительного развития науки о языке. Основные этапы истории лингвистики и российского языкознания. Казанская и Московская лингвистические школы. Значение трудов И.А. Бодуэна де Куртенэ и Ф.Ф. Фортунатова для современной лингвистики.
Сравнительно-историческая, системно-структурная и антропоцентрическая парадигмы современной лингвистики. Проблема «Язык и культура» и её отражение в теории лингвокультурологии.
Раздел III. СТРУКТУРА ЯЗЫКА
Система и структура языка. Уровни и единицы языковой системы.
Парадигматические, синтагматические и иерархические отношения между языковыми единицами.
Раздел IV. ФОНЕТИКА
Звуки речи как природная материя языка. Акустическая, артикуляционная и функциональная стороны звуков речи. Взаимодействие звуков в речевом потоке. Позиционные и комбинаторные изменения звуков. Основные фонетические процессы: ассимиляция, диссимиляция, аккомодация, редукция.
Раздел V. МОРФЕМИКА
Морфема как единица языка. Классификация морфем. Изменение морфемной структуры слова.
Раздел VI. ЛЕКСИКОЛОГИЯ
Слово как центральная единица языка. Лексическое значение и его типы.
Исторические изменения словарного состава языка. Активная и пассивная лексика языка. Устаревшие слова. Неологизмы. Основные пути обогащения словарного состава языка: словообразование, изменение значений слов и заимствование.
Раздел VII. ЛЕКСИКОГРАФИЯ
Основные типы лингвистических словарей.
Грамматическая категория, грамматическое значение и грамматическая форма. Основные способы выражения грамматических значений.
Демоверсия экзаменационного варианта
- НАУКИ И ВЫСШЕГО ОБРАЗОВАНИЯ
- ФЕДЕРАЦИИ
- ГОСУДАРСТВЕННОЕ БЮДЖЕТНОЕ
- УЧРЕЖДЕНИЕ ВЫСШЕГО ОБРАЗОВАНИЯ
- УНИВЕРСИТЕТ НАУКИ И ТЕХНОЛОГИЙ»
- ФИЛИАЛ
- ФАКУЛЬТЕТ
|
Вступительный экзамен по направлению 44.04.01 Педагогическое образование, программы «Филология в диалоге языков и культур», «Филологическое обеспечение информационно-коммуникативной деятельности» 2025-2026 уч. год |
УТВЕРЖДАЮ Директор СФ УУНиТ
___________ И.А.Сыров
|
Экзаменационный билет № 1
- Текст. Основные категории (признаки) текста.
- Современное языкознание как результат длительного развития науки о языке. Основные этапы истории лингвистики и российского языкознания. Казанская и Московская лингвистические школы. Значение трудов И.А. Бодуэна де Куртенэ и Ф.Ф. Фортунатова для современной лингвистики.
Зав. кафедрой __________________
СПИСОК ЛИТЕРАТУРЫ
- Алпатов В.М., Крылов С.А. История лингвистических учений: учебник и практикум для академического бакалавриата. – 5-е изд., перераб. и доп. – М., – 2023. – 452 с.
- Вендина Т.И. Введение в языкознание: учебник для вузов / Т.Н. Вендина. – 4-е изд., перераб. и доп. – М.: Издательство Юрайт, 2025. – 333 с.
- Гавра Д.П. Основы теории языка и коммуникации: учебник для вузов / Д.П. Гавра. – М.: Издательство Юрайт, 2025. – 231с.
- Зеленецкий А.Л. Введение в общее и частное языкознание. Наиболее трудные темы курса: учебник для вузов / А.Л. Зеленецкий. – М.: Издательство Юрайт, 2025. – 174 с.
- Красухин К.Г. Общее языкознание: учебник для вузов / К.Г. Красухин. – М.: Издательство Юрайт, 2025. – 317 с.
- Колесов В.В. История русского языкознания: учебник для вузов / В.В. Колесов. – М.: Издательство Юрайт, 2025. – 618 с.
- Куликова И.С., Салмина Д.В. Введение в языкознание: учебник для вузов / И.С. Куликова, Д.В. Салмина,– М.: Издательство Юрайт, 2025. – 651 с.
- Немченко В.Н. Введение в языкознание: учебник для вузов / В.Н. Немченко. – 2-е изд., перераб. и доп. – М.: Издательство Юрайт, 2025. – 494 с.
- Шунейко А.А. Основы языкознания: учебник / А.А. Шунейко. – М.: Издательство Юрайт, 2025. – 363 с.
Безопасность жизнедеятельности
ПРОГРАММА
вступительного испытания
для поступающих в магистратуру по направлению подготовки
20.04.01 «Техносферная безопасность»
программы (профиль)
«Аудит безопасности»,
«Пожарная безопасность»
ОБЩИЕ ПОЛОЖЕНИЯ
Вступительные испытания предназначены для определения практической и теоретической подготовленности поступающего в магистратуру и проводятся с целью определения соответствия знаний умений и навыков требованиям обучения магистратуры по направлениям подготовки 20.04.01 «Техносферная безопасность» (магистратура). Программа составлена в соответствии с требованиями федерального государственного образовательного стандарта высшего профессионального образования.
Вступительные испытания в магистратуру проводят экзаменационные комиссии, назначенные председателем приёмной комиссии УУНиТ.
ПРОЦЕДУРА ВСТУПИТЕЛЬНОГО ИСПЫТАНИЯ
Дата и время проведения вступительного испытания и консультации определяются расписанием вступительных испытаний, которое утверждается председателем приемной комиссии.
Перед вступительным испытанием для поступающих проводится консультация по содержанию программы испытания, критериям оценки, предъявляемым требованиям, правилам поведения на испытании.
Форма вступительного испытания (в соответствии Положением о вступительных испытаниях УУНИТ): тестирование.
Вступительные испытания в виде электронного тестирования проводятся в соответствии с программами вступительных испытаний, утверждаемых председателем предметной комиссии.
Вступительные испытания в форме тестирования включают вопросы как закрытого, так и открытого типа, а также задания в аудио- и видеоформатах.
Составление вариантов экзаменационных заданий в форме электронных тестов осуществляется ответственным секретарем приемной комиссии университета.
Из вариантов экзаменационных заданий формируются комплекты вопросов-тестов.
Компоновку комплектов вопросов-тестов ответственный секретарь, заместитель ответственного секретаря производят до вступительных испытаний.
Тест содержит 40 тестовых вопросов.
Результаты испытаний оцениваются по 100 бальной шкале.
Абитуриент, не согласный с оценкой, полученной на ВИ и (или) в связи с нарушением процедуры проведения ВИ имеет право подать апелляцию. Процедура подачи и рассмотрения апелляции регламентируется Положением об апелляционной комиссии УУНиТ.
КРИТЕРИИ ОЦЕНИВАНИЯ ОТВЕТА
Критериями оценки экзаменационного ответа, поступающего в магистратуру являются полнота, логичность, доказательность, прочность, осознанность знаний и теоретическая обоснованность суждений, самостоятельность в интерпретации информации, практическая направленность, уровень овладения профессиональными умениями менеджера и др. В случае тестирования является правильные ответы на тестовые задания.
При проверке количество первичных баллов переводится в итоговую 100 балльную шкалу через информационную платформу университета.
СОДЕРЖАНИЕ РАЗДЕЛОВ И ТЕМ ПРОГРАММЫ ВСТУПИТЕЛЬНОГО ИСПЫТАНИЯ
I.Содержание программы по дисциплине «Безопасность жизнедеятельности»
- Основные понятия и определения БЖД: опасность, безопасность, риск, нормирование, рабочая зона. Принципы, методы и средства БЖД.
- Психофизиологические основы БЖД: анализаторы, свойства анализаторов, психофизические законы.
- Человек и техносфера: понятие техносферы, опасности антропогенные и техногенные. Риск: виды риска, составляющие риска.
- Идентификация и воздействие на человека негативных факторов среды обитания, их количественная оценка. Химические, физические, биологические негативные факторы. ПДК и ПДУ. Особенности воздействия на человека вредных веществ. Химические веществ и аэрозоли. Эффект суммации. Шум, вибрация, электромагнитные неионизирующие и ионизирующие излучения: воздействие на человека, измерение, нормирование.
- Пожаровзрывобезопасность: характеристики пожаровзрывобезопасности газов, жидкостей, твердых веществ, строительных конструкций. Пожарная нагрузка. Виды горения. Классификации пожаров по масштабу, по горящим веществам и оборудованию. Пассивные и активные методы обеспечения пожарной безопасности. Средства пожаротушения.
- Обеспечение комфортных условий среды обитания. Микроклимат. Нормируемые параметры микроклимата. Оптимальные и допустимые параметры микроклимата, принципы их нормирования.
- Освещение и световая среда в помещении. Количественные и качественные светотехнические характеристики. Нормируемые параметры искусственного и естественного освещения, принципы нормирования освещения.
- Основные принципы, методы защиты человека и среды обитания от негативных факторов. Организационные и технические принципы защиты. Защита расстоянием, защита временем, принцип «слабого звена», знаки безопасности. Средства коллективной и индивидуальной защиты.
- Защита от химических и энергетических воздействий: поддержание заданных параметров микроклимата и состава воздушной среды. Виды вентиляции, принципы расчета. Защита человека от шума, вибрации, излучений. Электробезопасность: организационные и технические методы защиты, средства индивидуальной защиты при работе в электроустановках.
- Анализ и оценивание техногенных рисков. Дерево отказов. Дерево событий. Принципы построения и расчета.
- Безопасность в чрезвычайных ситуациях техногенного характера: определение чрезвычайной ситуации (ЧС), классификации ЧС, поражающие факторы ЧС. Химически опасные промышленные объекты (ХОО), химические аварии, химическая обстановка. Средства индивидуальной защиты в ЧС. Первая медицинская помощь.
- Чрезвычайные ситуации природного и военного характера. Геофизические опасные природные явления и процессы. Землетряения: основные количественные параметры для оценки землетрясений. Геологические опасные природные процессы и явления. Поражающие факторы ядерного взрыва.
- Законодательное обеспечение и управление БЖД: законодательные акты по охране труда, нормативные акты по охране труда, государственные стандарты системы безопасности труда (ГОСТ 12 ССБТ). Обеспечение безопасности труда на рабочем месте. Инструктаж по безопасности труда, виды, условия применения. Несчастные случаи на производстве. Квалификация и порядок расследования несчастных случаев.
II. Содержание программы по дисциплине «Безопасность в чрезвычайных ситуациях»
- Введение в безопасность в ЧС. Основные понятия и определения
Понятие чрезвычайная ситуация, опасность, безопасность, безопасность в ЧС. РСЧС и особенности построения и функционирования системы. Потенциально- опасные и критически важные объекты. Основы защиты населения и территории от ЧС. Поражающие факторы и номенклатура поражающих факторов ЧС.
- Чрезвычайные ситуации: виды, процессы, особенности
Причины ЧС. Классификация ЧС по масштабам. Зоны ЧС. Стадии развития ЧС. Классификация ЧС по скорости распространения. Общая характеристика ЧС природного и техногенного характера, а также ЧС военного времени. Поражающие факторы: параметры, оценка.
- Риск – анализ и риск-ориентированный подход
Риск ЧС: понятие, виды, оценка, подходы. Социальный, индивидуальный риски. Приемлемый риск. Риск-ориентированный подход.
- Антикризисное управление при обеспечении безопасности в ЧС Антикризисный менеджмент: необходимость, задачи, понятие. Кризис: понятие, причины, классификация.
- Обеспечение радиационной защиты в ЧС мирного и военного времени Радиационно-опасные объекты: понятие, классификация, категорирование.
Ядерный реактор: типы, особенности работы. Радиационная авария и зонирование территории. Радиационная защита: режимы, мероприятия, особенности. Выявление и оценка радиационной обстановки
- Обеспечение химической защиты в ЧС мирного и военного времени Аварийно-химически опасное вещество (АХОВ): понятие, классификация, характеристики. Химически-опасные объекты: понятие, классификация, категорирование. Химическая авария и зонирование территории. Первичное и вторичное облако АХОВ. Типы химической обстановки. Химическая защита: режимы, мероприятия, особенности. Выявление и оценка химической обстановки
- Обеспечение пожаровзрывобезопасности
Пожаровзрывоопасный объект: понятие, виды, особенности. Категорирование пожаровзрывоопасных объектов (А, Б, В, Г, Д). Классы пожаров (A, B, C, D, E). Пожароопасные характеристики и свойства веществ и материалов. Пожар, взрыв, пожар пролива, огненный шар, эффект BLEVE. Система пожарной безопасности. Первичные средства пожаротушения.
- Обеспечение защиты населения и территории при гидродинамических авариях.
Гидродинамически опасный объект: понятие, особенности. Виды объектов. Плотины, водохранилища: основные понятия, элементы, режимы работы. Проран. Поражающие факторы гидродинамических аварий: полна прорыва, катастрофическое затопление местности. Локальные системы оповещения.
- ЧС природного характера: геологические опасные процессы
Землетрясения. Классификация, процессы, сущность. Магнитуда, энергия землетрясения. Сейсмические волны. Интенсивность. Шкалы. Вулканизм. Типы вулканических извержений. Поражающие факторы вулканов. Геологические экзогенные процессы. Оползневые процессы. Устойчивость склонов. Классификация оползней.
- ЧС природного характера: метеорологические опасные процессы Атмосферная циркуляция. Циклоническая активность. Ураганы.
Классификация, особенности, шкалы. Феноменология и опасные факторы грозы. Молнии. Торнадо.
- ЧС природного характера: гидрологические опасные процессы
Наводнения: причины, классификация, последствия. Заторы и зажоры. Половодье. Паводок. Прогнозирование. Поражающие факторы. Нагонные наводнения. Ущерб.
- ЧС природного характера: природные пожары и массовые заболевания Природные пожары. Виды, особенности. Лесные пожары: классификация, параметры. Торфяные пожары. Эпидемии, эпизоотии, эпифитотии.
Демоверсия экзаменационного варианта
1. Для защиты органов дыхания, лица и глаз детей от сильнодействующих ядовитых, отравляющих, радиоактивных веществ и бактериальных аэрозолей применяются:
а) респираторы;
б) противогазы;
в) ватно-марлевые повязки;
г) защитные камеры.
2. К биологическим опасным и вредным факторам относятся:
а) ионизирующие излучения;
б) токсические вещества;
в) патогенные микроорганизмы;
г) локальные вибрации.
3. Кто возглавляет Правительственную комиссию по предупреждению и ликвидации ЧС и обеспечению пожарной безопасности?
а) министр МЧС России
б) один из заместителей председателя Правительства;
в) председатель Правительства РФ
4. Какой орган управления является постоянно действующим на федеральном уровне?
а) правительственная КЧС.
б) ведомственная комиссия
в) МЧС России
г) РЦ ГОЧС
д) межведомственная комиссия по ЧС.
СПИСОК ЛИТЕРАТУРЫ
- Ветошкин А. Г. Инженерная защита гидросферы от сбросов: учебное пособие. 2-е изд., испр. и доп. - М. : Инфра-Инженерия, 2019. - 296 с.
- Зиганшин М.Г. Проектирование аппаратов пылегазоочистки /М.Г. Зиганшин.- 2002, - 295 с
- Свитцов А. А. Введение в мембранную технологию, М., ДеЛипринт, 2007, 208 с.
- Яковлев, С. В. Биологические фильтры / С. В. Яковлев, Ю. В. Воронов. - 2-е изд., перераб. и доп. - Москва : Стройиздат, 1982. - 122 с.
- Шубов, Л. Я. Технология отходов: учебник / Л. Я. Шубов, М. Е. Ставровский, А. В. Олейник; под ред. Л. Я. Шубова. - Москва : Альфа-М ; Москва : Уником Сервис; Москва : ИНФРА-М, 2011.- 348с.
- Водоотведение : учебник / Ю. В. Воронов [и др.] ; под общ. ред. Ю. В. Воронова. - Москва : ИНФРА-М, 2011. - 41 Зс.
- Попов М.А., Румянцев И.С. Природоохранные сооружения. - М.: КолосС, -2005.
- Инженерная защита окружающей среды. Очистка вод. Утилизация отходов / Под ред. Ю.А. Бирман и Н.Г.Бурдовой. - М.: Изд-во Ассоциации строительных вузов, - 2002, - 295 с.
- Оборудование, сооружения, основы проектирования химико- технологических процессов защиты биосферы от промышленных выбросов. Учебн. пособие для вузов /Родионов А.И., Кузнецов Ю.П., Зенков В.В., Соловьев Г.С. - М.: Химия, - 1985. - 352 с.
- Слобанин В.И. Защита окружающей среды от отходов производства и потребления. - М.: Колос, 2000.
- Мастрюков Б.С. Безопасность в чрезвычайных ситуациях в природно- техногенной сфере. Прогнозирование последствий: [учебное пособие по направлению "Безопасность жизнедеятельности"]. М.: Академия, 2011. – 367с.
- Репин Ю.В. Безопасность и защита человека в чрезвычайных ситуациях: уч. пособ. М.: Дрофа, 2007. – 191с.
- Ямалов И.У. Моделирование процессов управления и принятия решений в условиях чрезвычайных ситуаций [электронный ресурс]. М.: БИНОМ, 2012. – 288с.
- Кирин Б.Ф., Каледина Н.О., Слепцов В.И. Защита в чрезвычайных ситуациях: учебное пособие для вузов. М.: издательство Московского государственного горного университета, 2004. – 285с.
- Воробьёв Ю.Л., Акимов В.А., Соколов Ю.И. Системные аварии и катастрофы в техносфере России. МЧС России. М.: ФГБУ ВНИИ ГОЧС (ФЦ), 2012. - 308 с.
- Емельянов В. М. Защита населения и территорий в чрезвычайных ситуациях: [учебное пособие для вузов] / В. М. Емельянов, В. Н. Коханов, П. А. Некрасов; МГУ им. М. В. Ломоносова; под ред. В. В. Тарасова - М.: Академический Проект, 2007
- Сергеев В С. Защита населения и территорий в чрезвычайных ситуациях: [учебное пособие для студентов вузов] / В. С. Сергеев; Московский открытый социальный университет; науч. ред. А. И. Меняйлов - Москва: Академический проект, 2010 - 461 с.
- Мастрюков Б. С. Безопасность в чрезвычайных ситуациях: [учебник для студентов вузов, обучающихся по специальностям "Безопасность жизнедеятельности в техносфере" и "Безопасность технологических процессов и производств" направления подготовки дипломированных специалистов "Безопасность жизнедеятельности"] / Б. С. Мастрюков - М.: Академия, 2008 - 336 с.
- Дмитриенко В.П., Мессинева Е.М., Фетисов А.Г. Управление экологической безопасностью в техносфере. Учебное пособие. М.: Лань, 2016. – 436 с.
- Фролов А.В., Шевченко А.С. Управление техносферной безопасностью. Учебное пособие. М.: Русайнс, 2020. – 268 с.
- Широков Ю.А. Техносферная безопасность. Организация, управление, ответственность. Учебное пособие. М.: Лань, 2019.
- Белов, С.В. Безопасность жизнедеятельности: Учебник для вузов / С.В. Белов, В.А. Девисилов, А.В. Ильницкая, и др.; Под общей редакцией С.В. Белова. – 8-е издание, стереотипное – М.: Высшая школа, 2016. – 616 с. : ил.
- Безопасность жизнедеятельности: Учебник / Под ред. Э.А. Арустамова.- М.: Издат. дом Дашков и К, 2017. – 678 с.
- Девисилов, В.А. Охрана труда: учебник / В.А. Девисилов. – 4-е изд., перераб. и доп. – М.: ФОРУМ, 2016. – 496 с.
- Занько, Н.Г. Безопасность жизнедеятельности: Учебник для вузов / Занько Н.Г, Малаян К.Р., Русак О. Н. –12 издание, пер. и доп. – СПб.: Лань, 2018 . – 672 с.
- Безопасность жизнедеятельности : [учебник для студ. вузов, обуч. по всем напр. бакалавриата] / И. В. Бабайцев [и др.] ; под ред. Б. С. Мастрюкова .— 3- изд., стер. — М. : Академия, 2014 .— 304 с. ; 21 см .— (Высшее профессиональное образование) (Бакалавриат).
- Кукин, П.П. Анализ оценки рисков производственной деятельности. Учебное пособие / П.П. Кукин, В.Н. Шлыков, Н.Л. Пономарев, Н.И. Сердюк. – М.: Высшая школа, 2017. – 328 с
Налоговый консалтинг, аудит, бизнес
ПРОГРАММА
вступительного испытания
для поступающих в магистратуру по направлению подготовки
38.04.01 «Экономика»
программа (профиль)
«Налоговый консалтинг, аудит, бизнес»
ОБЩИЕ ПОЛОЖЕНИЯ
Вступительные испытания предназначены для определения практической и теоретической подготовленности поступающего в магистратуру и проводятся с целью определения соответствия знаний умений и навыков требованиям обучения магистратуры по направлению подготовки 38.04.01 «Экономика» по программе «Налоговый консалтинг, аудит, бизнес» (магистратура). Программа составлена в соответствии с требованиями федерального государственного образовательного стандарта высшего профессионального образования.
Вступительные испытания в магистратуру проводят экзаменационные комиссии, назначенные председателем приёмной комиссии УУНиТ.
ПРОЦЕДУРА ВСТУПИТЕЛЬНОГО ИСПЫТАНИЯ
Дата и время проведения вступительного испытания и консультации определяются расписанием вступительных испытаний, которое утверждается председателем приемной комиссии.
Перед вступительным испытанием для поступающих проводится консультация по содержанию программы испытания, критериям оценки, предъявляемым требованиям, правилам поведения на испытании.
Форма вступительного испытания (в соответствии Положением о вступительных испытаниях УУНИТ): тестирование.
Вступительные испытания в виде электронного тестирования проводятся в соответствии с программами вступительных испытаний, утверждаемых председателем предметной комиссии.
Вступительные испытания в форме тестирования включают вопросы как закрытого, так и открытого типа, а также задания в аудио- и видеоформатах.
Составление вариантов экзаменационных заданий в форме электронных тестов осуществляется ответственным секретарем приемной комиссии университета.
Из вариантов экзаменационных заданий формируются комплекты вопросов-тестов.
Компоновку комплектов вопросов-тестов ответственный секретарь, заместитель ответственного секретаря производят до вступительных испытаний.
Тест содержит 40 тестовых вопросов.
Результаты испытаний оцениваются по 100 бальной шкале.
Абитуриент, не согласный с оценкой, полученной на ВИ и (или) в связи с нарушением процедуры проведения ВИ имеет право подать апелляцию. Процедура подачи и рассмотрения апелляции регламентируется Положением об апелляционной комиссии УУНиТ.
КРИТЕРИИ ОЦЕНИВАНИЯ ОТВЕТА
Критериями оценки экзаменационного ответа, поступающего в магистратуру являются полнота, логичность, доказательность, прочность, осознанность знаний и теоретическая обоснованность суждений, самостоятельность в интерпретации информации, практическая направленность, уровень овладения профессиональными умениями менеджера и др. В случае тестирования является правильные ответы на тестовые задания.
При проверке количество первичных баллов переводится в итоговую 100 балльную шкалу через информационную платформу университета.
СОДЕРЖАНИЕ РАЗДЕЛОВ И ТЕМ ПРОГРАММЫ ВСТУПИТЕЛЬНОГО ИСПЫТАНИЯ
Налоги и налогообложение
- Налоговое законодательство
- Понятие налогов. Функции
- Характеристика элементов налогов.
- Принципы налогообложения
- Права и обязанности налогоплательщика
- Косвенные налоги. Их характеристика
- Прямые налоги их характеристика
- Федеральные налоги. Их характеристика
- Региональные налоги. Их характеристика
- Местные налоги. Их характеристика
- Общий режим налогообложения
- Специальный режим налогообложения
- Налог на добавленную стоимость
- Акцизы
- Налог на прибыль организаций
- Налог на доходы физических лиц
- Транспортный налог
- Налоги на имущество
- Налог на землю
- Налоговый контроль
- Налоговые санкции
Демоверсия экзаменационного варианта
- К общегосударственным налогам относят:
- коммунальный налог
- НДС
- налог из рекламы
- Совокупность налогов, что взимаются в государстве, а также форм и методов их построения – это:
- налоговая политика
- налоговая система
- фискальная функция
- Налоги – это:
- денежные содержания из каждого работающего человека
- обязательные платежи юридических и физических лиц в бюджет в размерах и в сроки, установленные законом
- денежные изъятия государства из прибыли и зарплаты
- Источником уплаты налога является:
- прибыль
- все ответы верны
- заработная плата
СПИСОК ЛИТЕРАТУРЫ
- Гражданский кодекс. Консультант +
- Налоговый кодекс Российской Федерации часть первая от 31 июля 1998 г. № 146-ФЗ (ред. от 29 мая 2024 г.).
- Налоговый кодекс Российской Федерации часть вторая от 5 августа 2000 г. № 117-ФЗ (ред. от 29 мая 2024 г.).
- Кругляк З.И. Налоговый учет и отчетность в современных условиях: учебное пособие / З.И. Кругляк, М.В. Калинская. – 2-е изд. – Москва: ИНФРА-М, 2022. – 353 с.
- Пансков В.Г. Налоги и налогообложение: теория и практика: учебник для вузов / В.Г. Пансков. – 8-е изд., перераб. и доп. – Москва: Издательство Юрайт, 2024. – 772 с.
Психология и социальная педагогика
ПРОГРАММА
вступительного испытания
для поступающих в магистратуру по направлению подготовки
44.04.02 «Психолого-педагогическое образование»
программа (профиль)
«Психология и педагогика»
ОБЩИЕ ПОЛОЖЕНИЯ
Вступительные испытания предназначены для определения практической и теоретической подготовленности поступающего в магистратуру и проводятся с целью определения соответствия знаний умений и навыков требованиям обучения магистратуры по направлению подготовки 44.04.02 «Психолого-педагогическое образование» (магистратура). Программа составлена в соответствии с требованиями федерального государственного образовательного стандарта высшего профессионального образования.
Вступительные испытания в магистратуру проводят экзаменационные комиссии, назначенные председателем приёмной комиссии УУНиТ.
ПРОЦЕДУРА ВСТУПИТЕЛЬНОГО ИСПЫТАНИЯ
Дата и время проведения вступительного испытания и консультации определяются расписанием вступительных испытаний, которое утверждается председателем приемной комиссии.
Перед вступительным испытанием для поступающих проводится консультация по содержанию программы испытания, критериям оценки, предъявляемым требованиям, правилам поведения на испытании.
Форма вступительного испытания (в соответствии Положением о вступительных испытаниях УУНИТ): устно-письменная.
Вступительные испытания в виде устно-письменного экзамена проводятся в соответствии с программами вступительных испытаний, утверждаемых председателем приемной комиссии.
Экзаменационные билеты включают два вопроса по направлению подготовки.
В аудитории, где проводится вступительное испытание в устной форме, не может находиться одновременно более 6 человек. Нахождение в аудитории посторонних лиц не допускается.
Абитуриенту предоставляется право готовиться к ответу в течение 30 минут.
Абитуриенту предоставляется право ответа на экзаменационные вопросы в течение 20-25 минут.
В процессе сдачи вступительного испытания абитуриенту могут быть заданы дополнительные вопросы, как по содержанию экзаменационного билета, так и по любым разделам предмета в пределах программы вступительного испытания.
Абитуриент, не согласный с оценкой, полученной на ВИ и (или) в связи с нарушением процедуры проведения ВИ имеет право подать апелляцию. Процедура подачи и рассмотрения апелляции регламентируется Положением об апелляционной комиссии УУНиТ.
КРИТЕРИИ ОЦЕНИВАНИЯ ОТВЕТА
Критериями оценки экзаменационного ответа, поступающего в магистратуру являются: полнота, логичность, доказательность, прочность, осознанность знаний и теоретическая обоснованность суждений, самостоятельность в интерпретации информации, практическая направленность, уровень овладения профессиональными умениями менеджера и др.
Результаты вступительного испытания определяются по 100-балльной шкале, разброс баллов представлен ниже в таблице:
|
№ |
Критерии оценивания |
Оценка |
|
1 |
Дан полный развернутый ответ на теоретический вопрос:
|
85-100 баллов «отлично» |
|
2 |
Дан в целом правильный ответ на теоретический вопрос:
|
67-84 балла «хорошо» |
|
3 |
Дан в основном правильный ответ на теоретический вопрос:
|
50-66 баллов «удовлетворительно» |
|
4 |
|
0-49 баллов «неудовлетворительно» |
СОДЕРЖАНИЕ РАЗДЕЛОВ И ТЕМ ПРОГРАММЫ
ВСТУПИТЕЛЬНОГО ИСПЫТАНИЯ
Психология
- Психология как наука. Предмет и объект психологии. Различные подходы к пониманию предмета психологии в истории становления психологического знания. Место психологии в системе наук.
Психология как гуманитарная наука. Происхождение слова и значение термина «психология». Житейские и научные психологические знания. Житейская психология как основа донаучных психологических знаний. Различные подходы к пониманию предмета психологии в истории становления психологического знания: психология как наука о душе, сознании, поведении. Психология как наука о психике и психических явлениях. Предмет и объект современной психологии. Полипредметность психологии. Место психологии в системе наук. Психология и философия. Психология и педагогика. Взаимосвязь психологии и истории. Исторический метод. Взаимопроникновение психологии и социологии. Роль и место психологии в развитии технических наук. Связь психологии с медицинскими и биологическими науками.
- Понятие о психике её функции. Виды психических явлений и их характеристика
Понятие о психике: психика как субъективный образ объективного мира. Функции психики. Понятие и виды отражения. Особенности психического отражения. Классификация психических явлений: психические процессы, психические состояния, психические свойства, их общая характеристика. Эволюция психики в ходе филогенеза. Различные подходы к пониманию возникновения психики. Сознание человека как высшая форма психического отражения и высший уровень саморегуляции. Происхождение и развитие сознания человека. Роль труда в формировании и развитии сознания человека. Активность и интенциональность как основные характеристики сознания.
- Понятия человек, индивид, личность и индивидуальность в психологии. Личность как субъект общественных отношений. Проблема структуры личности и направленности личности.
Понятия человек, индивид, личность и индивидуальность в психологии. Человек как социально-биологическое существо, воплощающее собой высшую ступень в эволюции жизни и являющееся субъектом общественно-исторической деятельности и общении.
Основные характеристики человека: наличие сознания, особое строение организма, способность к трудовой деятельности. Индивид как отдельный человек, как уникальное сочетание его врожденных и приобретенных свойств. Индивидуальность как конкретный человек, который отличается от других людей уникальным сочетанием психических, физиологических и социальных особенностей, проявляющихся в поведении, деятельности и общении. Личность как конкретный человек, который является носителем сознания, способный к познанию, переживаниям, преобразованию окружающего мира и строящий определенные отношения с этим миром и с миром других личностей. Личность как субъект общественно-исторического и онтогенетического развития. Личность как воплощение в конкретном человеке социальных качеств, которые приобретаются в процессе деятельности и общения с другими индивидами. Основные проблемы психологии личности. Проблема детерминации развития и поведения. Проблема структуры личности. Проблема направленности личности. Проблема типологии личности. Проблема индивидуально-психологических различий. Проблема возрастно-половых различий. Специфика мотивационно-потребностной сферы личности. Виды мотивов и потребностей. Их классификации.
- Самооценка и ее виды. Уровень притязаний личности. Самосознание личности и ее жизненный путь.
Самооценка как оценивание личностью самой себя, своих возможностей и способностей. Уровень притязаний. Уровень притязаний личности как стремление к достижению цели той степени сложности, на которую человек считает себя способным.
Виды самооценки и уровня притязаний. Завышенная, заниженная и адекватная самооценка. Характеристика людей, обладающих реалистическим уровнем притязаний: уверенность, настойчивость в достижении своих целей, большая продуктивность и т.д.
Расхождение между притязаниями и реальными возможностями человека как причина неадекатного поведения человека, эмоциональных срывов, повышенной тревожности. Взаимосвязь уровня притязаний, самооценки личности и мотивации достижения успехов в различных видах деятельности. Самосознание личности и ее жизненный путь. Понятие о «Я-образе».
- Понятие о деятельности в психологии. Структура деятельности. Основные виды деятельности
Деятельность как процесс активного взаимодействия субъекта с объектом, во время которого субъект удовлетворяет какие-либо свои потребности, достигает цели. Деятельностью как любая целенаправленная активность человека, которой он сам придает некоторый смысл. Структура деятельности. Мотивы, потребности, цель, действия, операции в структуре деятельности. Виды деятельности: игровая, учебная, трудовая. Понятие о ведущем виде деятельности.
- Понятие о внимании в психологии. Виды внимания. Свойства внимания и их характеристика. Управление вниманием учащихся на уроке
Основные представления о внимании как о сосредоточении сознания (психики) на определенном объекте или конкретной деятельности и как специфическом действии контроля. Физиологические основы внимания. Основные функции внимания: активизация деятельности, обеспечение избирательности познавательных процессов. Концепция внимания П.Я. Гальперина. Физиологические механизмы внимания и ориентировочный рефлекс. Психологические механизмы внимания. Виды внимания, их различие по модальности и произвольности. Непроизвольное внимание и побуждающие его факторы. Особенности произвольного внимания. Послепроизвольное внимание. Свойства внимания: концентрация, распределение, переключение, объем, устойчивость. Нарушения внимания. Методы изучения внимания. Управление внимание учащихся на уроке.
- Понятие о восприятии. Основные свойства и виды восприятия
Общая характеристика восприятия. Взаимосвязь ощущения и восприятия. Восприятие как целостное отражение предметов. Восприятие как сложный перцептивный процесс. Физиологические основы восприятия. Основные свойства восприятия и закономерности перцептивной организации: константность, предметность, осмысленность, структурность, целостность, апперцепция, активность восприятия. Иллюзии восприятия и их объяснение. Виды восприятия: по видам органов чувств (зрительное, слуховое, вкусовое, обонятельное, осязательное); по формам существования материи (восприятие пространства, восприятие времени, восприятие движения). Пространственные свойства предметов: величина, форма предмета, положение в пространстве. Факторы, влияющие на особенности восприятия величины предмета. Особенности восприятии формы предмета. Механизмы бинокулярного зрения. Понятие о конвергенции и дивергенции глаз. Механизмы восприятия движения. Механизмы восприятия времени. Факторы, определяющие особенности восприятии времени. Индивидуальные различия в восприятии и его развитие у детей. Синтетический и аналитический, описательный и объяснительный, объективный и субъективный типы восприятия.
- Понятие о памяти. Виды и процессы памяти и их характеристика
Память как понятие, включающее процессы запечатления, сохранения, воспроизведения, узнавания и забывания информации. Физиологические механизмы памяти. Психологические теории памяти.
Виды памяти и их особенности. Деление памяти по времени сохранения информации на мгновенную, кратковременную, оперативную, долговременную, генетическую. Классификация видов памяти по органам чувств и использованию мнемических средств: образная, словесно-логическая, двигательная, эмоциональная, произвольная и непроизвольная, механическая и логическая, непосредственная и опосредованная. Особенности кратковременной памяти, ее объем, механизмы, связь с сознанием.
Индивидуальные особенности памяти, их количественные и качественные характеристики. Зрительная и эйдетическая память. Характеристика основных процессов памяти. Запоминание как научение, его зависимость от осмысленности, количества повторений, распределения материала во времени, отношения к нему. Виды запоминания. Эффекты запоминания. Эффект «края ряда». Забывание и его виды. Кривая забывания Эббингауза. Факторы, влияющие на процесс забывания. Явление реминисценции. Индивидуальные особенности памяти. Формирование и развитие памяти. Приемы улучшения памяти. Мнемотехника. Управление мнемическими процессами через внимание и эмоции. Мысленные ассоциации и запоминание. Методы исследования памяти. Нарушения памяти.
- Понятие о мышлении. Виды мышления. Основные логические формы мышления и их характеристика
Мышление в структуре познавательной деятельности. Понятие о мышлении как отражении существенных свойств действительности в опосредствованной и обобщенной форме. Основные характеристики мышления. Соотношение мышления и чувственного познания. Взаимосвязь мышления и речи. Логический и психологический аспекты анализа мышления. Теории мышления.
Виды мышления и основания их классификации. Теоретическое и практическое мышление. Словесно-логическое, наглядно-образное, наглядно-действенное мышление. Основные мыслительные операции: анализ, синтез, сравнение, обобщение, конкретизация, абстрагирование. Взаимосвязь анализа и синтеза с другими умственными операциями. Ошибки сравнения. Логические формы мышления. Понятие, общие и единичные понятия. Основные признаки понятий. Суждение. Умозаключение как высшая форма мышления. Ошибки умозаключения. Индукция и дедукция. Развитие мышления.
- Понятие о языке и речи как средстве мышления. Развитие речи. Виды речи и их характеристика
Понятие о языке и речи. Речь как средство общения с помощью языка. Язык как система условных символов, с помощью которых передаются сочетания определенных звуков. Общая характеристика речи и языка их отличия. Функции речи. Речь как средство мышления. Речь как средство общения. Роль речи в становлении познавательных процессов как высших психических функций. Физиологические основы речи. Физиологические системы речи: периферические и центральные. Центры Вернике, Брока. Моторная афазия и сенсорная афазия. Виды речи. Внешняя и внутренняя речь. Устная и письменная речь. Разговорная и диалоговая речь. Монолог. Пассивная и активная речь. Кинетическая речь. Развитие речи у ребенка. Основные этапы формирования речи. Роль взрослого в формировании речи ребенка.
- Понятие о воображении. Виды воображения. Процессы создания образов воображения. Воображение и творчество
Понятие о воображении, его основные отличия от образов восприятия и памяти. Значение воображение в поведении и деятельности человека. Основные функции воображения: активизация наглядно-образного мышления, управление эмоционально-потребностными состояниями, произвольная регуляция познавательных процессов, осознание и реализация внутреннего плана действий, программирование поведения, управление физиологическими состояниями. Конструктивная и защитная функции воображения.
Виды образных явлений, изучаемых в психологии. Виды активного воображения: воссоздающее и творческое. Виды творческой фантазии: конкретная и абстрактная, образная и логическая; их соотношение. Сновидения и грезы как виды воображения. Механизмы переработки представлений в воображаемые образы. Представления об агглютинации, заострении, придаче, аналогии, гиперболизации, типизации как о механизмах создания образов воображения. Методы исследования воображения. Индивидуальные особенности воображения и его развитие.
Общее представление о творчестве. Значение воображения для творчества. Роль воображения в научном, техническом, художественном творчестве. Дивергентное мышление как средство порождения оригинальных творческих идей, допускающее существование нескольких правильных ответов на один вопрос. Конвергентное мышление как средство решения задач, имеющих единственный правильный ответ.
- Понятие о темпераменте и теории темперамента. Психологические свойства темперамента
Темперамент как свойство личности. Определение темперамента по Б.М. Теплову. Эволюция учений о темпераменте. Теории темперамента (гуморальные, конституциональные, динамические). Учение о темпераменте Гиппократа. Типология Э.Кречмера. Концепция типов телосложения и темперамента по У. Шелдону. Исследование проблемы темперамента в трудах И.П. Павлова. Основные свойства темперамента и их проявления. Свойства нервной системы как основа темперамента. Типы ВНД и темперамент. Свойства темперамента. Психологические описания типов, темперамента.
Темперамент и индивидуальный стиль деятельности. Индивидуальный стиль деятельности как результат приспособления врожденных свойств нервной системы человека и других анатомо-функциональных способностей организма к требованиям той или деятельности. Темперамент и личность. Связь темперамента с основными свойствами личности. Темперамент, впечатлительность, эмоциональность, импульсивность и тревожность человека. Темперамент и характер. Темперамент и способности человека. Учет темперамента в обучении и воспитании.
- Понятие о характере. Черты характера. Типология характеров
Общее представление о характере, определение характера. Характер как система наиболее устойчивых черт личности, проявляемых в различных видах деятельности, в общении и взаимодействии человека с окружающими людьми. Место характера в общей структуре личности. Характер и темперамент человека. Характер и воля человека. Мотивация поведения и характер. Характер человека и защитные механизмы. Характер человека и его взаимоотношения с людьми. Типология характеров. Общие основания для построения типологии характера. Система акцентуированных характеров подростков по А.Е Личко. Акцентуированные типы характеров по К.Леонгарду. Формирование и развитие характера. Понятие о сензитивном периоде формирования характера. Роль кризисов возрастного развития и жизненных трудностей в изменении характера человека. Проблема перевоспитания характера.
- Понятие, виды, функции и структура общения
Общение как многоплановый процесс установления и развития контактов между людьми (межличностное общение) и группами (межгрупповое общение), порождаемый потребностями совместной деятельности. Функции общения. Роль общения в формировании личности Структура общения: коммуникация (обмен информацией), интеракция (обмен действиями) и социальная перцепция (восприятие и понимание партнера). Виды общения.
- Понятие развития в философии и психологии. Типы развития. Закономерности психического развития
Понятие развития. Определение психического развития и развитие личности. Типы развития. Механизмы развития личности. Основные закономерности психического развития. Понятие сенситивности. Отклонения в психическом развитии. Общие представления о движущих силах психического развития ребенка. Теории психического развития.
- Понятие возраста и возрастной периодизации в возрастной психологии. Общая характеристика и классификация периодизаций психического развития. Периодизация психического развития личности по Д.Б. Эльконину. Проблема кризисов возрастного развития в возрастной психологии
Понятие возраста. Основные структурные компоненты возраста. Необходимость и значение выделения определенных периодов в психическом развитии ребенка. Типология и общая характеристика периодизаций психического развития. Периодизации когнитивного (умственного) развития (Ж.Пиаже, А.Валлон). Периодизации нравственного (морального) развития личности (Ж.Пиаже, Л.Кольберг, Гиллиган). Периодизации психосоциального развития личности (Э.Эриксон, А.Петровский). Периодизации психосексуального развития (З.Фрейд, А.Фрейд, Ю.М.Орлов).
Проблема периодизации в работах Л.С. Выготского. Проблема периодизации психического развития в работах Д.Б. Эльконина.. Закон чередования типов деятельности. Идеи М.И.Лисиной, Л.И.Божович, Д.И.Фельдштейна, В.В.Давыдова и их учет в характеристиках периодов психического развития. Периодизация психического развития по Д.Б. Эльконину, критерии периодизации: новообразования возраста, социальная ситуация развития, ведущий тип деятельности, возрастные кризисы. Стабильные и критические возраста, значение кризисов в психическом развитии ребенка. Зависимость психического развития от содержания и структуры деятельности ребенка. Понятие сензетивности. Понятие ведущей деятельности (А.Н.Леонтьев, Д.Б.Эльконин). Взаимосвязь обучения, воспитания и развития в онтогенезе.
Чередование стабильных и кризисных периодов развития. Возрастные кризисы как некие временные периоды в развитии человека, при которых наблюдаются резкие психические изменения. Основная характеристика кризисных периодов развития: явные сдвиги в развитии, конфликты со взрослыми, неосознанные переживания, внутренние конфликты и т.д.
Кризис новорожденности. Кризис одного года. Кризис трех лет. Симптомы кризиса трехлетнего возраста: негативизм, упрямство, обесценивание старых правил и норм поведения, привязанностей к тем или иным вещам и игрушкам, строптивость, деспотизм, своеволие. Кризис семи лет. Кризис подросткового возраста (пубертатного). Положительное и негативное содержание кризисов.
- Особенности психического развития ребенка до поступления в школу. Игра и ее роль в психическом развитии ребенка. Проблема готовности детей к обучению в школе
Социальная ситуация психического развития ребенка в дошкольном возрасте. Игра - ведущая деятельность ребенка в дошкольном возрасте. Теории детской игры. Социально-историческое происхождение, структура и функции детской игры. Основные закономерности развития игровой деятельности. Значение игры для психического развития ребенка. Другие виды деятельности дошкольника: изобразительная деятельность, элементарный труд и учение. Их роль в развитии психических процессов и личности ребенка.
Развитие психических процессов у дошкольников. Развитие памяти, восприятия, мышления и речи в дошкольном возрасте. Проблема сенсорного воспитания. Формирование умственных действий и понятий в дошкольном возрасте. Проблема эгоцентрической речи в психологии. Основные психические новообразования, характеризующие границу дошкольного и младшего школьного возраста: воображение, особенности самосознания, соподчинение мотивов, возникновение произвольного поведения. Проблема готовности ребенка к обучению в школе. Психологическая характеристика готовности к школе. Критерии и виды готовности. Методы диагностики готовности к обучению в школе.
- Психологические особенности младшего школьного возраста. Проблема перехода от младшего школьного к подростковому возрасту. Готовность к обучению в средней школе
Социальная ситуация психического развития ребенка в младшем школьном возрасте. Готовность ребенка к обучению в школе. Социальная позиция школьника.
Общие условия развития в младшем школьном возрасте. Учение как ведущая деятельность. Место других видов деятельности в психическом развитии младшего школьника: игра, спорт, коллекционирование, изобразительное искусство, театр, труд и т.п. Социальная жизнь младшего школьника. Особенности общения со сверстниками. Психология отношений внутри и вне классной жизни. Взаимоотношения с учителем.
Особенности познавательных процессов младших школьников и условия их развития. Развитие личности младшего школьника. Проблема психогенной школьной дезадаптации. Виды и характер психологической помощи младшим школьникам. Новообразования младшего школьного возраста. Проблема перехода от младшего школьного к подростковому возрасту. Готовность к обучению в средней школе.
- Психологические особенности подросткового возраста
Анатомо-физиологические и психологические предпосылки перехода к подростковому возрасту. Индивидуальные и половые различия в темпах и характере физического, психологического и социального развития подростков. Взгляды психологов на причины кризиса подросткового возраста. Проблема продолжительности подросткового возраста, критерии его начала и конца. «Чувство взрослости» как показатель основного новообразования подросткового возраста и как форма самосознания. Формы проявления чувства взрослости.
Возникновение нового типа общения со сверстниками как особого типа деятельности. Возникновение интимного круга общения. Роль нового типа общения в формировании самосознания и самооценки. Дружба у подростков. Ориентация на нормы коллективной жизни. Трудности взаимоотношения со взрослыми. Проблема конфликта в подростковом возрасте. Критическое отношение к окружающим.
Учебная деятельность подростков: причины снижения успеваемости. Развитие познавательных процессов: понятийное мышление, творческое воображение, произвольное внимание и память. Особенности потребности в общении, самоутверждении и признании. Психологические проблемы отрочества как пубертатного периода развития. Подростки «группы риска». Акцентуации характера в подростковом возрасте. Основные предпосылки перехода к юношескому возрасту.
- Психологические особенности юношеского возраста
Социальная ситуация развития старшего школьника, "порог взрослой жизни". Половое созревание и юношеская сексуальность, ухаживание и любовь, подготовка к браку и ранние браки как способ самоутверждения во взрослой жизни. Проблема юношеского максимализма.
Новообразования возраста: Я-образ, профессиональное самоопределение мировоззрение, самостоятельность суждений, повышение требований к моральному облику человека, качественные изменения в самосознании, стремление к самовоспитанию. Мотивы и ценностные ориентации в юношеском возрасте. Жизненные цели и психологическое здоровье. Юноши и девушки "группы риска".
- Психологические особенности зрелости и старости
Разные подходы к периодизации зрелости и стрости. Основные критерии зрелости. Неоднородность периода зрелости. Психологические особенности молодости (первой фазы зрелости). Задачи молодого возраста. Кризис молодости (29-33 г). Психологические особенности людей зрелого возраста. Кризисы зрелости, связанные с переосмыслением ценностей и целей жизни, появлением новых мотивов. Подходы к периодизация старческого возраста. Психологические и биологические причины старения и преждевременного старения. Типологии старых людей. Изменения в личностной сфере старого человека. Особенности адаптивной старости. Отношения старых людей к смерти.
Социальная педагогика
- Педагогика как наука. Объект, предмет, функции и задачи, источники. Связь педагогики с другими науками и практикой
Общее представление о педагогике как науке. Объект, предмет и функции педагогической науки. Этапы развития педагогики. Основные категории педагогики (воспитание, образование, обучение, формирование, развитие, педагогический процесс, социализация), их взаимосвязь.
Педагогика в системе наук. Связь педагогики с другими науками. Система педагогических наук. Новые направления в педагогической науке: аксиология, соционика, акмеология, синергетика, валеология, конфликтология.
Cвязь с философией, социологией, этикой, эстетикой, психологией, физиологией человека, этнографией, математикой и другими отраслями знаний. Интерпретация основных идей других наук к предмету исследования. Творческое использование методов других наук. Основные формы взаимодополнения.
- Основные категории педагогики (воспитание, образование, обучение, самовоспитание, самообразование, формирование, развитие, педагогический процесс, социализация) и их взаимосвязь
Определение понятий категориального аппарата педагогики. Философские категории. Общенаучные категории. Частно-научные категории (специфичные для педагогики, как науки). Взаимосвязь основных категорий педагогики.
- Понятие о методологии педагогики. Организация и логика педагогического исследования. Основные методологические подходы к организации педагогического процесса в школе: культурологический, этнопедагогический, системный, структурно-целостный, личностный, деятельностный, антропологический, гуманистический, аксиологический и др.
Понятие о методологии образования, его уровнях. Философский, общенаучный, конкретно-научный и технологический уровни методологии образования. Методологические характеристики психолого-педагогического исследования: уровни научного исследования в образовании – эмпирический и теоретический; принципы научного исследования; субъектность в научной деятельности; виды научных исследований в образовании; методологическая культура исследователя (специфика, критерии методологической культуры учителя и ученого, овладение методологической культурой. Логика психолого-педагогического исследования.
Системный подход (целостность, структурность, иерархичностью; взаимозависимость системы и среды; множественность описаний). Деятельность (цели и планирование деятельности, ее организация и регулирование, контроль, самоанализ и оценке результатов деятельности. Деятельностный подход. Полисубъектный (диалогический) подход. Личностный подход (гуманистическое содержание, общение, личностные отношения, социальные группы). Диалогический подход в единстве с личностным и деятельностным. Культурологический подход как конкретно-научная методология познания и преобразования педагогической реальности. Учение о ценностях и ценностной структуре мира. Человек как часть культуры. Антропологический подход как системное использование данных всех наук о человеке и их учет при построении и осуществлении педагогического процесса. К.Д. Ушинский – основатель антропологического подхода. Этнопедагогический подход.
- Понятие о методах педагогического исследования. Принципы выбора методов научно-педагогического исследования
Организация научно-педагогического исследования. Понятие о методах психолого-педагогического исследования. Разные подходы к классификации методов: теоретические и эмпирические; классификация методов по Б.Г. Ананьеву (организационные, эмпирические, методы обработки результатов исследования, интерпретационные методы). Методы психодиагностики: тесты, опросники. Характеристика основных психолого-педагогических методов.
- Возникновение социальной педагогики как отрасли знания, ее становление и современное состояние
Социальная педагогика как интегративная междисциплинарная область знания, практической деятельности и как учебная дисциплина (возникновение социальной педагогики, современное состояние; объект; задачи и содержание курса). Социальная педагогика как учебный предмет. Принципы социальной педагогики.
- Социализация как социально- педагогическое явление. Сущность социализации, ее факторы и стадии.
Социализация как развитие человека в процессе стихийного, относительно направляемого и социально контролируемого взаимодействия с обществом, а также самоизменения. Человек как объект, субъект и жертва социализации. Возрастные этапы социализации. Факторы социализации и их типология. Средства и агенты социализации.
Механизмы социализации: традиционный, институциональный, стилизованный, межличностный, рефлексивный. Различные подходы к проблеме социализированности человека. Воспитание как социальный институт. Социальный институт как понятие, обозначающее устойчивый комплекс формальных и неформальных правил, принципов, норм и установок, регулирующих жизнедеятельность конкретных групп и организаций, функционирующих в определенной сфере общественной жизни (в данном случае социального воспитания).
Социальное воспитание как продукт исторического развития и относительно целенаправленной деятельности общества и государства.
Традиционность и консервативность социального воспитания – его объективные свойства. Перманентность инновационных процессов, инерционность социального воспитания и сопротивление его субъектов инновациям.
- Мегафакторы социализации (космос, планета, мир), учет глобальных проблем в педагогическом целеполагании. Макрофакторы социализации (страна, этнос, общество,государство). Мезофакторы социализации (регион, СМК, субкультуры, тип поселения); региональные и муниципальные системы воспитания.
Внешние (макро-, мезо- и микросреда природная и социальная, воспитание), внутренние (активность личности), биологические (наследственность, задатки) и социальные факторы (среда, общение, воспитание, деятельность). Движущие силы развития – противоречия, внутренне присущие этому процессу. Внутренние и внешние, общие и индивидуальные противоречия.
Факторы социализации: макрофакторы (космос, планета, мир, страна, общество, государство), которые влияют на социализацию всех жителей планеты или очень больших групп людей, живущих в определенных странах; мезофакторы (мезо - "средний, промежуточный") - условия социализации больших групп людей, выделяемых по национальному признаку (этнос как фактор социализации); по месту и типу поселения, в котором они живут (регион, село, город, поселок); по принадлежности к аудитории тех или иных сетей массовой коммуникации (радио, телевидение, кино и др.); микрофакторы: семья, группа сверстников, микросоциум, организации, в которых осуществляется социальное воспитание, - учебные, профессиональные, общественные и др. Факторы социализации как развивающая среда. Характер развития личности при одинаковых условиях обучения и воспитания и ее зависимость от собственных усилий, работоспособности, природных задатков.
- Понятие о методах воспитания и их классификация
Сущность и классификация методов воспитания. Информационно-доказательный, поисковый, дискуссионный методы. Самоубеждение через убеждения других. Методы воспитания убеждений. Эпизодические (ситуационные) упражнения, приучение, педагогическая организация жизнедеятельности, поручение. Методы воспитания привычного поведения. Личный пример воспитателя, игровой подход к организации деятельности, требование (прямое и косвенное), общественное мнение, поощрение и наказание, сравнение, соревнование, конкуренция, мажор и ситуация риска, доверие. Методы формирования эмоционально-волевой сферы личности. Приемы воспитания. Выбор методов и приемов воспитания.
- Роль обучения и воспитания в развитии личности. Среда и ее роль в формировании и социализации личности
Проблема соотношения обучения и развития. Понятие обучения и воспитания. Взаимосвязь процессов обучения, воспитания и развития. Факторы социализации. Факторы социализации как развивающая среда. Характер развития личности при одинаковых условиях обучения и воспитания и ее зависимость от собственных усилий, работоспособности, природных задатков.
Организация различных форм коллективной деятельности (учебно-познавательной, трудовой, художественно-эстетической и др.) как фактор развития творческого потенциала личности. Роль коллектива как фактор формирования обобщенного положительного опыта, также социально значимых умений и навыков общественного поведения.
- Социальное воспитание в воспитательных организациях.
Социальное воспитание в воспитательной организации как совокупность организации социального опыта ее членов, их образования и оказания им индивидуальной помощи. Организация социального опыта. Организация быта: архитектурно- планировочное решение и предметно- пространственная среда помещения; режим жизни; этикет; традиции повседневной жизни; самообслуживание; одежда.
Организация группового, межгруппового и массового взаимодействия в жизнедеятельности воспитательной организации; содержание и способы обучения взаимодействию. Образование: систематическое обучение, просвещение и стимулирование самообразования в процессе жизнедеятельности воспитательной организации.
Создание локальной воспитательной системы: признаки воспитательной системы, этапы ее развития. Принцип центрации социального воспитания на развитии личности. Принцип диалогичности социального воспитания.
- Микрофакторы социализации (семья и семейное воспитание, соседство и группы сверстников, воспитательные организации, религиозные организации и религиозное воспитание, микросоциум
Семья. Особенности современной семьи, ее социализирующие функции. Домашний очаг. Соседство. Роль соседства в социализации детей, подростков, юношей. Соседство и воспитание. Группы сверстников. Характеристика группы сверстников. Социализирующие функции. Группы сверстников и воспитание. Религиозные организации и религиозное воспитание
Социализирующие функции религиозных организаций. Религиозное воспитание. Воспитательные организации. О понятии «воспитательная организация» Функции воспитательных организаций в процессе социализации. Социальное воспитание. Микросоциум. Понятие «микросоциум и его границы». Характеристика микросоциума. Микросоциум и стихийная социализация. Создание воспитательного пространства в микросоциуме. Принцип коллективности социального воспитания.
- Функции современной семьи и их реализация. Характеристика воспитательной функции семьи
Основные функции семьи. Репродуктивная функция. Социальные функции семьи: хозяйственно-бытовая; экономическая; социальный контроль; духовное общение; социально-статусная; досуговая; эмоциональная. Воспитательная функция семьи – социализация молодого поколения. Социальное воспитание, развитие личности ребенка. Семейное воспитание. Воспитание в семье основных моральных качеств личности, трудолюбия, положительных черт характера.
- Взаимосвязь школы и семьи
Взаимосвязь эффективности работы школы с сотрудничеством с семьей. Принципы взаимного доверия и уважения, взаимной поддержки и помощи, терпения и терпимости по отношению друг к другу. Формы совместной деятельности учащихся, родителей и педагогов. Методический инструментарий: классное собрание, формы познавательной деятельности (общественные смотры знаний, творческие отчеты по предметам, дни открытых уроков, праздник знаний и творчества, турниры знатоков), формы трудовой деятельности (оформление кабинета, трудовой десант по благоустройству и озеленению школьного двора, посадка памятной аллеи в связи со знаменательным событием в жизни детей и их родителей, сбор макулатуры и создание классной библиотеки), формы досуга (совместные праздники, подготовка концертов, спектаклей: просмотр, обсуждение фильмов и спектаклей: соревнования, конкурсы, КВН; домашние клубы выходного дня: родительские школы по интересам).
Демоверсия экзаменационного варианта
МИНИСТЕРСТВО НАУКИ И ВЫСШЕГО ОБРАЗОВАНИЯ
РОССИЙСКОЙ ФЕДЕРАЦИИ
ФЕДЕРАЛЬНОЕ ГОСУДАРСТВЕННОЕ БЮДЖЕТНОЕ
ОБРАЗОВАТЕЛЬНОЕ УЧРЕЖДЕНИЕ ВЫСШЕГО ОБРАЗОВАНИЯ
«УФИМСКИЙ УНИВЕРСИТЕТ НАУКИ И ТЕХНОЛОГИЙ»
СТЕРЛИТАМАКСКИЙ ФИЛИАЛ
ФАКУЛЬТЕТ ПЕДАГОГИКИ И ПСИХОЛОГИИ
|
Вступительный экзамен по направлению |
УТВЕРЖДАЮ |
|
44.04.02 Психолого-педагогическое образование |
Директор СФ УУНиТ |
|
2025-2026 уч. год |
________ И.А. Сыров |
Экзаменационный билет № 1
- Психология как наука. Предмет и объект психологии. Различные подходы к пониманию предмета психологии в истории становления психологического знания. Место психологии в системе наук.
- Социальная педагогика как учебный предмет и отрасль педагогики. Принципы социальной педагогики.
Заведующий кафедрой ППО_______________Р.М. Салимова
СПИСОК ЛИТЕРАТУРЫ
По психологии:
- Баданина Л.П. Основы общей психологии : учебное пособие / Л.П. Баданина. – 3-е изд., стер. – Москва : Флинта, 2017. – 448 с. : табл. – (Библиотека психолога). – Режим доступа: по подписке. – URL: http://biblioclub.ru/index.php?page=book&id=103315. – ISBN 978-5-9765-0705-0. – Текст : электронный.
- Возрастная психология и психология развития = Developmental psychology : учебное пособие : [16+] / Г. В. Гнездилов, А. Б. Курдюмов, Е. А. Кокорева, В. В. Киселев ; отв. ред. В. В. Киселев. – Москва : Библио-Глобус, 2017. – 228 с. : табл., схем. – Режим доступа: по подписке. – URL: https://biblioclub.ru/index.php?page=book&id=498950 (дата обращения: 27.03.2025). – Библиогр. в кн. – ISBN 978-5-9909576-2-6. – DOI 10.18334/9785990957626. – Текст : электронный.
- Ефремова, О. И. Психология развития : учебное пособие для студентов педагогических институтов / О. И. Ефремова, Л. И. Кобышева ; рец. И. В. Челышева, Т. Д. Молодцова, В. С. Шаповалова. – Москва ; Берлин : Директ-Медиа, 2018. – 195 с. : ил., табл. – Режим доступа: по подписке. – URL: https://biblioclub.ru/index.php?page=book&id=486377 – Библиогр.: с. 186-189. – ISBN 978-5-4475-9662-0. – DOI 10.23681/486377. – Текст : электронный.
- Немов, Р. С. Психология : учебник : в 3 книгах : [16+] / Р. С. Немов. – Москва : Владос, 2023. – Книга 1. Общие основы психологии. – 689 с. : табл., схем. – Режим доступа: по подписке. – URL: https://biblioclub.ru/index.php?page=book&id=701700 – ISBN 978-5-907482-19-7 (Kн. 1). – ISBN 978-5-907433-98-4. – Текст : электронный.
- Нуркова, В. В. Общая психология [Электронный ресурс] : учебник для вузов / В. В. Нуркова, Н. Б. Березанская .— Изд. 3-е, перераб. и доп. — Москва : Юрайт, 2019 .— 524 с. — (Бакалавр и магистр. Академический курс) .ISBN 978-5-534-02583-5 .— <URL:https://biblio-online.ru/viewer/ obschaya-psihologiya-431073.
- Общая психология : введение в общую психологию, психология познавательных процессов : учебное пособие : [16+] / Д. А. Донцов, М. В. Донцова, Б. Н. Рыжов, Л. В. Сенкевич ; под общ. науч. ред. Б. Н. Рыжова, Д. А. Донцова ; отв. ред. Д. А. Донцов. – 2-е изд., перераб. и доп. – Москва : ФЛИНТА, 2021. – 400 с. : ил., табл. – Режим доступа: по подписке. – URL: https://biblioclub.ru/index.php?page=book&id=611384 (дата обращения: 08.10.2024). – Библиогр. в кн. – ISBN 978-5-9765-4648-6. – Текст : электронный.
- Пирлик, Г. П. Возрастная психология : развитие ребенка в деятельности : учебное пособие: [16+] / Г. П. Пирлик, А. М. Федосеева ; Московский педагогический государственный университет. – Москва : Московский педагогический государственный университет (МПГУ), 2022. – 384 с. : ил., табл. – Режим доступа: по подписке. – URL: https://biblioclub.ru/ index.php?page=book&id=701381 – Библиогр. в кн. – ISBN 978-5-4263-1091-9. – Текст : электронный.-238-01746-4. – Текст : электронный.
- Фрондзей С.Н. Общая психология : учебное пособие : [16+] / С.Н. Фрондзей ; Южный федеральный университет. – Ростов-на-Дону ; Таганрог : Южный федеральный университет, 2019. – 103 с. : ил. – Режим доступа: по подписке. – URL: http://biblioclub.ru/index.php? page=book&id=598552. – Библиогр. в кн. – ISBN 978-5-9275-3288-9. – Текст : электронный.
По социальной педагогике:
- Арон, И. С. Педагогика : учебное пособие : [16+] / И. С. Арон ; Поволжский государственный технологический университет. – Йошкар-Ола : Поволжский государственный технологический университет, 2018. – 144 с. : табл., схем. – Режим доступа: по подписке. – URL: https://biblioclub.ru/index.php?page=book&id=496200. – Библиогр. в кн. – ISBN 978-5-8158-2015-9. – Текст : электронный.
- Бабина, Н.Ф. Технология: методика обучения и воспитания : учебное пособие : в 2-х ч. / Н.Ф. Бабина. - Москва ; Берлин : Директ-Медиа, 2015. - Ч. 2. - 328 с. : ил. - Библиогр.: с. 199-212. - ISBN 978-5-4475-3764-7 ; То же [Электронный ресурс]. - URL: http://biblioclub.ru/index.php?page=book&id=276261
- Богачкина, Н. А. Социальная педагогика: шпаргалка : учебное пособие : [16+] / Н. А. Богачкина ; Научная книга. – 2-е изд. – Саратов : Научная книга, 2020. – 48 с. : табл. – Режим доступа: по подписке. – URL: https://biblioclub.ru/index.php?page=book&id=578384 (дата обращения: 27.03.2025). – ISBN 978-5-9758-1991-8. – Текст : электронный.
- Мардахаев, Л. В. Социальная педагогика : введение в специальность : учебник : [12+] / Л. В. Мардахаев. – Москва : Директ-Медиа, 2023. – 192 с. : ил., схем., табл. – Режим доступа: по подписке. – URL: https://biblioclub.ru/index.php?page=book&id=700096 (дата обращения: 27.03.2025). – Библиогр. в кн. – ISBN 978-5-4499-3663-9. – DOI 10.23681/700096. – Текст : электронный.
- Мардахаев, Л. В. Социальная педагогика: теоретико-методологические основы : учебник для аспирантов, магистрантов и студентов : учебник : [16+] / Л. В. Мардахаев. – 2-е изд., перераб. и доп. – Москва : Директ-Медиа, 2023. – 268 с. : ил., табл. – Режим доступа: по подписке. – URL: https://biblioclub.ru/index.php?page=book&id=701390 – Библиогр. в кн. – ISBN 978-5-4499-3704-9. – DOI 10.23681/701390. – Текст : электронный.
- Социальная педагогика: учебник / И. А. Липский, Л. Е. Сикорская, О. Г. Прохорова [и др.] ; под ред. И. А. Липского, Л. Е. Сикорской. – 5-е изд., стер. – Москва : Дашков и К°, 2024. – 278 с. – (Учебные издания для бакалавров). – Режим доступа: по подписке. – URL: https://biblioclub.ru/index.php?page=book&id=710177 (дата обращения: 27.03.2025). – Библиогр. в кн. – ISBN 978-5-394-05527-0. – Текст : электронный.
Программное обеспечение и Интернет-ресурсы
- «Университетская библиотека onlin»:www.biblioclub.ru
- «Библиотеки России http://biblio.ru
- Государственная научная педагогическая библиотека имени К.Д. Ушинского http: //www.gnpbu.ru
- Мир психологии (http://psychology.net.ru/)
- Московский психологический журнал (http://www.mospsy.ru) - проект сетевого издания. Актуальные статьи по всем направлениям психологической науки.
- Педагогическая библиотека http://www.pedlib.ru/Books
- Портал ВСЕОБУЧ - все об образовании http://www.edu-all.ru
- ПСИХЕЯ (http://www.psycheya.ru)
- Психологический словарь (http://psi.webzone.ru/index.htm) - электронная интернет-версия изданного на CD психологического справочника «Психология – идея, ученые, труды» в серии «Мультимедийная энциклопедия знаний» Центрального регионального отделения РАО. Психологический словарь содержит более 1500 статей из области психологии.
- Российская государственная библиотека http://www.rsl.ru
- Российский общеобразовательный портал http://www.school.edu.ru
- Федеральный портал «Российское образование» http://www.edu.ru
- Электронно-библиотечная система издательства «Лань»: http://e.lanbook.com
Общая физика
ПРОГРАММА
вступительных испытаний
для поступающих по направлениям подготовки магистратуры
03.04.02 «Физика»,
44.04.01 «Педагогическое образование»
программы (профили):
«Медицинская физика»,
«Физические процессы горного и нефтегазового производства»
«Физика и информатика»
ОБЩИЕ ПОЛОЖЕНИЯ
Вступительные испытания предназначены для определения практической и теоретической подготовленности поступающего в магистратуру и проводятся с целью определения соответствия знаний умений и навыков требованиям обучения магистратуры по направлениям подготовки 03.04.02 «Физика» (магистратура), 44.04.01 «Педагогическое образование» (магистратура). Программа составлена в соответствии с требованиями федерального государственного образовательного стандарта высшего профессионального образования.
Вступительные испытания в магистратуру проводят экзаменационные комиссии, назначенные председателем приёмной комиссии УУНиТ.
ПРОЦЕДУРА ВСТУПИТЕЛЬНОГО ИСПЫТАНИЯ
Дата и время проведения вступительного испытания и консультации определяются расписанием вступительных испытаний, которое утверждается председателем приемной комиссии.
Перед вступительным испытанием для поступающих проводится консультация по содержанию программы испытания, критериям оценки, предъявляемым требованиям, правилам поведения на испытании.
Форма вступительного испытания (в соответствии Положением о вступительных испытаниях УУНИТ): устно-письменная.
Вступительные испытания в виде устно-письменного экзамена проводятся в соответствии с программами вступительных испытаний, утверждаемых председателем приемной комиссии.
Экзаменационные билеты включают два или три вопроса по направлению подготовки (по специальности).
В аудитории, где проводится вступительное испытание в устно-письменной форме, не может находиться одновременно более 6 человек. Нахождение в аудитории посторонних лиц не допускается.
Абитуриенту предоставляется право готовиться к ответу в течение 30 минут.
Абитуриенту предоставляется право ответа на экзаменационные вопросы в течение 20-25 минут.
В процессе сдачи вступительного испытания абитуриенту могут быть заданы дополнительные вопросы как по содержанию экзаменационного билета, так и по любым разделам предмета в пределах программы вступительного испытания.
Абитуриент, не согласный с оценкой, полученной на ВИ и (или) в связи с нарушением процедуры проведения ВИ имеет право подать апелляцию. Процедура подачи и рассмотрения апелляции регламентируется Положением об апелляционной комиссии УУНиТ.
КРИТЕРИИ ОЦЕНИВАНИЯ ОТВЕТА
Критериями оценки экзаменационного ответа, поступающего в магистратуру являются полнота, логичность, доказательность, прочность, осознанность знаний и теоретическая обоснованность суждений, самостоятельность в интерпретации информации, практическая направленность, уровень овладения профессиональными умениями менеджера и др. В случае тестирования является правильные ответы на тестовые задания.
Результаты вступительного испытания определяются по 100-балльной шкале, разброс баллов представлен ниже в таблице:
|
№ |
Критерии оценивания |
Оценка |
|
1 |
Дан полный развернутый ответ на теоретический вопрос:
|
85-100 баллов «отлично» |
|
2 |
Дан в целом правильный ответ на теоретический вопрос:
|
67-84 балла «хорошо» |
|
3 |
Дан в основном правильный ответ на теоретический вопрос:
|
50-66 баллов «удовлетворительно» |
|
4 |
|
0-49 баллов «неудовлетворительно» |
СОДЕРЖАНИЕ РАЗДЕЛОВ И ТЕМ ПРОГРАММЫ
ВСТУПИТЕЛЬНОГО ИСПЫТАНИЯ
МЕХАНИКА
1. Кинематика точки. Описание движения векторным способом. Описание движения в декартовых координатах. Прямая и обратная задачи кинематики.
2. Законы Ньютона. Инерциальные системы отсчета. Первый закон Ньютона. Принцип относительности. Третий закон Ньютона. Принцип наложения. Второй закон Ньютона. Численный алгоритм решения основной задачи механики. Принцип детерминизма.
3. Импульс системы материальных точек. Теорема об изменении импульса частицы. Импульс силы. Закон сохранения импульса. Уравнение движения центра масс системы частиц. Уравнение движения материальной точки с переменной массой (уравнение Мещерского).
4. Работа и энергия. Работа и мощность силы. Потенциальная энергия частицы в поле консервативных сил. Расчет силового поля по известной потенциальной энергии частицы. Потенциальная энергия частицы в гравитационном поле точечного тела. Кинетическая энергия частицы. Полная механическая энергия частицы. Кинетическая энергия системы частиц.
5. Момент импульса системы материальных точек. Уравнение моментов относительно движущегося начала. Уравнения моментов относительно неподвижного начала координат и относительно неподвижной оси. Закон сохранения момента импульса. Проблема двух тел.
6. Вращение твердого тела вокруг неподвижной оси. Уравнение вращения твердого тела вокруг неподвижной оси. Теорема об изменении кинетической энергии вращающегося твердого тела. Теорема Гюйгенса-Штейнера. Физический маятник. Вычисление моментов инерции тел простой формы.
7. Основы гидро- и аэростатики. Законы Паскаля и Архимеда. Динамика стационарного течения жидкости. Уравнение Бернулли. Вязкость жидкости. Формула Пуазейля. Число Рейнольдса.
МОЛЕКУЛЯРНАЯ ФИЗИКА
1. Идеальный газ. Уравнение состояния. Газовые законы. Коэффициенты теплового расширения, термический коэффициент давления, модуль всестороннего сжатия и их связь для произвольного уравнения состояния.
2. Реальные газы. Силы Ван-дер-Ваальса. Потенциал взаимодействия молекул.
3. Основные положения молекулярно-кинетической теории. Давление и температура с точки зрения МКТ. Теорема о равнораспределении кинетической энергии по степеням свободы.
4. Распределение Максвелла. Распределение молекул по абсолютным скоростям.
5. Фазы. Фазовые превращения первого рода. Уравнение Клапейрона-Клаузиуса. Фазовые превращения второго рода. Соотношения Эренфеста.
6. Первое начало термодинамики. Уравнение теплового баланса. Теплоемкость. Уравнение Роберта Майера.
7. Второе начало термодинамики. Цикл Карно. Неравенство и равенство Клаузиуса. Энтропия.
8. Вязкость газов и жидкостей. Скорость течения в трубе. Формула Пуазейля. Число Рейнольдса.
9. Статистический характер второго начала термодинамики. Энтропия и вероятность, формула Больцмана. Энтропия и беспорядок. «Демон» Максвелла.
10. Свойства жидкостей. Поверхностное натяжение. Уравнение Лапласа. Капиллярность.
11. Кристаллическое состояние вещества. Элементарная ячейка. Элементы симметрии кристаллов. Классификация кристаллов по их симметрии.
ЭЛЕКТРИЧЕСТВО И МАГНЕТИЗМ
1. Виды взаимодействий в природе. Электрический заряд и его свойства. Закон Кулона. Электрическое поле. Принцип суперпозиции. Поле совокупности зарядов.
2. Потенциал и разность потенциалов. Эквипотенциальные поверхности. Связь напряженности поля и его потенциала. Электрический диполь. Потенциал и поле точечного диполя.
3. Явление электромагнитной индукции. Закон Фарадея. Правило Ленца. Вихревое электрическое поле. Проявления электромагнитной индукции: вихревые токи, скин-эффект.
4. Цепи гармонического тока Закон Ома в комплексной форме. Векторные диаграммы элементов цепи гармонического тока. Действующие значения гармонических величин.
5. Свободные колебания в контуре с потерями. Характеристики затухающих колебаний.
6. Система уравнений Максвелла. Случай стационарных полей. Энергия, переносимая ЭМ волной. Скорость распространения ЭМ волн и методы ее измерения. Плоские монохроматические волны и возможность их экспериментального получения.
ОПТИКА
1. Интерференция волн. Способы получения когерентных волн делением волнового фронта (примеры) и делением амплитуды (полосы равного наклона, полосы равной толщины, кольца Ньютона).
2. Принцип Гюйгенса – Френеля. Метод зон Френеля. Дифракция Френеля от круглого отверстия и от круглого диска.
3. Метод графического сложения амплитуд. Дифракция Френеля на краю полуплоскости. Спираль Корню.
4. Дифракция Фраунгофера от щели. Дифракция света от двух щелей. Дифракционная решетка. Дифракция рентгеновских лучей на кристаллической решетке.
5. Нормальная и аномальная дисперсия. Основы электронной теории дисперсии.
6. Поляризация света. Закон Малюса. Закон Брюстера. Интерференция поляризованных лучей.
7. Двойное лучепреломление. Искусственное двойное лучепреломление. Вращение плоскости поляризации. Объяснение вращения плоскости поляризации по Френелю.
8. Рассеяние света. Рассеяние света в мутных средах. Молекулярное рассеяние света в газах.
9. Излучательная и поглощательная способности тел. Законы теплового излучения (Кирхгофа, Стефана-Больцмана, Вина). Формулы Рэлея-Джинса и Планка.
10. Виды фотоэффекта. Законы фотоэффекта. Уравнение Эйнштейна для внешнего фотоэффекта. Применение фотоэффекта.
ФИЗИКА АТОМОВ И АТОМНЫХ ЯВЛЕНИЙ
1. Волновые свойства частиц. Волны де Бройля. Экспериментальные подтверждения волновых свойств частиц.
2. Дискретность атомных состояний. Опыт Франка и Герца.
3. Боровская теория атома водорода. Спектр излучения атома водорода. Обобщенная формула Бальмера.
4. Частица в прямоугольной потенциальной яме. Собственные функции и собственные значения энергии.
5. Уравнение Шредингера для стационарных состояний. Водородоподобный атом в свете квантовой теории. Физический смысл квантовых чисел электрона. Схема уровней энергии.
6. Дублетная структура спектров атомов щелочных металлов. Спин электрона. Спин-орбитальное взаимодействие.
7. Опыты Штерна и Герлаха. Спин электрона. Понятие о пространственном квантовании.
8. Полный механический и магнитный моменты атома. Фактор Ланде. Типы связей электронов в атомах. Термы атомов.
9. Магнитомеханические эффекты. Опыт Эйнштейна и де Хааса.
10. Эффект Зеемана. Эффект Пашена-Бака.
11. Электронные конфигурации и идеальная схема заполнения оболочек. Принцип Паули. Периодическая система Менделеева.
12. Рентгеновские спектры. Закон Мозли.
ФИЗИКА АТОМНОГО ЯДРА И ЧАСТИЦ
1. N-Z диаграмма атомных ядер. Масса и энергия связи ядра. Спин ядра.
2. Свойства нуклон-нуклонного взаимодействия. Дейтрон. Изоспин.
3. Модели атомных ядер: капельная, оболочечная.
4. Закон радиоактивного распада. Альфа- распад. Бета-распад.
5. Ядерные реакции. Классификация. Законы сохранения в ядерных реакциях. Механизмы ядерных реакций.
6. Размеры и структура ядер. Структура нуклона.
7. Энергия реакции. Сечение. Порог реакции.
8. Лептоны. Лептонные числа. Кванты слабого взаимодействия.
9. Кварки. Кварковая структура адронов. Барионы. Мезоны.
10. Пространственная инверсия. Р-четность. Поляризация. Спиральность.
11. Глюоны. Цвет.
Демоверсия экзаменационного варианта
- НАУКИ И ВЫСШЕГО ОБРАЗОВАНИЯ
- ФЕДЕРАЦИИ
- ГОСУДАРСТВЕННОЕ БЮДЖЕТНОЕ
- УЧРЕЖДЕНИЕ ВЫСШЕГО ОБРАЗОВАНИЯ
- УНИВЕРСИТЕТ НАУКИ И ТЕХНОЛОГИЙ»
- ФИЛИАЛ
- ФАКУЛЬТЕТ
|
Вступительный экзамен по направлениям: 03.04.02 Физика, 44.04.01 Педагогическое образование, программа «Физика и информатика», 2025-2026 уч. год |
УТВЕРЖДАЮ Директор СФ УУНиТ
___________ И.А.Сыров
|
Экзаменационный билет № 1
1. Импульс системы материальных точек. Закон сохранения импульса.
2. Уравнение Клапейрона-Клаузиуса. Фазовые превращения первого рода.
Зав. кафедрой ___________________
СПИСОК ЛИТЕРАТУРЫ
основная литература:
- Годжаев Н.М. Оптика: современные подходы и эксперименты. — М.: Высшая школа, 2022.
- Иродов И.Е. Физика макросистем: основные законы (3-е изд.). — М.: Бином, 2023.
- Калашников С.Г. Электричество и магнетизм: от классики до нанотехнологий. — М.: Наука, 2024.
- Кикоин А.К., Кикоин И.К. Молекулярная физика (переработанное издание). — СПб.: Лань, 2022.
- Лансберг Г.С. Оптика: теория и практика (4-е изд.). — М.: Физматлит, 2021.
- Матвеев А.Н. Механика и теория относительности (2-е изд.). — СПб.: Лань, 2023.
- Матвеев А.Н. Молекулярная физика: задачи и решения. — М.: Бином, 2021.
- Матвеев А.Н. Электричество и магнетизм в современной физике. — СПб.: Лань, 2024.
- Матвеев А.Н. Оптика и квантовые технологии. — М.: Высшая школа, 2023.
- Матвеев А.Н. Атомная физика: от основ до наноприменений. — М.: Оникс, 2024.
- Мухин К.Н. Экспериментальная ядерная физика (2-е изд.). — СПб.: Лань, 2023.
- Савельев И.В. Курс общей физики. Том 1 (обновленное издание). — СПб.: Лань, 2024.
- Савельев И.В. Курс общей физики. Том 3: Электродинамика и волны. — СПб.: Лань, 2022.
- Сивухин Д.В. Общий курс физики. Том 1: Механика (переиздание). — М.: Физматлит, 2021.
- Сивухин Д.В. Общий курс физики. Том 2: Термодинамика (переиздание). — М.: Физматлит, 2020.
- Сивухин Д.В. Общий курс физики. Том 3: Электричество (переиздание). — М.: Физматлит, 2021.
- Сивухин Д.В. Общий курс физики. Том 5: Атомная физика (переиздание). — М.: Физматлит, 2022.
- Сивухин Д.В. Оптика: теория и эксперимент (переиздание). — М.: Физматлит, 2023.
- Стрелков С.П. Механика: задачи и методы (3-е изд.). — СПб.: Лань, 2022.
- Хайкин С.Э. Физические основы механики (переработанное издание). — СПб.: Лань, 2021.
- Шпольский Э.В. Атомная физика (переиздание с дополнениями). — СПб.: Лань, 2022.
- Широков Ю.М., Юдин Ю.А. Современная ядерная физика. — М.: Наука, 2023.
дополнительная литература:
- David J. Griffiths Introduction to Electrodynamics (5th ed., перевод на русский). — М.: Мир, 2021.
- R. Shankar Fundamentals of Physics: Mechanics, Relativity, and Thermodynamics (перевод). — СПб.: Лань, 2023.
- Walter Lewin Классическая механика: лекции для XXI века (перевод с англ.). — М.: Бином, 2022.
- Сергеев В.С., Иванов А.А. Квантовая механика и физика элементарных частиц. — М.: Физматлит, 2024.
- Фейнман Р. Современные лекции по физике (адаптированное издание). — М.: Наука, 2021.
Управление архитектурой цифрового предприятия
ПРОГРАММА
вступительного испытания
для поступающих в магистратуру по направлению подготовки
38.04.05 «Бизнес-информатика»
программа (профиль)
«Управление архитектурой цифрового предприятия»
ОБЩИЕ ПОЛОЖЕНИЯ
Вступительные испытания предназначены для определения практической и теоретической подготовленности поступающего в магистратуру и проводятся с целью определения соответствия знаний умений и навыков требованиям обучения магистратуры по направлению подготовки 38.04.05 «Бизнес-информатика» (магистратура). Программа составлена в соответствии с требованиями федерального государственного образовательного стандарта высшего профессионального образования.
Вступительные испытания в магистратуру проводят экзаменационные комиссии, назначенные председателем приёмной комиссии УУНиТ.
ПРОЦЕДУРА ВСТУПИТЕЛЬНОГО ИСПЫТАНИЯ
Дата и время проведения вступительного испытания и консультации определяются расписанием вступительных испытаний, которое утверждается председателем приемной комиссии.
Перед вступительным испытанием для поступающих проводится консультация по содержанию программы испытания, критериям оценки, предъявляемым требованиям, правилам поведения на испытании.
Форма вступительного испытания (в соответствии Положением о вступительных испытаниях УУНИТ): тестирование.
Вступительные испытания в виде электронного тестирования проводятся в соответствии с программами вступительных испытаний, утверждаемых председателем предметной комиссии.
Вступительные испытания в форме тестирования включают вопросы как закрытого, так и открытого типа, а также задания в аудио- и видеоформатах.
Составление вариантов экзаменационных заданий в форме электронных тестов осуществляется ответственным секретарем приемной комиссии университета.
Из вариантов экзаменационных заданий формируются комплекты вопросов-тестов.
Компоновку комплектов вопросов-тестов ответственный секретарь, заместитель ответственного секретаря производят до вступительных испытаний.
Тест содержит 40 тестовых вопросов.
Результаты испытаний оцениваются по 100 бальной шкале.
Абитуриент, не согласный с оценкой, полученной на ВИ и (или) в связи с нарушением процедуры проведения ВИ имеет право подать апелляцию. Процедура подачи и рассмотрения апелляции регламентируется Положением об апелляционной комиссии УУНиТ.
КРИТЕРИИ ОЦЕНИВАНИЯ ОТВЕТА
Критериями оценки экзаменационного ответа, поступающего в магистратуру являются полнота, логичность, доказательность, прочность, осознанность знаний и теоретическая обоснованность суждений, самостоятельность в интерпретации информации, практическая направленность, уровень овладения профессиональными умениями менеджера и др. В случае тестирования является правильные ответы на тестовые задания.
При проверке количество первичных баллов переводится в итоговую 100 балльную шкалу через информационную платформу университета.
СОДЕРЖАНИЕ РАЗДЕЛОВ И ТЕМ ПРОГРАММЫ ВСТУПИТЕЛЬНОГО ИСПЫТАНИЯ
Технологии управления данными
- Управление данными. БД и СУБД. Методы и подходы формирования моделей данных на основе анализа предметной области.
- Методы и подходы проектирования концептуальных моделей баз данных
- Методы и принципы управления доступом к объектам базы данных. Элементы языка SQL (PostgreSQL). Принципы работы современных СУБД (MS SQLServer, My SQL, PostgreSQL, Oracle), способы создания и использования баз данных.
Архитектура предприятия
- Архитектура предприятия в различных аспектах.
- Классические методологии построения архитектуры предприятия.
- Технологическая архитектура, стандарты и шаблоны.
- Моделирование и разработка АП, управление и контроль, Gap-анализ, внедрение.
Управление жизненным циклом ИС
- Жизненный цикл проекта ИС. Методологические основы проектирования ИС.
- Технологии проектирования ИС. Принципы организации информационного обеспечения ИС.
- Структурный и объектно- ориентированный подходы к моделированию бизнес- процессов.
- CASE-технологии проектирования автоматизированных информационных систем. Инструментальные средства проектирования информационных систем.
- Проектирование корпоративных информационных систем на базе готовых решений. Методология и инструментальные средства поддержки проектирования открытых и распределенных систем.
Демоверсия экзаменационного варианта
1. Что такое реляционная база данных?
A) База данных, основанная на иерархической модели
B) База данных, использующая таблицы для хранения данных
C) База данных, основанная на графовой модели
D) База данных, использующая XML для хранения данных
2. Какой язык используется для управления реляционными базами данных?
A) HTML
B) SQL
C) JavaScript
D) Python
3. Что такое первичный ключ в таблице базы данных?
A) Поле, которое может содержать дубликаты
B) Поле, которое уникально идентифицирует каждую запись в таблице
C) Поле, которое не может быть пустым
D) Поле, которое используется для связи с другой таблицей
4. Какой из следующих операторов SQL используется для извлечения данных из базы данных?
A) INSERT
B) UPDATE
C) SELECT
D) DELETE
5. Что такое нормализация базы данных?
A) Процесс увеличения объема базы данных
B) Процесс упрощения структуры базы данных для уменьшения избыточности
C) Процесс резервного копирования базы данных
D) Процесс создания индексов для ускорения запросов
6. Что такое «триггер» в базе данных?
A) Запрос на изменение структуры таблицы
B) Автоматически выполняемая процедура при определенных условиях в базе данных
C) Индекс для ускорения поиска записей
D) Запись о пользователе базы данных
7. Что такое индекс в контексте баз данных?
A) Список всех записей в базе данных
B) Структура, которая ускоряет поиск и сортировку записей в таблице
C) Запись о пользователе базы данных
D) Запрос на изменение структуры таблицы
СПИСОК ЛИТЕРАТУРЫ
- Мартынов, В. В. Базы данных [Электронный ресурс]: [учебное пособие для студ., обуч. по напр. 38.04.05] / В. В. Мартынов, Е. Н. Прошин, А. К. Скуратов; ФГБОУ ВПО Уфимский государственный авиационный технический университет. Уфа: УГАТУ, 2016. ISBN 978-5-4221-0851-0. http://e-library.ufa-rb.ru/dl/lib_net_r/Martynov_Bazy_dannykh_2016.pdf
- Мартынов, В. В. Проектирование баз данных [Электронный ресурс]: [лабораторный практикум для студ. очной и заочной форм обучения, обуч. по напр. 38.03.05, 09.03.03 и 27.03.05] / В. В. Мартынов, Е. Н. Прошин; ФГБОУ ВПО Уфимский государственный авиационный технический университет. Уфа: УГАТУ, 2016. ISBN 978-5-4221-0852-7 http://e-library.ufa-rb.ru/dl/lib_net_r/Martynov_Lab_prak_Proek_baz_dannykh_2016.pdf
- Мартишин, С. А. Базы данных. Практическое применение СУБД SQL и NoSQL-типа для проектирования информационных систем: учебное пособие / С.А. Мартишин, В.Л. Симонов, М.В. Храпченко. – Москва: ФОРУМ : ИНФРА-М, 2024. — 368 с. — (Высшее образование). - ISBN 978-5-8199-0946-1. – Текст: электронный. – URL: https://znanium.ru/catalog/product/2096940 (дата обращения: 26.03.2025). – Режим доступа: по подписке.
- Управление данными: лабораторный практикум / А. С. Сазонова, Л. Б. Филиппова, Р. А. Филиппов [и др.]. - Москва: Директ-Медиа, 2022. – 60 с. – ISBN 978-5-4499-3160-3. – Текст: электронный. – URL: https://znanium.ru/catalog/product/2141791 (дата обращения: 26.03.2025). – Режим доступа: по подписке.
- Жердев, А. А. Управление данными : методические указания / А. А. Жердев. - Москва : Изд. Дом НИТУ «МИСиС», 2018. – 24 с. – Текст: электронный. - URL: https://znanium.com/catalog/product/1232240 (дата обращения: 26.03.2025). – Режим доступа: по подписке.
- Аншина, М. Л. Управление жизненным циклом информационных систем : учебное пособие / М. Л. Аншина. – Москва: РТУ МИРЭА, 2024. – 169 с. – ISBN 978-5-7339-2318-5. – Текст : электронный // Лань : электронно-библиотечная система. – URL: https://e.lanbook.com/book/448937. – Режим доступа: для авториз. пользователей.
- Управление жизненным циклом информационных систем [Электронный ресурс]: [учебное пособие для студентов очной и заочной форм обучения, обучающихся по направлениям подготовки бакалавров 38.03.05 «Бизнес-информатика», 09.03.03 «Прикладная информатика» и магистров 38.04.05 «Бизнес-информатика», 09.04.03 «Прикладная информатика»] / В. В. Мартынов [и др.]; ФГБОУ ВПО Уфимский государственный авиационный технический университет. – Уфа : УГАТУ, 2016 . – ISBN 978-5-4221-0847-. – URL:https://librarysearch.ugatu.su/fulltxt-local/Uprav_zhiznen_tsiklom_infor_sistem_2016.pdf
- Балдин, К. В. Информационные системы в экономике: учебное пособие / К.В. Балдин. – Москва: ИНФРА-М, 2023. – 218 с. – (Высшее образование: Бакалавриат). – ISBN 978-5-16-005009-6. - Текст: электронный. – URL: https://znanium.com/catalog/product/1939090 . – Режим доступа: для авториз. пользователей.
- Проектирование информационных систем [Электронный ресурс: учебное пособие / В. В. Мартынов, Н. О. Никулина, Е. И. Филосова; УГАТУ. – Уфа: УГАТУ, 2008. – URL:https://librarysearch.ugatu.su/fulltxt-local/Proek_inform_sistem_Martynov_2008.pdf.
- Мартынов, В. В. Базы данных [Электронный ресурс]: [учебное пособие для студ., обуч. по напр. 38.04.05] / В. В. Мартынов, Е. Н. Прошин, А. К. Скуратов ; ФГБОУ ВПО Уфимский государственный авиационный технический университет. Уфа: УГАТУ, 2016. ISBN 978-5-4221-0851-0. http://e-library.ufa-rb.ru/dl/lib_net_r/Martynov_Bazy_dannykh_2016.pdf
- Мартынов, В. В. Проектирование баз данных [Электронный ресурс]: [лабораторный практикум для студ. очной и заочной форм обучения, обуч. по напр. 38.03.05, 09.03.03 и 27.03.05] / В. В. Мартынов, Е. Н. Прошин; ФГБОУ ВПО Уфимский государственный авиационный технический университет. Уфа: УГАТУ, 2016. ISBN 978-5-4221-0852-7 http://e-library.ufa-rb.ru/dl/lib_net_r/Martynov_Lab_prak_Proek_baz_dannykh_2016.pdf
- Мартишин, С. А. Базы данных. Практическое применение СУБД SQL и NoSQL-типа для проектирования информационных систем: учебное пособие / С.А. Мартишин, В.Л. Симонов, М.В. Храпченко. – Москва: ФОРУМ: ИНФРА-М, 2024. – 368 с. – (Высшее образование). – ISBN 978-5-8199-0946-1. – Текст: электронный. – URL: https://znanium.ru/catalog/product/2096940 (дата обращения: 26.03.2025). – Режим доступа: по подписке.
- Управление данными: лабораторный практикум / А. С. Сазонова, Л. Б. Филиппова, Р. А. Филиппов [и др.]. – Москва: Директ-Медиа, 2022. – 60 с. – ISBN 978-5-4499-3160-3. – Текст: электронный. – URL: https://znanium.ru/catalog/product/2141791 (дата обращения: 26.03.2025). – Режим доступа: по подписке.
- Жердев, А. А. Управление данными: методические указания / А. А. Жердев. – Москва: Изд. Дом НИТУ «МИСиС», 2018. – 24 с. – Текст: электронный. – URL: https://znanium.com/catalog/product/1232240 (дата обращения: 26.03.2025). – Режим доступа: по подписке.
Прикладная математика и физика
ПРОГРАММА
вступительного испытания
для поступающих в магистратуру по направлению подготовки
03.04.01 «Прикладные математика и физика»
программа (профиль)
«Цифровые модели нефтегазовых месторождений»
ОБЩИЕ ПОЛОЖЕНИЯ
Вступительные испытания предназначены для определения практической и теоретической подготовленности поступающего в магистратуру и проводятся с целью определения соответствия знаний умений и навыков требованиям обучения магистратуры по направлению подготовки 03.04.01 «Прикладные математика и физика (магистратура). Программа составлена в соответствии с требованиями федерального государственного образовательного стандарта высшего профессионального образования.
Вступительные испытания в магистратуру проводят экзаменационные комиссии, назначенные председателем приёмной комиссии УУНиТ.
ПРОЦЕДУРА ВСТУПИТЕЛЬНОГО ИСПЫТАНИЯ
Дата и время проведения вступительного испытания и консультации определяются расписанием вступительных испытаний, которое утверждается председателем приемной комиссии.
Перед вступительным испытанием для поступающих проводится консультация по содержанию программы испытания, критериям оценки, предъявляемым требованиям, правилам поведения на испытании.
Форма вступительного испытания (в соответствии Положением о вступительных испытаниях УУНИТ): тестирование.
Вступительные испытания в виде электронного тестирования проводятся в соответствии с программами вступительных испытаний, утверждаемых председателем предметной комиссии.
Вступительные испытания в форме тестирования включают вопросы как закрытого, так и открытого типа, а также задания в аудио- и видеоформатах.
Составление вариантов экзаменационных заданий в форме электронных тестов осуществляется ответственным секретарем приемной комиссии университета.
Из вариантов экзаменационных заданий формируются комплекты вопросов-тестов.
Компоновку комплектов вопросов-тестов ответственный секретарь, заместитель ответственного секретаря производят до вступительных испытаний.
Тест содержит 40 тестовых вопросов.
Результаты испытаний оцениваются по 100 бальной шкале.
Абитуриент, не согласный с оценкой, полученной на ВИ и (или) в связи с нарушением процедуры проведения ВИ имеет право подать апелляцию. Процедура подачи и рассмотрения апелляции регламентируется Положением об апелляционной комиссии УУНиТ.
КРИТЕРИИ ОЦЕНИВАНИЯ ОТВЕТА
Критериями оценки экзаменационного ответа, поступающего в магистратуру являются полнота, логичность, доказательность, прочность, осознанность знаний и теоретическая обоснованность суждений, самостоятельность в интерпретации информации, практическая направленность, уровень овладения профессиональными умениями менеджера и др. В случае тестирования является правильные ответы на тестовые задания.
При проверке количество первичных баллов переводится в итоговую 100 балльную шкалу через информационную платформу университета.
СОДЕРЖАНИЕ РАЗДЕЛОВ И ТЕМ ПРОГРАММЫ
ВСТУПИТЕЛЬНОГО ИСПЫТАНИЯ
Математический анализ и дифференциальные уравнения
- Производная и дифференциал функций одной и нескольких переменных. Достаточные условия дифференцируемости.
- Частные производные. Производная сложной функции.
- Неявные функции. Производные неявных функций.
- Определенный интеграл, его свойства. Основная формула интегрального исчисления.
- Криволинейный интеграл. Формула Грина.
- Поверхностные интегралы. Формулы Гаусса-Остроградского и Стокса.
- Обыкновенные дифференциальные уравнения (определение, порядок уравнения, общее и частное решения, интегральная кривая).
- Классификация линейных дифференциальных уравнений с частными производными (для уравнений 2-го порядка с 2-мя независимыми переменными).
Аналитическая геометрия и высшая алгебра
- Элементы векторного исчисления. Скалярное, векторное и смешанное произведения векторов. Ориентированные площадь и объем
- Уравнение прямой на плоскости и в пространстве. Различные виды уравнений плоскости в пространстве.
- Взаимное расположение прямых и плоскостей, основные метрические задачи.
- Матрицы и действия с матрицами. Обратная матрица.
- Определитель матрицы и его свойства.
- Системы линейных алгебраических уравнений (СЛАУ). Правило Крамера.
- Решение СЛАУ методом Гаусса.
Численные методы и основы программирования
1. Численные методы решения задач. Дискретизация области. Аппроксимация производных.
2. Квадратурные формулы прямоугольников, трапеций, парабол и Гаусса.
3. Численное решение задачи Коши для обыкновенных дифференциальных уравнений. Методы Эйлера и Рунге-Кутта.
4. Алгоритмы разветвляющейся структуры.
5. Алгоритмы циклической структуры.
6. Основные алгоритмы поиска и сортировки.
Механика
- Динамика материальной точки. Сила. Первый и третий законы Ньютона. Масса. Импульс. Импульс силы. Различные формулировки второго закона Ньютона.
- Динамика тел переменной массы. Уравнение Мещерского. Формула Циолковского.
- Работа силы. Связь работы и энергии. Кинетическая энергия поступательного движения. Потенциальная энергия деформации. Потенциальная энергия в однородном поле силы тяжести. Закон сохранения механической энергии.
- Момент силы и момент импульса относительно оси. Уравнение вращательного движения твердого тела. Момент инерции.
- Момент силы и момент импульса относительно точки. Уравнение моментов. Закон сохранения момента импульса системы.
- Гармонические колебания. Колебания математического маятника и груза на пружине. Уравнения колебания и их решения. Изменения смещения, скорости, ускорения и энергии в процессе колебаний (графики).
- Вынужденные колебания. Амплитудно-частотная и фазочастотная характеристики. Резонанс.
- Механика деформируемых тел. Основные типы деформаций. Зависимость напряжения от относительного удлинения для деформации растяжения (график). Закон Гука. Модуль Юнга. Коэффициент Пуассона. Напряжения и деформации при сдвиге и кручении. Законы Гука для деформации сдвига и кручения. Модуль сдвига.
- Основы гидро- и аэростатики. Законы Паскаля и Архимеда. Динамика стационарного течения жидкости. Уравнение Бернулли. Вязкость жидкости. Формула Пуазейля. Число Рейнольдса.
Молекулярная физика
- Идеальный газ. Основное уравнение кинетической теории газов. Физический смысл абсолютной температуры.
- Распределение молекул газа по скоростям (распределение Максвелла).
- Явления переноса в газах. Вывод формулы коэффициента теплопроводности газов.
- I начало термодинамики. Применение I начала термодинамики к рассмотрению различных процессов в идеальных газах.
- II начало термодинамики. Понятие об энтропии. Закон возрастания энтропии.
- Термодинамические потенциалы и их физический смысл.
- Фазовые превращения I рода. Уравнение Клайперона-Клаузиуса.
- Правило фаз. Диаграмма состояния трехфазной системы. Тройная точка.
- Свойства жидкостей. Поверхностное натяжение. Уравнение Лапласа. Капиллярность.
Электричество и магнетизм
- Электрическое поле в вакууме. Заряд, напряженность электрического поля, принцип суперпозиции полей. Теорема Гаусса.
- Работа в электростатическом поле. Потенциал. Связь вектора напряженности электрического поля с потенциалом.
- Постоянный электрический ток. ЭДС. Законы Ома и Джоуля-Ленца. Правила Кирхгофа.
- Природа носителей тока в металлах. Теория Друде-Лоренца. Основы квантовой теории твердых тел. Полупроводники.
- Квазистационарные переменные токи. Закон Ома переменного тока. Резонанс токов и напряжений.
- Электрические колебания. Свободные электрические колебания в контуре без активного сопротивления. Свободные затухающие колебания. Вынужденные колебания.
- Закон взаимодействия токов в вакууме. Закон Био-Савара-Лапласа. Теорема о циркуляции вектора Н.
- Описание поля в магнетиках. Условия на границе двух магнетиков. Закон Ампера. Типы магнетиков.
- Электромагнитная индукция. Явление самоиндукции. Токи при замыкании и размыкании в цепи с индуктивностью. Энергия магнитного поля.
- Электромагнитное поле. Вихревой характер электрического поля. Ток смещения. Уравнения Максвелла электромагнитного поля.
Оптика
- Интерференция волн. Способы получения когерентных волн делением волнового
фронта (примеры) и делением амплитуды (полосы равного наклона, полосы равной толщины, кольца Ньютона).
- Принцип Гюйгенса – Френеля. Метод зон Френеля. Дифракция Френеля от круглого отверстия и от круглого диска.
- Метод графического сложения амплитуд. Дифракция Френеля на краю полуплоскости. Спираль Корню.
- Дифракция Фраунгофера от щели. Дифракция света от двух щелей. Дифракционная решетка. Дифракция рентгеновских лучей на кристаллической решетке.
- Поляризация света. Закон Малюса. Закон Брюстера. Интерференция поляризованных лучей.
- Рассеяние света. Рассеяние света в мутных средах. Молекулярное рассеяние света в газах.
- Излучательная и поглощательная способности тел. Законы теплового излучения (Кирхгофа, Стефана-Больцмана, Вина). Формулы Рэлея-Джинса и Планка.
- Виды фотоэффекта. Законы фотоэффекта. Уравнение Эйнштейна для внешнего фотоэффекта. Применение фотоэффекта.
Атомная и ядерная физика
1. Волновые свойства частиц. Волны де Бройля. Экспериментальные подтверждения волновых свойств частиц. Опыт Девиссона и Джермера.
2. Дискретность атомных состояний. Опыт Франка и Герца. Спектр излучения атома водорода. Обобщенная формула Бальмера. Боровская теория атома водорода.
3. Электронные конфигурации и идеальная схема заполнения оболочек. Принцип Паули. Периодическая система Менделеева.
4. Рентгеновские спектры. Закон Мозли.
5. Сверхпроводимость и сверхтекучесть, их квантовая природа.
6. Размеры и структура ядер. Структура нуклона. N-Z диаграмма атомных ядер. Масса и энергия связи ядра. Спин ядра.
7. Модели атомных ядер: капельная, оболочечная.
8. Радиоактивность. Закон радиоактивного распада. Альфа - распад. Бета-распад.
9. Ядерные реакции. Классификация. Законы сохранения в ядерных реакциях. Механизмы ядерных реакций. Энергия реакции. Сечение. Порог реакции.
10. Взаимодействие ядерного излучения с веществом. Эффект Мессбауэра.
Общая геология
1. Предмет геологии и ее задачи. Основные понятия о залежах нефти и газа. Основные этапы и стадии геологоразведочных работ на нефтяных и газовых месторождениях.
2. Основные категории и группы скважин при бурении на нефть и газ. Методы геологического изучения в процессе поисково-разведочных работ. Геологическая служба буровых и нефтегазодобывающих предприятий
3. Методы изучения нефтяных и газовых залежей и обобщения геологопромысловой информации. Методы, основанные на изучении залежей продуктивных пород по образцам горных пород и пробам нефти, газа, воды, отбираемым из скважин.
4. Пластовые флюиды. Нефть, ее физические свойства. Газ и его физические свойства. Нефть и газ как невосполнимые полезные ископаемые.
5. Добыча нефти в мире, стране и республике. Современные теории происхождения нефти.
6. Нефть и газ в недрах. Ловушка. Залежь и месторождение. Элементы залежи. Типы залежей Горное и пластовое давление. Давление насыщения.
7. Геолого-физические условия разработки месторождений. Запасы и ресурсы нефти и газа. Классификация запасов
Физика пласта
1. Строение Земли
2. Условия формирования нефтяной залежи.
3. Породы - коллекторы нефти и газа. Гранулометрический состав горных пород. Ситовой и седиментационный анализы. Коэффициент неоднородности горных пород.
4. Пористость горных пород. Виды пористости. Удельная поверхность пористой среды. Виды удельной поверхности. Связь между пористостью и удельной поверхностью.
5. Проницаемость горных пород. Виды проницаемости. Единицы измерения. Закон Дарси.
6. Случаи линейной и радиальной фильтрации. Связь между проницаемостью и пористостью.
7. Фазовые проницаемости в системах «жидкость-жидкость» и «жидкость - газ». Обобщенный закон Дарси.
8. Поверхностные явления в насыщенных пористых средах. Уравнения Юнга и Дюпре - Юнга.
9. Гистерезис смачивания. Вытеснение нефти водой. Капиллярное давление.
10.Упругие свойства горных пород.
Подземная гидрогазодинамика
1. Гомогенные и гетерогенные смеси. Фазы и компоненты. Гидродинамические характеристики многофазных и многокомпонентных систем.
2. Полная система уравнений фильтрации жидкости (уравнение неразрывности, закон Дарси, уравнения состояния флюидов и пористой среды).
3. Уравнение пьезопроводности. Коэффициенты упругоемкости и пьезопроводности.
4. Плоскорадиальный поток стационарной фильтрации. Формула Дюпюи.
5. Плоскорадиальная фильтрация упругой жидкости.
6. Основная формула теории упругого режима фильтрации.
7. Уравнение фильтрации газа.
8. Основы теории фильтрации многофазных систем. Теория Баклея - Леверетта.
Демоверсия экзаменационного варианта
Пробный тест
Математика
Исследовать взаимное расположение прямых и
.
прямые и
пересекаются в точке (-0,75; -0.5)
прямые и
пересекаются в точке (-0,75; 0,5)
прямые и
пересекаются в точке (0,75; 0,5)
прямые и
параллельны
Общая физика
Связь между удельной поверхностью Sуд и пористостью m для фиктивного грунта выражается формулой:
Геология
Что такое кероген?
Нефтематеринский материал
Битум
Первичная биомасса
Сапропель
Физика пласта
Определить усадку нефти, если известно, что объемный коэффициент b = 1,5. Ответ выразить в процентах, округлить до целого.
33%
2 %
300%
75 %
Подземная гидродинамика
Используя основную формулу упругого режима теории фильтрации по закону Дарси найти выражение для скорости фильтрации в пласте.
1. 2.
3.
4.
СПИСОК ЛИТЕРАТУРЫ
1. Ковешников А.Е. Геология нефти и газа: учебное пособие - издательство ТПУ , 2011
2. Короновский Н. В. Общая геология — М.: КДУ, 2010 Физика пласта
1. Фортов В.Е. Энергетика в современном мире - Долгопрудный: Интеллект, 2011. - 168с
2. Тетельмин В.В. Нефтегазовое дело: полный курс - Долгопрудный: Интеллект, 2009. - 800с.
3. Ковалева Л.А. Физика нефтегазового пласта. - Уфа, 2008 – 280 с.
4. Чарный И.А. Подземная гидрогазодинамика. – Москва-Ижевск ИКИ, 2006 г.
5. Басниев К.С., Кочина И.Н., Максимов В.М. Подземная гидродинамика: Учебное пособие для вузов. – М.: Недра, 1993 – 416 с.
6. Хабибуллин И.Л. Физика сплошных сред в примерах и задачах: Учебное пособие. – Уфа, 2009. – 87 с.
7. Котенев, Ю. А. . Геология и разработка нефтяных месторождений при заводнении — Уфа, 2003.
8. Котенев Ю.А. Геология и разработка нефтяных месторождений Ишимбайского Приуралья с применением методов увеличения нефтеотдачи — Уфа: УГНТУ, 2004
9. Короновский, Н.В. Геология — М. : Академия, 2007
10. Жданов, М. А. Нефтегазопромысловая геология — М. : Госнаучнтехниздат, 1962
11. Амикс Дж. и др. Физика нефтяного пласта. – И.Л., 2003. – 572 с.
12. Пирсон С.Д. Учение о нефтяном пласте. – И.Л., 1961.
13. Мархасин И.Л. Физико-химическая механика нефтяного пласта.
14. Мирзаджанзаде А.Х. и др. Физика нефтяного и газового пласта. – М., Недра, 1992.
15. Евдокимова В.А., Кочина И.Н. Сборник задач по подземной гидравлике. – М.: Недра, 2007 – 168 с.
16. Баренблатт Г.И., Ентов В.М., Рыжик В.М. Движение жидкостей и газов в природных пластах. – М.: Недра, 1984 – 208 с.
Педагогика и управление образовательными системами
ПРОГРАММА
вступительного испытания
для поступающих в магистратуру по направлению
44.04.01 «Педагогическое образование»
программа (профиль)
«Руководство образовательной организацией»
ОБЩИЕ ПОЛОЖЕНИЯ
Вступительные испытания предназначены для определения практической и теоретической подготовленности поступающего в магистратуру и проводятся с целью определения соответствия знаний умений и навыков требованиям обучения магистратуры по направлению подготовки 44.04.01 «Педагогическое образование» (магистратура). Программа составлена в соответствии с требованиями федерального государственного образовательного стандарта высшего профессионального образования.
Вступительные испытания в магистратуру проводят экзаменационные комиссии, назначенные председателем приёмной комиссии УУНиТ.
ПРОЦЕДУРА ВСТУПИТЕЛЬНОГО ИСПЫТАНИЯ
Дата и время проведения вступительного испытания и консультации определяются расписанием вступительных испытаний, которое утверждается председателем приемной комиссии.
Перед вступительным испытанием для поступающих проводится консультация по содержанию программы испытания, критериям оценки, предъявляемым требованиям, правилам поведения на испытании.
Форма вступительного испытания (в соответствии Положением о вступительных испытаниях УУНИТ): устно-письменная.
Вступительные испытания в виде устно-письменного экзамена проводятся в соответствии с программами вступительных испытаний, утверждаемых председателем приемной комиссии.
Экзаменационные билеты включают два вопроса по направлению подготовки (по специальности).
В аудитории, где проводится вступительное испытание в устной форме, не может находиться одновременно более 6 человек. Нахождение в аудитории посторонних лиц не допускается.
Абитуриенту предоставляется право готовиться к ответу в течение 30 минут.
Абитуриенту предоставляется право ответа на экзаменационные вопросы в течение 20-25 минут.
В процессе сдачи вступительного испытания абитуриенту могут быть заданы дополнительные вопросы как по содержанию экзаменационного билета, так и по любым разделам предмета в пределах программы вступительного испытания.
Абитуриент, не согласный с оценкой, полученной на ВИ и (или) в связи с нарушением процедуры проведения ВИ имеет право подать апелляцию. Процедура подачи и рассмотрения апелляции регламентируется Положением об апелляционной комиссии УУНиТ.
КРИТЕРИИ ОЦЕНИВАНИЯ ОТВЕТА
Критериями оценки экзаменационного ответа, поступающего в магистратуру являются: полнота, логичность, доказательность, прочность, осознанность знаний и теоретическая обоснованность суждений, самостоятельность в интерпретации информации, практическая направленность, уровень овладения профессиональными умениями менеджера и др.
Результаты вступительного испытания определяются по 100-балльной шкале, разброс баллов представлен ниже в таблице:
|
№ |
Критерии оценивания |
Оценка |
|
1 |
Дан полный развернутый ответ на теоретический вопрос:
|
85-100 баллов «отлично» |
|
2 |
Дан в целом правильный ответ на теоретический вопрос:
|
67-84 балла «хорошо» |
|
3 |
Дан в основном правильный ответ на теоретический вопрос:
|
50-66 баллов «удовлетворительно» |
|
4 |
|
0-49 баллов «неудовлетворительно» |
СОДЕРЖАНИЕ РАЗДЕЛОВ И ТЕМ ПРОГРАММЫ
ВСТУПИТЕЛЬНОГО ИСПЫТАНИЯ
Педагогика как наука.
Педагогика как область гуманитарного знания. Становление и развитие педагогики. Место педагогики в системе наук о человеке, ее связь с другими науками. Объект, предмет, задачи и функции педагогики. Основные категории педагогики: образование, воспитание, обучение, самовоспитание, самообразование, педагогическая деятельность, социализация, педагогическое взаимодействие, педагогическая система, образовательный процесс. Система педагогических наук. Основные отрасли педагогики. Расширение отраслей педагогической науки. Взаимосвязь педагогической науки и практики.
Педагогическая профессия: общая характеристика и перспективы ее развития.
Возникновение и развитие педагогической профессии. Особенности педагогической профессии. Педагог и личность ребенка. Социальная миссия и профессиональные функции педагога. Гуманистическая природа и творческий характер труда учителя. Специфика деятельности учителя сельской школы. Перспективы развития педагогической профессии в условиях информационно-технологической революции.
Учитель как субъект педагогической деятельности.
Требования к личности учителя в трудах корифеев педагогики. Профессионально-обусловленные требования к личности современного педагога. Профессионально-значимые качества личности учителя. Профессиограмма и квалификационная характеристика учителя. Профессионально-педагогическая направленность и педагогическое призвание учителя. Профессиональная этика и педагогический такт учителя. Педагогические способности учителя. Профессиональная компетентность учителя и ее структура.
Общая и профессиональная культура учителя.
Сущность и взаимосвязь общей и педагогической культуры учителя. Основные функции, уровни и субъекты педагогической культуры. Мировоззренческая культура педагога. Культура педагогического мышления. Методологическая культура учителя. Организационно-деятельностная культура учителя. Нравственная культура учителя. Художественно-эстетическая культура учителя. Правовая культура учителя. Экономическая культура учителя. Информационная культура учителя. Основные компоненты педагогической культуры учителя: аксиологический, личностный, творческий, технологический.
Методология и методы психолого-педагогических исследований.
Соотношение педагогической науки и педагогической практики. Понятие о методологии педагогики. Философские основания педагогики. Виды и уровни педагогических исследований.
Основные методологические принципы педагогического исследования: культурологический, гуманистический, аксиологический, творческий, личностный, этнопедагогический, антропологический, системно-целостный, деятельностный.
Логика и методы педагогического исследования, его методологические характеристики. Организация научно-педагогического исследования. Система методов педагогического исследования: теоретические (анализ научной литературы, архивных материалов, документов, построение гипотез, моделирование); социально-педагогические (беседа, анкетирование, тестирование, интервью, независимые характеристики); эмпирические методы (наблюдение, эксперимент, изучение педагогического опыта); количественная обработка и интерпретация полученных данных (социометрические, статистические, графические, математические методы).
Дидактика как педагогическая теория обучения.
Общее понятие о дидактике. Развитие представлений о дидактике как науке. Объект и предмет дидактики. Общая и частная дидактика. Задачи и функции дидактики. Основные дидактические концепции.
Традиционная дидактическая система. Педоцентрическая система обучения. Характерные признаки формирующейся дидактической системы. Демократизация и гуманизация современной школы.
Закономерности и принципы обучения.
Сущность понятия «закономерности обучения». Характеристика основных закономерностей обучения. Понятия «принципы обучения», «правила обучения». Сущность принципов научности, доступности и посильности в обучении. Особенности принципа сознательности и активности в обучении. Принцип систематичности и последовательности в обучении. Принцип наглядности и его особенности в процессе обучения. Принцип прочности в овладении знаниями и умениями. Принцип системности и систематичности, связи теории с практикой.
Реализация принципов обучения в условиях современной системы образования.
Культура и образование. Исторический характер образования. Понятие о содержании образования как фундаменте базовой культуры личности. Современные концепции содержания образования в отечественной и мировой педагогике.
Источники, факторы, принципы и критерии формирования содержания школьного образования. Основные компоненты содержания образования. Государственный образовательный стандарт. Базисный учебный план. Федеральный, национально-региональный и школьный компоненты учебного плана. Характеристика учебных программ, учебников и учебных пособий (способы построения учебных программ, функции, содержание и структура учебных программ и учебников).
Понятие о методах, приемах, правилах и средствах обучения. Классификация средств обучения.
Многообразие методов обучения, их классификация (классификации методов по источнику получения знаний, по характеру познавательной деятельности учителя и учащихся, по целостному подходу к организации учебно-познавательной деятельности). Дидактическая характеристика методов обучения: методы организации и осуществления учебно-познавательной деятельности (рассказ, учебная лекция, беседа, иллюстрация, демонстрация, упражнения, лабораторные опыты и др.); методы стимулирования и мотивации учебной деятельности (познавательный интерес, игра, поощрение и порицание, ситуация успеха и др.); методы контроля и самоконтроля учебно-познавательной деятельности (устный, письменный, фронтальный, групповой, индивидуальный опрос).
Влияние методов обучения на формирование мотивов учения школьников. Пути активизации учения школьников различных возрастов. Специфика применения методов обучения в зависимости от характера учебного познания, направленности ведущей деятельности, уровня развития познавательных процессов учащихся. Методы и приемы обучения, активизирующие познавательную и самообразовательную деятельность учащихся: учебный диалог, дискуссии, деловые игры, тренинги и др.
Выбор методов и средств обучения в зависимости от поставленных учебно-воспитательных задач, содержания учебного материала, возможностей и потребностей учащихся, педагогического мастерства учителей, условий обучения.
Современные модели организации обучения.
Понятие о формах обучения и формах организации обучения. Краткие сведения из истории развития форм обучения.
Становление классно-урочной системы обучения. Урок как основная форма организации обучения. Типы и структура уроков. Требования к современному уроку (дидактические, психологические, гигиенические). Пути совершенствования урока (модернизация содержания обучения, применение индивидуальных и групповых методов обучения, использование нестандартных уроков, новые технологии обучения, активные методы обучения и др.).
Связь урока с внеурочными формами организации учебной работы (учебные экскурсии, факультативные занятия, предметные кружки, консультации, самостоятельная работа учащихся вне урока (домашняя задание), зачет, экзамен, индивидуальные и групповые консультации, научные общества, олимпиады, конкурсы и др.).
Подготовка учителя к уроку: этапы (диагностический, прогнозирование, проектирование), тематическое и поурочное планирование, план урока, конспект урока. Анализ и самооценка урока.
Современные типы, виды и технологии обучения.
Сущность, структурные составляющие, методологические требования, классификация педагогических технологий.
Развивающее обучение: Л.В. Занков (общее развитие личности, гармонизация содержания образования), Д.Б. Эльконин, В.В.Давыдов (содержательное обобщение, развитие способов умственных действий); проблемное обучение: И.Я. Лернер, М.И. Махмутов (развитие познавательных и творческих способностей, методы проблемного обучения, приемы создания проблемных ситуаций); программированное обучение (принципы, виды программ: линейная, разветвленная, смешанная), дифференцированное обучение (по уровню, интересам); игровые технологии (функции, классификация, этапы).
Другие технологии обучения (адаптивное обучение, блочно-модульное обучение, коллективные способы обучения, поисково-исследовательская технология обучения, технология критериально-ориентированного обучения, имитационная технология обучения, информационные технологии, технология знаково-контекстного обучения в профессиональной подготовке и др.).
Основные дидактические идеи педагогов-новаторов.
Педагогика сотрудничества как основа личностно-ориентированного подхода в образовательном процессе: истоки, принципы, перспективы развития. Основные идеи педагогов-новаторов: сотрудничество, учение без принуждения, трудная цель, опора, опережение, крупные блоки, идея соответствующей формы, самоанализ, интеллектуальный фон класса, личностный подход. Характеристика идей педагогов-новаторов (Ш.А. Амонашвили, И.П.Волков, И.П.Иванов, Е.Н.Ильин, В.А. Караковский, С.Н. Лысенкова, Р.Г. Хазанкин, В.Ф.Шаталов, М.П. Щетинин).
Воспитание как часть педагогического процесса. Классификация методов воспитания.
Сущность воспитания. Соотношение понятий социализация, «воспитание» и «обучение». Диалектика, движущие силы и противоречия процесса воспитания. Структура воспитательного процесса, основные элементы. Основные философско-педагогические концепции происхождения воспитания. Парадигмы воспитания. Понятие цели: сущность и предназначение. Проблема целей воспитания в истории педагогической мысли.
Понятие о методах, приемах, средствах воспитания и их взаимосвязь. Различные подходы к классификации методов воспитания. Педагогический анализ основных методов воспитания: методы формирования сознания учащихся (беседа, лекция, диспут, убеждение, положительный пример); методы формирования положительного опыта поведения (требование, приучение, упражнение, воспитывающие ситуации, общественное мнение); методы стимулирования положительного опыта поведения и корректирования сознания и деятельности воспитанников (соревнование, игра, юмор, поощрение и наказание). Проблема выбора методов воспитания. Творческий подход к определению и применению методов воспитания.
Базовая культура личности.
Понятие о базовой культуре личности. Содержание воспитания. Сущность мировоззрения. Потребности, интересы, склонности, знания, принципы, убеждения и идеалы в структуре мировоззрения личности. Основные пути и средства формирования мировоззрения. Цель, задачи, содержание, формы и методы умственного воспитания. Цель, задачи, формы и методы гражданского воспитания школьников. Основные понятия теории нравственного воспитания: моральные нормы, принципы, категории, идеалы. Понятие об эстетической культуре учащихся. Сущность, задачи, содержание, формы и методы эстетического воспитания школьников. Трудовое воспитание учащихся: цель, задачи, основное содержание. Профессиональная ориентация как часть трудового воспитания. Основные направления, виды и формы профориентационной работы с учащимися. Технологии проведения воспитательных мероприятий реализующих сущность основных направлений содержания воспитания в современной школе.
Проблемы семейного воспитания.
Понятие семьи, типы функции семьи. Тенденции современного семейного воспитания. Психолого-педагогические и социально- экономические проблемы семьи. Формирование личности в семье. Взаимосвязь школы, семьи и общественности в воспитании детей. Формы работы классного руководителя с семьей (педагогическая лекция, научно-практическая конференция, вечера вопросов и ответов, родительские собрания, посещение семей, работа с родительским комитетом). Неблагополучная семья как фактор риска. Тапы и виды неблагополучных семей. Работа школы и классного руководителя с такими семьями. Ошибки семейного воспитания и их роль в воспитании и развитии ребенка.
Коллектив как объект и субъект воспитания.
Разработка теории коллектива в современной педагогике. Понятие о коллективе. Признаки коллектива. Функции и законы жизнедеятельности коллектива. Структура и типологии коллектива. Система органов коллектива. Пути создания коллектива. Процесс и стадии развития коллектива. Понятие о коллективе. Признаки коллектива. Функции и законы жизнедеятельности коллектива. Структура и типологии коллектива. Система органов коллектива. Пути создания коллектива. Процесс и стадии развития коллектива. Система перспективных линий. Традиции и их воспитательное значение. Технология организации детского коллектива.
Классный руководитель как организатор учебно-воспитательного процесса и жизнедеятельности ученического коллектива.
Функции, основные направления деятельности классного руководителя. Формы и методы работы классного руководителя по воспитанию школьников. Деятельность классного руководителя по координации воспитательных воздействий школы, семьи и общественности. Планирование воспитательной работы. Требования к классному руководителю. Права, обязанности и ответственность классного руководителя. Положение «О классном руководстве» как основной документ должностные обязанности классного руководителя.
Формы организации воспитательного процесса.
Общая характеристика форм воспитательного процесса и их классификация. Функции форм воспитательной работы. Классификации форм воспитательной работы. Внеклассная и внешкольная воспитательная работа. Требования к организации форм воспитательной работы.
Коллективные творческие дела, технология их проведения. Этапы КТД. Иванов И.П. о коллективном творческом деле и его роли в организации и сплочении детского коллектива. Технология проведения классного часа. Технология проведения воспитательных игр, дискуссий, праздников и т.д. Анализ воспитательного мероприятия. Саморефлексия.
Понятие о педагогической технологии. Современные педагогические технологии.
Понятие педагогической технологии. Генезис понятия «педагогическая технология». Аспекты педагогической технологии (научный, процессуально-описательный, процессуально-действенный). Структура педагогической технологии (концептуальная основа; содержательная часть обучения: цели обучения, содержание учебного материала; процессуальная часть: организация учебного процесса, методы и формы учебной деятельности школьников, методы и формы работы учителя, деятельность учителя по управлению процессом усвоения материала, диагностика учебного процесса).
Основные качества современных технологий. Научный подход к классификации педагогических технологий по уровню применения, по философской основе, по методологическому подходу, по ведущему фактору развития личности, по научной концепции передачи и освоения опыта, по ориентации на личностные сферы и структуры индивида, по характеру содержания и структуры, по типу управления педагогическим процессом, по преобладающим методам обучения и воспитания, по организационным формам, по средствам обучения, по подходу к ребенку и характеру воспитательных взаимодействий, по направлению модернизации педагогической системы, по категории воспитанников и обучаемых.
Технология конструирования и осуществления педагогического процесса.
Сущность и специфика педагогической задачи. Типы педагогических задач и их характеристика. Этапы решения педагогической задачи. Понятие о технологии конструирования педагогического процесса. Осознание педагогической задачи, анализ исходных данных и постановка педагогического диагноза. Прогнозирование и проектирование педагогического процесса. Планирование как результат конструктивной деятельности педагога. Планирование работы классного руководителя, учителя-предметника, социального педагога. Понятие о технологии осуществления педагогического процесса. Структура организаторской деятельности и ее особенности в педагогическом процессе.
Педагогические технологии на основе активизации и интенсификации деятельности учащихся.
Педагогические технологии на основе активизации и интенсификации деятельности учащихся.
Игровые технологии. Функции игровой деятельности. Классификация педагогических игр (по области деятельности, по характеру педагогического процесса, по игровой методике, по предметной области, по игровой среде).
Проблемное обучение. Проблемная ситуация. Классификация проблемных ситуаций (по содержанию неизвестного Х, по уровню проблемности, по виду рассогласования информации, по методическим особенностям).
Технология В.М. Шаталова. Опорный конспект. Этапы работы с опорными конспектами. Опорный сигнал.
Авторские, альтернативные педагогические технологии.
Педагогические технологии на основе методического усовершенствования и дидактического реконструирования учебного материала (интегральная технология П.М. Эрдниева, технология «Диалог культур» В.С. Библера и С.Ю. Курганова и др.); педагогические технологии на основе усиления социально-воспитательных функций образовательных учреждений (технология адаптивной школы, здоровьесберегающие технологии (Б.П. и Л. А. Никитины, В.Ф. Базарный, Г.П. и Е. В. Воронковы, А.Ф. Пазухин, Л.Е.Бычкова и др.); технологии на основе усиления социально-воспитательных функций педагогических процессов (технологии организации досуговой деятельности, технологии формирования образовательной среды и др.); альтернативные технологии (вальдорфская педагогика Р.Штайнера, технология свободного труда С.Френе, технология вероятностного образования А.М. Лобка, технология коллективной мыследеятельности (Г.П. Щедровицкий, К.Я. Вазина), технология учебного проектирования, технология педагогических мастерских и др.); целостные авторские школы («Школа самоопределения» А.Н. Тубельского, «Русская школа» И.Ф. Гончарова, «Школа для всех» Е.А. Ямбурга и др.).
Технология саморазвития (М. Монтессори). Целевые ориентации. Концептуальные положения. Возрастная периодизация, разработанная М.Монтессори. Особенности методики и организации. Виды деятельности дошкольника в садике-Монтессори. Свободная работа. Структура дидактического материала в школе-Монтессори.
Исторический подход в изучении педагогических явлений. Факторы формирования личности в истории мировой педагогики. История развития антропологического знания.
Современная трактовка «Истории образования и педагогической мысли» как области педагогической науки. Методологические основы, методы исследования и проблемы периодизации историко-педагогического процесса. Источники историко-педагогических исследований. Значение курса «История образования и педагогической мысли» в общей системе профессиональной подготовки учителя.
Роль и значение воспитания в формировании личности в условиях информационного общества. Проблемы формирования духовного мира человека на пороге ноосферной эпохи.
Сущность воспитания и проблемы формирования личности в педагогической мысли Востока. Педагогика ислама. Педагогическая антропология как междисциплинарная отрасль человековедения. Актуальность антропологического знания для современной теоретической и практической педагогики. Связь педагогической антропологии с другими разделами педагогики. Основные идеи и достижения педагогической антропологии (личностно-целостный подход, духовно-нравственный подход, биолого-генетический подход, экспериментальный подход, социальный подход и др.).
Развитие принципов природосообразности, культуросообразности, народности в воспитании и теории развивающего и воспитывающего обучения в истории мировой педагогики.
Идеи природосообразного воспитания в трудах педагогов конца Х1Х –начала ХХ вв. (В.П.Вахтеров, К.Н.Вентцель). Особенности развития принципа природосообразности в истории советской педагогики.
Возрождение принципа природосообразности в современной педагогике и его место в системе принципов педагогики. Направления функционирования принципа природосообразности в современной российской педагогике. Природосообразность как этнопедагогическая закономерность. Природосообразность как экологическое направление и здоровьесберегающая технология воспитания. Природосообразность развития детей как психолого-педагогическое направление и как фактор развития личности. Природосообразность как принцип организации педагогической и исследовательской деятельности.Природосообразность как гуманистическое направление педагогики. Проблема природосообразности и разнообразия культур в теории воспитания. Природосообразность в рамках глобализации мироустройства. Природосообразность как основа энергоинформационной педагогики.
Развитие принципа культуросообразности в истории мировой педагогики. Понятие культура. Разработка теоретических основ принципа культуросообразности А.Дистервегом. К.Д.Ушинский как основоположник принципа народности воспитания. Возрастание интереса к идее культуросообразности на рубеже ХХ-ХХ1веков. Диалог культур как методологическая база и средство обучения в современных образовательных учреждениях России. Характеристика образовательного процесса в учебных заведениях, опирающихся на принципы культуросообразности (вальдорфская школа Р.Штейнера; «школа диалога культур» В.С.Библера, школа «живой культуры» В.Д.Шадрикова и др.). Культуросообразный характер современного образования (Е.В.Бондаревская).
Идеи свободы, права, демократии, гуманизма в педагогической мысли за рубежом и в России.
Истоки гуманистических идей педагогики. Ж.-Ж.Руссо как основоположник теории «свободного воспитания». Социально-политическое и философское обоснование теории «свободного» («естественного воспитания»). Возрастная периодизация, задачи, содержание и методы воспитания. Роль и место воспитателя в формировании и воспитании свободного человека по Руссо.
Концепция «свободного воспитания» как один из компонентов педагогической теории и практики Л.Н. Толстого. Влияние идей Л.Н. Толстого на развитие теории «свободного воспитания» в концепциях К.Н. Вентцеля, С.Т. Шацкого и др. Разработка теоретических основ «свободного» и «нового» воспитания представителями педоцентризма (М. Монтессори, С. Френе).
Возрастание интереса к идеям «свободного воспитания» в гуманистической психологии и педагогике 60–80-х годов ХХ века. Возрождение отдельных идей «свободного воспитания» в опыте В.А. Сухомлинского и педагогике сотрудничества 80-х гг. ХХ в. (Ш.А.Амоношвили, И.П. Волков, И.П. Иванов, В.Ф. Шаталов и др.).
Характеристика образовательного процесса в учебных заведениях, опирающихся на принципы «свободного воспитания» (вальдорфская школа, «открытые школы»). Понимание современного воспитания не только как общественно необходимого процесса подготовки детей к жизни, но и как процесса формирования духовной личности, способной быть интеллектуально свободной, ответственной за себя и положение дел в обществе.
Реформаторская педагогика Западной Европы, США и России в концеХ1Х-начале ХХ веков и ее влияние на последующее развитие мировой педагогики.
Социально-исторические особенности периода. Предпосылки для создания различных направлений реформаторской педагогики. Разнообразие реформаторских педагогических течений Западной Европы на рубеже Х1Х-ХХ вв. Джон Дьюи как педагог-реформатор, основоположник прагматистской педагогики. Философско-психологическое и социальное обоснование прагматизма. Развитие экспериментальной педагогики. Август Лай как виднейший теоретик экспериментальной педагогики.
Вклад М. Монтессори в развитие дошкольной, начальной и специальной педагогики для умственно отсталых детей. Разработка теории «свободного воспитания» и попытка ее практической реализации («Дома ребенка» М. Монтессори).
Георг Кершенштейнер как автор теории «гражданского воспитания» и «трудовой школы».
Антропологические основания теории и практики образования России в этот период. Разнообразие и богатство направлений педагогической мысли: экспериментальная педагогика (А.Ф.Лазурский); развитие педологии (А.П.Нечаев); «эволюционная педагогика» (В.П.Вахтеров); теория интегрального образования (П.А.Кропоткин); антропологическое направление (П.Ф.Каптерев); теория физического образования (П.Ф.Лесгафт); рефлексологическая педагогика (В.М.Бехтерев); теория всеобщего обучения аномальных детей (В.П.Кащенко).
Педагогическое наследие Востока и новые явления этого периода. Борьба народов Востока за свою независимость и ее влияние на развитие образования и педагогической культуры. Школа и педагогическая мысль в Турции, Индии, и Китае. Развитие японской школы, формирование общенациональной школьной сети.
Основные реформы образовательной политики и развитие отечественной педагогики в ХХ веке.
Н.К.Крупская о формировании нового человека, воспитании коммунистической морали, трудовом воспитании и политехническом образовании. Антропологические основания теории и практики воспитания и обучения в 20-30-е годы. Педологически ориентированная педагогика П.П.Блонского. С.Т.Шацкий и организация опытной работы в области образования: Деятельность «Первой опытной станции по народному образованию». Воспитание в коллективе и через коллектив – центральная идея педагогической теории А.С.Макаренко. Основные положения «коллективной педагогики» А.С.Макаренко.
Восстановление и развитие школы после Великой Отечественной войны. Осуществление семилетнего всеобуча и расширение среднего образования.
Перестройка содержания, организации и методов учебно-воспитательной работы в школе в конце 50-х – начале 60-х годов ХХ века. Концепции формирования духовных потребностей личности, педагогического стимулирования, познавательного интереса и др.
Педагогическая деятельность и литературно-педагогическое наследие педагога-гуманиста В.А.Сухомлинского.
Преобразования в конце 60-х – первой половине 80-х годов ХХ века. Осуществление всеобщего обязательного среднего образования. Реформа общеобразовательной и профессиональной школы (1984): пересмотр программ в плане повышения их научного уровня, введение обучения компьютерной грамотности, установка на получение учащимися профессии в условиях общеобразовательной школы.
Поиски педагогами-новаторами путей совершенствования учебно-воспитательной деятельности. Педагогика сотрудничества (В.Ф.Шаталов, Е.Н.Ильин, С.Н.Лысенкова, М.П.Щетинин, И.П.Иванов и др.).
Приоритетные направления развития педагогической науки нашей страны. Разработка моделей социально-педагогической, медико-экологической, социокультурной и образовательно-воспитательной деятельности, направленных на воспитание главных гуманистических ценностей: диалог культур, сотрудничество, формирование культуры межнационального общения, духовно-нравственное, физическое и психическое здоровье человека и др.
Понятие управления и педагогического менеджмента. Школа как педагогическая система и объект управления.
Понятие и сущность управленческой деятельности. Управление педагогическими системами как разновидность социального управления. Основная цель, задачи управления. Функции управления педагогическими системами: анализ, целеполагание и планирование, организация деятельности, контроль и регулирование. Принципы управления, их характеристика.
Система внутришкольного управления. Демократизация управления школой. Проблемы функционирования и управления инновационными процессами развития школы. Нововведения во внутришкольном управлении: основные тенденции. Характеристика основных направлений управленческой деятельности. Коллегиальный характер управления школой.
Методы и формы управления педагогическими системами школы.
Значение планирования. Новое в понимании состава планирования как управленческой деятельностью. Разработка программ развития образовательных программ школы и учебных планов.
Методы управления: система диагностики, исследования, наблюдения, собеседования, тесты, карты, опросники, анкеты и т.д.
Формы управления внутришкольными педагогическими системами: с учетом уровней общения, творчества, социального опыта, культурно-развивающего досуга.
Управленческая культура руководителя.
Руководитель в системе управления учебно-воспитательными учреждениями. Социально - педагогические и психологические требования к личности. Эталонный образ. Создание имиджа руководителя как составная часть культуры. Общение в управлении.
Стили руководства: авторитарный, демократичный, либеральный. Стили лидерства: сосредоточенный на работе, сосредоточенный на человеке. Организация труда руководителя школы. Управленческая культура руководителя.
Демоверсия экзаменационного варианта
МИНИСТЕРСТВО НАУКИ И ВЫСШЕГО ОБРАЗОВАНИЯ
РОССИЙСКОЙ ФЕДЕРАЦИИ
ФЕДЕРАЛЬНОЕ ГОСУДАРСТВЕННОЕ БЮДЖЕТНОЕ
ОБРАЗОВАТЕЛЬНОЕ УЧРЕЖДЕНИЕ ВЫСШЕГО ОБРАЗОВАНИЯ
«УФИМСКИЙ УНИВЕРСИТЕТ НАУКИ И ТЕХНОЛОГИЙ»
СТЕРЛИТАМАКСКИЙ ФИЛИАЛ
ФАКУЛЬТЕТ ПЕДАГОГИКИ И ПСИХОЛОГИИ
|
Вступительный экзамен по направлению 44.04.01 Педагогическое образование, программа «Руководство образовательной организацией», 2025-2026 уч. год |
УТВЕРЖДАЮ Директор СФ УУНиТ
____________ И.А. Сыров |
Экзаменационный билет № 1
1. Педагогическая профессия: общая характеристика и перспективы ее развития.
2. Управленческая культура руководителя. Руководитель в системе управления учебно-воспитательными учреждениями. Социально - педагогические и психологические требования к личности. Создание имиджа руководителя как составная часть культуры.
Заведующий кафедрой ППО_____________________Р.М. Салимова
СПИСОК ЛИТЕРАТУРЫ
- Арон, И. С. Педагогика : учебное пособие : [16+] / И. С. Арон ; Поволжский государственный технологический университет. – Йошкар-Ола : Поволжский государственный технологический университет, 2018. – 144 с. : табл., схем. – Режим доступа: по подписке. – URL: https://biblioclub.ru/index.php?page=book&id=496200. – Библиогр. в кн. – ISBN 978-5-8158-2015-9. – Текст : электронный.
- Артеменко, О. Н. Педагогика: учебное пособие / О. Н. Артеменко, Л. И. Макадей ; Северо-Кавказский федеральный университет. – Ставрополь : Северо-Кавказский Федеральный университет (СКФУ), 2015. – 251 с. : ил. – Режим доступа: по подписке. – URL: https://biblioclub.ru/index.php?page=book&id=457136 – Библиогр.: с. 215-217. – ISBN 978-5-9296-0731-8. – Текст : электронный.
- Бабина, Н.Ф. Технология: методика обучения и воспитания : учебное пособие : в 2-х ч. / Н.Ф. Бабина. - Москва ; Берлин : Директ-Медиа, 2015. - Ч. 2. - 328 с. : ил. - Библиогр.: с. 199-212. - ISBN 978-5-4475-3764-7 ; То же [Электронный ресурс]. - URL: http://biblioclub.ru/index.php?page= book&id= 276261
- Латышина Д.И. Этнопедагогика: учеб.для акад. бакалавриата вузов по пед. спец. / Москов. пед. гос. ун-т. - 2-е изд., перерарб. и доп. - М.: Юрайт, 2014. – 531 с.
- Мандель, Б. Р. Основы педагогического мастерства: учебное пособие для обучающихся в системе среднего профессионального образования : [16+] / Б. Р. Мандель. – Москва : Директ-Медиа, 2022. – 304 с. : ил. – Режим доступа: по подписке. – URL: https://biblioclub.ru/index.php?page=book&id= 686559– ISBN 978-5-4499-3036-1. – Текст : электронный.
- Мандель, Б.Р. Инновационные технологии педагогической деятельности : учебное пособие для магистрантов / Б.Р. Мандель. - Изд. 2-е, стер. - Москва ; Берлин : Директ-Медиа, 2019. - 261 с. : ил., табл. - ISBN 978-5-4499-0066-1 ; То же [Электронный ресурс]. - URL: http://biblioclub.ru/index.php?page=book&id=429392
- Пешкова, В. Е. Педагогика: курс лекций : учебное пособие / В. Е. Пешкова. – Москва ; Берлин : Директ-Медиа, 2015. – Часть 2. Общие основы педагогики. – 123 с. : ил. – Режим доступа: по подписке. – URL: https://biblioclub.ru/index.php?page=book&id=426826. – Библиогр. в кн. – ISBN 978-5-4475-3912-2. – DOI 10.23681/426826. – Текст : электронный.
- Солнцева, Н. В. Управление в педагогической деятельности : учебное пособие : [16+] / Н. В. Солнцева. – 4-е изд., стер. – Москва : ФЛИНТА, 2024. – 116 с. – Режим доступа: по подписке. – URL: https://biblioclub.ru/index.php?page=book&id=115131. – ISBN 978-5-9765-0861-3. – Текст : электронный.
- Торосян, В. Г. История педагогики и образования : учебник / В. Г. Торосян. – Москва ; Берлин : Директ-Медиа, 2015. – 499 с. – Режим доступа: по подписке. – URL: https://biblioclub.ru/index.php?page=book&id=363007. – Библиогр. в кн. – ISBN 978-5-4475-2579-8. – DOI 10.23681/363007. – Текст : электронный.
- Управление образовательными системами: Учебное пособие /Под ред. В.С. Кукушина. – Москва: ИКЦ «МарТ»; Ростов н/Д: Издательский центр «МарТ»,2013. – 464 с. (Серия «Педагогическое образование») и др.
- Федорова Л.А. Сборник основных нормативных правовых документов для работников органов управления образованием. – 2-е изд., испр. и доп.. – М.: АРКТИ, 2014.-64
- Циглер, Т. История педагогики / Т. Циглер ; ред. С. А. Ананьин ; пер. Е. Цитрон, А. Карнаухов. – Репр. изд. 1911 г. – Москва : Директ-Медиа, 2014. – 510 с. – Режим доступа: по подписке. – URL: https://biblioclub.ru/index.php?page=book&id=88240. – ISBN 978-5-4458-9656-2. – Текст : электронный.
- Штифанова, Е.В. Педагогика творческого образования : учебник / Е.В. Штифанова, А.В. Киселева, Н.С. Солопова ; Министерство образования и науки Российской Федерации, Федеральное государственное бюджетное образовательное учреждение высшего образования «Уральский государственный архитектурно-художественный университет» (УрГАХУ). - Екатеринбург :Архитектон, 2018. - 234 с. : ил. - Библиогр.: с. 200-208. - ISBN 978-5-7408-0238-1 ; То же [Электронный ресурс]. - URL: http://biblioclub.ru/index.php?page=book&id=498301
Программное обеспечение и Интернет-ресурсы
- «Университетская библиотека onlin»:www.biblioclub.ru
- Библиотеки России http://biblio.ru
- Государственная научная педагогическая библиотека имени К.Д. Ушинского http://www.gnpbu.ru
- Педагогическая библиотека http://www.pedlib.ru/Books
- Портал ВСЕОБУЧ - все об образовании http://www.edu-all.ru
- Российская государственная библиотека http://www.rsl.ru
- Российский общеобразовательный портал http://www.school.edu.ru
- Федеральный портал «Российское образование» http://www.edu.ru
- Электронно-библиотечная система издательства «Лань»: http://e.lanbook.com
Прикладная экология
ПРОГРАММА
вступительного испытания
для поступающих в магистратуру по направлению подготовки
05.04.06 «Экология и природопользование»
программа (профиль)
«Инженерно-экологические изыскания»
ОБЩИЕ ПОЛОЖЕНИЯ
Вступительные испытания предназначены для определения практической и теоретической подготовленности поступающего в магистратуру и проводятся с целью определения соответствия знаний умений и навыков требованиям обучения магистратуры по направлению подготовки 05.04.06 «Экология и природопользование» (магистратура). Программа составлена в соответствии с требованиями федерального государственного образовательного стандарта высшего профессионального образования.
Вступительные испытания в магистратуру проводят экзаменационные комиссии, назначенные председателем приёмной комиссии УУНиТ.
ПРОЦЕДУРА ВСТУПИТЕЛЬНОГО ИСПЫТАНИЯ
Дата и время проведения вступительного испытания и консультации определяются расписанием вступительных испытаний, которое утверждается председателем приемной комиссии.
Перед вступительным испытанием для поступающих проводится консультация по содержанию программы испытания, критериям оценки, предъявляемым требованиям, правилам поведения на испытании.
Форма вступительного испытания (в соответствии Положением о вступительных испытаниях УУНИТ): тестирование.
Вступительные испытания в виде электронного тестирования проводятся в соответствии с программами вступительных испытаний, утверждаемых председателем предметной комиссии.
Вступительные испытания в форме тестирования включают вопросы как закрытого, так и открытого типа, а также задания в аудио- и видеоформатах.
Составление вариантов экзаменационных заданий в форме электронных тестов осуществляется ответственным секретарем приемной комиссии университета.
Из вариантов экзаменационных заданий формируются комплекты вопросов-тестов.
Компоновку комплектов вопросов-тестов ответственный секретарь, заместитель ответственного секретаря производят до вступительных испытаний.
Тест содержит 40 тестовых вопросов.
Результаты испытаний оцениваются по 100 бальной шкале.
Абитуриент, не согласный с оценкой, полученной на ВИ и (или) в связи с нарушением процедуры проведения ВИ имеет право подать апелляцию. Процедура подачи и рассмотрения апелляции регламентируется Положением об апелляционной комиссии УУНиТ.
КРИТЕРИИ ОЦЕНИВАНИЯ ОТВЕТА
Критериями оценки экзаменационного ответа, поступающего в магистратуру являются полнота, логичность, доказательность, прочность, осознанность знаний и теоретическая обоснованность суждений, самостоятельность в интерпретации информации, практическая направленность, уровень овладения профессиональными умениями менеджера и др. В случае тестирования является правильные ответы на тестовые задания.
При проверке количество первичных баллов переводится в итоговую 100 балльную шкалу через информационную платформу университета.
СОДЕРЖАНИЕ РАЗДЕЛОВ И ТЕМ ПРОГРАММЫ ВСТУПИТЕЛЬНОГО ИСПЫТАНИЯ
Промышленная экология
- Роль промышленных предприятий в загрязнении окружающей среды
- Иерархическая организация производственных процессов
- Критерии оценки эффективности производства
- Развитие экологически чистого производства
- Создание принципиально новых и реконструкция существующих производств
- Основные промышленные методы очистки отходящих газов
- Основные промышленные методы очистки сточных вод
- Основные промышленные методы переработки и использования отходов производства и потребления
- Нормативы качества санитарных и защитных зон. Различные уровни и определения санитарно-защитной зоны (СЗЗ).
- Водоохранная зона объекта и зона санитарной охраны предприятия.
- Нормативы качества воздуха, их разработка и списки установленных величин. Справочные источники информации.
- Предельно-допустимая концентрация вредного вещества (ПДК): среднесуточная и максимально-разовая. Особенности воздуха рабочей и санитарно-курортной зоны.
- Предельно-допустимая концентрация вредного вещества (ПДК): среднесуточная и максимально-разовая. Особенности воздуха рабочей и санитарно-курортной зоны.
- Эффект селективного действия или эффект суммации загрязняющих веществ. Комплексные оценки загрязнения воздушной среды – индекс загрязнения атмосферы (ИЗА).
- Нормативы качества воды при определении ее пригодности для конкретных видов деятельности.
- Качество воды и питьевая вода в соответствии с Санитарными правилами и нормами.
- Лабораторно-аналитическое обеспечение деятельности в области обращения с отходами.
- Нормирование в области обращения с отходами.
- Лицензирование деятельности по сбору, использованию, обезвреживанию, транспортировке, размещению отходов.
- Уменьшение образования, использование, утилизация, обезвреживание, размещение, захоронение и уничтожение отходов
- Организация управления потоками отходов на уровне субъекта Российской Федерации, муниципального образования, промышленного предприятия.
- Производственный контроль в области обращения с отходами.
- Ответственность за нарушение законодательства Российской Федерации в области обращения с отходами
Сельскохозяйственная экология
- Природно-ресурсный потенциал сельскохозяйственного производства
- Ресурсные циклы
- Сельскохозяйственные системы
- Почвеннобиотический комплекс, как основа агроэкосистемы
- Функционирование агроэкосистем в условиях техногенеза
- Биогенное загрязнение вод в условиях интенсификации аграрного производства
- Экологические проблемы химизации
- Экологические стрессы
- Животноводческие комплексы и охрана природы
- Нормативы качества почв. Почвы населенных мест и сельскохозяйственных угодий.
- Показатели оценки санитарного состояния почв населенных мест. ПДК
- Почвы – комплексный показатель. Суммарный показатель загрязнения почв.
- Виды водопользования. Лимитирующий признак вредности для различных водных источников.
- Индекс загрязнения воды (ИЗВ). Классы качества вод.
- Водный кодекс. Предельно допустимое вредное воздействие (ПДВВ) на водные объекты.
Городская экология
- Экологические характеристики городов
- Взаимодействие городов с биотическими компонентами биосферы.
- Экологическое равновесие в городской среде: причины нарушения и методы обеспечения
- Методы охраны окружающей среды в городах, решение экологических задач при градостроительном проектировании
- Методы оценки состояния окружающей городской среды и воздействия промышленности и транспорта на окружающую среду.
- Ресурсосбережение в городском хозяйстве. Основные принципы рационального природопользования
- Приземная концентрация. Неравномерность выбросов. Временно согласованные выбросы (ВСВ).
- Бытовой и производственный шум. Источники шума.
- Уровень шума и период воздействия. Предельно допустимые уровни шумового воздействия для различных видов трудовой деятельности.
- Нормативы электромагнитного загрязнения. Электромагнитный фон. Электромагнитные аномалии.
- Временно допустимые концентрации – ВДК, ориентировочный безопасный уровень воздействия (ОБУВ) и ориентировочно- допустимая концентрация (ОДК) как виды нормирования при недостаточной информации о загрязняющих веществах.
- Нормативы выбросов. Предельно допустимый выброс (ПДВ).
- Источники загрязнения атмосферы. Рассеивание вредных веществ.
- Нормативы сбросов. Предельно допустимый сброс (ПДС).
- Временно согласованные сбросы (ВСС). Ассимилирующая способность водного объекта.
- Солнечная активность и магнитные бури. Создание искусственных электромагнитных полей (ЭМП).
- Предельно допустимый уровень воздействия и время пребывания в зоне воздействия. Санитарно-защитная зона высоковольтных линий.
- Методы и средства снижения выбросов и сбросов загрязняющих веществ в атмосферный воздух.
- Методы и средства снижения выбросов и сбросов загрязняющих веществ в водные объекты.
- Федеральный классификационный каталог отходов.
- Государственный реестр объектов размещения отходов.
- Паспортизация отходов.
- Банк данных об отходах и технологиях их использования и обезвреживания.
- Государственная информационная система учета твердых коммунальных отходов.
Химическая экология
- Формы загрязнения (загрязнителей) – классификация, источники.
- Вещества-загрязнители и их влияние на окружающую среду.
- Токсичность.
- Общие характеристики источников загрязнения и их связь с различными видами антропогенной деятельности.
- Общие закономерности распределения химических загрязняющих веществ в биосфере.
- Экологическое нормирование.
- Основные понятия: ПДК и индекс загрязнения.
- Виды экологического стандарта ПДК санитарной оценки разных сред
- Строение, состав и изменение атмосферы. Изменение климата – следствие «парникового эффекта».
- Гипотезы антропогенного изменения климата.
- «Озоновый щит» и «озоновая дыра».
- Вода как вещество, ресурс и условие жизни.
- Чистая и загрязненная вода.
- Эвтрофикация водоемов.
- Проблемы водных ресурсов: загрязнение поверхностных вод, загрязнение подземных вод.
- Источники загрязнения гидросферы.
- Отходы производства и потребления.
- Водохранилища и гидротехнические сооружения.
- Дождевые и талые воды.
- Естественные осадки из атмосферы.
- Загрязнители воды: металлы (ртуть, свинец, кадмий), органические вещества (нефть, ПАВ, ФОС, ХОС, синтетические полимеры).
Демоверсия экзаменационного варианта
пробный тест
Выберите один правильный ответ:
Проектирование базируется:
1. СНиП
2. Постановление администрации сельского поселения
3. Постановление администрации городского поселения
4. На данных опроса населения
СПИСОК ЛИТЕРАТУРЫ
- Гаджимусаева, З. Г. Техногенные системы и экологический риск : учебное пособие / З. Г. Гаджимусаева, Т. Н. Ашурбекова. — Махачкала : ДагГАУ имени М.М.Джамбулатова, 2022. — 128 с. — Текст : электронный // Лань : электронно-библиотечная система. — URL: https://e.lanbook.com/book/293759
- Техногенные системы и экологический риск : учебное пособие / В. А. Халикова, Е. Е. Степаненко, Т. Г. Зеленская [и др.]. — Ставрополь : СтГАУ, 2022. — 160 с. — Текст : электронный // Лань : электронно-библиотечная система. — URL: https://e.lanbook.com/book/360161
- Степанов, А. М. Общая экология: Принципы и методы экологического нормирования атмосферных выбросов металлургических производств : учебное пособие / А. М. Степанов, А. З. Разяпов. — Москва : МИСИС, 2001. — 64 с. — Текст : электронный // Лань : электронно-библиотечная система. — URL: https://e.lanbook.com/book/116576
- Ефремов, И. В. Техногенные системы и экологический риск : учебное пособие / И. В. Ефремов, Н. Н. Рахимова. — Оренбург : ОГУ, 2016. — 170 с. — ISBN 978-5-7410-1503-2. — Текст : электронный // Лань : электронно-библиотечная система. — URL: https://e.lanbook.com/book/98095
- Волков, А. М. Правовые основы природопользования и охраны окружающей среды: учебник и практикум для академического бакалавриата — М.: Издательство Юрайт, 2019. — Режим доступа: www.biblio-online.ru/book/9DC7F1E1-9622-412F-8F32-A61170D092DE
- Саркисов, О.Р. Экологическая безопасность и эколого-правовые проблемы в области загрязнения окружающей среды: учебное пособие - Москва : Юнити-Дана, 2015. - URL: http://biblioclub.ru/index.php?page=book&id=118197
- Белик, И. С. Экономика природопользования и управление эколого-экономической безопасностью : учебное пособие / И. С. Белик, С. В. Рачек, Н. В. Стародубец. — Екатеринбург : , 2018. — 136 с. — ISBN 978-5-94614-449-0. — Текст : электронный // Лань : электронно-библиотечная система. — URL: https://e.lanbook.com/book/121377
- Гридэл, Т.Е. Промышленная экология : учебное пособие / Т.Е. Гридэл, Б.Р. Алленби ; пер. С.Э. Шмелев. - Москва : Юнити-Дана, 2015. - URL: http://biblioclub.ru/index.php?page=book&id=117052
- Иванов, А. И. Оценка воздействия на окружающую среду и экологическая экспертиза : учебное пособие / А. И. Иванов, С. А. Сашенкова. — Пенза : ПГАУ, 2016. — 122 с. — Текст : электронный // Лань : электронно-библиотечная система. — URL: https://e.lanbook.com/book/142059
- Козачек, А.В. Теория и практика нормативного расчёта величин загрязнения окружающей среды на автомобильном транспорте и транспортных предприятиях : учебное пособие - Тамбов : Издательство ФГБОУ ВПО «ТГТУ», 2015. - URL: http://biblioclub.ru/index.php?page=book&id=444944
- Ларичев, Т.А. Утилизация, переработка и захоронение промышленных отходов. Опорные конспекты / Т.А. Ларичев. - Кемерово : Кемеровский государственный университет, 2013. - URL: http://biblioclub.ru/index.php?page=book&id=232762
- Москаленко, А. П. Управление природопользованием. Механизмы и методы : учебное пособие / А. П. Москаленко, С. А. Москаленко, Р. В. Ревунов. — Санкт-Петербург : Лань, 2022. — 392 с. — ISBN 978-5-8114-3563-0. — Текст : электронный // Лань : электронно-библиотечная система. — URL: https://e.lanbook.com/book/206855
- Основы природопользования: учебное пособие / Е. Е. Степаненко, С. В. Окрут, Т. Г. Зеленская [и др.]. — Ставрополь : СтГАУ, 2022. — 76 с. — Текст : электронный // Лань : электронно-библиотечная система. — URL: https://e.lanbook.com/book/360089
- Подготовка эколога к деятельности по обращению с отходами производства и потребления : учебное пособие / составитель Т. А. Федорова. — Курган : КГУ, 2021. — 154 с. — ISBN 978-5-4217-0583-3. — Текст : электронный // Лань : электронно-библиотечная система. — URL: https://e.lanbook.com/book/177977
- Промышленная экология : практикум / авт.-сост. О.Г. Ларина. - Ставрополь : СКФУ, 2015. - URL: http://biblioclub.ru/index.php?page=book&id=458275
- Саркисов, О.Р. Экологическая безопасность и эколого-правовые проблемы в области загрязнения окружающей среды: учебное пособие - Москва : Юнити-Дана, 2015. - URL: http://biblioclub.ru/index.php?page=book&id=118197
- Симонян, Л. М. Экологическая экспертиза: оценка воздействия на окружающую среду : учебное пособие / Л. М. Симонян, А. А. Алпатова, Н. В. Демидова. — Москва : МИСИС, 2018. — 74 с. — ISBN 978-5-906953-58-2. — Текст : электронный // Лань : электронно-библиотечная система. — URL: https://e.lanbook.com/book/115298
- Сытник, Н. А. Управление обращением с отходами : учебник / Н. А. Сытник. — Керчь : КГМТУ, 2022. — 132 с. — Текст : электронный // Лань : электронно-библиотечная система. — URL: https://e.lanbook.com/book/261632
- Электронная библиотечная система «ЭБ УУНиТ» - https://elib.bashedu.ru//
- Электронная библиотечная система издательства «Лань» - https://e.lanbook.com/
- Электронная библиотечная система «Университетская библиотека онлайн» - https://biblioclub.ru/
- Научная электронная библиотека - elibrary.ru (доступ к электронным научным журналам) - https://elibrary.ru/projects/subscription/rus_titles_open.asp
- Электронный каталог Библиотеки УУНиТ - http://www.bashlib.ru/catalogi/
- Электронная библиотека диссертаций РГБ -http://diss.rsl.ru/
- Государственная публичная научно-техническая библиотека России. База данных международных индексов научного цитирования SCOPUS - http://www.gpntb.ru.
- Государственная публичная научно-техническая библиотека России. База данных международных индексов научного цитирования WebofScience - http://www.gpntb.ru
Психология личности
ПРОГРАММА
вступительного испытания
для поступающих в магистратуру по направлению подготовки
37.04.01 «Психология»
программа (профиль)
«Клиническая психология»
ОБЩИЕ ПОЛОЖЕНИЯ
Вступительные испытания предназначены для определения практической и теоретической подготовленности поступающего в магистратуру и проводятся с целью определения соответствия знаний умений и навыков требованиям обучения магистратуры по направлению подготовки 37.04.01 «Психология» (магистратура). Программа составлена в соответствии с требованиями федерального государственного образовательного стандарта высшего профессионального образования.
Вступительные испытания в магистратуру проводят экзаменационные комиссии, назначенные председателем приёмной комиссии УУНиТ.
ПРОЦЕДУРА ВСТУПИТЕЛЬНОГО ИСПЫТАНИЯ
Дата и время проведения вступительного испытания и консультации определяются расписанием вступительных испытаний, которое утверждается председателем приемной комиссии.
Перед вступительным испытанием для поступающих проводится консультация по содержанию программы испытания, критериям оценки, предъявляемым требованиям, правилам поведения на испытании.
Форма вступительного испытания (в соответствии Положением о вступительных испытаниях УУНИТ): устно-письменная.
Вступительные испытания в виде устно-письменного экзамена проводятся в соответствии с программами вступительных испытаний, утверждаемых председателем приемной комиссии.
Экзаменационные билеты включают два вопроса по направлению подготовки.
В аудитории, где проводится вступительное испытание в устно-письменной форме, не может находиться одновременно более 6 человек. Нахождение в аудитории посторонних лиц не допускается.
Абитуриенту предоставляется право готовиться к ответу в течение 30 минут.
Абитуриенту предоставляется право ответа на экзаменационные вопросы в течение 20-25 минут.
В процессе сдачи вступительного испытания абитуриенту могут быть заданы дополнительные вопросы, как по содержанию экзаменационного билета, так и по любым разделам предмета в пределах программы вступительного испытания.
Абитуриент, не согласный с оценкой, полученной на ВИ и (или) в связи с нарушением процедуры проведения ВИ имеет право подать апелляцию. Процедура подачи и рассмотрения апелляции регламентируется Положением об апелляционной комиссии УУНиТ.
КРИТЕРИИ ОЦЕНИВАНИЯ ОТВЕТА
Критериями оценки экзаменационного ответа поступающего в магистратуру являются: полнота, логичность, доказательность, прочность, осознанность знаний и теоретическая обоснованность суждений, самостоятельность в интерпретации информации, практическая направленность, уровень овладения профессиональными умениями и др.
Результаты вступительного испытания определяются по 100-балльной шкале, разброс баллов представлен ниже в таблице:
|
№ |
Критерии оценивания |
Оценка |
|
1 |
Дан полный развернутый ответ на теоретический вопрос:
|
85-100 баллов «отлично» |
|
2 |
Дан в целом правильный ответ на теоретический вопрос:
|
67-84 балла «хорошо» |
|
3 |
Дан в основном правильный ответ на теоретический вопрос:
|
50-66 баллов «удовлетворительно» |
|
4 |
|
0-49 баллов «неудовлетворительно» |
СОДЕРЖАНИЕ РАЗДЕЛОВ И ТЕМ ПРОГРАММЫ
ВСТУПИТЕЛЬНОГО ИСПЫТАНИЯ
Психология личности
- Психология личности как раздел психологии.
Психология как гуманитарная наука. Психология как наука о психике и психических явлениях. Предмет и объект современной психологии. Отрасли психологии. Психология личности как раздел психологии, изучающий личность, её структуру и различные индивидуально-психологические особенности. Личность как объект исследования современной социологии, философии, психологии, педагогики и других наук.
- Методы исследования личности в психологии. Классификация методов. Критерии выбора методов исследования.
Понятие о методе и методологии. Методология и методы психологии. Сложность психических явлений и проблемность выбора методов их исследования. Собственные и заимствованные методы исследования в психологии, общенаучные и конкретно-научные методы. Классификация методов исследования. Классификация методов исследования по Б.Г. Ананьеву. Организационные (сравнительный, лонгитюдный, метод поперечных срезов). Эмпирические: наблюдение (виды наблюдения), эксперимент: лабораторный, естественный, констатирующий и формирующий. Основные требования к организации наблюдения. Основные преимущества (отличительные особенности) эксперимента. Психодиагностические методы. Тесты и их варианты. Метод опроса. Беседа и интервью как разновидность опроса. Основные требования к проведению беседы, интервью. Анкеты. Метод изучения продуктов деятельности. Близнецовый и психобиографический методы в психологии. Достоинства и недостатки каждого метода, оптимальные условия его применения в психологических исследованиях. Критерии выбора методов исследования. Методы обработки данных (качественный и количественный анализ). Методы интерпретации (структурный и генетический). Принципы психологии. Этапы научного исследования.
- Понятия человек, индивид, личность и индивидуальность в психологии. Личность как субъект общественных отношений.
Понятия человек, индивид, личность и индивидуальность в психологии. Человек как социально-биологическое существо, воплощающее собой высшую ступень в эволюции жизни и являющееся субъектом общественно-исторической деятельности и общении.
Основные характеристики человека: наличие сознания, особое строение организма, способность к трудовой деятельности. Индивид как отдельный человек, как уникальное сочетание его врожденных и приобретенных свойств. Индивидуальность как конкретный человек, который отличается от других людей уникальным сочетанием психических, физиологических и социальных особенностей, проявляющихся в поведении, деятельности и общении. Личность как конкретный человек, который является носителем сознания, способный к познанию, переживаниям, преобразованию окружающего мира и строящий определенные отношения с этим миром и с миром других личностей. Личность как субъект общественно-исторического и онтогенетического развития. Личность как воплощение в конкретном человеке социальных качеств, которые приобретаются в процессе деятельности и общения с другими индивидами.
- Проблема структуры личности и направленности личности.
Проблема структуры личности. Разные подходы к определению структуры личности. Структура личности по С.Л. Рубинштейну.
Проблема направленности личности в психологии.
Проблема типологии личности. Проблема индивидуально-психологических различий. Проблема возрастно-половых различий.
Специфика мотивационно-потребностной сферы личности.
Виды мотивов и потребностей. Их классификации. Установки, ценности, интересы личности.
- Основные зарубежные направления в психологии личности.
Психоаналитическая теория личности З. Фрейда. Индивидуальная психология А. Адлера. Психоаналитическая теория невротических конфликтов К. Хорни. Аналитическая теория личности К. Г. Юнга. Эго-психоанализ Э.Эриксона. Трансакционный анализ Э. Берна. Гуманистическая психология: гуманистическая теория личности А. Маслоу. Человеко-центрированный подход К. Роджерса.
- Проблема личности в отечественной психологии XX века.
Основы психологических исследований в отечественной психологии в дореволюционной России (А.Ф. Лазурский, В.М. Бехтерев и М.Я. Басов.) Работы по теории личности в СССР в психологии: В.С. Мерлин, Л.С. Выготский, А.Н. Леонтьев, С.Л. Рубинштейн, К.А. Абульханова, А.В. Петровский, В.А. Петровский, Б.А. Сосновский, А.Г. Ковалёв, В.Н. Мясищев и К.К. Платонов. Концепция личности А.Г. Ковалёва.
- Самооценка и ее виды. Уровень притязаний личности.
Самооценка как оценивание личностью самой себя, своих возможностей и способностей. Уровень притязаний. Уровень притязаний личности как стремление к достижению цели той степени сложности, на которую человек считает себя способным.
Виды самооценки и уровня притязаний. Завышенная, заниженная и адекватная самооценка. Характеристика людей, обладающих реалистическим уровнем притязаний: уверенность, настойчивость в достижении своих целей, большая продуктивность и т.д.
Расхождение между притязаниями и реальными возможностями человека как причина неадекатного поведения человека, эмоциональных срывов, повышенной тревожности. Взаимосвязь уровня притязаний, самооценки личности и мотивации достижения успехов в различных видах деятельности.
- Самосознание личности и ее жизненный путь.
Самосознание личности и ее жизненный путь. Условия личностной самореализации. Понятие и сформированность представлений личности о себе. Понятие о «Я-образе». Сила «Я» и самоуважение. Компетентность. Коммуникативная компетентность. Условия формирования компетентности. Кризисы и конфликты в жизни человека. Способы разрешения. Конструктивное преодоление личностных конфликтов и кризисов. Самовоспитание и самопознание.
- Понятие о деятельности в психологии. Структура деятельности. Основные виды деятельности. Личность и деятельность.
Деятельность как процесс активного взаимодействия субъекта с объектом, во время которого субъект удовлетворяет какие-либо свои потребности, достигает цели. Деятельностью как любая целенаправленная активность человека, которой он сам придает некоторый смысл. Структура деятельности. Мотивы, потребности, цель, действия, операции в структуре деятельности. Виды деятельности: игровая, учебная, трудовая. Понятие о ведущем виде деятельности. Роль деятельности в развитии личности.
- Познавательная сфера личности.
Понятие об ощущении и восприятии. Основные свойства и виды восприятия и ощущений.
Понятие о памяти. Виды и процессы памяти и их характеристика. Понятие о мышлении. Виды мышления. Основные логические формы мышления и их характеристика.
Понятие о воображении. Виды воображения. Процессы создания образов воображения. Воображение и творчество.
Понятие о внимании в психологии. Виды внимания. Свойства внимания и их характеристика. Управление вниманием учащихся на уроке
- Эмоционально-волевая сфера личности.
Понятие эмоций, чувств их функции и проявления. Отличия между эмоциями и чувствами. Базисные эмоции. Основные элементы эмоциональной сферы личности. Психологические характеристики стресса. Механизмы регуляции эмоциональных состояний.
Воля. Волевой акт. Психологические особенности воли на разных возрастных этапах развития личности.
- Индивидуально-психологические особенности личности. Темперамент.
Понятие о темпераменте и теории темперамента. Психологические свойства темперамента. Темперамент как свойство личности. Определение темперамента по Б.М. Теплову. Типы ВНД и темперамент. Свойства темперамента. Психологические описания типов, темперамента.
Темперамент и индивидуальный стиль деятельности личности. Темперамент и характер. Темперамент и способности человека. Учет темперамента в обучении и воспитании.
- Индивидуально-психологические особенности личности. Способности.
Понятие «задатки», «способности». Характеристика общих и специальных способностей. Виды и уровни способностей. Понятие «одаренность», «талант». Развитие способностей личности. Способности и интересы личности.
- Индивидуально-психологические особенности личности. Характер. Черты характера. Типология характеров.
Общее представление о характере, определение характера. Характер как система наиболее устойчивых черт личности, проявляемых в различных видах деятельности, в общении и взаимодействии человека с окружающими людьми. Место характера в общей структуре личности. Характер и темперамент человека. Характер и воля человека. Мотивация поведения и характер. Характер человека и защитные механизмы. Характер человека и его взаимоотношения с людьми. Типология характеров. Общие основания для построения типологии характера. Система акцентуированных характеров подростков по А.Е Личко. Акцентуированные типы характеров по К.Леонгарду. Формирование и развитие характера. Понятие о сензитивном периоде формирования характера. Роль кризисов возрастного развития и жизненных трудностей в изменении характера человека. Проблема перевоспитания характера.
- Роль общения в формировании личности.
Общение как многоплановый процесс установления и развития контактов между людьми (межличностное общение) и группами (межгрупповое общение), порождаемый потребностями совместной деятельности. Функции общения. Роль общения в формировании личности Структура общения: коммуникация (обмен информацией), интеракция (обмен действиями) и социальная перцепция (восприятие и понимание партнера). Виды общения.
- Высшие психические функции личности, их строение, свойства, развитие. Культурно-историческая концепция психического развития личности Л.С. Выготского.
Понятие о высших психических функциях (словесно-логическое мышление, речь, логическая память, произвольное внимание и т. п., воображение) как специфически человеческой форме психики. Высшие психические функции не как продукт биологической эволюции, а социально-исторических условий. Высшие психические функции как сложное системное образование Строение высших психических функций. Основные характеристики высших психических функций: социальность, опосредованность и произвольность Развития высших психических функций в филогенезе Интериоризация. Опосредованность развития человеческой психики психологическими орудиями. Стадии превращения деятельности из интерпсихической в интрапсихическую.
Психология развития личности
- Понятие развития в философии и психологии. Развитие психики и развитие личности. Типы развития. Закономерности психического развития.
Понятие развития. Определение психического развития и развитие личности. Типы развития. Механизмы развития личности. Основные закономерности психического развития. Понятие сенситивности. Отклонения в психическом развитии. Общие представления о движущих силах психического развития ребенка. Теории психического развития.
- Общие представления о факторах, условиях психического развития личности в зарубежной и отечественной психологии. Биогенетические и социогенетические концепции психического развития. Движущие силы развития.
Биогенетические и социогенетические концепции развития. Концепция рекапитуляции С.Холла. Вклад А.Гезелла в развитие детской психологии. Теория К.Бюллера о трех ступенях детского развития. Теория конвергенции двух факторов в психическом развитии (наследственности и среды) В.Штерна. Теория психоанализа З.Фрейда. Значение биогенетического подхода в понимании закономерностей психического развития. Понятие о преформированном и непреформированном типах развития. Социологичексий (культурологическим) подход к изучению психичексого развития человека. Идеи Э.Дюркгейма о роли подражания в психическом развитии. Французская генетическая психология. Диалектические идеи А.Валлона и другие концепции. Американская школа культурной антропологии. Концепция научения в бихевиоризме и методы исследования психики (Дж.Уотсон, Э.Торндайк, Б.Скиннер). Роль среды в психическом развитии ребенка и проблема приобретения нового опыта. Современное состояние проблемы соотношения наследственности и среды, биологического и социального.
- Периодизация психического развития личности по Эльконину. Проблема кризисов возрастного развития в психологии.
Понятие возраста. Основные структурные компоненты возраста. Необходимость и значение выделения определенных периодов в психическом развитии ребенка. Типология и общая характеристика периодизаций психического развития. Периодизации когнитивного (умственного) развития (Ж.Пиаже, А.Валлон). Периодизации нравственного (морального) развития личности (Ж.Пиаже, Л.Кольберг, Гиллиган). Периодизации психосоциального развития личности (Э.Эриксон, А.Петровский). Периодизации психосексуального развития (З.Фрейд, А.Фрейд, Ю.М.Орлов).
Проблема периодизации в работах Л.С. Выготского. Проблема периодизации психического развития в работах Д.Б. Эльконина.. Закон чередования типов деятельности. Идеи М.И. Лисиной, Л.И. Божович, Д.И. Фельдштейна, В.В. Давыдова и их учет в характеристиках периодов психического развития. Периодизация психического развития по Д.Б. Эльконину, критерии периодизации: новообразования возраста, социальная ситуация развития, ведущий тип деятельности, возрастные кризисы. Стабильные и критические возраста, значение кризисов в психическом развитии ребенка. Понятие ведущей деятельности (А.Н.Леонтьев, Д.Б.Эльконин). Взаимосвязь обучения, воспитания и развития в онтогенезе.
Чередование стабильных и кризисных периодов развития. Возрастные кризисы как некие временные периоды в развитии человека, при которых наблюдаются резкие психические изменения. Основная характеристика кризисных периодов развития. Кризис новорожденности. Кризис одного года. Кризис трех лет. Симптомы кризиса трехлетнего возраста: негативизм, упрямство, обесценивание старых правил и норм поведения, привязанностей к тем или иным вещам и игрушкам, строптивость, деспотизм, своеволие. Кризис семи лет. Кризис подросткового возраста (пубертатного). Положительное и негативное содержание кризисов.
- Особенности психического развития личности ребенка до поступления в школу.
Социальная ситуация психического развития ребенка в дошкольном возрасте. Игра – ведущая деятельность ребенка в дошкольном возрасте. Теории детской игры. Социально-историческое происхождение, структура и функции детской игры. Основные закономерности развития игровой деятельности. Значение игры для психического развития ребенка. Другие виды деятельности дошкольника: изобразительная деятельность, элементарный труд и учение. Их роль в развитии психических процессов и личности ребенка.
Развитие психических процессов у дошкольников. Развитие памяти, восприятия, мышления и речи в дошкольном возрасте. Проблема сенсорного воспитания. Формирование умственных действий и понятий в дошкольном возрасте. Проблема эгоцентрической речи в психологии. Основные психические новообразования, характеризующие границу дошкольного и младшего школьного возраста: воображение, особенности самосознания, соподчинение мотивов, возникновение произвольного поведения. Проблема готовности ребенка к обучению в школе. Психологическая характеристика готовности к школе. Критерии и виды готовности. Методы диагностики готовности к обучению в школе.
- Развитие личности в младшем школьном возрасте. Психологические особенности младшего школьного возраста. Готовность к обучению в средней школе.
Социальная ситуация психического развития ребенка в младшем школьном возрасте. Готовность ребенка к обучению в школе. Социальная позиция школьника.
Общие условия развития в младшем школьном возрасте. Учение как ведущая деятельность. Место других видов деятельности в психическом развитии младшего школьника: игра, спорт, коллекционирование, изобразительное искусство, театр, труд и т.п. Социальная жизнь младшего школьника. Особенности общения со сверстниками. Психология отношений внутри и вне классной жизни. Взаимоотношения с учителем.
Особенности познавательных процессов младших школьников и условия их развития. Развитие личности младшего школьника. Проблема психогенной школьной дезадаптации. Виды и характер психологической помощи младшим школьникам. Новообразования младшего школьного возраста. Проблема перехода от младшего школьного к подростковому возрасту. Готовность к обучению в средней школе.
- Развитие личности в подростковом возрасте. Психологические особенности подросткового возраста.
Анатомо-физиологические и психологические предпосылки перехода к подростковому возрасту. Индивидуальные и половые различия в темпах и характере физического, психологического и социального развития подростков. Чувство взрослости как показатель основного новообразования подросткового возраста и как форма самосознания. Формы проявления чувства взрослости.
Возникновение нового типа общения со сверстниками как особого типа деятельности. Возникновение интимного круга общения. Роль нового типа общения в формировании самосознания и самооценки. Дружба у подростков. Ориентация на нормы коллективной жизни. Трудности взаимоотношения со взрослыми. Проблема конфликта в подростковом возрасте. Критическое отношение к окружающим.
Развитие познавательных процессов: понятийное мышление, творческое воображение, произвольное внимание и память. Особенности потребности в общении, самоутверждении и признании. Подростки группы риска. Акцентуации характера в подростковом возрасте.
- Развитие личности в период ранней юности. Психологические особенности юношеского возраста
Социальная ситуация развития старшего школьника, порог взрослой жизни. Половое созревание и юношеская сексуальность, ухаживание и любовь, подготовка к браку и ранние браки как способ самоутверждения во взрослой жизни. Проблема юношеского максимализма.
Новообразования возраста: Я-образ, профессиональное самоопределение мировоззрение, самостоятельность суждений, повышение требований к моральному облику человека, качественные изменения в самосознании, стремление к самовоспитанию. Мотивы и ценностные ориентации в юношеском возрасте. Жизненные цели и психологическое здоровье. Юноши и девушки группы риска.
- Развитие личности в период зрелости и старости. Психологические особенности зрелости и старости.
Разные подходы к периодизации зрелости и стрости. Основные критерии зрелости. Психологические особенности молодости (первой фазы зрелости). Задачи молодого возраста. Кризис молодости (29-33 г). Психологические особенности людей зрелого возраста. Кризисы зрелости, связанные с переосмыслением ценностей и целей жизни, появлением новых мотивов. Подходы к периодизация старческого возраста. Типологии старых людей. Изменения в личностной сфере старого человека. Особенности адаптивной старости.
Демоверсия экзаменационного варианта
МИНИСТЕРСТВО НАУКИ И ВЫСШЕГО ОБРАЗОВАНИЯ
РОССИЙСКОЙ ФЕДЕРАЦИИ
ФЕДЕРАЛЬНОЕ ГОСУДАРСТВЕННОЕ БЮДЖЕТНОЕ
ОБРАЗОВАТЕЛЬНОЕ УЧРЕЖДЕНИЕ ВЫСШЕГО ОБРАЗОВАНИЯ
«УФИМСКИЙ УНИВЕРСИТЕТ НАУКИ И ТЕХНОЛОГИЙ»
СТЕРЛИТАМАКСКИЙ ФИЛИАЛ
ФАКУЛЬТЕТ ПЕДАГОГИКИ И ПСИХОЛОГИИ
|
Вступительный экзамен в магистратуру |
УТВЕРЖДАЮ |
||
|
по направлению 37.04.01 Психология |
Директор СФ УУНиТ |
|
|
|
Программа: Клиническая психология |
___________ И.А. Сыров |
|
|
|
2025-2026 уч. год |
|
||
Экзаменационный билет № 1
- Понятия человек, индивид, личность и индивидуальность в психологии. Личность как субъект общественных отношений.
- Развитие личности в период ранней юности.
Заведующий кафедрой ППО _____________________ Р.М. Салимова
СПИСОК ЛИТЕРАТУРЫ
- Белашева, И. В. Психология кризисных состояний личности: учебное пособие (курс лекций) : направление подготовки 37.03.01 Психология : [16+] / И. В. Белашева, М. Л. Есаян, В. А. Мищенко ; Северо-Кавказский федеральный университет. – Ставрополь : Северо-Кавказский Федеральный университет (СКФУ), 2022. – 166 с. – Режим доступа: по подписке. – URL: https://biblioclub.ru/index.php?page=book&id=712179. – Текст : электронный.
- Габдулина, Л. И. Аксиологическая психология личности : теория и практика: учебное пособие / Л. И. Габдулина ; Южный федеральный университет. – Ростов-на-Дону ; Таганрог : Южный федеральный университет, 2017. – 142 с. : табл. – Режим доступа: по подписке. – URL: https://biblioclub.ru/index.php?page=book&id=493050 – Библиогр.: с. 127-133. – ISBN 978-5-9275-2231-6. – Текст : электронный.
- Гуревич, П. С. Психология личности: учебное пособие / П. С. Гуревич. – Москва: Юнити-Дана, 2017. – 560 с. – (Актуальная психология). – Режим доступа: по подписке. – URL: https://biblioclub.ru/index.php? page=book&id=685002 – ISBN 978-5-238-01588-0. – Текст : электронный.
- Ефремова О. И. Психология развития: учебное пособие для студентов педагогических институтов / О.И. Ефремова, Л.И. Кобышева; рец. И.В. Челышева, Т.Д. Молодцова, В.С. Шаповалова. – Москва; Берлин: Директ-Медиа, 2018. – 195 с. : ил., табл. – Режим доступа: по подписке. – URL: https://biblioclub.ru/index.php?page=book&id=486377 – Библиогр.: с. 186-189. – ISBN 978-5-4475-9662-0. – DOI 10.23681/486377. – Текст : электронный.
- Немов, Р. С. Психология : учебник : в 3 книгах : [16+] / Р. С. Немов. – Москва : Владос, 2023. – Книга 1. Общие основы психологии. – 689 с. : табл., схем. – Режим доступа: по подписке. – URL: https://biblioclub.ru/index.php?page=book&id=701700 – ISBN 978-5-907482-19-7 (Kн. 1). – ISBN 978-5-907433-98-4. – Текст : электронный.
- Нуркова, В. В. Общая психология [Электронный ресурс] : учебник для вузов/ В. В. Нуркова, Н. Б. Березанская.— Изд. 3-е, перераб. и доп. — Москва: Юрайт, 2019 .— 524 с. — (Бакалавр и магистр. Академический курс) .ISBN 978-5-534-02583-5 .— <URL: https://biblio-online.ru/viewer/ obschaya-psihologiya-431073.
- Обухова, Ю. В. Актуальные вопросы психологии личности : теория и практика: учебное пособие / Ю.В. Обухова; Южный федеральный университет. – Ростов-на-Дону; Таганрог: Южный федеральный университет, 2018. – 143 с.: ил. – Режим доступа: по подписке. – URL: https://biblioclub.ru /index.php?page=book&id=499912. – Библиогр.: с. 116-122. – ISBN 978-5-9275-2522-5. – Текст : электронный.
- Пирлик, Г. П. Возрастная психология: развитие ребенка в деятельности: учебное пособие: [16+] / Г. П. Пирлик, А. М. Федосеева ; Московский педагогический государственный университет. – Москва : Московский педагогический государственный университет (МПГУ), 2022. – 384 с. : ил., табл. – Режим доступа: по подписке. – URL: https://biblioclub.ru/index.php?page= book&id=701381 – Библиогр. в кн. – ISBN 978-5-4263-1091-9. – Текст : электронный.
- Психология развития личности: учебное пособие: [16+]/ И.В. Казакова, Н.Н. Князева, О.А. Кочеулова [и др.]; Омский государственный педагогический университет. – Омск: Омский государственный педагогический университет (ОмГПУ), 2020. – 200 с.: табл. – Режим доступа: по подписке. – URL: https://biblioclub.ru/index.php?page=book&id=616208 (дата обращения: 27.03.2025). – Библиогр. в кн. – ISBN 978-5-8268-2246-3. – Текст : электронный.
- Ступницкий, В. П. Психология : учебник / В. П. Ступницкий. – 6-е изд., стер. – Москва : Дашков и К°, 2024. – 516 с. – (Учебные издания для бакалавров). – Режим доступа: по подписке. – URL: https://biblioclub.ru/ index.php?page=book&id=711146. – Библиогр. в кн. – ISBN 978-5-394-05587-4. – Текст: электронный.
- Фрондзей С.Н. Общая психология : учебное пособие : [16+] / С.Н. Фрондзей ; Южный федеральный университет. – Ростов-на-Дону ; Таганрог : Южный федеральный университет, 2019. – 103 с. : ил. – Режим доступа: по подписке. – URL: http://biblioclub.ru/index.php? page=book&id=598552. – Библиогр. в кн. – ISBN 978-5-9275-3288-9. – Текст : электронный.
- Харламенкова, Н. Е. Психология личности : от методологии к научному факту / Н. Е. Харламенкова ; Институт психологии Российской академии наук. – Москва : Институт психологии РАН, 2023. – 405 с. : табл. – Режим доступа: по подписке. – URL: https://biblioclub.ru/index.php? page=book&id=712568. – Библиогр. в кн. – Текст : электронный.
Программное обеспечение и Интернет-ресурсы
- Университетская библиотека onlin:www.biblioclub.ru
- Библиотеки России http://biblio.ru
- Государственная научная педагогическая библиотека имени К.Д. Ушинского http: //www.gnpbu.ru
- Мир психологии (http://psychology.net.ru/)
- Московский психологический журнал (http://www.mospsy.ru) - проект сетевого издания. Актуальные статьи по всем направлениям психологической науки.
- ПСИХЕЯ (http://www.psycheya.ru)
- Психологический словарь (http://psi.webzone.ru/index.htm) - электронная интернет-версия изданного на CD психологического справочника
- Российская государственная библиотека http://www.rs
Психология
ПРОГРАММА
вступительного испытания
для поступающих в магистратуру по направлению подготовки
37.04.01 «Психология»
программа (профиль)
«Психология (по профилям):
Клиническая психология;
Кризисная психология»
ОБЩИЕ ПОЛОЖЕНИЯ
Вступительные испытания предназначены для определения практической и теоретической подготовленности поступающего в магистратуру и проводятся с целью определения соответствия знаний умений и навыков требованиям обучения магистратуры по направлению подготовки 37.04.01 «Психология» (магистратура). Программа составлена в соответствии с требованиями федерального государственного образовательного стандарта высшего профессионального образования.
Вступительные испытания в магистратуру проводят экзаменационные комиссии, назначенные председателем приёмной комиссии УУНиТ.
ПРОЦЕДУРА ВСТУПИТЕЛЬНОГО ИСПЫТАНИЯ
Дата и время проведения вступительного испытания и консультации определяются расписанием вступительных испытаний, которое утверждается председателем приёмной комиссии.
Перед вступительным испытанием для поступающих проводится консультация по содержанию программы испытания, критериям оценки, предъявляемым требованиям, правилам поведения на испытании.
Форма вступительного испытания (в соответствии Положением о вступительных испытаниях УУНиТ): тестирование.
Вступительные испытания в виде электронного тестирования проводятся в соответствии с программами вступительных испытаний, утверждаемых председателем предметной комиссии.
Вступительные испытания в форме тестирования включают вопросы как закрытого, так и открытого типа, а также задания в аудио- и видеоформатах.
Составление вариантов экзаменационных заданий в форме электронных тестов осуществляется ответственным секретарем приёмной комиссии университета.
Из вариантов экзаменационных заданий формируются комплекты вопросов-тестов.
Компоновку комплектов вопросов-тестов ответственный секретарь, заместитель ответственного секретаря производят до вступительных испытаний.
Тест содержит 40 тестовых вопросов.
Результаты испытаний оцениваются по 100 бальной шкале.
Абитуриент, не согласный с оценкой, полученной на ВИ и (или) в связи с нарушением процедуры проведения ВИ имеет право подать апелляцию. Процедура подачи и рассмотрения апелляции регламентируется Положением об апелляционной комиссии УУНиТ.
КРИТЕРИИ ОЦЕНИВАНИЯ ОТВЕТА
Критериями оценки экзаменационного ответа, поступающего в магистратуру являются полнота, логичность, доказательность, прочность, осознанность знаний и теоретическая обоснованность суждений, самостоятельность в интерпретации информации, практическая направленность, уровень овладения профессиональными умениями менеджера и др. В случае тестирования является правильные ответы на тестовые задания.
При проверке количество первичных баллов переводится в итоговую 100 балльную шкалу через информационную платформу университета.
СОДЕРЖАНИЕ РАЗДЕЛОВ И ТЕМ ПРОГРАММЫ ВСТУПИТЕЛЬНОГО ИСПЫТАНИЯ
Теоретическое, историческое и эволюционное введение в психологию
Систему явлений, изучаемых психологией, отрасли психологии и их задачи, критерии различия между научным и житейским (обыденным) психологическим знанием.
Этапы развития представлений о предмете психологии. Критерии психики, гипотезу возникновения и основные этапы развития психики в эволюции (А.Н. Леонтьев, К.Э. Фабри). Виды и теории научения. Предпосылки и условия возникновения сознания в антропогенезе, основные свойства и образующие сознания. Психосемантический подход к сознанию. Виды неосознавамых явлений. Виды и свойства установок. Свойства высших психических функций и закономерности их становления. Уровни анализа деятельности, структуру деятельности и детерминанты её динамики.
Уровни построения движений и структуру «рефлекторного кольца» (Н.А. Бернштейн). Проблему биологических предпосылок, движущих сил и социальной ситуации развития личности. Историко-эволюционный подход к изучению развития личности в биогенезе, социогенезе и персоногенезе. Психологический смысл тезиса «индивидом рождаются, личностью становятся, индивидуальность отстаивают» (А.Н. Леонтьев, А.Г. Асмолов). Критерии «рождения» личности.
Деятельностную концепцию личности: иерархия (соподчинение) мотивов и их осознание как основание личности (А.Н. Леонтьев).
Представления, разрабатываемые в различных направлениях психологии, о природе и сущности человека. Строение и развитие личности в различных направлениях психологии: психология сознания, психоанализ, индивидуальная психология, аналитическая психология, гуманистическая психология, экзистенциальная психология.
Самосознание личности. Я-концепция: структура, функции и развитие. Защитные механизмы.
Проблема периодизации развития личности (Д.Б. Эльконин, Э. Эриксон).
Способности и их роль в развитии личности.
Определение темперамента, его психологическое описание и физиологические основы: основные свойства нервной системы, основные компоненты темперамента. Роль темперамента в развитии личности. Черты личности. Основные типологии индивидуальности. Определение характера и закономерности его формирования. Взгляды Э. Кречмера и У. Шелдона на связь строения тела с темпераментом и характером человека. Основания выделения психологических типов. Социально-типическое и индивидуальное в личности.
Индивидуальный стиль деятельности (Е.А. Климов).
Классы методов психологического исследования, типы гипотез исследования, единицы и категории наблюдения, виды эксперимента, виды и критерии валидности.
Характеристика системы методов современного психологического исследования.
Мотивация и эмоции
Виды эмоциональных процессов, психофизиологические корреляты эмоциональных процессов; условия возникновения эмоций; основания для классификации эмоциональных процессов. Классификации эмоциональных процессов А.Н. Леонтьева, С.Л. Рубинштейна, Вудвортса-Шлосберга, Р. Плутчека, К. Изарда, характеристики нормального и патологического аффектов, чувства, страсти, настроения. Виды и проявления тревожности; типы реакций на фрустрацию; физиологический и психологический аспекты стресса, психологические последствия посттравматического стресса. Связь эмоциональных процессов и межличностных отношений; эмоциональные качества личности.
Основания для классификации потребностей и мотивов. Специфику потребностей человека; базовые потребности человека; диспозициональный характер мотивационных явлений; формы опредмечивания потребностей; психологические и физиологические проявления потребностей.
Функции мотивов. Факторы, влияющие на осознание и побудительную силу мотивов. Иерархия и соподчинение потребностей и мотивов, феномен «горькой конфеты» (по А.Н. Леонтьеву). Влияние мотивации на процесс и продуктивность деятельности; детерминанты динамики мотивации в процессе деятельности («сдвиг мотива на цель»). Исследования ситуативной мотивации в школе К. Левина: эффект лучшего запоминания прерванных действий (Зейгарник), эффект пресыщения, эффект замещения прерванных действий, динамика уровня притязаний. Движущие силы, условия и этапы развития потребностно-мотивационной сферы человека; закономерности смены ведущей деятельности; пути осознания и саморегуляции потребностей и мотивов.
Виды и механизмы волевых действий, структура волевого акта, условия реализации волевого акта и произвольная регуляция деятельности, волевые качества личности.
Ощущение и восприятие
Определения процессов ощущения и восприятия, их свойства и классификации; виды образов. Основные свойства ощущения и образов восприятия. Психологическое шкалирование. Типы шкал. Факторы, определяющие изменения чувствительности (величины порогов). Механизмы восприятия пространства и движения: признаки удалённости и глубины (зрительные и окуломоторные, монокулярные и бинокулярные, статические и трансформационные); зоны стереопсиса. Различные представления о стимуле (по Гибсону). Механизмы цветового зрения, слуха и восприятия речи, закономерности восприятия времени.
Роль двигательной активности в развитии ощущений и восприятий, формирование перцептивных действий. Проблема развития ощущений и восприятий, врождённое и приобретённое в восприятии: основные факты (новорождённые животные, младенцы, прозревшие слепые) и эксперименты (развитие звуковысотного слуха и «кожного зрения» А.Н. Леонтьевым). Виды константности восприятия; условия, определяющие величину (коэффициент) константности; инвариантные отношения в восприятии; иллюзии восприятия; этапы перцептивной адаптации к инвертированному зрению; правило правдоподобия в псевдоскопическом восприятии. Влияние потребностей и ценностей на восприятие. Виды когнитивных схем и их функции в восприятии.
Внимание и память
Основные явления памяти, аномалии и нарушения памяти, характеристики умений и навыков; основные результаты исследований памяти с позиций ассоцианизма, психоанализа, бихевиоризма и гештальтпсихологии; результаты исследования памяти как реконструкции, памяти как высшей психической функции, непроизвольного запоминания, основные положения когнитивной психологии памяти и основные результаты экспериментов данного направления.
Субъективные и объективные явления внимания; виды рассеянности, эффекты внимания и критерии его наличия; виды и свойства внимания; результаты исследования сдвигов, колебаний и отвлечений внимания, распределения внимания.
Определение памяти, отличие памяти от мнемической функции (по Рубинштейну). Отношение понятий памяти и научения (по Норману). Различные классификации видов памяти: по Бергсону, Джеймсу, Вундту, Рибо, Эббингаузу, Блонскому, Выготскому и представителям когнитивной психологии (Норман, Сквайер, Тульвинг). Социокультурная природа памяти (Жане, Бартлетт, Выготский).
Явление и виды ассоциаций, кривая забывания Эббингауза, позиционный эффект («эффект края»); ретроактивная и проактивная интерференция, феномен Бэлларда; эффекты первичности и недавности; закон регрессии (Рибо), закон Йоста, кривая научения, стадии и фазы построения двигательного навыка; перенос и эффекты переноса, эффект фон Ресторф, эффект Зейгарник; основные результаты исследования Бартлетта; описание феноменальной памяти (по А.Р. Лурия); результаты исследования А.Н. Леонтьева: «параллелограмм» развития памяти; влияние мнемической направленности (А.А. Смирнов), закономерности непроизвольного и произвольного запоминания: исследования П.И. Зинченко, А.А. Смирнова, З.М. Истоминой.
Структурная модель памяти в когнитивной психологии: сенсорный регистр, кратковременное хранилище (рабочая память), долговременная память. Характеристика иконической и эхоической памяти: форма, объем и длительность хранения информации в сенсорном регистре. Эксперименты Сперлинга. Функции, процессы и способ представления информации в сенсорном регистре: эффекты модальности, приставки; в кратковременной (рабочей) памяти: эффекты лексичности, длины слова. Эксперименты М. и Л. Питерсонов, Стернберга, Нормана и Во, Познера, Бэддели.
Структура и функционирование долговременной памяти. Виды и функции схем. Результаты экспериментов Брауна и МакНилла, М. Киллиана, Э. Рош. Научение как создание и модификации схем (Норман).
Факты, подтверждающие теорию двойственности памяти. Уровневые эффекты переработки информации: эксперименты Крэйка и Локхарда, Роджерса (эффект отнесения к себе).
Проблема выделения внимания как отдельного психического процесса. Определения внимания. Классификации видов внимания (Джеймс, Титченер, Рибо, Ланге, Добрынин). Определения внимания в психологии сознания (Вундт, Джеймс, Титченер, Рибо, Ланге), гештальтпсихологии (Коффка), когнитивной психологии (Бродбент, Норман, Канеман), с позиций деятельностного подхода (Добрынин, Гальперин, Гиппенрейтер). Результаты измерения объёмов сознания и внимания. Свойства внимания: колебания, сдвиги, отвлечение внимания, проблема распределения и переключения внимания. Аккомодация и инерция внимания. Исследования внимания как высшей психической функции; «параллелограмм развития внимания». Основные результаты экспериментов в когнитивном подходе: Черри, Бродбента, Грея и Уэддерберн, Трейсман, Найссера, Спелке и Херста, Канемана. Представление об активном отборе информации в теории перцептивного цикла Найссера.
Мышление и речь
Определение мышления, круг феноменов мышления, соотношение наук, изучающих мышление. Виды мышления и виды задач: основания их классификации. Специфические характеристики мышления человека: обобщенность, опосредствованность, активность, целенаправленность.
Развитие предмета психологии мышления: мышление как ассоциация представлений (виды ассоциаций); мышление как акт «усмотрения отношений» (Вюрцбургская школа); мышление как процесс «переструктурирования ситуации» (гештальттеория); мышление как процесс постановки и решения задачи; мышление как принятия решений. Мышление как процесс и как деятельность.
Представления о связи мышления и речи в различных теориях. Мышление как высшая психическая функция, речевое мышление, значение слова как единица анализа мышления. Мышление и сознание, интуиция.
Исследования решения творческой задачи (Дункер, Вертгеймер, Майер, Секели). Стадии мыслительного процесса (схемы Уоллеса, Дункера, Зельца, школа С.Л. Рубинштейна). Инсайтное решение и условия его возникновения: эксперименты с применением «метода подсказки» (К. Дункер, Ю.Б. Гиппенрейтер, Я.А. Пономарев, К.А. Славская).
Закономерности мотивационно-эмоциональной регуляции мышления: структурирующая функция мотива, эвристическая функция эмоций, динамика целеобразования, роль невербализованных исследовательских актов, виды и функции операциональных смыслов. Особенности рефлексивной регуляции мышления. Механизмы интуиции: феномены эмоционального решения, эмоционального закрепления (Ю.Е. Виноградов), эмоционального обнаружения проблемы (В.Е. Клочко), роль установок (Лачинс), осознания побочных продуктов (Я.А. Пономарёв). Отличие мышления человека от процессов переработки информации в системах искусственного интеллекта. Различия логических выводов и «естественных рассуждений» человека.
Индивидуально-личностные и ситуативные детерминанты мышления. Различные подходы к определению интеллекта и описанию его структуры. Способности, интеллект, креативность: основные определения, проблемы исследования, диагностики и развития. Роль природных (наследственных) и социокультурных условий в развитии интеллекта и креативности. Основные подходы к творчеству, особенности творческой личности. Влияние культуры на особенности мышления (данные Леви-Брюля, Лурия, Коула и Скрибнера). Язык и мышление: гипотеза лингвистической относительности Сепира-Уорфа и её эмпирические доказательства.
Соотношение понятий «язык» и «речь», «значение» и «смысл» слова. Развитие мышления и речи в фило-, антропо- и онтогенезе; стадии онтогенетического развития (Пиаже, Выготский), полемика Л.С. Выготского и Ж. Пиаже; этапы развития значения слова; генезис научных и житейских понятий (по Выготскому). Уровни развития обобщений. Виды и функции речи. Виды и функции речи. Механизмы порождения и понимания речи: модели А.Р. Лурия, А.А. Леонтьева, Н. Хомского; экспериментальная проверка трансформационной модели, нейропсихологические данные (школа А.Р. Лурия).
Психология развития и возрастная психология
Основные законы психического развития человека в онтогенезе. Определение понятия развития. Cпецифика психического развития человека по сравнению с психическим развитием животных.
Детерминанты психического развития человека в онтогенезе. Противоположность нативизма и эмпиризма в решении вопроса о роли наследственности и среды (опыта) в развитии ребенка.
Биологическое созревание как процесс, детерминирующий последовательность и содержание стадий развития. Роль среды и научения в психическом развитии ребенка в эмпиризме. Роль активности субъекта в развитии интеллекта и личности человека.
Основные периодизации психического развития человека в онтогенезе. Проблема критериев периодизации. Понятие психологического возраста как единицы анализа развития. Психологическое содержание критических возрастов.
Роль деятельности в психическом развитии ребенка. Понятие ведущей деятельности. Роль общения в развитии человека. Генезис форм общения ребенка со взрослым и сверстниками.
Основные теоретические подходы к решению проблемы соотношения обучения, созревания и развития и их приложение в практике обучения и воспитания. Факторы риска и жизнестойкости развития на различных этапах онтогенеза. Возрастно-психологические особенности развития человека на различных этапах онтогенеза. Характеристику структурных компонентов каждого из психологических возрастов. Условия становления возрастных новообразований.
Психофизиология
Место психофизиологии в системе наук о человеке. Предмет, задачи и основные направления психофизиологических исследований.
Методы классической психофизиологии (КГР, ФПГ, ЭКГ и др.) и современные неинвазивные методы психофизиологических исследований (ЭЭГ, МЭГ, КТ, ПЭТ, МРТ). Технические ограничения и методологические проблемы, связанные с получением и интерпретацией томографических данных.
Психофизиологическая проблема: формулировки, подходы к решению в философии, психологии и нейронауках. Психофизиологические механизмы кодирования декодирования информации в нейронных сетях. Психофизиология целостного восприятия: «нейробиология гештальта». Психофизиология сна и бодрствования. Циркадные биоритмы.
Психофизиология памяти, обучения и развития: нейронные механизмы пластичности; апоптоз; неонейрогенез. Участие генома в формировании следов памяти. Психофизиология высших психических функций (мышление, сознание). Психофизиологические концепции сознания. Психофизиология эмоций и стресса: современное состояние «теории лимбической системы»: анализ экспериментальных данных и клинических наблюдений; нейрофизиологические и биохимические механизмы; методы диагностики и коррекции. Современные представления об оппонентной организация механизмов эмоций: «система поощрения» и «система наказания».
Клиническая психофизиология: нейрофизиологические и биохимические механизмы психических заболеваний и аддиктивного поведения. Физиологические, психологические и поведенческие уровни в исследованиях индивидуальных различий, дифференциальная психофизиология. Основные направления и методы прикладной психофизиологии.
Демоверсия экзаменационного варианта
1. «Групповая идентичность» по Э. Эриксону – это:
А) чувство принадлежности к определённой социальной группе, возникающее в процессе жизни и предполагающее принятие ценностей, целей этой группы;
Б) осуществляемый в деятельности и общении процесс и результат усвоения и активного воспроизводства индивидом социального опыта;
В) тенденция человека изменять своё поведение под влиянием других людей таким образом, чтобы оно соответствовало мнениям окружающих;
Г) отношения доминирования и подчинения, влияния и следования в системе межличностных отношений в группе.
2. В период старения и старости:
А) большинство умственных навыков остаются относительно сохранными;
Б) когнитивные возможности быстро и необратимо снижаются;
В) снижение познавательной деятельности происходит только по причинам болезней и различных сосудистых поражений мозга;
Г) страдает только скорость выполнения умственных операций;
Д) процессы научения почти не затрагиваются возрастными изменениями.
3. Человек погиб в результате автомобильной катастрофы. На вскрытии выявлено повреждение вещества спинного мозга на уровне третьего и четвёртого шейных сегментов. Было высказано предположение, что одной из основных причин быстрого смертельного исхода явилась дыхательная недостаточность.
А) Является ли данное предположение анатомически обоснованным?
Б) При повреждении, каких еще отделов ЦНС возможна остановка дыхания?
4. При нырянии в воду был травмирован позвоночник и наступил полный паралич верхних и нижних конечностей. Какой отдел позвоночника и спинного мозга, скорее всего, был травмирован?
Впишите ответ:
5. У больного обнаружено нарушение движений в виде расстройства их координации, затруднения в удержании равновесия при стоянии и ходьбе. О поражении, каких образований центральной нервной системы, скорее всего, свидетельствуют данные симптомы?
Впишите ответ:
СПИСОК ЛИТЕРАТУРЫ
- Андреева Г.М. Социальная психология. М., 2010.
- Асмолов А.Г. Психология личности: принципы общепсихологического анализа. – М.: Смысл, 2001.
- Баарс Б., Гейдж Н. Мозг, познание, разум. Введение в когнитивные нейронауки. В 2-х томах. 4-е изд. - М.: Лаборатория знаний, 2019.
- Бернштейн Н.А. О ловкости (Очерк V. «Уровни построения движений»). — М.: Дивизион, 2017.
- Выготский Л.С. Психология развития человека. М.: ЭКСМО, 2003.
- Гальперин П.Я. Психология как объективная наука. М.; Воронеж: МПСИ, 1998.
- Гиппенрейтер Ю.Б. Введение в общую психологию. М.: ЧеРо, 1998.
- Гусев А.Н. Ощущение и восприятие. Общая психология. В 7 т.т. Под ред. Братуся Б.С. Т.4. М.: Академия, 2007.
- Данилова Н.Н. Психофизиология. — М.: Аспект Пресс, 2012.
- Дормашев Ю.Б., Романов В.Я. Психология внимания. М.: Тривола, 1995.
- Зейгарник Б.В. Патопсихология. М., 1986.
- Зенков Л.Р. Клиническая электроэнцефалография. М.: МЕДпресс, 2018.
- Иванников В.А. Основы психологии. СПб.: Питер, 2010.
- Иванников В.А. Психологические механизмы волевой регуляции. М., УРАО, 1998
- Иванова Е.М. Психология профессиональной деятельности. М., 2006.
- Ильясов И.И. Структура процесса учения. М., 1986.
- Кабаченко Т.С. Психология управления человеческими ресурсами. СПБ, 2003.
- Календер В. Компьютерная томография. М.: Техносфера. 2006.
- Карабанова О.А. Возрастная психология. Конспект лекций. М., 2005.
- Климов Е.А. Введение в психологию труда. М., 2004.
- Леонова А.Б., Кузнецова А.С. Психологические технологии управления состоянием человека. М., 2007
- Леонтьев А.Н. Деятельность, сознание, личность. М.: Смысл: Издательский центр «Академия», 2006.
- Леонтьев А.Н. Лекции по общей психологии. М.: Смысл, 2002.
- Леонтьев Д.А. Психология смысла. М., Смысл, 2003.
- Лурия А.Р. Основы нейропсихологии. Москва, 2002.
- Майерс Д. Социальная психология. СПГУ, 2007
- Носкова О.Г. Психология. М., 2008.
- Нуркова В.В. Память. Общая психология. В 7т.т. Под ред. Братуся Б.С. Т.3. М.: Академия, 2006.
- Нуркова В.В., Березанская Н.Б. Психология. Учебник для ВУЗов. М., Высшее образование, 2008.
- Обухова Л.Ф. Возрастная психология. М., 2011.
- Перре М., Бауман У. Клиническая психология. СПГУ, 2011
- Психология внимания. Тексты / Под ред. Ю.Б. Гиппенрейтер, В.Я. Романова. М.: АСТ, 2008.
- Психология индивидуальных различий. Тексты / Под ред. Ю.Б. Гиппенрейтер, В.Я. Романова. М: АСТ, 2008.
- Психология личности. Тексты / Под ред. Ю.Б. Гиппенрейтер, А.А. Пузырея. - М. 2008.
- Психология мотивации и эмоций. Тексты / Под ред. Ю.Б. Гиппенрейтер, М.В. Фаликман. М.: ЧеРо, 2006.
- Психология ощущений и восприятия. Тексты / Под ред. Ю.Б. Гиппенрейтер, В.В. Любимова, М.Б. Михалевской. М., 2002
- Психология памяти. Тексты / Под ред. Ю.Б. Гиппенрейтер, В.Я. Романова. М.: ЧеРо, 2002.
- Психология эмоций. Автор-составитель В.К. Вилюнас. М., Питер, 2004.
- Психофизиология. 4-е изд. / Под ред. Ю.И. Александрова. — СПб.: Питер, 2020.
- Рубинштейн С.Л. Основы общей психологии. СПб, Питер, 2002.
- Соколов Е.Н. Очерки по психофизиологии сознания. М., 2010,
- Соколова Е.Е. Введение в общую психологию. Общая психология. В 7 т.т. Под ред. Братуся Б.С. Т.1. М.: Академия, 2008.
- Солсо Р. Когнитивная психология. М., 1996 (или более поздние издания).
- Стефаненко Т.Г. Этнопсихология. М., 2007
- Стрелков Ю.К. Инженерная и профессиональная психология. М., 2009
- Талызина Н.Ф. Педагогическая психология. М., 2011.
- Управление персоналом. Учебник для ВУЗа. Под ред. Базарова Т.Ю., Б.Л. Ерёмина. М., 2006.
- Фаликман М.В. Внимание. Общая психология. В 7т.т. Под ред. Братуся Б.С. Т.2. М.: Академия, 2006.
- Фейджер Р., Фейдимен Д. Личность. Теории, эксперименты, упражнения. СПб. М., 2001.
- Хомская Е.Ф. Нейропсихология. М., 2002.
- Хрестоматия по курсу «Введение в психологию». Ред. Е.Е.Соколова, М., 1999.
- Хрестоматия по общей психологии. Психология мышления / Под ред. Ю.Б. Гиппенрейтер, В.В.
- Хьелл Л., Зиглер Д. Теории личности. – СПб: Питер Пресс, 1999.
Управление бизнесом в цифровой экономике
ПРОГРАММА
вступительного испытания
для поступающих в магистратуру по направлению подготовки
38.04.02 «Менеджмент»
программа (профиль)
«Управление бизнесом в цифровой экономике»
ОБЩИЕ ПОЛОЖЕНИЯ
Вступительные испытания предназначены для определения практической и теоретической подготовленности поступающего в магистратуру и проводятся с целью определения соответствия знаний умений и навыков требованиям обучения магистратуры по направлению подготовки 38.04.02 «Менеджмент» (магистратура). Программа составлена в соответствии с требованиями федерального государственного образовательного стандарта высшего профессионального образования.
Вступительные испытания в магистратуру проводят экзаменационные комиссии, назначенные председателем приёмной комиссии УУНиТ.
ПРОЦЕДУРА ВСТУПИТЕЛЬНОГО ИСПЫТАНИЯ
Дата и время проведения вступительного испытания и консультации определяются расписанием вступительных испытаний, которое утверждается председателем приемной комиссии.
Перед вступительным испытанием для поступающих проводится консультация по содержанию программы испытания, критериям оценки, предъявляемым требованиям, правилам поведения на испытании.
Форма вступительного испытания (в соответствии Положением о вступительных испытаниях УУНИТ): тестирование.
Вступительные испытания в виде электронного тестирования проводятся в соответствии с программами вступительных испытаний, утверждаемых председателем предметной комиссии.
Вступительные испытания в форме тестирования включают вопросы как закрытого, так и открытого типа, а также задания в аудио- и видеоформатах.
Составление вариантов экзаменационных заданий в форме электронных тестов осуществляется ответственным секретарем приемной комиссии университета.
Из вариантов экзаменационных заданий формируются комплекты вопросов-тестов.
Компоновку комплектов вопросов-тестов ответственный секретарь, заместитель ответственного секретаря производят до вступительных испытаний.
Тест содержит 40 тестовых вопросов.
Результаты испытаний оцениваются по 100 бальной шкале.
Абитуриент, не согласный с оценкой, полученной на ВИ и (или) в связи с нарушением процедуры проведения ВИ имеет право подать апелляцию. Процедура подачи и рассмотрения апелляции регламентируется Положением об апелляционной комиссии УУНиТ.
КРИТЕРИИ ОЦЕНИВАНИЯ ОТВЕТА
Критериями оценки экзаменационного ответа, поступающего в магистратуру являются полнота, логичность, доказательность, прочность, осознанность знаний и теоретическая обоснованность суждений, самостоятельность в интерпретации информации, практическая направленность, уровень овладения профессиональными умениями менеджера и др. В случае тестирования являются правильные ответы на тестовые задания.
При проверке количество первичных баллов переводится в итоговую 100 балльную шкалу через информационную платформу университета.
СОДЕРЖАНИЕ РАЗДЕЛОВ И ТЕМ ПРОГРАММЫ ВСТУПИТЕЛЬНОГО ИСПЫТАНИЯ
Менеджмент
- Цели, задачи и методы менеджмента.
- Менеджер и его функции.
- Содержание и особенности управленческого труда.
- Этапы развития менеджмента. Классификация подходов и школ менеджмента.
- Содержание и основные положения школы научного управления.
- Административная (классическая) школа в менеджменте: основные представители, положения.
- Возникновение и развитие школы человеческих отношений в менеджменте.
- Характеристика процессного, системного и ситуационного подходов к менеджменту.
- Классификация фирм по виду и характеру деятельности.
- Классификация фирм по размерам.
- Классификация фирм по характеру собственности.
- Основные принципы менеджмента.
- Классификация целей.
- Содержание и стадии принятия управленческих решений. Факторы, влияющие на процесс принятия решений.
- Содержание и стадии принятия управленческих решений. Факторы, влияющие на процесс принятия решений.
- Объективность и универсальность принципов управления. Основные принципы управления.
- Сущность и принципы организационной деятельности. Организационные нормы и нормативы.
- Уровни управления в организации.
- Жизненный цикл организации.
- Цель, содержание и результаты мотивации. Мотивация и стимулирование.
- Сущность, необходимость, виды и задачи контроля в менеджменте.
- Характеристики эффективного контроля. Ошибки контроля.
- Функция управления «Планирование» .
- Функция управления «Организация» .
- Функция управления «Координация» .
- Функция управления «Мотивация» .
- Функция управления «Контроль».
- Миссия организации.
- Анализ конкурентов.
- Стратегический менеджмент организации.
Предпринимательство
- Сущность предпринимательской деятельности.
- Цели, задачи и функции предпринимательства.
- Субъекты и объекты предпринимательской деятельности.
- Субъекты и элементы процесса предпринимательства.
- Нормативно-правовые акты в сфере предпринимательской деятельности.
- Виды и формы предпринимательской деятельности.
- Производственное предпринимательство.
- Коммерческое предпринимательство.
- Финансовое предпринимательство.
- Посредническая предпринимательская деятельность.
- Консультативное предпринимательство.
- Консультативное предпринимательство.
- Организационно-правовые формы предпринимательской деятельности.
- Организационно-правовые формы предпринимательской деятельности.
- Сущность предпринимательского риска.
- Сущность предпринимательского риска.
- Принципы, виды, типы и формы маркетинга в предпринимательстве.
- Маркетинг-менеджмент в системе предпринимательства.
- Предпринимательская среда.
- Бизнес-планирование в предпринимательской деятельности.
- Бизнес-планирование в предпринимательской деятельности.
- Понятие и признаки предпринимательской деятельности.
- Способы обеспечения исполнения обязательств в предпринимательской деятельности.
- Основы правового статуса индивидуального предпринимателя. Отличие от юридического лица.
- Особенности банкротства индивидуального предпринимателя.
Управление человеческими ресурсами
- Современная система управления человеческими ресурсами на фирме.
- Материальное и нематериальное стимулирование трудовых ресурсов.
- Свойства системы управления человеческими ресурсами.
- Обоснование стратегии управления человеческими ресурсами.
- Обоснование стратегии управления человеческими ресурсами.
- Понятие «мотивация» и «стимулирование» труда.
- Оценка результативности труда.
- Понятие организационной культуры.
- Методы управления персоналом
- Маркетинг персонала
Демоверсия экзаменационного варианта
Банк вопросов для направления подготовки 38.04.02 «Менеджмент» профиль «Управление бизнесом в цифровой экономике»
Множественный выбор
- Кто должен осуществлять контроль за выполнением поставленных задач перед коллективом?
Специалисты
Работники
Руководители
Отдельные руководители
Министерства
На соответствие
- Установите соответствия
|
Посредничество – это:
|
Предпринимательская деятельность по содействию заключению контрактов между поставляющей и потребляющей сторонами |
|
|
|
|
Предпринимательская среда – это:
|
Общественная экономическая ситуация, включающая степень экономической свободы, наличие (или возможность появления) предпринимательского корпуса, доминирование рыночного типа экономических связей, возможность формирования предпринимательского капитала и использования необходимых ресурсов |
|
|
|
|
Частное предпринимательство – это:
|
Форма осуществления экономической активности от имени организации (если оно зарегистрировано в качестве такового) или предпринимателя (если такая деятельность осуществляется без найма рабочей силы, в форме индивидуальной трудовой деятельности); |
3. Установите соответствия
|
Индивидуальные предприниматели (ИП) |
Это физические лица, которые зарегистрировались в качестве ИП и имеют право работать без создания юридического лица, с упрощенным бухгалтерским и налоговым учетом |
|
|
|
|
Организации |
Это юридические лица, созданные для ведения бизнеса. Возможны различные формы собственности, например, общество с ограниченной ответственностью (ООО) или акционерное общество (АО) |
|
|
|
|
Самозанятые |
Это относительно новая категория, которая подразумевает физических лиц, работающих без оформления в качестве ИП и без привлечения наемного персонала |
Короткий ответ
- Экономической основой индивидуального предпринимательства является ________собственность.
- _______ - это глобальная цель компании, она отвечает на вопрос "Зачем мы существуем, какую пользу приносим людям и миру".
- Наемный профессиональный управляющий – это ___________
- _________— это интегрированный процесс предвидения, управления и удовлетворения спроса на товары, услуги, организации, людей, территории, идеи посредством обмена.
- __________— это определенный период времени, в течение которого продукт находится в рыночном обороте.
СПИСОК ЛИТЕРАТУРЫ
Основная литература
- Герчикова И.Н. Г37 Менеджмент: Учебник. — 2-е изд., перераб. и доп. — М.: Банки и биржи, ЮНИТИ, 1995. - 480 с. ISBN 5-85173-039-0 URL http://library.lgaki.info:404/2017/Герчикова%20И.%20Н_Менеджмент.pdf
- Менеджмент : учебное пособие / Глазов М.М. и др. – Изд. 2-е, доп. и перераб. – СПб.: Астерион, 2013. – 419 с. URL http://elib.rshu.ru/files_books/pdf/rid_60f738c6661a4e36bb95932fe5d02ef6.pdf
- Предпринимательство : учебное пособие / Н. Ю. Никитина, С. М. Корунов, А. А. Яшин, И. Д. Опарин; под общ. ред. Н. Ю. Никитиной ; Министерство науки и высшего образования Российской Федерации, Уральский федеральный университет. – Екатеринбург : Изд-во Урал. ун-та, 2020. – 256 с. : URL https://elar.urfu.ru/bitstream/10995/94357/1/978-5-7996-3107-9_2020.pdf
- Управление человеческими ресурсами организации в условиях современного рынка труда : учебное пособие / Н. В. Гончарова, Л. В. Дайнеко, Е. В. Зайцева ; под общ. ред. Е. В. Зайцевой ; Министерство науки и высшего образования Российской Федерации, Уральский федеральный университет. – Екатеринбург : Изд-во Урал. ун-та, 2021. – 162 с. : URLhttps://elar.urfu.ru/bitstream/10995/105676/1/978-5-7996-3298-4_2021.pdf
Рекомендуемая дополнительная литература
- Дубина И. Н. Творческие решения в управлении и бизнесе : учебное пособие для вузов / И. Н. Дубина. — 2-е изд., испр. и доп. М.: Издательство Юрайт, 2021. — 325 с. — (Высшее образование).— Текст электронный ll ЭБС Юрайт [сайт]. — URL: https://urait.ru/bcode/471891
- Савинова С. Ю. Лидерство в бизнесе : учебник и практикум для вузов / С. Ю. Савинова, Е. Н. Васильева. — 2-е изд., испр. и доп. — М.: Издательство Юрайт, 2021. 280 с. — (Высшее образование). — Текст электронный // ЭБС Юрайт [сайт]. — URL: https://urait.ru/bcode/476054
- Семенова Л. М. Управление персоналом. Имиджбилдинг на рынке труда : учебник и практикум для среднего профессионального образования / Л. М. Семенова.—М.: Издательство Юрайт, 2021. 243 с.— (Профессиональное образование).—ISBN 978-5-534-14393-5.—Текст электронный // ЭБС Юрайт [сайт]. — URL: https://ui ait.ru/bcode/477505
- Управление организационными нововведениями: учебник и практикум для вузов / А. Н. Асаул, М. А. Асаул, И. Г. Мещеряков, И. Р. Шегельман ; под редакцией А. Н. Асаула. — М.: Издательство Юрайт, 2020. 286 с. - Текст: электронный // ЭБС Юрайт [сайт]. — URL: https://urait.ru/bcode/454124
- Фомичев В. И. Управление качеством и конкурентоспособностью: учебник для вузов / В. И. Фомичев. — М.: Издательство Юрайт, 2020. — 156 с. — (Высшее образование). — Текст: электронный // ЭБС Юрайт [сайт]. — URL: lзttps://urait.ru/bcode/447092
Журналы и периодические издания:
- Бизнес-журнал
- Менеджмент и бизнес-администрирование
- Общество и экономика
- Проблемы теории и практики управления
- Управление бизнесом
Стратегический менеджмент
ПРОГРАММА
вступительного испытания
для поступающих в магистратуру по направлению подготовки
38.04.02 «Менеджмент»
программа (профиль)
«Стратегический менеджмент»
ОБЩИЕ ПОЛОЖЕНИЯ
Вступительные испытания предназначены для определения практической и теоретической подготовленности поступающего в магистратуру и проводятся с целью определения соответствия знаний умений и навыков требованиям обучения магистратуры по направлению подготовки 38.04.02 «Менеджмент» (магистратура). Программа составлена в соответствии с требованиями федерального государственного образовательного стандарта высшего профессионального образования.
Вступительные испытания в магистратуру проводят экзаменационные комиссии, назначенные председателем приёмной комиссии УУНиТ.
ПРОЦЕДУРА ВСТУПИТЕЛЬНОГО ИСПЫТАНИЯ
Дата и время проведения вступительного испытания и консультации определяются расписанием вступительных испытаний, которое утверждается председателем приемной комиссии.
Перед вступительным испытанием для поступающих проводится консультация по содержанию программы испытания, критериям оценки, предъявляемым требованиям, правилам поведения на испытании.
Форма вступительного испытания (в соответствии Положением о вступительных испытаниях УУНИТ): тестирование.
Вступительные испытания в виде электронного тестирования проводятся в соответствии с программами вступительных испытаний, утверждаемых председателем предметной комиссии.
Вступительные испытания в форме тестирования включают вопросы как закрытого, так и открытого типа, а также задания в аудио- и видеоформатах.
Составление вариантов экзаменационных заданий в форме электронных тестов осуществляется ответственным секретарем приемной комиссии университета.
Из вариантов экзаменационных заданий формируются комплекты вопросов-тестов.
Компоновку комплектов вопросов-тестов ответственный секретарь, заместитель ответственного секретаря производят до вступительных испытаний.
Тест содержит 40 тестовых вопросов.
Результаты испытаний оцениваются по 100 бальной шкале.
Абитуриент, не согласный с оценкой, полученной на ВИ и (или) в связи с нарушением процедуры проведения ВИ имеет право подать апелляцию. Процедура подачи и рассмотрения апелляции регламентируется Положением об апелляционной комиссии УУНиТ.
КРИТЕРИИ ОЦЕНИВАНИЯ ОТВЕТА
Критериями оценки экзаменационного ответа, поступающего в магистратуру являются полнота, логичность, доказательность, прочность, осознанность знаний и теоретическая обоснованность суждений, самостоятельность в интерпретации информации, практическая направленность, уровень овладения профессиональными умениями менеджера и др. В случае тестирования является правильные ответы на тестовые задания.
При проверке количество первичных баллов переводится в итоговую 100 балльную шкалу через информационную платформу университета.
СОДЕРЖАНИЕ РАЗДЕЛОВ И ТЕМ ПРОГРАММЫ ВСТУПИТЕЛЬНОГО ИСПЫТАНИЯ
Теория менеджмента
1. Сущность менеджмента. Виды и уровни менеджмента в организационной структуре.
2. Функции менеджмента в современной компании.
3. Школа научного управления: основные представители, вклад в науку управления.
4. Классическая (административная) школа управления: основные представители, вклад в науку управления.
5. Школа человеческих отношений: основные представители, вклад в науку управления.
6. Вопросы применения системного, ситуационного и оперативного подхода в менеджменте.
Теория организации
1. Организация и ее основные признаки. Характеристика организации как системы.
2. Внутренняя и внешняя среда организации.
3. Классификация видов организаций. Законы жизнедеятельности организации.
4. Цели в управлении организацией. Классификация целей. Установление целей и их ранжирование.
5. Понятие и сущность организационной структуры фирмы. Принципы и факторы, влияющие на формирование организационной структуры.
6. Типы организационных структур управления.
Стратегический менеджмент
1. Стратегия организации и ее виды.
2. Планирование как функция менеджмента: цели, задачи и принципы.
3. Перспективное, среднесрочное и текущее планирование. Виды планов.
4. Процесс стратегического планирования. SWOT – анализ.
Мотивация
1. Сущность мотивации. Взаимосвязь мотивации и потребностей, мотивации и вознаграждения.
2. Содержательные теории мотивации: основные представители, идеи.
3. Процессуальные теории мотивации: представители, основные идеи.
4. Современные формы стимулирования труда в организации.
Контроллинг
1. Сущность контроля, причины, вызывающие необходимость контроля. Функции контроля. Виды контроля.
2. Процесс контроля. Эффективный контроль и его характеристики.
Лидерство
1. Личность менеджера. Специфика деятельности менеджеров высшего, среднего и низшего звена.
2. Феномен власти в менеджменте. Типология власти. Власть и авторитет менеджера.
3. Менеджер и лидер. Понятие лидерства. Традиционные концепции лидерства.
4. Ситуационный подход к феномену лидерства в менеджменте.
5. Групповая динамика организации и формирование команды.
Разработка управленческих решений
1. Понятие и сущность организационного управленческого решения. Типы управленческих решений.
2. Подходы к принятию управленческих решений.
3. Процесс принятия управленческих решений: основные стадии процесса.
4. Методология и методы разработки и принятия управленческих решений.
Управление конфликтами
1. Управленческие конфликты. Возникновение, проявление и разновидности конфликтов.
2. Управление конфликтами. Переговоры как метод разрешения конфликтов.
Управление коммуникациями
1. Сущность коммуникации. Процесс коммуникации: обратная связь. Шумы в коммуникации.
2. Межличностные и организационные коммуникации.
3. Понятие и содержание организационной культуры. Функции организационной культуры.
4. Формирование, поддержание и изменение организационной культуры.
5. Информационная среда управления. Сущность информации и информационного процесса.
6. Управление рисками.
Демоверсия экзаменационного варианта
1. Организационная система – это:
1. сложный механизм, состоящий из различных частей и элементов и выполняющий различные функции;
2. единое образование из взаимодействующих между собой звеньев, предназначенное для целенаправленной деятельности;
3. коллектив сотрудников, выполняющих общую работу в строгом соответствии с полученным от руководителя заданием;
4. система, состоящая из субъектов и объектов управления и функционирующая на основе субординации.
2. Сопоставьте отличительные особенности фаз жизненного цикла организации:
|
1. определение главной цели, постановка основной задачи 2. укрепление на рынке, ускоренный рост, планирование 3. систематический, сбалансированный рост, укрепление индивидуального имиджа |
а. рождение б. детство и юность в. зрелость |
3. Совокупность современных технологий, принципов, методов, средств и форм управления, направленных на повышение эффективности работы различных предприятий – это …
СПИСОК ЛИТЕРАТУРЫ
Нормативно-правовые акты:
1. Закон РФ «О защите прав потребителей» от 07.02.1992 N 2300-1 (ред. от 08.08.2024).
2. Федеральный закон «О рекламе» от 13.03.2006 N 38-ФЗ (ред. от 26.12.2024).
3. Федеральный закон «О конкуренции» от 26.07.2006 N 135-ФЗ (ред. от 14.10.2024).
Основная литература:
1. Абрамов В. С., Абрамов С. В. Стратегический менеджмент. – М.: Юрайт. 2024. – 435 с.
2. Абчук В. А., Трапицын С. Ю., Тимченко В. В. Прикладные аспекты менеджмента. – М.: Юрайт. 2023. – 348 с.
3. Абчук В. А., Трапицын С. Ю., Тимченко В. В. Теоретические основы менеджмента. – М.: Юрайт. 2023. – 321 с.
4. Астахова Н. И., Москвитин Г. И. Менеджмент. – М.: Юрайт. 2023. – 423 с.
5. Веснин В. Р. Менеджмент. 4-е изд. – М.: Проспект. 2024. – 616 с.
6. Голубкова Е. Н. Интегрированные маркетинговые коммуникации: учебник и практикум для вузов / Е. Н. Голубкова. – 3-е изд., перераб. и доп. – М: Юрайт, 2023. – 363 с.
7. Григорьев М. Н. Маркетинг: учебник для вузов / М. Н. Григорьев. – 6-е изд., перераб. и доп. – М: Юрайт, 2024. – 479 с.
8. Егоров Ю. Н. Управление маркетингом: учебник / Ю.Н. Егоров. – М: ИНФРА-М, 2022. – 238 с.
9. Зуб А. Т. Стратегический менеджмент. – М.: Юрайт. 2024. – 376 с.
10. Иванова И. А., Сергеев А. М. Менеджмент. – М.: Юрайт. 2024. – 328 с.
11. Иванова Т. Ю., Коротков Э. М., Приходько В. И. Теория менеджмента. Синергетический менеджмент. – М.: Юрайт. 2024. – 332 с.
12. Инновационный маркетинг : учебник для вузов / С. В. Карпова [и др.] ; под общей редакцией С. В. Карповой. – 2-е изд., перераб. и доп. – М: Юрайт, 2024. – 474 с.
13. Калюжнова Н. Я. Современные модели маркетинга: учебное пособие для вузов / Н. Я. Калюжнова, Ю. Е. Кошурникова; под общей редакцией Н. Я. Калюжновой. – 2-е изд., испр. и доп. – М: Юрайт, 2024. – 170 с.
14. Карасев А. П. Маркетинговые исследования и ситуационный анализ: учебник и практикум для вузов / А. П. Карасев. – 3-е изд., перераб. и доп. – М: Юрайт, 2025. – 286 с.
15. Карпова С. В. Маркетинг: теория и практика: учебное пособие для бакалавров / С. В. Карпова. – М: Юрайт, 2025. – 383 с.
16. Коргова М. А. Менеджмент организации. – М.: Юрайт. 2024. – 207 с.
17. Коротков Э. М. Менеджмент. – М.: Юрайт. 2024. – 567 с.
18. Малюк В. И. Современные проблемы менеджмента. – М.: Юрайт. 2024. – 196 с.
19. Мардас А. Н., Гуляева О. А. Основы менеджмента. Практический курс. – М.: Юрайт. 2024. – 176 с.
20. Титов В. Н., Суханова Г. Н. Теория и история менеджмента. – М.: Юрайт. 2024. – 488 с.
Дополнительная литература
1. Григорян Е. С. Маркетинговые коммуникации: учебник / Е. С. Григорян. – М: ИНФРА-М, 2023. – 294 с.
2. Егоров Ю. Н. Основы маркетинга: учебник / Ю.Н. Егоров. – 2-е изд., перераб. и доп. – М: ИНФРА-М, 2021. – 292 с.
3. Карпова С. В. Маркетинговый анализ. Теория и практика: учебное пособие для вузов / С. В. Карпова, С. В. Мхитарян, В. Н. Русин ; под общей редакцией С. В. Карповой. – М: Юрайт, 2025. – 181 с.
4. Коноваленко, В. А. Основы интегрированных коммуникаций: учебник и практикум для академического бакалавриата / В. А. Коноваленко, М. Ю. Коноваленко, Н. Г. Швед. – М: Юрайт, 2025. – 479 с.
5. Коргова М. А., Салогуб А. М. Менеджмент. История менеджмента. – М.: Юрайт. 2023. – 168 с.
6. Мардас А. Н., Гуляева О. А. Теория менеджмента. – М.: Юрайт. 2024. – 294 с.
7. Маркетинг-менеджмент. Учебник и практикум / под ред. И. В. Липсица, О. К. Ойнера. – М.: Юрайт. 2024. – 380 с.
8. Менеджмент / под ред. И. Н. Шапкина. – М.: Юрайт. 2023. – 590 с.
9. Менеджмент / под ред. Ю. В. Кузнецовой. – М.: Юрайт. 2024. – 596 с.
10. Менеджмент: методы принятия управленческих решений / под ред. П. В. Иванова. – М.: Юрайт. 2023. 3 – 51 с.
11. Михалева Е. П. Менеджмент. – М.: Юрайт. 2023. – 192 с.
12. Попов С. А. Стратегический менеджмент: актуальный курс. – М.: Юрайт. 2023. – 482 с.
13. Пушкарева Г. В. Менеджмент. – М.: Юрайт. 2023. – 327 с.
14. Староверова К. О. Менеджмент. Эффективность управления. – М.: Юрайт. 2024. – 270 с.
15. Тебекин А. В. Стратегический менеджмент. – М.: Юрайт. 2024. – 334 с.
16. Трофимова Л. А., Трофимов В. В. Менеджмент. Методы принятия управленческих решений. – М.: Юрайт. 2023. – 313 с.
17. Шарапова Т. В. Основы менеджмента. – М.: Юрайт. 2023. – 209 с.
18. Шифрин М. Б. Стратегический менеджмент. – М.: Юрайт. 2024. – 296 с.
Периодические издания (интернет-ресурсы):
1. Официальный сайт «Реклама в России» – Режим доступа: https://www.rwr.ru/.
2. Официальный сайт «Энциклопедия маркетинга» – Режим доступа: https://www.marketing.spb.ru/.
3. Официальный сайт «Новости и аналитические статьи о рекламе, маркетинге и PR» – Режим доступа: http://www.advertology.ru/.
4. Официальный сайт «Гильдия маркетологов» – Режим доступа: https://www.marketologi.ru/.
5. Журнал «Проблемы теории и практики управления» – Режим доступа: https://ptpu.pro.
6. Журнал «Менеджмент в России и за рубежом» – Режим доступа: http://www.mevriz.ru.
7. Журнал «Маркетинг в России и за рубежом» – Режим доступа: https://www.cfin.ru/press/marketing/.
8. Журнал «Управление компанией» – Режим доступа: http://www.zhuk.net/.
9. Маркетинг и маркетинговые исследования – Режим доступа: https://grebennikon.ru/journal/3/.
10. Журнал «Маркетолог» – Режим доступа: https://www.marketolog.ru.
Основы исламского права
ПРОГРАММА
вступительного испытания
для поступающих в магистратуру по направлению подготовки
40.04.01 «Юриспруденция»
программа (профиль)
«Исламское право»
ОБЩИЕ ПОЛОЖЕНИЯ
Вступительное испытание предназначено для определения практической и теоретической подготовленности поступающего в магистратуру и проводится с целью определения соответствия знаний умений и навыков требованиям обучения магистратуры по направлению подготовки 40.04.01 «Юриспруденция» профиля «Исламское право» (магистратура).
Программа составлена в соответствии с требованиями федерального государственного образовательного стандарта высшего профессионального образования.
Вступительные испытания в магистратуру проводят экзаменационные комиссии, назначенные председателем приёмной комиссии УУНиТ.
ПРОЦЕДУРА ВСТУПИТЕЛЬНОГО ИСПЫТАНИЯ
Дата и время проведения вступительного испытания определяются расписанием вступительных испытаний, которое утверждается председателем приемной комиссии.
Перед вступительным испытанием для поступающих проводится консультация по содержанию программы испытания, критериям оценки, предъявляемым требованиям, правилам поведения на испытании.
Форма вступительного испытания (в соответствии Положением о вступительных испытаниях УУНиТ): устно-письменная.
Экзаменационные билеты включают три вопроса по настоящей программе вступительных испытаний.
В аудитории, где проводится вступительное испытание в устно-письменной форме, не может находиться одновременно более 6 человек. Нахождение в аудитории посторонних лиц не допускается.
Вступительное испытание может проводиться с применением дистанционных технологий с использованием ВКС.
В случае проведения вступительного испытания с применением дистанционных технологий с использованием ВКС обязанность обеспечить наличие соответствующей технической возможности (в том числе наличие устройств для ВКС и Интернет-соединения) возлагается на абитуриента.
Абитуриенту предоставляется право готовиться к ответу в течение 30 минут.
Абитуриенту предоставляется право ответа на экзаменационные вопросы в течение 20-25 минут.
В процессе сдачи вступительного испытания абитуриенту могут быть заданы дополнительные вопросы как по содержанию экзаменационного билета, так и по любым разделам предмета в пределах программы вступительного испытания.
Абитуриент, не согласный с оценкой, полученной на ВИ и (или) в связи с нарушением процедуры проведения ВИ имеет право подать апелляцию. Процедура подачи и рассмотрения апелляции регламентируется Положением об апелляционной комиссии УУНиТ.
КРИТЕРИИ ОЦЕНИВАНИЯ ОТВЕТА
Критериями оценки экзаменационного ответа, поступающего в магистратуру являются полнота, логичность, доказательность, прочность, осознанность знаний и теоретическая обоснованность суждений, самостоятельность в интерпретации информации, практическая направленность, уровень овладения профессиональными умениями и др.
Результаты вступительного испытания определяются по 100-балльной шкале, разброс баллов представлен ниже в таблице:
|
№ |
Критерии оценивания |
Оценка |
|---|---|---|
|
1 |
Дан полный развернутый ответ на теоретический вопрос, в том числе грамотно использована научная терминология; четко сформулирована проблема, доказательно аргументированы выдвигаемые тезисы, указаны основные точки зрения, принятые в научной литературе по рассматриваемому вопросу; аргументирована собственная позиция или точка зрения, обозначены наиболее значимые в данной области научно-исследовательские проблемы. |
75-100 баллов «отлично» |
|
2 |
Дан в целом правильный ответ на теоретический вопрос:
|
46-74 балла «хорошо» |
|
3 |
Дан в основном правильный ответ на теоретический вопрос:
|
25-45 баллов «удовлетворительно» |
|
4 |
Дан фрагментарный ответ или неправильный ответ на теоретический вопрос из предложенного тематического раздела, в том числе отмечается наличие существенных пробелов в знаниях; отмечается отсутствие знания терминологии, научных оснований, признаков, характеристик рассматриваемой проблемы;
|
0-24 балла «неудовлетворительно» |
СОДЕРЖАНИЕ РАЗДЕЛОВ И ТЕМ ПРОГРАММЫ ВСТУПИТЕЛЬНОГО ИСПЫТАНИЯ
- Правовые системы современности.
- Место исламского права в современных правовых системах.
- Понятие и основные элементы формы государства.
- Основные теории происхождения государства.
- Цивилизационный и формационный подходы к типологии государства.
- Система права: понятие и элементы.
- Соотношение системы права и системы законодательства.
- Шариат в исламском праве.
- Исламское право при праведных халифах и Омейядах.
- Понятие и виды источников права.
- Особенности источников права мусульманской правовой семьи.
- Коран как источник права.
- Хадисы. Утверждение хадисов как второго (после Корана) источника правовой теории и практики.
- Понятия иджтихада и фикха.
- Влияние исламского права на правовую систему России.
- Механизм и типы правового регулирования.
- Понятие и значение систематизации права.
- Гармонизация, унификация и рецепция права.
- Аналогия закона и аналогия права.
- Толкование права: понятие, виды и способы.
- Понятие и принципы гражданства. Основания приобретения и прекращения гражданства.
- Субъекты правоотношений (физические лица): правоспособность, дееспособность, деликтоспособность в российском и зарубежном праве.
- Понятие и признаки юридических лиц в романо-германском и англо-американском и мусульманском праве.
- Состав правоотношения. Юридические факты как основание возникновения правоотношений
- Роль факихов, муджтахидов, муфтиев и кадиев в применении религиозного закона – Шариата.
- Источники финансового права в Российской Федерации.
- Правовая характеристика финансовой системы Российской Федерации, институты финансовой системы.
- Банковская деятельность: понятие, предмет, содержание.
- Налог и сбор как правовые категории: признаки, функции.
- Понятие несостоятельности (банкротства).
- Понятие и виды сделок.
- Формы сделок и последствия её несоблюдения.
- Понятие о закяте в исламе, значение закята в жизни мусульман.
- Понятие и сущность страхования. Договор страхования.
- Понятие, основания и виды юридической ответственности.
- Государственно-конфессиональные отношения в России: понятие, законодательные нормы.
- Правовые школы в исламском праве.
- Исламское право, как наука.
Демоверсия экзаменационного варианта
|
СПИСОК ЛИТЕРАТУРЫ
- Комаров, С. А. Общая теория государства и права : учебник для вузов / С. А. Комаров. – 10-е изд., испр. и доп. – Москва : Издательство Юрайт, 2025. – 528 с. – (Высшее образование). – ISBN 978-5-534-15392-7. – Текст : электронный // Образовательная платформа Юрайт [сайт]. – URL: https://urait.ru/bcode/562992
- Теория государства и права : учебник для вузов / под редакцией В. К. Бабаева. – 5-е изд., перераб. и доп. – Москва : Издательство Юрайт, 2024. – 620 с. – (Высшее образование). – ISBN 978-5-534-16788-7. – Текст : электронный // Образовательная платформа Юрайт [сайт]. – URL: https://urait.ru/bcode/535520
- Пиголкин, А. С. Теория государства и права : учебник для вузов / А. С. Пиголкин, А. Н. Головистикова, Ю. А. Дмитриев ; под редакцией А. С. Пиголкина, Ю. А. Дмитриева. – 4-е изд., перераб. и доп. – Москва : Издательство Юрайт, 2025. – 516 с. – (Высшее образование). – ISBN 978-5-534-01323-8. – Текст : электронный // Образовательная платформа Юрайт [сайт]. – URL: https://urait.ru/bcode/559574
- Теория государства и права для обучающихся по специальности «Правоохранительная деятельность» : учебное пособие для вузов / Р. А. Ромашов [и др.] ; под редакцией Р. А. Ромашова, Е. Л. Харьковского. – Москва : Издательство Юрайт, 2025. – 441 с. – (Высшее образование). – ISBN 978-5-534-11815-5. – Текст : электронный // Образовательная платформа Юрайт [сайт]. – URL: https://urait.ru/bcode/518431.
Сравнительно-сопоставительное языкознание
ПРОГРАММА
вступительного испытания
для поступающих в магистратуру по направлению подготовки
45.04.01 «Филология»
программа (профиль)
«Сопоставительная лингвистика и цифровые технологии»
ОБЩИЕ ПОЛОЖЕНИЯ
Вступительные испытания предназначены для определения практической и теоретической подготовленности поступающего в магистратуру и проводятся с целью определения соответствия знаний умений и навыков требованиям обучения магистратуры по направлению подготовки 45.04.01 «Филология» (магистратура). Программа составлена в соответствии с требованиями федерального государственного образовательного стандарта высшего профессионального образования.
Вступительные испытания в магистратуру проводят экзаменационные комиссии, назначенные председателем приёмной комиссии УУНиТ.
ПРОЦЕДУРА ВСТУПИТЕЛЬНОГО ИСПЫТАНИЯ
Дата и время проведения вступительного испытания и консультации определяются расписанием вступительных испытаний, которое утверждается председателем приемной комиссии.
Перед вступительным испытанием для поступающих проводится консультация по содержанию программы испытания, критериям оценки, предъявляемым требованиям, правилам поведения на испытании.
Форма вступительного испытания (в соответствии Положением о вступительных испытаниях УУНИТ): устно-письменно.
Вступительные испытания проводятся в соответствии с программами вступительных испытаний, утверждаемых председателем приемной комиссии.
Экзаменационные билеты включают два вопроса по направлению подготовки (по специальности).
В аудитории, где проводится вступительное испытание в устной форме, не может находиться одновременно более 6 человек. Нахождение в аудитории посторонних лиц не допускается.
Абитуриенту предоставляется право готовиться к ответу в течение 30 минут.
Абитуриенту предоставляется право ответа на экзаменационные вопросы в течение 20-25 минут.
В процессе сдачи вступительного испытания абитуриенту могут быть заданы дополнительные вопросы по любым разделам предмета в пределах программы вступительного испытания.
Абитуриент, не согласный с оценкой, полученной на ВИ и (или) в связи с нарушением процедуры проведения ВИ имеет право подать апелляцию. Процедура подачи и рассмотрения апелляции регламентируется Положением об апелляционной комиссии УУНиТ.
КРИТЕРИИ ОЦЕНИВАНИЯ ОТВЕТА
Критериями оценки экзаменационного ответа, поступающего в магистратуру являются полнота, логичность, доказательность, прочность, осознанность знаний и теоретическая обоснованность суждений, самостоятельность в интерпретации информации, практическая направленность, уровень овладения профессиональными умениями менеджера и др. В случае тестирования является правильные ответы на тестовые задания.
Результаты вступительного испытания определяются по 100-балльной шкале, разброс баллов представлен ниже в таблице:
|
№ |
Критерии оценивания |
Оценка |
|
1 |
Дан полный развернутый ответ на теоретический вопрос:
|
85-100 баллов «отлично» |
|
2 |
Дан в целом правильный ответ на теоретический вопрос:
|
67-84 балла «хорошо» |
|
3 |
Дан в основном правильный ответ на теоретический вопрос:
|
50-66 баллов «удовлетворительно» |
|
4 |
Дан фрагментарный ответ или неправильный ответ на теоретический вопрос из предложенного тематического раздела:
|
0-49 баллов «неудовлетворительно» |
СОДЕРЖАНИЕ РАЗДЕЛОВ И ТЕМ ПРОГРАММЫ ВСТУПИТЕЛЬНОГО ИСПЫТАНИЯ
- Теории сопоставительного изучения языков
- Компаративные и контрастивные исследования языков.
- Актуальные аспекты сопоставительного описания языков в рамках проблемы языка как средства межнационального общения.
- Психолингвистическое и социолингвистическое направление сопоставительных исследований.
- Лингвофилософское направление в языкознании.
- Лингвистическая гносеология
- Сравнительно-историческая лингвистика
- Практическая лингвистика
- Понятие эквивалентности в контрастивной лингвистике.
- Теория перевода.
- Сопоставительная лингвокультурология.
II Методы сопоставительных лингвистических исследований
1.Сопоставительный метод в языкознании.
2. Лингвокультурологический метод.
3. Полевый метод исследования языковых систем.
4.Сравнительно-историческеий метод.
5. Системный подход.
6. Дискурсивный метод.
7. Антропоцентрический метод.
8. Аксиологический метод.
9. Коммуникативно-прагматический метод.
10. Междисциплинарный подход.
III Сопоставительная лингвистика и коммуникативно-когнитивные исследования
- Когнитивная лингвистика.
- Концептология, Теория концептов.
- Культурологическое направление когнитивной лингвистики:
- Структура концепта и методика его описания
- Понятие концептосферы.
- Проблемы коммуникации и языкового поведения личности в сопоставительных исследованиях.
- Языковая картина мира.
- Понятие стереотипов.
- Лингвокультурный код.
- Национально-языковая картина мира.
IV. Сопоставительная лингвистика и перевод
- Контрастивная лингвистика и теория перевода.
- Терминология в свете контрастивной лингвистики и перевода.
- Речевые тактики и стратегии.
- Адекватность перевода.
- Эквивалентность перевода.
- Проблемы исходного и переводящего языков в рамках сопоставительных исследований.
- Язык-эталон.
- Фоновые знания и имплицитная информация.
- Лингвистические и переводческие лексические сопоставления.
- Лексика, содержащая фоновую информацию
V. Медиатекст в сопоставительном аспекте.
- Цифровые образовательные технологии.
- Инфостилистика.
- Теоретические основы медиалингвистики.
- Лингвомедийные свойства основных типов медиатекстов.
- Медиатекст в когнитивно-культурологическом аспекте.
- Тексты массовой информации как способ когнитивного отражения действительности.
- Медиатекст: уровень лингвокультурологического описания.
- Тексты массовой информации в свете взаимодействия культур.
- Основные типы медиатекстов: новости, информационная аналитика, публицистика, реклама.
VI. Цифровые образовательные технологии
- Корпусная лингвистика.
- Машинный перевод.
- Методы качественного анализа и данные в условиях цифрового общества.
- Гипертекст.
- Компьютерная лингводидактика.
- Автоматическая обработка текста.
- Корпус текстов/ Корпусы текстов
- Идеографический словарь
- Информационно-поисковый тезаурус
Демоверсия экзаменационного варианта
пробный билет
МИНИСТЕРСТВО НАУКИ И ВЫСШЕГО ОБРАЗОВАНИЯ РФФЕДЕРАЛЬНОЕ ГОСУДАРСТВЕННОЕ БЮДЖЕТНОЕОБРАЗОВАТЕЛЬНОЕ УЧРЕЖДЕНИЕ ВЫСШЕГО
ОБРАЗОВАНИЯ «УФИМСКИЙ УНИВЕРСИТЕТ НАУКИ И ТЕХНОЛОГИЙ»
Вступительные экзамены
по магистерской программе «Сопоставительная лингвистика и цифровые технологии»
2025-2026 учебный год
Экзаменационный билет № 1
1. Сопоставительный метод в языкознании.
2. Машинный перевод.
Зав. кафедрой д.ф.н., проф. Ф.Г. Фаткуллина
СПИСОК ЛИТЕРАТУРЫ
Основная литература:
- Боронникова, Н.В. История лингвистических учений: учебное пособие / Н.В. Боронникова, Ю.А. Левицкий. – М.:Директ-Медиа, 2013. – 524 с. – ISBN 978-5- 4458-3070-2; То же [Электронный ресурс]. – URL: http://biblioclub.ru/index.php?page=book&id=210685/
- Мечковская Н.Б. Общее языкознание. Структурная и социальная типология языков. – 4-е изд., испр. – М.: Флинта; Наука, 2011.
- Белоусов К.И. Междисциплинарность и полипарадигмальность в отечественной лингвистике / К.И. Белоусов, Д.А. Баранов, Н.В. Боронникова [и др.] // Вестник Российской академии наук. 2017. Т.87. №11. С. 986-998.
- Голенок М.П., Осипова Н.О. Digital humanities: проблемное поле и перспективы развития/ Научное обозрение: электронный журнал. [Электронный ресурс]. - URL: https://srjournal.ru/wp-content/uploads/2018/01/ID85.pdf .
Дополнительная литература
- Аракин В.Д. Сравнительная типология английского и русского языков. – М.: ФИЗМАТЛИТ, 2005 – 232 c.
- Ахманова О.С. Словарь лингвистических терминов. – М.: Советская энциклопедия, I966. –605 с.
- Большой Энциклопедический словарь. Языкознание/ Под ред. В.Н. Ярцевой. – М., 1998.– 685 с.
- Бородкин Л.И. Digital history: применение цифровых медиа в сохранении историко-культурного наследия? // Ист. информатика. 2012. № 1.
- Бушковская Е.А. Феномен междисциплинарности в зарубежных исследованиях // Вестник ТГУ. 2010. №330. С. 152-155./ КиберЛенинка [Электронный ресурс]. - URL: https://cyberleninka.ru/article/n/fenomen-mezhdistsiplinarnosti-v-zarubezhnyh-issledovaniyah
- Буранов Дж. Сравнительная типология английского и тюркских языков. – М., 1983.
- Вайнрайх У. Одноязычие и многоязычие // Новое в лингвистике. – М, 1972. Вып. 6. – С.37-42.
- Верещагин Е.М., Костомаров В.Г. Язык и культура: Лингвострано-ведение в преподавании русского языка как иностранного.- М.: Русский язык, 1976. – 248 с.
- Зеленецкий А.П. Сравнительная типология основных европейских языков. – М.: Академия, 2004.
- Зеленецкий А.П., Монахов П.Ф. Сравнительная типология немецкого и русского языков. – М.: Просвещение, 1983.
- Кашкин В.Б. Сопоставительная лингвистика. Учебное пособие для вузов. – Воронеж 2007. –88 с Комиссаров В.И. Лингвистика перевода. М.: Междунар.отношения,1980. 166 с.
- Комиссаров В.Н. Лингвистика перевода. – М., 1980.
- Кунин А.В. Английская фразеология. – М., 1970.
- Маслова В.А. Когнитивная лингвистика. – Мн. : ТетраСистемс, 2004
- Мечковская Н.Б. Общее языкознание. Структурная и социальная типология языков. – 4-е изд., испр. – М.: Флинта; Наука, 2011.
- Русский язык. Энциклопедия. –М.: Наука, 1982. – 182 с.
- Сопоставительная лингвистика и обучение неродному языку. – М.: Наука, 1987. –146 с.Ярцева В.Н. Контрастивная грамматика. М.: Наука, 1981;
- Хайруллина Р.Х. Сопоставительная лингвокультурология: учебное пособие для магистрантов. – Уфа: Мир печати, 2014
- Шенкнехт Р.О. Опыт сопоставительной морфологии немецкого и башкирского языков. – Уфа, 1959.
- Этнопсихолингвистика / Под ред. Сорокина Ю.А. – М., 1988.
- Якобсон Р. Типологические исследования и их вклад в сравнительно-историческое языкознание// Вып. 3. – Типологическое изучение языков. – 1963. – с. 95-106. Сетевой ресурс: http://biblioclub.ru/.
Интернет-ресурсы:
- Российский гуманитарный интернет-университет. Библиотека учебной и научной литературы: http://www.i-u.ru/biblio
- Электронная гуманитарная библиотека www.gumfak.ru. Раздел «Русский язык»: http://www.gumfak.ru
- Библиотека русского филологического портала Philology.ru: http://www.philology.ru/literature1.htm
- Справочно-информационный портал http://www.gramota.ru
Информационные и математические науки
ПРОГРАММА
вступительных испытаний
для поступающих в магистратуру по направлениям подготовки
02.04.01 «Математика и компьютерные науки»
программа (профиль)
«Анализ данных и компьютерное моделирование»
02.04.03 «Математическое обеспечение и администрирование информационных систем»
программа (профиль)
«Математическое обеспечение вычислительных комплексов и систем»
ОБЩИЕ ПОЛОЖЕНИЯ
Вступительные испытания предназначены для определения практической и теоретической подготовленности поступающего в магистратуру и проводятся с целью определения соответствия знаний умений и навыков требованиям обучения магистратуры по направлениям подготовки 02.04.01 «Математика и компьютерные науки» (магистратура), 02.04.03 «Математическое обеспечение и администрирование информационных систем» (магистратура). Программа составлена в соответствии с требованиями федерального государственного образовательного стандарта высшего профессионального образования.
Вступительные испытания в магистратуру проводят экзаменационные комиссии, назначенные председателем приёмной комиссии УУНиТ.
ПРОЦЕДУРА ВСТУПИТЕЛЬНОГО ИСПЫТАНИЯ
Дата и время проведения вступительного испытания и консультации определяются расписанием вступительных испытаний, которое утверждается председателем приемной комиссии.
Перед вступительным испытанием для поступающих проводится консультация по содержанию программы испытания, критериям оценки, предъявляемым требованиям, правилам поведения на испытании.
Форма вступительного испытания (в соответствии Положением о вступительных испытаниях УУНИТ): тестирование.
Вступительные испытания в виде электронного тестирования проводятся в соответствии с программами вступительных испытаний, утверждаемых председателем предметной комиссии.
Вступительные испытания в форме тестирования включают вопросы как закрытого, так и открытого типа, а также задания в аудио- и видеоформатах.
Составление вариантов экзаменационных заданий в форме электронных тестов осуществляется ответственным секретарем приемной комиссии университета.
Из вариантов экзаменационных заданий формируются комплекты вопросов-тестов.
Компоновку комплектов вопросов-тестов ответственный секретарь, заместитель ответственного секретаря производят до вступительных испытаний.
Тест содержит 40 тестовых вопросов.
Результаты испытаний оцениваются по 100 бальной шкале.
Абитуриент, не согласный с оценкой, полученной на ВИ и (или) в связи с нарушением процедуры проведения ВИ имеет право подать апелляцию. Процедура подачи и рассмотрения апелляции регламентируется Положением об апелляционной комиссии УУНиТ.
КРИТЕРИИ ОЦЕНИВАНИЯ ОТВЕТА
Критериями оценки экзаменационного ответа, поступающего в магистратуру являются полнота, логичность, доказательность, прочность, осознанность знаний и теоретическая обоснованность суждений, самостоятельность в интерпретации информации, практическая направленность, уровень овладения профессиональными умениями менеджера и др. В случае тестирования является правильные ответы на тестовые задания.
При проверке количество первичных баллов переводится в итоговую 100 балльную шкалу через информационную платформу университета.
СОДЕРЖАНИЕ РАЗДЕЛОВ И ТЕМ ПРОГРАММЫ ВСТУПИТЕЛЬНОГО ИСПЫТАНИЯ
Программа вступительных испытаний для направлений магистратуры УГСН 02.00.00 включает в себя следующие дисциплины:
- Математика
- Специальные главы математики
- Информатика
Coдержaниe программы по дисциплине «Maтeмaтикa»
-
- Линейная алгебра.
- Матрицы и действия над ними. Сложение матриц, умножение матрицы на число, транспонирование матриц, произведение матриц.
- Определители, их свойства и вычисление.
- Ранг матрицы. Системы линейных алгебраических уравнений и условие их совместности. Теорема Кронекера-Капелли. Использование метода Гаусса для решения систем линейных уравнений.
- Обратная матрица. Решение систем линейных уравнений матричным способом. Формулы Крамера.
-
- Векторная алгебра.
- Векторы. Линейные действия над векторами. Проекция вектора на ось. Вектор в прямоугольной декартовой системе координат.
- Скалярное, векторное и смешанное произведения векторов, их свойства и выражение через координаты сомножителей.
- Векторная алгебра.
-
- Аналитическая геометрия.
- Прямая на плоскости. Общее, каноническое и параметрическое уравнение прямой. Нормальное уравнение прямой. Расстояние от точки до прямой. Взаимное расположение двух прямых. Угол между двумя прямыми.
- Плоскость в пространстве. Общее уравнение плоскости. Нормальное уравнение плоскости. Расстояние от точки до плоскости. Угол между плоскостями.
- Прямая в пространстве. Общие уравнения прямой, канонические уравнения прямой и параметрические уравнения прямой. Угол между прямыми в пространстве.
- Прямая и плоскость в пространстве. Взаимное расположение прямой и плоскости в пространстве. Угол между прямой и плоскостью.
- Эллипс. Гипербола. Парабола. Вывод канонических уравнений.
- Поверхности второго порядка. Эллипсоид, сфера, однополостной гиперболоид, двуполостной гиперболоид, конус, эллиптический параболоид, гиперболический параболоид, эллиптический цилиндр, гиперболический цилиндр, параболический цилиндр.
-
- Математический анализ.
- Непрерывность функции. Точки разрыва функции и их классификация.
- Производная функции, ее геометрический смысл. Основные правила дифференцирования. Уравнение касательной и нормали к плоской кривой. Производная сложной функции.
- Условие возрастания и убывания функций. Точки экстремума. Достаточные признаки максимума и минимума. Отыскание наибольших и наименьших значений непрерывной на отрезке функции. Исследование на максимум и минимум с помощью производных высших порядков. Исследование функций на выпуклость. Точки перегиба. Асимптоты кривой.
- Первообразная. Неопределенный интеграл и его свойства. Замена переменной, интегрирование по частям. Интегрирование рациональных функций. Интегрирование тригонометрических функций. Интегрирование иррациональных функций.
- Определение определенного интеграла. Основные свойства определенного интеграла. Замена переменной и интегрирование по частям в определенном интеграле. Формула Ньютона-Лейбница.
- Несобственные интегралы с бесконечными пределами. Несобственные интегралы от неограниченных функций.
- Функции многих переменных. Частные производные и полный дифференциал функции многих переменных. Дифференцирование сложных функций многих переменных. Касательная плоскость и нормаль к поверхности. Частные производные высших порядков.
-
- Числовые и функциональные ряды.
1) Понятие числового ряда, его суммы. Сходящиеся и расходящиеся ряды. Необходимое условие сходимости.
- Основные признаки сходимости знакоположительных рядов, признаки сравнения, Даламбера, радикальный признак Коши, интегральный признак Коши.
- Знакопеременные ряды, абсолютная и условная сходимость. Знакочередующиеся ряды. Признак Лейбница для сходимости знакочередующегося ряда.
- Функциональные ряды, область сходимости функциональных рядов. Степенные ряды, лемма Абеля. Ряд Тейлора. Разложение элементарных функций в степенные ряды. Ряд Маклорена.
-
- Комплексный анализ.
- Комплексные числа. Геометрическая, тригонометрическая и показательная форма комплексного числа. Арифметические действия над комплексными числами, сложение, вычитание, умножение и деление.
- Функции комплексного переменного. Дифференцирование функции комплексного переменного. Условия Коши-Римана.
- Интегрирование функции комплексного переменного. Основные свойства интеграла.
- Теорема Коши и интегральная формула Коши.
- Особые точки аналитических функций. Вычеты, способы их вычисления, основная теорема о вычетах. Применение вычетов для вычисления интегралов.
-
- Дифференциальные уравнения.
- Дифференциальные уравнения с разделяющимися переменными. Однородные дифференциальные уравнения. Линейные дифференциальные уравнения 1 порядка. Уравнение Бернулли.
- Линейные однородные дифференциальные уравнения 2 порядка с постоянными коэффициентами. Линейные неоднородные дифференциальные уравнения 2 порядка с постоянными коэффициентами. Метод неопределенных коэффициентов.
-
- Гармонический анализ.
Тригонометрические ряды. Достаточные условия сходимости ряда Фурье. Разложение в ряд Фурье периодических функций. Теорема Дирихле.
Содержание программы по дисциплине «Специальные главы математики (Теория вероятностей, Вычислительная математика)»
- Теория вероятностей
Виды случайных событий. Теоремы сложения и умножения вероятностей, вероятность сумм ы событий, вероятность произведения событий. Независимые события.
Формула полной вероятности и формулы Байеса.
Дискретная случайная величина и ее закон распределения. функция распределения случайной величины. Числовые характеристики дискретных случайных величин.
Непрерывная случайная величина и ее закон распределения. Плотность распределения и функция распределения. Числовые характеристики непрерывных случайных величин.
- Численные методы
Линейное программирование. Транспортная задача. Сетевое планирование и управление. Теория игр: матричные игры.
Численные методы решения алгебраических уравнений. Численные методы анализа. Численные методы решения дифференциальных уравнений.
Численное дифференцирование и интегрирование. Интерполирование функций: интерполяционный многочлен Лагранжа.
Содержание программы по дисциплине «Информатика»
- Основные понятия и методы теории информатики и кодирования.
Общая характеристика процессов сбора, передачи, обработки и накопления информации. Сообщения, данные, сигнал, атрибутивные свойства информации, показатели качества информации, формы представления информации. Системы передачи информации. Меры и единицы количества и объема информации. Позиционные системы счисления. Логические основы ЭВМ.
- Технические средства реализации информационных процессов.
История развития ЭBM. Понятие и основные виды архитектуры ЭВМ. Состав и назначение основных элементов персонального компьютера, их характеристики. Запоминающие устройства: классификация, принцип работы, основные характеристики. Устройства ввода/вывода данных, их разновидности и основные характеристики
- Программные средства реализации информационных процессов.
Понятие системного и служебного (сервисного) программного обеспечения: назначение, возможности, структура. Операционные системы. Файловая структура операционных систем. Операции с файлами. Технологии обработки текстовой информации. Электронные таблицы. Технологии обработки графической информации. Средства электронных презентаций. Системы управления базами данных. Основы баз данных и знаний.
- Алгоритмизация и программирование.
Понятие алгоритма и его свойства. Блок-схема алгоритма. Основные алгоритмические конструкции. Газовые алгоритмы. Программы линейной структуры. Операторы ветвления, операторы цикла.
- Локальные и глобальные сети ЭВМ. Зашита информации в сетях.
Сетевые технологии обработки данных. Основы компьютерной коммуникации. Принципы организации и основные топологии вычислительных сетей. Сетевой сервис и сетевые стандарты. Защита информации в локальных и глобальных компьютерных сетях.
- Технологии программирования. Языки программирования высокого уровня.
Этапы решения задач на компьютерах. Понятие о структурном программировании. Модульный принцип программирования.
Подпрограммы. Принципы проектирования программ сверху-вниз и снизу- вверх. Объектно-ориентированное программирование. Эволюция и классификация языков программирования. Основные понятия языков программирования. Структуры и типы данных языка программирования.
Трансляция, компиляция и интерпретация
Демоверсия экзаменационного варианта
пробный тест
1
Дана матрица
. Тогда матрица
имеет вид…
A)
B)
C)
D) 
ОТВЕТ:
2 Даны вершины треугольника А(-3;2), B(1;2), C(-1;-2) и медиана СD. Тогда сумма координат точки D равна …
ОТВЕТ:
3 Точка (-1;3;6) лежит на прямых, заданных уравнениями …
A)
B)
C)
D) 
ОТВЕТ:
4
Точка x=4 для функции
является точкой …
A) непрерывности
B) разрыва I рода (неустранимый разрыв)
C) разрыва I рода (устранимый разрыв)
D) разрыва II рода
ОТВЕТ:
5
Производная функции
имеет вид…
A)
B) 
C)
D) 
ОТВЕТ:
6 Значение производной функции комплексного переменного
в точке
равно …
A) - 36 + 90i B) - 36 - 90i C) 36 D) 36 + i
ОТВЕТ:
7
График периодической функции имеет вид:

S(x)— сумма ряда Фурье для этой функции. Тогда сумма S(1) равна …
ОТВЕТ:
8
Числовой ряд
сходится при значениях a, равных …
A) 8 B) 9 C) 7 D) 6
ОТВЕТ:
9 В магазине «Канцелярские товары» имеются в продаже шесть видов цветных карандашей, семь видов красок и пять видов цветной бумаги. Сколькими способами можно составить комплект для уроков художественного труда, состоящий из коробки цветных карандашей, красок и набора цветной бумаги?
A) 18 B) 90 C) 210 D) 256
ОТВЕТ:
10 В коробке шесть одинаковых, занумерованных кубиков. Наудачу по одному извлекают все кубики. Найти вероятность того, что номера извлеченных кубиков появятся в возрастающем порядке.
A) ½ B) 1/3 C) 1/6 D) 1/72 E) 1/720
ОТВЕТ:
11 В вычислительной лаборатории имеются шесть клавишных автоматов и четыре полуавтомата. Вероятность того, что за время выполнения некоторого расчета автомат не выйдет из строя, равна 0,95; для полуавтомата эта вероятность равна 0,8. Студент производит расчет на наудачу выбранной машине. Найти вероятность того, что до окончания расчета машина не выйдет из строя.
ОТВЕТ:
12 В семье пять детей. Найти вероятность того, что среди этих детей не менее двух и не более трех мальчиков. Вероятность рождения мальчика принять равной 0,51.
ОТВЕТ:
13 По данным выборки объема n=25 найдено несмещенное значение выборочного среднего квадратичного отклонения s=3 нормально распределенной случайной величины Х. Найти с надежностью 0,99 доверительный интервал для оценки среднего квадратичного отклонения.
A) (2,01; 5,88) B) (14,04; 17;96) C) (1,46; 3,17) D) (18,72; 21;28) E) (29,04; 30,96)
ОТВЕТ:
14 Из генеральной совокупности извлечена выборка:

Найти выборочную среднюю.
ОТВЕТ:
15 График функции y=f(x) проходит через точки

Тогда ее интерполяционный многочлен второго порядка равен …
A)
B)
C)
D) 
ОТВЕТ:
16 Для передачи сигналов на флоте используются цепочки сигнальных флагов, вывешиваемых в одну линию (последовательность флагов в цепочке важна). Каждая цепочка кодирует один сигнал. Какое количество различных сигналов может передать корабль при помощи цепочек, состоящих из четырёх сигнальных флагов, если на корабле имеются флаги пяти различных видов и флагов каждого вида неограниченное количество?
ОТВЕТ:
17 Истинными являются логические выражения

A) а, в B) а, г C) б, в D) в, г
ОТВЕТ:
18 Представлена база данных MS Access «Гостиница».

После сортировки в порядке возрастания по полю «Номер» сведения о номере ценой 250 переместятся на ______ вверх.
A) две строки B) три строки C) одну строку D) четыре строки
ОТВЕТ:
19 В представленном фрагменте программы
a := 10
b := 40
нц пока b >= a
| b := b – a
кц
тело цикла выполнится ________ раз(а).
A) 4 B) 3 C) 2 D) 1 ОТВЕТ:
20 В представленной рекурсивной подпрограмме
функция F(K);
начать функцию
если K>3 то
F:=F(K-1)*K
иначе F:=1;
все
конец функции
при вызове функции F с параметром 6: F(6) – будет возвращено значение ...
СПИСОК ЛИТЕРАТУРЫ
- Веклемишев Д. В. Kypc аналитической геометрии и линейной алгебры. М.: Физматлит, 2007.
- Проскуряков Н.В. Сборник задач по линейной алгебре. СПб: Лань, 2008.
- Беклемишева Л.А. Сборник задач по аналитической геометрии и линейной алгебре. М.: Физматлит, 2006.
- Ефимов Н.В. Линейная алгебра и многомерная геометрия. М.: Физматлит, 2004.
- Ильин В.А., Позняк Э.Г. Основы математического анализа. Т. 1, 2. М.:Физматлит, 2009.
- Фихтенгольц Г.М. Kypc дифференциального и интегрального исчисления. Т. 1, 2, 3. М.: Физматлит, 2003, 2007, 2008.
- ,Демидович Б.П. Сборник заqач и упражнений по математическому анализу. М.: Астрель, 2007.
- Кудрявцев ЈІ.Д, Кутасов А.Д., Чехлов В.Н., Шабунин М.Н. Сборник задач по математическому анализу. В 3-x т. М.: Физматлит, 2003.
- Свешников А.Г., Тихонов А.Н. Теория функций комплексной переменной. М.: Физматлит, 2004.
- Волковыский Л.Н., Лунц Г.А., Араманович Н.Г. Сборник задач по теории функций комплексного переменного. М.: Физматлит, 2004.
- Васильев Ф.П. Методы оптимизации. Учебник и практикум для бакалавриата и магистратуры. М:Юрайт, 2016.
- Гмурман В.Е. Теория вероятности и математическая статистика: [учебное пособие для студентов вузов] — М.: Юрайт, 2015. – 479 с.
- Ерзин А.Н. Введение в исследование операций: Учебное пособие/ А.Н. Ерзин. – Новосиб.гос.ун-т. Новосибирск. 2008. 100c.
- Киреев В.Н. Численные методы в примерах и задачах: [учебное пособие для студентов вузов, обучающихся по направлению «Прикладная математика»] / В.Н. Киреев, А.В. Пантелеев — CПб: Лань, 2015 – 448 с.
- Мартынов А.П., Валеева А.Ф., Валеев Р.С. Методы повышения эффективности вычислительных схем в задачах оптимизации //Учебное пособие, Изд-во УГАТУ, 2013. 142 с.
- Срочко В.А. Численные методы: учебное пособие — СПб: Лань, 2016 – 208 с.
- Информатика [Электронный ресурс]: курс лекций / Л. И. Шехтман [и др.]; ГОУ ВПО УГАТУ - Уфа: УГАТУ, 2011
- Информатика. базовый курс: [учебное пособие для студентов высших технических учебных заведений] / под ред. С. В. Симоновича - Санкт-Петербург [и др.]: Питер, 2011 - 637 с.
- Каймин В. А. Информатика: учебник / В. А. Каймин. — Москва: Проспект, 2010. — 270 с.
- Кудинов Ю. Н. Основы современной информатики [Электронный pecypc]: [учебное пособие для студентов высших учебных заведений, обучающихся по специальности «Прикладная информатика»] / Ю. Н. Кудинов, Ф. Ф. Пащенко - Санкт-Петербург [и др.]: Лань, 2011 - 256 с.
- Новожилов, О. П. Информатика : [учебное пособие для студентов высших учебных заведений, обучающихся по специальностям группы "Экономика и управление" и направлению "Информатика и вычислительная техника"] / О. П. Новожилов ; Московский государственный индустриальный университет (MГHУ) .– 2-е изд., испр. и доп. – Москва : Юрайт, 2013 – 564 с.
- Макарова, Н. В. Информатика : [учебник для студентов вузов, обучающихся по направлениям подготовки бакалавров "Системный анализ и управление" и "Экономика и управление"] / Н. В. Макаров, В. Б. Волкова .— Санкт-Петербург [и др.] : Питер, 2013 .— 576 с.
- Кауфман В. Ш. Языки программирования. Концепции и принципы [Электронный ресурс]: [пособие для студентов вузов] / В. 111. Кауфман - Москва: QMK HPECC, 2010 - 464 с.
- Орлов, С. А. Теория и практика языков программирования [учебник по направлению "Информатика и вычислительная техника"] / С. А. Орлов .— Санкт-Петербург [и др.] : Питер , 2013 .— 688 с.
- Хорев, П. Б. Объектно-ориентированное программирование [учебное пособие для студентов, обучающихся по направлению "Информатика и вычислительная техника"] / П. Б. Хорев .— 3-e изд., испр. — Москва : Академия, 2011 .— 446, [2] с.
- Методы и средства проектирования информационных систем и технологий : учебное пособие. — Санкт-Петербург : СПбГЛТУ, 2019. — 248 с. — ISBN 978-5-9239-1113-8. — Текст : электронный // Лань : электронно-библиотечная система. — URL: https://e.lanbook.com/book/120059
- Ланских, Ю. В. Методы и средства проектирования информационных систем и технологий : учебное пособие : в 3 частях / Ю. В. Ланских. — Киров : ВятГУ, 2019 — Часть 1 : Основы моделирования информационных систем — 2019. — 176 с. — Текст : электронный // Лань : электронно-библиотечная система. — URL: https://e.lanbook.com/book/164441
- Маккинни, У. Python и анализ данных / У. Маккензи; перевод с ан-глийского А. А. Слинкина. — 2-ое изд., испр. и доп. — Москва: ДМК Пресс, 2020. — 540 с. — ISBN 978-5-97060-590-5. — Текст: электронный // Лань: электронно-библиотечная система. — URL: https://e.lanbook.com/book/131721.
- Павлов, Л. А. Структуры и алгоритмы обработки данных: учебник для вузов / Л. А. Павлов, Н. В. Первова. — 3-е изд., стер. — Санкт-Петербург: Лань, 2021. — 256 с. — ISBN 978-5-8114-7259-8. — Текст: элек-тронный // Лань: электронно-библиотечная система. — URL: https://e.lanbook.com/book/156929
- Барков, И. А. Объектно-ориентированное программирование : учебник / И. А. Барков. — Санкт-Петербург : Лань, 2022. — 700 с. — ISBN 978-5-8114-3586-9. — Текст : электронный // Лань : электронно-библиотечная система. — URL: https://e.lanbook.com/book/206699
- Абдуллаева, О.С., Информационные технологии : учебник / О.С. Абдуллаева, А.И. Исомиддинов, С.Х. Абдуллаева. — Москва : Русайнс, 2022. — 189 с. — ISBN 978-5-4365-8803-2. — URL:https://book.ru/book/943449
- Управление проектами в области информационных технологий : учебное пособие / И.В. Трифонов, Н.Н. Трифонова, Н.А. Череповская [и др.] ; под ред. А.В. Лукьяновой. — Москва : КноРус, 2022. — 235 с. — ISBN 978-5-406-09161-6. — URL:https://book.ru/book/942673
- Литвин, Ю. И. Проектный менеджмент: теория и практика : учебное пособие / Ю. И. Литвин, Л. И. , Р. Р. Харисова. — Москва : Прометей, 2020. — 240 с. — ISBN 978-5-907166-99-8. — Текст : электронный // Лань : электронно-библиотечная система. — URL: https://e.lanbook.com/book/165992
- Технологии программирования : учебное пособие / А. В. Гайдель, А. В. Благов, В. И. Проценко, А. С. Широканев. — Самара : Самарский университет, 2020. — 108 с. — ISBN 978-5-7883-1554-6. — Текст : электронный // Лань : электронно-библиотечная система. — URL: https://e.lanbook.com/book/189025.
- Волк В. К. Базы данных. Проектирование, программирование, управление и администрирование [Электронный ресурс]: учебник / Волк В. К. - Санкт-Петербург: Лань, 2020 - 244 с. https://e.lanbook.com/book/126933
- Кукарцев, В. В. Проектирование и архитектура информационных систем : учебник / В. В. Кукарцев, Р. Ю. Царев, О. А. Антамошкин. — Красноярск : СФУ, 2019. — 192 с. — ISBN 978-5-7638-3620-2. — Текст : электронный // Лань : электронно-библиотечная система. — URL: https://e.lanbook.com/book/157581
- Прокушев, Я. Е. Базы данных : учебное пособие / Я. Е. Прокушев. — 2-е изд., доп. — Санкт-Петербург : Интермедия, 2022. — 264 с. — ISBN 978-5-4383-0250-6. — Текст : электронный // Лань : электронно-библиотечная система. — URL: https://e.lanbook.com/book/217925
- Орешков, В. И. Хранилища данных и OLAP-технологии : учебное пособие / В. И. Орешков. — Рязань : РГРТУ, 2017. — 64 с. — Текст : электронный // Лань : электронно-библиотечная система. — URL: https://e.lanbook.com/book/167981
- Хабаров, С. П. Представление знаний в информационных системах. Использование среды PIE при проектировании баз данных и знаний : учебное пособие / С. П. Хабаров, Л. Г. Пушкарева ; под редакцией А. М. Заяц. — Санкт-Петербург : СПбГЛТУ, 2019. — 66 с. — ISBN 978-5-9239-1107-7. — Текст : электронный // Лань : электронно-библиотечная система. — URL: https://e.lanbook.com/book/117636
- Гаврилова, И. В. Основы искусственного интеллекта [Электронный ресурс] : учеб. пособие / Гаврилова И. В., Масленникова О. Е. — 3-е изд., стер. — Москва : ФЛИНТА, 2019 .— 283 с. — ISBN 978-5-9765-1602-1 .— URL:https://e.lanbook.com/book/115839
Междисциплинарный экзамен по педагогике
ПРОГРАММА
вступительных испытаний
для поступающих в магистратуру по направлению подготовки
44.04.01 «Педагогическое образование»
программа (профиль)
«Управление образованием»
ОБЩИЕ ПОЛОЖЕНИЯ
Вступительные испытания предназначены для определения практической и теоретической подготовленности поступающего в магистратуру и проводятся с целью определения соответствия знаний умений и навыков требованиям обучения магистратуры по направлению подготовки 44.04.01 «Педагогическое образование» (магистратура). Программа составлена в соответствии с требованиями федерального государственного образовательного стандарта высшего профессионального образования.
Вступительные испытания в магистратуру проводят экзаменационные комиссии, назначенные председателем приёмной комиссии УУНиТ.
ПРОЦЕДУРА ВСТУПИТЕЛЬНОГО ИСПЫТАНИЯ
Дата и время проведения вступительного испытания и консультации определяются расписанием вступительных испытаний, которое утверждается председателем приемной комиссии.
Перед вступительным испытанием для поступающих проводится консультация по содержанию программы испытания, критериям оценки, предъявляемым требованиям, правилам поведения на испытании.
Форма вступительного испытания (в соответствии Положением о вступительных испытаниях УУНИТ): устно-письменная.
Вступительные испытания в виде устного, устно-письменного, проводятся в соответствии с программами вступительных испытаний, утверждаемых председателем приемной комиссии.
Экзаменационные билеты вступительного экзамена включают три вопроса, один из них направлен на выявление уровня овладения теоретическими знаниями в области педагогической науки. Второй вопрос направлен на выявление знаний по теории обучения и воспитания. Третий вопрос дает возможность определить готовность к дисциплинам профильной подготовки, к осуществлению различных видов деятельности: научно-исследовательской, педагогической, проектно-технологической, методической, управленческой.
В аудитории, где проводится вступительное испытание в устной форме, не может находиться одновременно более 6 человек. Нахождение в аудитории посторонних лиц не допускается.
Абитуриенту предоставляется право готовиться к ответу в течение 30 минут.
Абитуриенту предоставляется право ответа на экзаменационные вопросы в течение 20-25 минут.
В процессе сдачи вступительного испытания абитуриенту могут быть заданы дополнительные вопросы как по содержанию экзаменационного билета, так и по любым разделам предмета в пределах программы вступительного испытания.
Абитуриент, не согласный с оценкой, полученной на ВИ и (или) в связи с нарушением процедуры проведения ВИ имеет право подать апелляцию. Процедура подачи и рассмотрения апелляции регламентируется Положением об апелляционной комиссии УУНиТ.
Методические рекомендации к проведению вступительных испытаний
Вступительные испытания по направлению подготовки 44.04.01 «Педагогическое образование» имеет комплексный характер и позволяет оценить готовность абитуриентов к обучению в магистратуре.
Процесс и результат вступительного испытания по направлению подготовки 44.04.01 «Педагогическое образование» позволяет определить степень освоения системы знаний в области педагогики и дисциплинам профильной подготовки, овладение современными теориями, концепциями образовательного процесса, методами и технологиями педагогической деятельности, осуществлением личностно-ориентированного подхода к обучению, воспитанию и развитию обучающихся.
Вступительные испытания по направлению подготовки 44.04.01 «Педагогическое образование» должны выявить психолого-педагогическую готовность бакалавра к деятельности в области образования. Программа экзамена носит интегративный характер, предполагающий выявление компетентности бакалавров в вопросах, связанных с пониманием сущности образования, специфики педагогического образования, тенденций его развития в современных условиях. Интегративный характер экзамена позволяет определить компетентность бакалавров и в области решения проблем образования, их способность решать педагогические задачи анализировать педагогические ситуации, разрабатывать проекты в области образования, осуществлять деятельность в рамках профильной подготовки.
По результатам экзамена оценка выставляется государственной комиссией на основе коллективного обсуждения.
КРИТЕРИИ ОЦЕНИВАНИЯ ОТВЕТА
Критериями оценки экзаменационного ответа, поступающего в магистратуру являются полнота, логичность, доказательность, прочность, осознанность знаний и теоретическая обоснованность суждений, самостоятельность в интерпретации информации, практическая направленность, уровень овладения профессиональными умениями менеджера и др. В случае тестирования является правильные ответы на тестовые задания.
Результаты вступительного испытания определяются по 100-балльной шкале, разброс баллов представлен ниже в таблице:
|
№ |
Критерии оценивания |
Оценка |
|
1 |
Дан полный развернутый ответ на теоретический вопрос:
|
85-100 баллов «отлично» |
|
2 |
Дан в целом правильный ответ на теоретический вопрос:
|
67-84 балла «хорошо» |
|
3 |
Дан в основном правильный ответ на теоретический вопрос:
|
50-66 баллов «удовлетворительно» |
|
4 |
Дан фрагментарный ответ или неправильный ответ на теоретический вопрос из предложенного тематического раздела:
|
0-49 баллов «неудовлетворительно» |
СОДЕРЖАНИЕ РАЗДЕЛОВ И ТЕМ
ПРОГРАММЫ ВСТУПИТЕЛЬНОГО ИСПЫТАНИЯ
Психология и педагогика в системе наук о человеке. Предмет, объект и методы психологии. Место психологии в системе наук. История развития психологического знания и основные направления в психологии. Общее представление о педагогике как науке и ее социальных функциях. Объект, предмет, задачи, функции, методы педагогики. Основные категории педагогики. Принципы и методы организации психолого-педагогических исследований. Педагогическая деятельность как общественное явление. Профессионально-педагогические качества преподавателя. Возникновение и развитие педагогической профессии, ее социальные функции. Гуманистическая природа педагогической профессии. Роль педагога в реализации образовательной политики в Российской федерации. Виды деятельности педагога. Творческий характер педагогической профессии. Сущность педагогического творчества.
Квалификационная характеристика педагога. Уровень квалификации и критерии его определения. Характеристика содержания понятия «профессиональная компетентность». Общая и профессиональная культура педагога. Психологические требования к личности педагога.
Общие и специальные способности педагога. Индивидуальный стиль деятельности педагога. Квалификационная характеристика педагога. Профессиограмма учителя. Понятие и содержание квалификационных характеристик педагога. Формы квалификационных испытаний: защита творческих работ и авторских проектов. Требования к квалификационной характеристике педагога и к выпускникам педагогических вузов. Профессиограмма учителя как перечень требований, предъявляемых к его личности, способностям, мастерству и психолого-физическим возможностям. Общие и специальные способности педагога. Профессионально-педагогические качества преподавателя.
Психологические требования к личности педагога. Характер педагога, свойства и качества его личности как мощный педагогический фактор. Суть педагогического авторитета. Развитие педагогом в себе гражданской, творческой, человеческой личности. Важные условия личности педагога. Педагогический талант как уважение личности ребёнка, помощь ему в развитии духовности, интеллигентности, достоинства и самоуважения. Психологическая характеристика типов темпераментов и их учет в обучении обучающихся. Понятие темперамента. Темперамент как динамические характеристики психологической деятельности индивида. Учет зависимости от темперамента содержание мотивов, интересов, установок обучающихся. Основные свойства темперамента по B.C. Мерлину. Характеристика типа Высшей нервной деятельности как физиологической основы темперамента. Основные типы темперамента. Понятие «индивидуальный стиль деятельности». Характеристика терминов: темперамент, холерик, сангвиник, флегматик, меланхолик, реактивность, активность, пластичность, эмоциональная возбудимость, экстроверсия, интроверсия.
Приемы привлечения и поддержания внимания обучающихся на уроках. Понятие внимания. Физиологические основы внимания. (Концепция Павлова И.П. и Ухтомского А. А.) Функция внимания. Виды внимания. Свойства внимания: сосредоточенность, объем, распределение, переключение. Условия привлечения и поддержания внимания. Психологическая теория внимания (концепция П.Я. Гальперина и Т. Рибо). Индивидуальные особенности внимания. Внимание и внимательность. Рассеянность, ее виды, способы борьбы с ней. Особенности мышления и внимания школьников (характеристика произвольного и непроизвольного внимания, характеристика наглядно-действенного, наглядно-образного, практического, словесно-логического, творческого, теоретического и интуитивного мышления).
Особенности развития памяти обучающихся на уроках. Рациональные приемы запоминания. Понятие о памяти. Процессы памяти: запоминание, сохранение, воспроизведение, узнавание и забывание. Виды памяти. Теории памяти. Понятие ассоциации, ее виды. Произвольная и непроизвольная память у обучающихся. Непосредственная и опосредованная память. Классификация по типу запоминаемой информации: зрительная, слуховая, двигательная и др. Развитие памяти. Совершенствование запоминания. Забывание и борьба с ним. Явление реминисценции. Общая характеристика видов памяти по времени обработки сигнала (характеристика мгновенной, кратковременной, промежуточной и долговременной памяти). Ассоциация как психический процесс и прием запоминания. Развитие ассоциативного мышления у обучающихся на уроках.
Познавательные процессы и особенности их развития на уроках. Познавательные психические процессы как различные по сложности и адекватности уровни отражения реальности, которые образуют систему. Виды познавательных процессов: ощущение, восприятие, представление, воображение, мышление, память, внимание, наблюдательность, интеллект. Характеристика видов познавательных процессов. Характеристика мышление и воображение как высших познавательных процессов, результатом которых является формирование понятия. Сходство и различие мышления и воображения. Свойства и виды памяти. Приемы запоминания и хранения (удерживания) информации на уроках. Основные функции познавательных процессов и особенности их развития на уроках.
Мышление: развитие интеллектуальных умений и навыков на уроках. Понятие о мышлении. Формы мышления. Мышление как обобщенное и опосредствованное отражение действительности. Мышление как деятельность. Виды, операции и процессы мышления. Основные формы мышления (суждение, понятие, умозаключение). Индивидуальные особенности мышления: самостоятельность, широта, гибкость, быстрота, критичность. Теории мышления, их типы. Деятельностная теория мышления (А.Н. Леонтьев, П.Я. Гальперин, В.В. Давыдов, O.K. Тихомиров). Творческое мышление, его определение и признаки. Интуиция как вид творческого мышления. Мышление и речь. Определение и функции понятия. Представление о внутренней речи, ее значение, структура. Виды речи, их характеристика. Речевые свойства личности.
Сущность процесса обучения. Закономерности, принципы и методы обучения. Процесс обучения. Природа и сущность процесса обучения. Основные компоненты процесса обучения: цель, задача, содержание, средства, формы организации обучения. Современные методологические подходы к организации процесса обучения. Единство образовательной, воспитательной и развивающей функции обучения. Профориентационная функция обучения. Педагогические принципы. Принципы обучения. Закономерности процесса обучения. Понятие о сущности методов обучения. Различные подходы к классификации методов обучения: методы обучения по источнику получения знаний; методы обучения в зависимости от характера познавательной деятельности обучающихся; методы обучения, учитывающие целостный подход к процессу обучения.
Воспитание и его место в целостной структуре образовательного процесса. Воспитание как специально организованный и сознательно осуществляемый педагогический процесс. Направленность воспитания на овладение личностью общественным опытом как его глубинная сущностная характеристика. Деятельностно-отношеническая концепция воспитания. Понятие «воспитание» в широком и узком смысле. Органическая взаимосвязь обучения и воспитания. Понятие о закономерностях воспитания. Основные принципы воспитания. Понятие о формах организации воспитательной работы в школе. Понятие о методах и средствах воспитания. Убеждение как важнейший метод воспитания. Метод положительного примера. Метод упражнений. Методы одобрения и осуждения. Методы требования и контроля за поведением. Метод переключения. Комплексное использования методов воспитания. Формирование мировоззрения школьников в общей системе учебно-воспитательной работы. Гражданское воспитание обучающихся. Нравственное, трудовое, эстетическое, физическое воспитание обучающихся. Воспитание дисциплины и культуры поведения. Воспитание патриотизма и культуры межнациональных отношений. Понятие о воспитательной системе, ее принципы. Типы образовательных учреждений. Функции, права и обязанности классного руководителя. Направления классного руководителя: работа классного руководителя по созданию и воспитанию коллектива, работа по изучению обучающихся, работа по повышению успеваемости, работа с учителями, работа с родителями, планирование воспитательной работы. Понятие о воспитательном коллективе. Основные стадии его развития. Структура воспитательного коллектива в школе. Важнейшие средства и методические основы воспитания ученического коллектива. Воспитание личности в коллективе.
Ребенок как субъект обучения и воспитания. Учет возрастных особенностей детей при обучении. Основные принципы возрастной периодизации психического развития. Возрастные эволюционные, революционные и ситуационные изменения психологии и поведения детей. Проблема органической и средовой обусловленности психического развития. Понятие сензитивного периода развития. Движущие силы, условия и факторы развития. Периодизация возрастного развития. Кризисы возрастного развития; условия, механизмы и закономерности развития и формирования психики в процессе онтогенеза. Типы ведущей деятельности и психологические особенности возрастных периодов. Особенности организации обучения в 5-9 и 10-11 классах. Виды, условия и механизмы научения. Факторы, определяющие успешность научения. Реализация этих факторов на уроках. Структура учебной деятельности, основные требования, предъявляемые к учебной деятельности. Соотношение научения и развития. Виды учебной работы. Виды учебной работы на уроках. Современные концепции научения. Теория П.Я. Гальперина о планомерном формировании знаний, умений, навыков, умственных действий. Теория В.В. Давыдова о формировании у детей системы научных понятий. Особенности и пути формирования понятий. Развитие интеллектуальных умений и навыков на уроках: умение сравнивать, анализировать, обобщать, делать выводы, доказывать свою точку зрения. Творчество. Стадии процесса творчества. Соотношение творчества и интеллекта. Развитие творческих способностей, обучающихся на уроках.
Система образования РФ на современном этапе. Образование как общечеловеческая ценность. Образование как социокультурный феномен и педагогический процесс. Роль образования в развитии российского общества. Российское образование и тенденции мирового развития. Новые социальные требования к системе российского образования. Цели и основные задачи модернизации образования. Система образования Российской Федерации. Основные направления реформирования современной школы. Государственные образовательные стандарты. Стандарты второго поколения. Структура современного образования.
Стратегии образования в РФ. Национальная образовательная стратегия «Наша новая школа». Образовательная стратегия инициатива «Наша новая школа» как логическое продолжение приоритетного национального проекта «Образование». Новые требования к системе повышения квалификации и аттестации педагогических кадров. Модернизация системы повышения квалификации. Основные направления: новые принципы работы школ, порядок их проектирования, строительства и формирования материально-технической базы, создание условий для воспитания здорового поколения.
Нормативно-правовая база и структура ЕГЭ. Понятие ЕГЭ. Становление нормативно-правовой базы федерального уровня, инструктивно-методические материалы по ЕГЭ, документы, регламентирующие проведение ЕГЭ в Ставропольском крае. Федеральный закон РФ от 29.12.2012 г. № 273-ФЗ «Об образовании в Российской Федерации». Сайт ФИПИ. Кодификатор КИМов и Спецификация ЕГЭ. Структура ЕГЭ. Базовый, повышенный и высокий уровни сложности. Национально – региональный компонент. Понятие национально-регионального компонента. Структура и цели его внедрения в учебный процесс. Основные учебники. Учебно-методический комплекс. Приемы организации изучения общеобразовательных предметов и во внеурочное время. Формирование в ходе занятий исследовательских навыков обучающихся, первоначальное приобщение их к научным разысканиям, к работе с источниками.
Общие принципы дидактики и их реализация в методике обучения. Предмет и задачи дидактики. Основные дидактические концепции. Основные понятия дидактики: обучение, содержание образования, методы и средства, принципы, формы организации обучения. «Великая дидактика» Я.А. Коменского (1657 г.). Характеристика традиционной и современной дидактических концепций. Видные ученые-педагоги, разрабатывающие идеи каждой из этих концепций (Я.А. Коменский, И.О. Гербарт, И.Г. Песталоцци, К.Д. Ушинский, Д. Дьюи). Основные закономерности процесса обучения. Принципы дидактики и их реализация в учебном процессе: научность, доступность, сознательность и активность, систематичность и последовательность, учет индивидуальных и возрастных особенностей, наглядность, прочность знаний и др. Особенности реализации принципов дидактики на уроках. Общие правила обучения: от простого к сложному, от легкого к трудному, от известного к неизвестному и др.
Методы организации и управления педагогическим процессом: методы обучения и приемы их реализации. Различные точки зрения методистов на классификацию методов обучения. Критерии классификации. Классификация методов обучения по Лернеру И. Я, Скаткину М. Н. Объяснительно-иллюстративный метод и его приемы. Сюжетный рассказ и требования к нему. Комментированное чтение. Репродуктивный метод обучения. Репродуцирование знаний и практических умений (составление простого и развернутого планов). Метод проблемного изложения. Постановка проблемных вопросов, риторических вопросов. Частично-поисковый метод. Эвристическая беседа как основной прием этого метода. Исследовательский метод обучения. Реферирование как основной прием этого метода. Основные требования к ученическому реферату.
Типология и структура урока. Типы уроков. Структура урока. Составные части урока. Форма контроля.
Самостоятельная работа обучающихся на уроках и особенности ее организации. Самостоятельная работа обучающихся как средство глубокого овладения знаниями и развития мышления обучающихся. Дидактические требования к организации самостоятельной работы обучающихся. Методы самостоятельной работы на уроке и во внеурочное время. Формирование навыков самоконтроля.
Методика формирования понятий. Классификация понятий. Отличие понятий от представлений. Основные пути формирования понятий. Классический путь формирования понятий. Дедуктивный и индуктивный пути формирования понятий. Объективные связи и закономерности. Причинно-следственные связи: временные, локальные.
Технологии развивающего обучения и возможности реализации на уроках. Общие основы технологий развивающего обучения. Развитие личности и его закономерности. Соотношение обучения и развития. Теория Л.С. Выготского о зоне ближайшего развития. Система развивающего обучения Л.В. Занкова. Технология развивающего обучения Д.Б. Эльконина, В.В. Давыдова. Системы развивающего обучения с направленностью на развитие творческих качеств личности (И.П. Волков). Личностно-ориентированное развивающее обучение. Возможности реализации технологий развивающего обучения на уроках. Педагогические технологии на основе интенсификации активизации познавательной деятельности обучающихся на уроках. Игровые технологии. Игровая деятельность. Деловые игры. Имитационные игры. Операционные игры. Исполнение ролей. «Деловой театр». Психодрама и социодрама. Технология деловой игры.
Технология проблемного обучения. Понятие «проблемное обучение». Психологические основы концепции проблемного обучения. Проблемная ситуация, классификация проблемных ситуаций. Проектирование проблемной ситуации. Способы создания проблемных ситуаций на уроках. Понятие проблемного метода обучения. Проблемная постановка вопроса и типизация проблемных задач и технология их разработки. Значение технологии проблемного обучения для развития исследовательских навыков обучающихся. Особенности деятельности обучающихся и преподавателя в процессе проблемного обучения. Проблемное обучение как форма, в которой процесс познания обучающихся приближается к поисковой, исследовательской деятельности. Приобщение слушателей к объективным противоречиям развития научного знания и способам их разрешения как главная задача проблемного метода. Создание проблемной ситуации, как основной дидактический прием «включения» мышления обучающихся при проблемном обучении. Система познавательных задач, отражающих основное содержание темы. Достоинства и недостатки проблемного обучения.
Формы учебной работы в школе. Понятие форм учебной работы в школе. Школьная лекция и требования к её проведению. Школьный семинар и практическая работа - методика подготовки и проведения. Школьная экскурсия. Экскурсия как форма урока и как форма внеклассной работы. Требования к организации экскурсии. Зачеты и экзамены. Вариативность форм учебной работы в школе в зависимости от возрастных особенностей обучающихся.
Урок в современной школе. Понятие «урок». Типы уроков и их структура. Различные точки зрения на классификацию типов уроков (Вагин А. А., Чередов А. А.). Шесть типов уроков (универсальная классификация). Вводный урок. Его цели и задачи. Урок объяснения нового материала, его цель и задачи, структура. Повторительно-обобщающий урок, его цели, задачи, структура. Контрольный урок, его цели, задачи. Урок выработки умений и навыков, его цели, задачи, специфика. Комбинированный урок, его структура. Разнообразие форм урока в зависимости от его типа. Цели урока. Основные требования к его подготовке и проведению. План-конспект урока. Тематическое и блочное планирование. Нетрадиционные виды уроков: урок-конференция, урок-диспут, уроквикторина, урок-дидактический театр, урок - деловая игра и др. и их реализация при обучении.
Внеурочная работа рии. Понятие о внеурочных формах организации обучения. Классификация внеурочных форм организации обучения (регулярные и эпизодические). Роль внеурочных форм организации обучения в развитии познавательных интересов обучающихся. Содержание, формы и методика организации внеурочной работы.
Особенности организации процесса обучения в школах (классах) с углубленным изучением отдельных предметов. Способности. Виды способностей: общие и специальные, теоретические и практические, учебные и творческие, предметно-деятельностные (предметно-познавательные). Роль способностей в учебном процессе. Индивидуализация и дифференциация обучения в современной школе. Возможность выбора индивидуальных образовательных траекторий для удовлетворения интересов, склонностей и способностей личности, для учета ее психофизиологических особенностей и уровня развития. Профильное обучение. Особенности организации обучения в профильных классах.
Дифференцированное обучение. История вопроса. Понятие и виды дифференциации обучения. Использование различных видов дифференциации на уроках. Индивидуализация в работе обучающихся. Понятие индивидуализации обучения. Задачи и содержание индивидуальной работы обучающихся. Виды индивидуальной работы. Эпизодическая индивидуальная работа. Системная индивидуальная работа. Организация индивидуальной работы при различных формах обучения в школе. Дифференцированное обучение как часть общей дидактической системы. Дифференциация обучения в группах. Принцип дифференцированного обучения, условия индивидуализации обучения. Виды индивидуализации. Регулирование и контроль за ходом учебно-познавательной деятельности обучающихся. Проверка знаний, умений и навыков, обучающихся на уроках. Понятия: знания, умения, навыки обучающихся, их формирование в учебно-воспитательном процессе. Контроль за качеством учебно-познавательной деятельности обучающихся. Понятие контроля. Основные требования и общая характеристика к контролю знаний. Индивидуальный, фронтальный, и комбинированный способы опроса. Текущий и обобщающий опрос. Письменные контрольные работы. Проведение зачетов и экзаменов по общеобразовательным предметам. Анализ ответа обучающихся.
Технология педагогического общения и мастерство учителя. Понятие о технологии педагогического общения. Коммуникативная задача и этапы ее решения (ориентирование в условиях общения, привлечение внимания, «зондирование души объекта», осуществление вербального общения, организация обратной содержательной и эмоциональной связи). Стадии педагогического общения и технология их реализации. Стили педагогического общения и их технологическая характеристика. Технология установления педагогически целесообразных взаимоотношений. Понятие педагогического мастерства. Основные компоненты педагогического мастерства. Понятие педагогической техники. Мастерство учителя.
Новые информационные технологии в обучении. Информационные технологии в обучении и особенности их применения на уроках. Цели использования информационных технологий на уроках. Основные характеристики и возможности различных версий мультимедийного учебника. Методика организации уроков с использованием мультимедийного учебника. Основные приемы работы с ним. Использование информационных технологий при организации диагностики знаний и самостоятельной работы обучающихся. Применение технических средств для обучения и воспитания подрастающего поколения: применение видеоносителей на уроках, компьютерные программные технологии. Повышения качества обучения с помощью ИТ. Значение ИТ. Применение технических средств для уменьшения утомляемости обучающихся. Использование Интернета в обучении. Программы общего назначения: Microsoft Word, Microsoft Excel, Microsoft PowerPoint, Microsoft FrontPage, Microsoft Publisher, Adobe Photoshop.
Современные образовательные технологии: коллективные способы обучения. Организационная структура учебного процесса и стадии ее развития. Сравнительная характеристика коллективных способов обучения и групповых технологий. Методика использования коллективных способов обучения на уроках, работа в динамических парах. Современные образовательные технологии: групповые технологии. Концептуальные позиции. Особенности организации. Разновидности групповых технологий. Групповой опрос. Общественный смотр знаний. Учебная встреча. Диспут. Нетрадиционные уроки.
Технологии модульного обучения в преподавании. Понятие «обучающий модуль». Принципы модульного обучения. Особенности структурирования содержания учебного курса в модульном обучении. Особенности ориентации педагогического контроля в модульном обучении. Преимущества модульного обучения. Компетентностный подход в преподавании. Понятие компетентностного подхода. Значение термина «компетенция». Компетентность как уровень образованности. Ключевые компетенции и образовательные стандарты. Проблемы и перспективы реализации компетентностного подхода в образовании. Реализация компетентностного подхода на уроках в школе. Компетентностный подход как основа формирования современного содержания образования.
Активные методы обучения преподавания. Понятие методов активного обучения. Различные способы активизации учебно-познавательной деятельности. Обусловленность активных форм обучения спецификой содержания школьного образования. Разновидности и классификация методов активного обучения. Функции учебного процесса. Методы активного обучения.
Виды школьных лекций и приемы их проведения. Понятие лекции. Виды лекций. Методы изложения теоретического материала изучаемой темы на лекции. Определение структура лекции выбором темы и цели урока. Построение лекции на сочетании этапов урока. Отличие школьной лекции от вузовской.
Семинары, практические занятия. Понятие семинара. Семинарские занятия как неотъемлемая часть учебного курса. Организация работы обучающихся на семинарских занятиях, подготовка плана работы по уроку, карт и других наглядных материалов. Установление тесных межпредметных связей, овладение обобщенными способами извлечения, осмысления и предъявления информации. Специализированные и интегрированные занятия. Использование различных форм (лабораторные занятия; групповые, фронтальные семинары; конференции; диспуты с такими видами деятельности, как исследовательская, проектная, игровая и др.) на основе привлечения широкого спектра источников.
Методы обучения и приемы их реализации. Понятие метода обучения. Классификации методов обучения. Понятие «приемы учителя». Классификация основных приемов работы учителя. Краткая характеристика приемов. Выбор учителем методов обучения. Понятие «принципы обучения». Характеристика принципов (научности, наглядности и т.д.). Значимость для учителя знания принципов обучения.
Методические основы изучения пропедевтического курса. Цели введения пропедевтического курса. Виды и формы работы на уроке. Игры и викторины при изучении пропедевтического курса. Основные методические требования по подготовке и проведению уроков в начальной школе.
Опрос на уроках и основные требования к ответам обучающихся. Проведение опроса на уроке. Задания при проведении опроса. Виды опроса на уроках в школе. Проверка знаний как функция предпосылки процесса обучения.
Внеклассная работа в школе. Принципы внеклассной работы. Содержание внеклассной работы. Задачи внеклассной работы. Значение внеклассной работы с обучающимися.
Факультатив в школе. Факультатив, как разновидность внеурочной работы. Цели и задачи факультатива. Самостоятельная работа обучающихся как важный компонент факультатива. Механизм работы факультатива. Итоги факультатива.
Наглядные средства обучения: виды и методика работы с ними на уроках. Понятие наглядного обучения, его возможности и преимущества. Виды наглядности: предметная, внутренняя, изобразительная и условно-графическая. Предметная наглядность и её средства. Изобразительная наглядность и её средства. Учебные картины. Типы учебных картин и приёмы работы с ними. Методика работы с иллюстрациями. Киноурок. Условно-графическая наглядность и её средства.
Индивидуальная работа на уроках: понятия и виды. Понятие индивидуальной работы на уроках. Виды самостоятельных заданий, подготовленных специально для обучающегося. Использование индивидуальной работы в программированном обучении.
Современные формы контроля знаний, умений, навыков обучающихся. Понятие контроля. Основные требования и общая характеристика к контролю знаний. Контроль за качеством учебно-познавательной деятельности обучающихся. Индивидуальный, фронтальный, и комбинированный способы опроса. Текущий и обобщающий опрос. Письменные контрольные работы. Проведение зачетов и экзаменов. Проверка знаний: устная, письменная и письменно-графическая. Анализ ответа обучающихся.
ДЕМОВЕРСИЯ ЭКЗАМЕНАЦИОННОГО ВАРИАНТА
Министерство науки и высшего образования Российской Федерации
федеральное государственное бюджетное образовательное
учреждение высшего образования
«Уфимский университет науки и технологий» Сибайский институт (филиал) УУНиТ
Технологический факультет
Кафедра теории и методики обучения технологии
Экзаменационный билет № 1
Для вступительных испытаний по магистратуре
Направление 44.04.01 Педагогическое образование
Направленность (профиль) программы «Управление образованием»
1. Общее представление о педагогике как науке и ее социальных функциях. Объект, предмет, задачи, функции, методы педагогики.
2. Понятие методов активного обучения. Различные способы активизации учебно-познавательной деятельности.
И.о зав. кафедрой _______________ М.М. Куваева
СПИСОК ЛИТЕРАТУРЫ
Основная:
- Ильин Г.Л. Инновации в образовании: учебное пособие / Г.Л. Ильин. - М.: Прометей, 2015.
- Марусева И.В. Современная педагогика (с элементами педагогической психологии): учебное пособие для вузов / И.В. Марусева. - М.; Берлин: ДиректМедиа, 2015.
- Юдина О.И. Методология педагогического исследования: учебное пособие / О.И. Юдина; Министерство образования и науки Российской Федерации, Федеральное государственное бюджетное образовательное учреждение высшего профессионального образования «Оренбургский государственный университет». - Оренбург: ОГУ, 2014.
- Рожков М.И., Байбородова Л.В., Гребенюк О.С., Гребенюк Т.Б. Педагогика в 2-х томах. М.: Юрайт, 2018.
- Рындак В.Г., Щуркова Н.Е., Аллагуев А.М. и др. Педагогика. М.: Изд-во Инфра-М, 2018.
- Сластенин В.А., Каширин В.П. Педагогика и психология. М.: Юрайт, 2013.
- Крысько В.Г. Педагогика и психология. М.: Юрайт, 2013.
- Педагогика. Учебное пособие / Под ред. Крившенко Л.П. - М.: TK Велби Проспект, 2004
- Сластенин В.А. и др. Педагогика Учеб. пособие для студ. высш. пед. учеб. заведений / В. А. Сластенин, И. Ф. Исаев, Е. Н. Шиянов; Под ред. В.А. Сластенина. - М.: Издательский центр «Академия», 2002.
Дополнительная:
- Пидкасистый И.П. Педагогика и психология. – М.: Изд-во «Юрайт», 2011.
- Современные образовательные технологии. Учебное пособие. – М.: Изд-во «КноРус», 2012.
- Педагогические технологии. Под общей редакцией В. С. Кукушина. Ростов- на-Дону, 2002.
- Пидкасистый И. П. Продуктивная педагогика. М., 2003.
- Поташник М.М. Требования к современному уроку. Методическое пособие. М., 2008.
- Сериков В.В. Обучение как вид педагогической деятельности. - М.,2008
Интернет-ресурсы
- http://www.edu.ru - Федеральный портал «Российское образование»
- http://www.informika.ru - Государственный научно-исследовательский институт информационных технологий и телекоммуникаций
- http://www.rustest.ru - Федеральный центр тестирования
- http://www.fipi.ru - Федеральный институт педагогических измерений
- http://his.1september.ru/urok/
- Справочная правовая система «ГАРАНТ»
- Справочная правовая система «КОНСУЛЬТАНТ-ПЛЮС»
- http://www.ioso.ru - Институт содержания и методов обучения Российской академии образования.
- http://www.aboutstudy.ru - Обучение.ру: образовательный портал.
- http://www.e-joe.ru/ - Открытое образование.
- www.biblioclub.ru - Электронно-библиотечная система «Университетская библиотека онлайн»
- www.prlib.ru/Pages/about.aspx - Президентская библиотека.
Межкультурная коммуникация
ПРОГРАММА
вступительных испытаний
для поступающих в магистратуру по направлениям подготовки
45.04.01 «Филология»
программа (профиль)
«Дипломатия и медиа в восточном контексте»
58.04.01 «Востоковедение и африканистика»
программа (профиль)
«Восточные языки в сфере профессиональной коммуникации (китайский язык)»
ОБЩИЕ ПОЛОЖЕНИЯ
Вступительные испытания предназначены для определения практической и теоретической подготовленности поступающего в магистратуру и проводятся с целью определения соответствия знаний умений и навыков требованиям обучения магистратуры по направлениям подготовки 45.04.01 «Филология» (магистратура), 58.04.01 «Востоковедение и африканистика» (магистратура). Программа составлена в соответствии с требованиями федерального государственного образовательного стандарта высшего профессионального образования.
Вступительные испытания в магистратуру проводят экзаменационные комиссии, назначенные председателем приёмной комиссии УУНиТ.
ПРОЦЕДУРА ВСТУПИТЕЛЬНОГО ИСПЫТАНИЯ
Дата и время проведения вступительного испытания и консультации определяются расписанием вступительных испытаний, которое утверждается председателем приемной комиссии.
Перед вступительным испытанием для поступающих проводится консультация по содержанию программы испытания, критериям оценки, предъявляемым требованиям, правилам поведения на испытании.
Форма вступительного испытания (в соответствии Положением о вступительных испытаниях УУНИТ): устно-письменно.
Вступительные испытания проводятся в соответствии с программами вступительных испытаний, утверждаемых председателем приемной комиссии.
Экзаменационные билеты включают два вопроса по направлению подготовки (по специальности).
В аудитории, где проводится вступительное испытание в устной форме, не может находиться одновременно более 6 человек. Нахождение в аудитории посторонних лиц не допускается.
Абитуриенту предоставляется право готовиться к ответу в течение 30 минут.
Абитуриенту предоставляется право ответа на экзаменационные вопросы в течение 20-25 минут.
В процессе сдачи вступительного испытания абитуриенту могут быть заданы дополнительные вопросы по любым разделам предмета в пределах программы вступительного испытания.
Абитуриент, не согласный с оценкой, полученной на ВИ и (или) в связи с нарушением процедуры проведения ВИ имеет право подать апелляцию. Процедура подачи и рассмотрения апелляции регламентируется Положением об апелляционной комиссии УУНиТ.
КРИТЕРИИ ОЦЕНИВАНИЯ ОТВЕТА
Критериями оценки экзаменационного ответа, поступающего в магистратуру являются полнота, логичность, доказательность, прочность, осознанность знаний и теоретическая обоснованность суждений, самостоятельность в интерпретации информации, практическая направленность, уровень овладения профессиональными умениями и др.
Результаты экзамена определяются по 100-балльной шкале, разброс баллов представлен ниже в таблице:
|
№ |
Критерии оценивания |
Оценка |
|
1 |
Дан полный развернутый ответ на теоретический вопрос:
|
85-100 баллов «отлично» |
|
2 |
Дан в целом правильный ответ на теоретический вопрос:
|
67-84 балла «хорошо» |
|
3 |
Дан в основном правильный ответ на теоретический вопрос:
|
50-66 баллов «удовлет-ворительно» |
|
4 |
Дан фрагментарный ответ или неправильный ответ на теоретический вопрос из предложенного тематического раздела:
|
0-49 баллов «неудовлет-ворительно» |
СОДЕРЖАНИЕ РАЗДЕЛОВ И ТЕМ ПРОГРАММЫ
ВСТУПИТЕЛЬНОГО ИСПЫТАНИЯ ПО НАПРАВЛЕНИЮ 45.04.01 «ФИЛОЛОГИЯ»
- Институт дипломатии.
- Формирование и развитие современной модели дипломатии.
- Современные тенденции правового регулирования статуса дипломатических представительств и их персонала.
- Общая характеристика дипломатического протокола.
- Структура и основные положения дипломатического протокола.
- Национальные стили ведения международных переговоров.
- Многосторонняя дипломатия правительственных акторов.
- Внешнеполитический процесс в странах Восточной Азии.
- Особенности современного миропорядка и дипломатия государств Ближнего Востока.
- Этнокультура и дипломатия на Ближнем Востоке и в странах Восточной Азии.
- Особенности дипломатической работы в арабо-мусульманском мире.
- Важные даты в дипломатической истории Ближнего Востока.
- Выдающиеся дипломаты стран Арабского Востока.
- Психологические особенности дипломатии конфликтных и кризисных ситуаций (на примере региона БСВ).
- Страны Востока в эпицентре мировых энергетических проблем и дипломатия ближневосточных государств.
- Превентивная дипломатия и ее роль в урегулировании конфликтных ситуаций на Арабском Востоке.
- Силовые формы воздействия на кризисные ситуации и дипломатия ближневосточных государств.
- Роль многосторонней дипломатии в управлении современными международными отношениями на Ближнем Востоке.
- Ближневосточная дипломатия на высоком и высшем уровне.
- Роль переговоров в налаживании сотрудничества и интегративных механизмов на Ближнем Востоке.
- Межличностные контакты как важнейшая составляющая работы дипломата (на примере стран БСВ).
- Становление дипломатической службы государств Арабского Востока.
- Организация работы современной медиаиндустрии на Ближнем Востоке.
- Психологические особенности современного медиатизированного человека.
- Влияние новых массмедиа на социальную жизнь общества: феномен социальных сетей на Ближнем Востоке и в странах Восточной Азии.
- Технические и технологические факторы эволюции медиаиндустрии на Ближнем Востоке.
- Феномен клипового сознания на Ближнем Востоке и в странах Восточной Азии.
- Социальная, экономическая и технологическая обусловленность появления новых медиа на Ближнем Востоке и в странах Восточной Азии.
- Роль медиа в формировании гражданского общества и правового государства на Ближнем Востоке и в странах Восточной Азии.
- Инновационные направления дипломатии стран Востока.
- Публичная дипломатия стран Востока.
- Потребность человека в массовой информации.
- Участие СМИ в формировании мировоззрения.
- Выдающиеся личности в сфере массмедиа.
- Методы получения информации в массмедиа.
- Современные российские интернет СМИ.
- Истина и фейки в СМИ.
- Средства массовой информации как социальный институт.
- Динамика общественного развития и отражение данного процесса в медиа.
- Освещение глобальных проблем современности в общероссийских СМИ.
- Международные медиабренды.
- Специализированные издания и передачи, посвященные культуре.
- Религиозная проблематика в СМИ.
- Социальные роли медиа.
- Социальная политика государства и ее отражение в СМИ.
- СМИ на национальных языках в Российской Федерации.
- Влияние СМИ на формирование толерантности в обществе.
- Экономическая проблематика в СМИ.
- Деловые СМИ в современной России.
- Проблемы международных отношений в СМИ.
СОДЕРЖАНИЕ РАЗДЕЛОВ И ТЕМ ПРОГРАММЫ ВСТУПИТЕЛЬНОГО ИСПЫТАНИЯ ПО НАПРАВЛЕНИЮ 58.04.01 «ВОСТОКОВЕДЕНИЕ И АФРИКАНИСТИКА»
1. Востоковедение как комплексная научная дисциплина.
2. «Востоковедение» и «Ориентализм»: общие черты и различия.
3. Востоковедение в цифровую эпоху.
4. Зарождение востоковедения в России (XVIII – середина XIX вв.).
5. Советское востоковедение и противоречия его развития.
6. Основные тенденции развития востоковедения на рубеже XX–XXI вв.
7. Востоковедение в ряду других гуманитарных и общественных наук.
8. Языкознание в современном востоковедении.
9. Востоковедение и литературоведение.
10. Прикладное востоковедение.
11. Культура и искусство стран Востока.
12. Влияние искусства Востока на западноевропейское искусство.
13. Современное искусство Китая /Кореи /Турции /Японии /Арабских стран в контексте мирового художественного процесса.
14. Востоковедение и исследование истории Китая/ Кореи/ Турции/ Арабских стран.
15. АСЕАН: история возникновения, организационная структура и направления деятельности.
16. Востоковедение и религиоведение.
17. Религии на Востоке. Миссионерство и религиоведение Востока.
18. Переход от естественных религий к религиям откровения в странах Востока.
19. Религии откровения и авраамические религии: сходные и отличительные черты.
20. Конфуцианство как основа дальневосточной цивилизации, его сущностные отличия от авраамических религий.
21. Современное исламоведение, его актуальность.
22. Буддизм: от утонченной философии к религии масс.
23. Христианство на Ближнем Востоке в узком и широком смысле. Гностицизм и манихейство как формы нецерковного христианства: подтверждение этого тезиса материалом источников.
24. Коран как основной источник по изучению ислама: проблемы интерпретации. Реконструкция истории ислама через призму арабо- мусульманской традиции.
25. Отраслевые области современного востоковедения.
26. Становление арабистики в России и современное состояние.
27. Становление иранистики в России и современное состояние.
28. Становление индологии в России и современное состояние.
29. Становление синологии в России и современное состояние.
30. Становление корееведения в России и современное состояние.
31. Становление тюркологии в России и современное состояние.
32. Востоковедение в ряду других гуманитарных и общественных наук.
33. Общие сведения об основном изучаемом восточном языке.
34. Фонетика и письменность, особенности языка.
35. Общая характеристика лексического состава. Общая характеристика частей речи.
36. Имя существительное.
37. Глаголы.
38. Имя прилагательное.
39. Местоимения.
40. Имя числительное.
41. Наречия.
42. Служебные части речи.
43. Синтаксис. Словосочетания.
44. Главные члены предложения. Подлежащее. Сказуемое.
45. Понятие международной дипломатии.
46. Международный туризм.
47. Международные спортивные связи.
48. Международные связи в области музыки, театра и кино.
49. Международные связи в области образования, науки.
50. Понятие цифровых технологий. Основные тенденции в развитии цифровых технологий на современном этапе. Роль ЦТ в официальных концепциях РФ.
51. Особенности использования ЦТ во внешнеполитическом процессе.
52. Международная деятельность в евразийском пространстве.
53. Культура и международная профессиональная коммуникация.
54. Современные международные отношения.
55. Виды межкультурной коммуникации.
56. Перевод – особый вид межъязыковой и межкультурной коммуникации.
57. Преодоление языковых и культурных барьеров в межкультурной коммуникации.
58. Особенности культур европейского континента.
59. Культурные процессы и кросс-культурные взаимодействия в Азии и Африке.
60. Деловая культура и бизнес-пространство стран Востока.
ДЕМОВЕРСИЯ ЭКЗАМЕНАЦИОННОГО ВАРИАНТА ПО НАПРАВЛЕНИЮ 45.04.01 «ФИЛОЛОГИЯ»
пробный билет
МИНИСТЕРСТВО НАУКИ И ВЫСШЕГО ОБРАЗОВАНИЯ
РОССИЙСКОЙ ФЕДЕРАЦИИ
ФЕДЕРАЛЬНОЕ ГОСУДАРСТВЕННОЕ БЮДЖЕТНОЕ ОБРАЗОВАТЕЛЬНОЕ УЧРЕЖДЕНИЕ ВЫСШЕГО ОБРАЗОВАНИЯ
«УФИМСКИЙ УНИВЕРСИТЕТ НАУКИ И ТЕХНОЛОГИЙ»
ФАКУЛЬТЕТ БАШКИРСКОЙ ФИЛОЛОГИИ, ВОСТОКОВЕДЕНИЯ
И ЖУРНАЛИСТИКИ
Вступительные испытания в магистратуру
Экзаменационный билет № 1
- Этнокультура и дипломатия на Ближнем Востоке и в странах Восточной Азии.
- Роль медиа в формировании гражданского общества и правового государства на Ближнем Востоке и в странах Восточной Азии.
Зав. кафедрой ВиБЯ Абдуллина Г.Р.
ДЕМОВЕРСИЯ ЭКЗАМЕНАЦИОННОГО ВАРИАНТА ПО НАПРАВЛЕНИЮ 58.04.01 «ВОСТОКОВЕДЕНИЕ И АФРИКАНИСТИКА»
пробный билет
МИНИСТЕРСТВО НАУКИ И ВЫСШЕГО ОБРАЗОВАНИЯ РОССИЙСКОЙ ФЕДЕРАЦИИ
ФЕДЕРАЛЬНОЕ ГОСУДАРСТВЕННОЕ БЮДЖЕТНОЕ ОБРАЗОВАТЕЛЬНОЕ УЧРЕЖДЕНИЕ ВЫСШЕГО ОБРАЗОВАНИЯ
«УФИМСКИЙ УНИВЕРСИТЕТ НАУКИ И ТЕХНОЛОГИЙ»
ФАКУЛЬТЕТ БАШКИРСКОЙ ФИЛОЛОГИИ, ВОСТОКОВЕДЕНИЯ И ЖУРНАЛИСТИКИ
Вступительные испытания в магистратуру
Экзаменационный билет № 1
- Советское востоковедение и противоречия его развития.
- Международные спортивные связи.
Зав. кафедрой ВиБЯ Абдуллина Г.Р.
СПИСОК ЛИТЕРАТУРЫ
Направление 45.04.01 «Филология»
- Алепко А.В. Дипломатическая и консульская служба: учебное пособие для вузов /А.В. Алепко. – Москва: Издательство Юрайт, 2022. – 318 с. – (Высшее образование). – ISBN 978-5-534-14063-7. – Текст: электронный // Образовательная платформа Юрайт [сайт]. – URL: https:// urait.ru/ bcode/496757
- Ачкасов В.А. Мировая политика и международные отношения: учебник для вузов /В.А. Ачкасов С.А. Ланцов. – 2- е изд., перераб. и доп. – Москва: Издательство Юрайт, 2022. – 483 с. – (Высшее образование). – ISBN 978-5-534-10418-9. – Текст: электронный // Образовательная платформа Юрайт [сайт]. – URL: https:// urait.ru/bcode/489078
- Дерен В.И. Мировая экономика и международные экономические отношения: учебник и практикум для вузов / В.И. Дерен. – 2- е изд., испр. и доп. – Москва: Издательство Юрайт, 2022. – 588 с. – (Высшее образование). – ISBN 978-5-534-09249-3. – Текст : электронный // Образовательная платформа Юрайт [сайт]. – URL: https://urait.ru/bcode/494633 (дата обращения: 06.07.2022).
- Козыкина, Н.В. Особенности дипломатии современного Китая: учебное пособие / Н.В. Козыкина, К.Г. Муратшина; под редакцией В. И. Михайленко. –Екатеринбург: Издательство Уральского университета, 2017. – 148 c. – ISBN 978-5-7996-2135-3. – Текст: электронный // Цифровой образовательный ресурс IPRSMART: [сайт]. – URL: https:// www.iprbookshop.ru/106757.html (дата обращения:04.07.2022). – Режим доступа: для авторизир. Пользователей
- Ланко Д.А. Практика принятия внешнеполитических решений: учебник для вузов /Д.А. Ланко. – 2- е изд., перераб. и доп. – Москва: Издательство Юрайт, 2022. – 160 с. – (Высшее образование). – ISBN 978-5-534-01649-9. – Текст: электронный //Образовательная платформа Юрайт [сайт]. – URL: https://urait.ru/bcode/491828
- Маслова В.А. Современные направления в лингвистике. – М., 2008.
- Общее языкознание. Методы лингвистических исследований / Под ред. Б.А.Серебренникова. – М.: Наука, 1973.
- Попова З.Д., Стернин И.А. Язык и национальная картина мира. – Воронеж, 2002.
- Принципы и методы когнитивных исследований языка. Статьи научных трудов. – Тамбов, 2008.
- Тикеев Ф.С. Дж.Г. Киекбаев и гипотеза о родстве урало-алтайских и башкирского языков // Дж.Г. Киекбаев и проблемы башкирского языкознания. – Уфа, 2015. – С. 39-46.
- Федотова Е.Л. Информационные технологии и системы: учеб. пособие для студентов вузов. – М.: ФОРУМ: ИНФРА-М, 2012. – 352
- Хлебников А.А. Информационные технологии: учебник для студентов вузов. – М.: КНОРУС, 2014. – 472 с.
- Щербак А.М. Введение в сравнительное изучение тюркских языков. – СПб.: Наука, 1994. – 191 с.
- Щипицина Л.Ю. Информационные технологии в лингвистике: учеб. пособие [для студентов фил. фак. вузов]. – М.: ФЛИНТА, 2013. – 128 с.
- Языки мира. Тюркские языки. – Бишкек, 1997.
- Введение в востоковедение: Общий курс [Электронный ресурс]: монография / под ред. Е.И. Зеленева, В.Б. Касевича. – Электрон. дан. – Санкт-Петербург: КАРО, 2017. – 584 с. – Режим доступа: https://e.lanbook.com/book/114223.
- Концепции современного востоковедения / Н.В. Алферова, А.Д. Богатуров, В.В. Бочаров, Н.Н. Дьяков; под ред. Е.И. Зеленева, В.Б. Касевич. – СПб.: КАРО, 2013. – 464 с. – URL: http://biblioclub.ru/index.php?page=book&id=462135.
- Кириллова, Н. Б. Медиаполитика государства в условиях социокультурной модернизации: учебное пособие для вузов / Н.Б. Кириллова. – Москва: Издательство Юрайт, 2023 – 109 с. – (Высшее образование). – ISBN 978-5-534-08477-1. – Текст: электронный // Образовательная платформа Юрайт [сайт]. – URL: https://urait.ru/bcode/533064.
- Иваницкий В.Л. Основы бизнес-моделирования СМИ: учебное пособие для вузов / В.Л. Иваницкий. – 3-е изд., испр. и доп. – Москва: Издательство Юрайт, 2023 – 239 с. – (Высшее образование). – ISBN 978-5-534-08351-4. – Текст: электронный // Образовательная платформа Юрайт [сайт]. – URL: https://urait.ru/bcode/512575
Направление 58.04.01 «Востоковедение и африканистика»
а) Основная литература
1. Введение в востоковедение: Общий курс [Электронный ресурс]: монография / под ред. Е.И. Зеленева, В.Б. Касевича. – Электрон. дан. – Санкт- Петербург: КАРО, 2017. – 584 с. – Режим доступа: https://e.lanbook.com/book/114223.
2. Концепции современного востоковедения / Н.В. Алферова, А.Д. Богатуров, В.В. Бочаров, Н.Н. Дьяков; под ред. Е.И. Зеленева, В.Б. Касевич. – СПб.: КАРО, 2013. – 464 с. –
URL: http://biblioclub.ru/index.php?page=book&id=462135
3. Дубкова, О.В. Китайский язык. Лингвострановедение: учебное пособие. – Новосибирск: НГТУ, 2011. – Ч. 1. – 132 с. – URL: http://biblioclub.ru/index.php?page=book&id=228942.
4. Дубкова, О.В. Китайский язык. Лингвострановедение: учебное пособие – Новосибирск: НГТУ, 2011. – Ч. 2. – 148 с. – URL: http://biblioclub.ru/index.php?page=book&id=228828.
5. Решетникова Л.С., Бадаев Е.В. Из истории религий и учений Востока: учебное пособие – Кемерово: Кемеровский государственный университет, 2016. – 136 с. – URL: http://biblioclub.ru/index.php?page=book_red&id=481624
6. Гаффаров, И.З. Арабский язык [Электронный ресурс]: учебное пособие для начинающих / И.З. Гаффаров; Башкирский государственный университет. – Уфа: РИЦ БашГУ, 2016. – на баш.яз. – URL:https://elib.bashedu.ru/dl/local/Gaffarov_Arabskij jazyk_up_2016.pdf.
7. Акилова, М.Ф. Практический курс турецкого языка [Электронный ресурс]: учебное пособие / М.Ф. Акилова, Г.Д. Ибрагимов; Башкирский государственный университет. – Уфа: РИЦ БашГУ, 2016. – Электрон. версия печ. публикации. – Доступ возможен через Электронную библиотеку БашГУ. –
<URL: – https://elib.bashedu.ru/dl/corp/Akilova_Ibragimov_Prakticheskij kurs tureckogo jazyka_up_2016.pdf>.
8. Орлов, С.А. Турецкий язык: практикум устной речи. Dinleme, okuma, konuşma Aliştirmalibaşlangiçaşamasi / С.А. Орлов; Московский государственный институт международных отношений (университет) Министерства иностранных дел. – Москва: МГИМО-Университет, 2014. – (Иностранные языки в МГИМО.) (Языки Востока). Уровень А1-А2 / отв. ред. А. В. Штанов., 2014. – 169 с. (24 экз. в УУНиТ).
9. Чой Ян Сун. Корейский язык: вводный курс. – Санкт-Петербург: КАРО, 2012. – 512 с. – URL: http://biblioclub.ru/index.php?page=book&id=461792.
10. Гурьева, А.А. Читаем по-корейски. – Санкт-Петербург: КАРО, 2015. – 224 с. – URL: http://biblioclub.ru/index.php?page=book&id=461894.
11. Щичко, В.Ф. Китайский язык. Полный курс перевода: учебник / В.Ф. Щичко, Г.Ю. Яковлев. – М.: Восточная книга, 2009. – 368 с.
б) дополнительная литература:
12. Девлетов, О.У. Лекции по истории Древнего Востока: учебное пособие О.У. Девлетов. - 2-е изд. - Москва; Берлин: Директ-Медиа, 2015. - 383 с.: ил. - ISBN 978-5-4475-2862-1; То же [Электронный ресурс]. - URL: http://biblioclub.ru/index.php?page=book&id=256595.
13. Шапиро, Ю.Г. Культура и искусство Китая: научно-популярное издание
/ Ю.Г. Шапиро. – Л.: Издательство Государственного Эрмитажа, 1959. – 48 с. – (Путешествия в прошлое по залам Эрмитажа). – Режим доступа: по подписке. – URL: http://biblioclub.ru/index.php?page=book&id=241247
14. Евдокимова, А. А. История стран Востока в Новое время: учеб. пособие
/ А. А. Евдокимова. – Ростов н/Д: Феникс, 2011. – 344 с. (8 экз. в УУНиТ).
15. История Востока в новое время: хрестоматия – Ставрополь: СКФУ, 2015 История Востока в новое время: хрестоматия / Министерство образования и науки Российской Федерации, Федеральное государственное автономное образовательное учреждение высшего профессионального образования
«Северо-Кавказский федеральный университет»; сост. В.Н. Садченко, Л.Н. Величко и др. – Ставрополь: СКФУ, 2015. – 254 с.; То же [Электронный ресурс]. - URL: http://biblioclub.ru/index.php?page=book&id=457994.
16. Решетникова Л.С. История Востока в Новое время: электронный курс лекций, Ч. 2 – Кемерово: Кемеровский государственный университет, 2014 Решетникова, Л.С. История Востока в Новое время: электронный курс лекций
/ Л.С. Решетникова; Министерство образования и науки РФ, Федеральное государственное бюджетное образовательное учреждение высшего профессионального образования «Кемеровский государственный университет», Кафедра новой и новейшей истории зарубежных стран и международных отношений. – Кемерово: Кемеровский государственный университет, 2014. – Ч. 2. – 394 с. – Библиогр. в кн. - ISBN 978-5-8353-1667-0; То же [Электронный ресурс]. – URL: http://biblioclub.ru/index.php?page=book&id=437484.
17. Арабы-христиане в истории и литературе Ближнего Востока: научное издание. – М., 2013. – 276 с. http://biblioclub.ru/index.php?page=book_red&id=277147&sr=1.
18. Баскаков Н.А. Историко-типологическая характеристика структуры тюркских языков. – М., 1975.
19. Баскаков Н.А. Историко-типологическая морфология тюркских языков. – М., 1979.
20. Баскаков Н.А. Историко-типологическая фонология тюркских языков. – М.,1988.
21. Баскаков Н.А. Введение в изучение тюркских языков. – М.,1969.
22. Кононов А.Н. Грамматика современного турецкого литературного языка. – М., 1956.
Портфолио
ПРОГРАММА
вступительного испытания
для поступающих в магистратуру по направлению подготовки
44.04.01 «Педагогическое образование»
программа (профиль)
«Дизайн цифровой образовательной среды»
ОБЩИЕ ПОЛОЖЕНИЯ
Вступительные испытания предназначены для определения практической и теоретической подготовленности поступающего в магистратуру и проводятся с целью определения соответствия знаний, умений и навыков требованиям обучения магистратуры по направлению подготовки 44.04.01 «Педагогическое образование» (магистратура). Программа составлена в соответствии с требованиями федерального государственного образовательного стандарта высшего профессионального образования.
Вступительные испытания в магистратуру проводят экзаменационные комиссии, назначенные председателем приёмной комиссии УУНиТ.
ПРОЦЕДУРА ВСТУПИТЕЛЬНОГО ИСПЫТАНИЯ
Дата и время проведения вступительного испытания и консультации определяются расписанием вступительных испытаний, которое утверждается председателем приемной комиссии.
Перед вступительным испытанием для поступающих проводится консультация по содержанию программы испытания, критериям оценки, предъявляемым требованиям, правилам поведения на испытании.
Форма вступительного испытания (в соответствии Положением о вступительных испытаниях УУНИТ): устно-письменная.
Вступительные испытания в виде портфолио проводятся в соответствии с программами вступительных испытаний, утверждаемых председателем приемной комиссии.
СОСТАВ ПОРТФОЛИО
Для участия в конкурсе портфолио необходимо предоставить в Приёмную комиссию следующие документы:
1. Обязательные для регистрации документы, перечисленные в Правилах приёма в федеральное государственное бюджетное образовательное учреждение высшего образования «Уфимский университет науки и технологий» для обучения по программам магистратуры в 2024 году;
2. Документы для участия в конкурсе портфолио:
2.1. Мотивационное письмо. Требования к мотивационному письму:
● в мотивационном письме должны быть отражены причины, по которым кандидат выбрал для обучения данную программу, цели и ожидаемые результаты обучения на программе, особенности данной магистерской программы, которые, по мнению кандидата, помогут ему реализовать поставленные цели;
● объем текста – не более 4 тыс. знаков с пробелами, шрифт Times New Roman, 12 кегль, полуторный интервал между строк.
2.2. Список научных публикаций или результатов интеллектуальной деятельности из национальной библиографической базы данных научного цитирования (РИНЦ, https://www.elibrary.ru) (при наличии);
2.3. Диплом победителя конкурса, свидетельство о получение научных или проектных грантов (при наличии);
2.4. Копия трудовой книжки, заверенная в организации (при наличии), сопроводительное письмо от работодателя (при наличии), документ о прохождении образовательных курсов или курсов повышения квалификации (при наличии);
2.5. Ссылка на разработанный сценарий электронного урока в одном из платформ электронного обучения. Критерии оценивания сценария электронного урока приведены в таблице ниже;
2.6. Эссе, которое должно соответствовать следующим требованиям:
● можно выбрать одну из двух тем:
Тема 1: «Педагог и наставник будущего»;
Тема 2: «Кто такой педагогический дизайнер и как им стать?».
● объем текста – не более 10 тыс. знаков с пробелами, шрифт TimesNewRoman, 12 кегль, полуторный интервал между строк.
Абитуриент, не согласный с оценкой, полученной на ВИ и (или) в связи с нарушением процедуры проведения ВИ имеет право подать апелляцию. Процедура подачи и рассмотрения апелляции регламентируется Положением об апелляционной комиссии УУНиТ.
КРИТЕРИИ ОЦЕНИВАНИЯ ПОРТФОЛИО
Суммарная оценка за портфолио, являющаяся основанием для рейтинга, складывается из баллов, накопленных по отдельным элементам портфолио. Результаты экзамена определяются по 100-балльной шкале, разброс баллов представлен ниже в таблице:
|
п/п |
Элемент оцениваемого портфолио |
Максимальное количество баллов за элемент портфолио |
Критерии оценивания
|
|
1. |
Демонстрация мотивации к обучению, целей и ожидаемых результатов обучения, их соответствия особенностям магистерской программы – оценка мотивационного письма |
15 баллов |
● убедительность обоснования кандидатом намерения учиться на данной магистерской программе – до 5 баллов; ● понимание кандидатом особенностей данной магистерской программы – до 5 баллов; ● способность кратко и ясно формулировать свои мысли – до 5 баллов. |
|
2. |
Демонстрация потенциала к обучению на магистерской программе |
15 баллов |
Баллы суммируются: ● диплом магистра (бакалавра, специалиста) со средним баллом оценок: от 3,5 до 3,9 – 3 балла; от 4 до 4,6 – 5 баллов; от 4,7 до 5 – 10 баллов. ● публикация статьи или результата интеллектуальной деятельности в изданиях, входящих в базу РИНЦ – 5 баллов. |
|
3. |
Участие в конкурах и грантах |
20 баллов |
Баллы суммируются: ● свидетельство о получение научных или проектных грантов – 10 баллов; ● диплом победителя регионального конкурса – 5 баллов; ● диплом победителя всероссийского или международного конкурса – 10 баллов. |
|
4. |
Соответствие опыта работы кандидата обучению на магистерской программе. |
15 баллов |
Баллы суммируются: ● сопроводительное письмо от работодателя – 5 баллов; ● стаж работы не менее 1 года в сфере образования или науки, подтверждённый копией трудовой книжки – 5 баллов; ● один или более документов о прохождении образовательных курсов или курсов повышения квалификации – 5 баллов. |
|
5. |
Разработанный сценарий электронного урока в одном из платформ электронного обучения |
20 баллов |
● уникальность сценария электронного урока и медиаконтента (%, по данным проверки в системе «Антиплагиат») – до 2 баллов; ● актуальность и прикладная значимость замысла сценария электронного урока в контексте ФГОС – до 2 баллов; ● использование принципов игрофикации в сценарии электронного урока – до 2 баллов; ● возможности структуры и содержания сценария электронного урока, направленные на реализацию системно-деятельностного подхода в образовании школьников – до 2 баллов; ● возможности сценария электронного урока для формирования универсальных учебных действий – до 2 баллов; ● направленность содержания сценария электронного урока на решение задач развития и воспитания личности гражданина России – до 2 баллов; ● продуманность действий деятельности педагога, логика построения сценария электронного урока – до 2 баллов; ● фундаментальность и глубина содержания сценария электронного урока – до 2 баллов; ● использование в сценарии электронного урока виртуальных тренажёров и симуляторов – до 2 баллов; ● включение в структуру и содержание сценария электронного урока современных методов и приёмов, стимулирующих познавательную мотивацию обучающихся – до 2 баллов. |
|
6. |
Эссе |
15 баллов |
Оценивается экспертами по следующим критериям: ● абитуриент продемонстрировал глубину, нестандартность и оригинальность мышления – до 3 баллов; ● абитуриент приводит ссылки на классические труды, жизненный и социальный опыт, распространённые образовательные практики – до 3 баллов; ● приведены факты, иллюстрирующие понимание тенденций в современном образовании – до 3 баллов; ● эссе имеет ясную структуру, рассуждения логичны – до 3 баллов; ● грамотность, культура изложения материала – до 3 баллов. |
Информационная безопасность
ПРОГРАММА
вступительного испытания
для поступающих в магистратуру по направлению подготовки
10.04.01 «Информационная безопасность»
программа (профиль)
«Информационная безопасность»,
«Информационная безопасность цифровых технологий»
ОБЩИЕ ПОЛОЖЕНИЯ
Вступительное испытание предназначено для определения практической и теоретической подготовленности поступающего в магистратуру и проводится с целью определения соответствия знаний умений и навыков требованиям обучения магистратуры по направлению подготовки 10.04.01 «Информационная безопасность» (магистратура). Программа составлена в соответствии с требованиями федерального государственного образовательного стандарта высшего профессионального образования.
Вступительное испытание в магистратуру проводят экзаменационные комиссии, назначенные председателем приёмной комиссии УУНиТ.
ПРОЦЕДУРА ВСТУПИТЕЛЬНОГО ИСПЫТАНИЯ
Дата и время проведения вступительного испытания и консультации определяются расписанием вступительных испытаний, которое утверждается председателем приемной комиссии.
Перед вступительным испытанием для поступающих проводится консультация по содержанию программы испытания, критериям оценки, предъявляемым требованиям, правилам поведения на испытании.
Форма вступительного испытания (в соответствии Положением о вступительных испытаниях УУНИТ): тестирование.
Вступительные испытания в виде электронного тестирования проводятся в соответствии с программами вступительных испытаний, утверждаемых председателем предметной комиссии.
Вступительные испытания в форме тестирования включают вопросы как закрытого, так и открытого типа, а также задания в аудио- и видеоформатах.
Составление вариантов экзаменационных заданий в форме электронных тестов осуществляется ответственным секретарем приемной комиссии университета.
Из вариантов экзаменационных заданий формируются комплекты вопросов-тестов.
Компоновку комплектов вопросов-тестов ответственный секретарь, заместитель ответственного секретаря производят до вступительных испытаний.
Тест содержит 40 тестовых вопросов.
Результаты испытаний оцениваются по 100 бальной шкале.
Абитуриент, не согласный с оценкой, полученной на ВИ и (или) в связи с нарушением процедуры проведения ВИ имеет право подать апелляцию. Процедура подачи и рассмотрения апелляции регламентируется Положением об апелляционной комиссии УУНиТ.
КРИТЕРИИ ОЦЕНИВАНИЯ ОТВЕТА
Критериями оценки экзаменационного ответа, поступающего в магистратуру являются полнота, логичность, доказательность, прочность, осознанность знаний и теоретическая обоснованность суждений, самостоятельность в интерпретации информации, практическая направленность, уровень овладения профессиональными умениями и др. В случае тестирования критериями оценки являются правильные ответы на тестовые задания.
При проверке количество первичных баллов переводится в итоговую 100 балльную шкалу через информационную платформу университета.
СОДЕРЖАНИЕ РАЗДЕЛОВ И ТЕМ ПРОГРАММЫ ВСТУПИТЕЛЬНОГО ИСПЫТАНИЯ
Теоретические основы информационной безопасности
- Понятие защиты информации и информационной безопасности
- Уязвимости информационных систем, угрозы и атаки, классификация угроз информационной безопасности
- Риск нарушения информационной безопасности, методы анализа риска
- Методы несанкционированного доступа к информации
- Система защиты информации, методы защиты информации.
- Средства информационно-технического и информационно-психологического воздействия
- Политика безопасности на предприятии
- Методика построения модели угроз на предприятии, модель нарушителя.
Организационное и правовое обеспечение информационной безопасности
- Основные направления, принципы и условия организационной защиты информации
- Организация службы безопасности на предприятии
- Подбор сотрудников и работа с кадрами
- Организация внутриобъектового режима
- Планирование мероприятий по организационной защите информации на предприятии
- Организация аналитической работы в области защиты информации на предприятии
Вычислительные сети
- Сетевая семиуровневая модель OSI
- Основы стека протоколов TCP/IP
- Модуляция. Аналоговая модуляция, цифровое кодирование
- Основы сетей LAN и WAN
- Основы адресации и создания сетей IPv4
- Коммутация в локальных сетях
- Беспроводные локальные сети
Программно-аппаратные средства защиты информации
- Средства криптографической защиты информации
- Меры защиты от НСД
- Методы защиты от несанкционированного использования и копирования
- Компьютерные вирусы и борьба с ними
Защита информационных процессов в компьютерных системах и сетях
- Защита информационных процессов в ОС семейства Windows
- Защита информационных процессов в ОС семейства Linux
- Реализация защищенных распределительных вычислительных систем
Управление информационной безопасностью
- Защита информации как управляемая деятельность
- Методы системного анализа для исследования сложных систем управления ИБ
- Организация защиты информации ограниченного доступа, обрабатываемой в ИС, на основе нормативных и методических документов в сфере ИБ
- Формирование политики ИБ как один из аспектов управления ИБ
- Мониторинг и управление инцидентами ИБ
- Интеллектуальная поддержка управления ИБ в ИС
Проектирование защищенных автоматизированных систем
- Организация защиты инфраструктуры коммутации и маршрутизации в сети
- Организация демилитаризованной зоны на предприятии
- Межсетевые экраны. Принцип работы, классификация, реализация защиты.
- Построение вычислительной сети предприятия с точки зрения архитектуры безопасности сети.
Криптография
- Криптографические алгоритмы, отечественные криптографические алгоритмы
- Симметричное и ассиметричное шифрование
- Хэш-функции
- Инфраструктура обмена ключами
- Сертификаты обмена ключей
Защищенный документооборот
- Обеспечение конфиденциальности документооборота
- Системы защищенного документооборота
- Государственная и коммерческая тайна
Демоверсия экзаменационного варианта
(пробный тест)
1. Какие свойства информации описывает модель CIA?
а) Конфиденциальность
б) Незащищенность
в) Целостность
г) Доступность
2. Что из перечисленного является носителем защищаемой информации?
а) Элементарные частицы
б) Акустические поля
в) Электромагнитные поля
г) Линии связи
- Что позволяет сделать алгоритм Диффи-Хеллмана?
а) Выработать личные ключи пользователей и обменяться ими в результате переговоров по секретному каналу
б) Выработать общий секретный ключ в результате переговоров по прослушиваемому каналу
в) Выработать общий секретный ключ в результате переговоров по секретному каналу
г) Выработать личные ключи и обменять парными с ними открытыми ключами в результате переговоров по секретному каналу
- Какой операции не существует в эллиптической криптографии?
а) Скалярное умножение точки
б) Умножение точек
в) Сложение точек
г) Удвоение точки
5. Расставьте в правильном порядке этапы организации защиты коммерческой тайны на предприятии.
а) Определяются аппаратные и программные средства защиты и хранения коммерческой тайны
б) Разрабатывается или перерабатывается политика безопасности предприятия
в) Обеспечивается ИБ на основе взаимодействия между всеми структурными подразделениями предприятия
г) Принимается Положение по обеспечению сохранности коммерческой тайны
д) Осуществляется аудит и независимая оценка сведений и объектов, нуждающихся в защите на предприятии, и осуществляется постоянное совершенствование мер защиты еще до внедрения
СПИСОК ЛИТЕРАТУРЫ
- Управление безопасностью [Текст] : учеб. пособие / Л. П. Гончаренко, Е. С. Куценко; Рос. экон. акад. им. Г. В. Плеханова.- М.: КноРус, 2010.-272 с.
- Информационная безопасность и защита информации [Текст] : учеб. пособие / В. П. Мельников и др.; под ред. С. А. Клейменова.- М. : Академия , 2009.-330 с.
- Информационная безопасность региона : традиции и инновации [Текст] : монография / Л. В. Астахова и др.; под науч. ред. Л. В. Астаховой ; Юж.-Урал. гос. ун-т, Каф. Информ. безопасность; ЮУрГУ.- Челябинск: Издательский Центр ЮУрГУ , 2009.-268 с.
- Галатенко, В. А. Основы информационной безопасности : Курс лекций: Учеб. пособие для вузов по специальностям в обл. информ. технологий / В. А. Галатенко; Под ред. В. Б. Бетелина; Интернет-ун-т информ. технологий.- . : Интернет-Университет Информационных Технологий , 2006.-205 с.
- Аникин П.П., Балыбердин А.Л., Вус М.А. Государственная тайна и ее защита в Российской Федерации: учеб. пособие (под ред. Вуса М.А., Федорова А.В.; предисл. Кропачева Н.М., Сидоровой Н.А.). – Изд. 2-е, перераб., доп. –изд-во Р. Асланова «Юридический Центр-Пресс«, 2005. – 623 с. – 1 050 экз.
- Анин Б.Ю. Защита компьютерной информации. – БХВ-Петербург, 2000. – 384 с. – 7 000 экз.
- Семкин С.Н., Беляков Э.В., Гребенев С.В., Козачок В.И. «Основы организационного обеспечения информационной безопасности объектов информатизации». – М.: Гелиос АРВ, 2010.
- Программно-аппаратная защита информации [Текст] : учеб. пособие по направлениям "Информ. безопасность" и "Информатика и вычисл. техника" / П. Б. Хорев.- М. : Форум , 2009.-351 с.
- Кибербезопасность: правила игры : как руководители и сотрудники влияют на культуру безопасности в компании / Эллисон Сэрра ; перевод с английского: [Людмила Смилевска]. - Москва : Сбер : Альпина ПРО, 2021.
- Аудит информационной безопасности автоматизированных систем : учебное пособие / В. А. Воеводин, А. А. Хорев ; под редакцией А. А. Хорева Министерство науки и высшего образования Российской Федерации, Национальный исследовательский университет "МИЭТ". - Москва : МИЭТ, 2021.
- Теория информации / Р. Л. Стратонович. - Изд. 2-е. - Москва : URSS : ЛЕНАНД, 2021.
- Актуальные вопросы правового регулирования и защиты информации в России : избранные труды / В. А. Северин. - Москва : URSS : Ленанд, 2022 [т. е. 2021]. - 474 с.
- Старший брат следит за тобой : как защитиь себя в цифровом мире / Михаил Райтман. - Москва : Альпина Паблишер, 2022.
- Проблемы правовой и технической защиты информации : [сборник статей / АлтГУ] ; редакционная коллегия: Поляков В.В., проф., д.ф.-м.н. - главный редактор [и др.]. - Барнаул : Изд-во Алтайского государственного университета, 2021.
- Глоссарий официальных дефиниций в сфере информации, информационных технологий и защиты информации : словарь-справочник / А.В. Парамонов, И.А. Коннов ; Российская академия народного хозяйства и государственной службы при Президенте Российской Федерации, Нижегородский институт управления. - Нижний Новгород : Дятловы горы, 2021.
- Киберзащита автоматизированных систем воинских формирований : монография / А. А. Бойко. - Санкт-Петербург : Наукоемкие технологии, 2021.
- Безопасность в беспроводных корпоративных сетях : монография / Корягина С. А. - Москва : National Research, 2021.
Социология и социальная работа
ПРОГРАММА
вступительных испытаний
для поступающих в магистратуру по направлениям подготовки
39.04.01 «Социология»
программа (профиль)
«Социальное проектирование в сферах коммуникаций и маркетинга»,
«Социокреативная урбанистика»
39.04.02 «Социальная работа»
программа (профиль)
«Социальная работа в сфере семейно-демографической политики»,
«Управление социально-демографическими процессами в регионе»
39.04.03 «Организация работы с молодежью»
программа (профиль)
«Менеджмент в молодежной политике»
ОБЩИЕ ПОЛОЖЕНИЯ
Вступительные испытания предназначены для определения практической и теоретической подготовленности поступающего в магистратуру и проводятся с целью определения соответствия знаний умений и навыков требованиям обучения магистратуры по направлениям подготовки 39.04.01 «Социология», 39.04.02 «Социальная работа», 39.04.03 «Организация работы с молодежью» (магистратура). Программа составлена в соответствии с требованиями федерального государственного образовательного стандарта высшего профессионального образования.
Вступительные испытания в магистратуру проводят экзаменационные комиссии, назначенные председателем приёмной комиссии УУНиТ.
ПРОЦЕДУРА ВСТУПИТЕЛЬНОГО ИСПЫТАНИЯ
Дата и время проведения вступительного испытания и консультации определяются расписанием вступительных испытаний, которое утверждается председателем приемной комиссии.
Перед вступительным испытанием для поступающих проводится консультация по содержанию программы испытания, критериям оценки, предъявляемым требованиям, правилам поведения на испытании.
Форма вступительного испытания (в соответствии Положением о вступительных испытаниях УУНИТ): тестирование.
Вступительные испытания в виде электронного тестирования проводятся в соответствии с программами вступительных испытаний, утверждаемых председателем предметной комиссии.
Вступительные испытания в форме тестирования включают вопросы как закрытого, так и открытого типа, а также задания в аудио- и видеоформатах.
Составление вариантов экзаменационных заданий в форме электронных тестов осуществляется ответственным секретарем приемной комиссии университета.
Из вариантов экзаменационных заданий формируются комплекты вопросов-тестов.
Компоновку комплектов вопросов-тестов ответственный секретарь, заместитель ответственного секретаря производят до вступительных испытаний.
Тест содержит 40 тестовых вопросов.
Результаты испытаний оцениваются по 100 бальной шкале.
Абитуриент, не согласный с оценкой, полученной на ВИ и (или) в связи с нарушением процедуры проведения ВИ имеет право подать апелляцию. Процедура подачи и рассмотрения апелляции регламентируется Положением об апелляционной комиссии УУНиТ.
КРИТЕРИИ ОЦЕНИВАНИЯ ОТВЕТА
Критериями оценки экзаменационного ответа, поступающего в магистратуру являются полнота, логичность, доказательность, прочность, осознанность знаний и теоретическая обоснованность суждений, самостоятельность в интерпретации информации, практическая направленность, уровень овладения профессиональными умениями менеджера и др. В случае тестирования является правильные ответы на тестовые задания.
При проверке количество первичных баллов переводится в итоговую 100 балльную шкалу через информационную платформу университета.
СОДЕРЖАНИЕ РАЗДЕЛОВ И ТЕМ ПРОГРАММЫ ВСТУПИТЕЛЬНОГО ИСПЫТАНИЯ
Раздел 1. История социологии.
- Предпосылки зарождения социологической науки О.Конта и формирование социологии.
- Эволюционная теория Г. Спенсера.
- Формальная социология Г. Зиммеля.
- Психологическое направление в социологии конца XIX - начала XX вв. (Г. Тард, Г. Лебон и др.).
- Методологические принципы «социологизма» Э. Дюркгейма. Э. Дюркгейм о социальном факте и общественном разделении труда.
- Понимающая социология М. Вебера.
- Социологические взгляды В. Парето.
- Формирование эмпирической социологии. «Хоторнский эксперимент» и его значение для развития социологии как науки.
- Российская социология в XIX - начале XX вв.
- Российская социология в советский и постсоветский периоды.
- Социология молодежи как социологическая теория
Основы общей социологии
- Предмет социологии. Структура социологического знания.
- Функции социологии, социология и другие науки.
- Предмет социологии. Научный статус и специфика социологии. Структура социологического знания.
- Понятие общества в социологии. Общество как социальная система.
- Малая социальная группа. Групповая динамика.
- Общественное мнение как социальный феномен. Объект и субъект общественного мнения. Общественное мнение и общественное настроение.
- Социализация личности: сущность, этапы, виды.
- Социальная мобильность: понятие, виды.
- Социальная стратификация.
- Социально-демографическая структура общества. Молодежь как социальная группа.
- Социальное действие и взаимодействие. Социальные связи и отношения
- Социальное управление: сущность, виды, уровни. Методы социального управления. Менеджмент.
- Социальные институты: понятие, функции, виды.
- Социальные нормы, девиации и социальный контроль.
- Труд как объект социологического анализа. Рынок труда, безработица и занятость.
Методология и методика социологических исследований
- Социологическое исследование: понятие, основные виды. Этапы исследования.
- Выборка в социологическом исследовании. Объем выборки: понятие и способы расчета.
- Программа социологического исследования.
- Наблюдение как метод социологического исследования
- Эксперимент в социологическом исследовании.
- Изучение документов как метод сбора социологической информации.
- Контент-анализ как метод социологического исследования
- Стандартизованное интервью как метод социологического исследования
- Качественное интервью как метод социологического исследования
- Фокус-группы как метод социологического исследования
- Измерение свойств социальных объектов. Шкалы для измерения. Методы шкалирования.
- Вопрос в социологическом исследовании как инструмент получения информации.
- Анкета (вопросник) как инструмент социологического исследования.
- Респондент как источник информации в социологическом исследовании.
- Организация прикладного социологического исследования. Основные этапы.
Раздел 2. Теория социальной работы. Объект, предмет и категории теории социальной работы, ее интегративно-комплексный характер. Теоретические парадигмы социальной работы. Проблемы научной идентификации социальной работы. Объекты и субъекты социальной работы. Принципы и закономерности социальной работы. Направления, уровни, формы и методы социальной работы. Проблемы эффективности в социальной работе. Проблемы и ориентиры развития теории социальной работы в ХХI в.
Технология социальной работы. Сущность, принципы и основные понятия технологии социальной работы. Проблемы технологизации процессов социальной работы. Основные виды, формы и методы технологии социальной работы в различных сферах жизнедеятельности человека и с различными группами людей. Особенности реализации социальной диагностики, профилактики, социальной адаптации, социальной терапии и социальной реабилитации. Технология социальной экспертизы и моделирования. Проблемы новаторства в технологии социальной работы: закономерности, механизм, процедура, методы. Проблемы научной организации труда в социальной работе. Опыт технологической деятельности в системе социальной работы в России и за рубежом.
История социальной работы. Эволюция социальной работы в России. Формы помощи в древнейших славянских общинах. Церковно-монастырская и княжеская благотворительность в 10-13 веках. Церковно-государственная помощь в 14-17 веках. Государственное призрение в 17-19 веках. Общественное и частное призрение в 17-19 веках. Государственное обеспечение в Советской России. Развитие социальной работы в современной России. Становление социальной работы за рубежом с древнейших времен до середины XIX вв. Развитие социальной работы за рубежом с кон. XIX в. Основные стратегии развития социальной работы 20 – начале 21 века.
Управление в социальной работе. Управление в социальной работе как разновидность социального управления. Эволюция теории управления. Система управления социальной работой. Стратегическое управление в системе социальной работы. Функции управления в социальной работе. Методы управления в социальной работе. Прогнозирование, проектирование и моделирование в управлении социальной работой. Программно-целевое управление. Социальный маркетинг как основа эффективного управления в социальной работе. Фандрайзинг в управлении социальной службой. Клиентоцентричность в управлении социальной работой. Организация управления социальной работой. Кадровая политика и управление персоналом учреждений социальной защиты. Мотивация и стимулирование персонала социальных учреждений. Коммуникации при реализации управления социальной работой. Принятие управленческих решений при реализации социальной работы. Контроль, аудит и эффективность управления социальной работой.
Раздел 3. Молодежь и молодежная политика
- Понятие молодежи. Молодежь как особая социально-демографическая группа.
- Правовой статус молодежи в Российской Федерации.
- Социологический портрет российской молодежи.
- Понятие «государственная молодежная политика».
- Принципы формирования и реализации государственной молодежной политики.
- Цели и задачи государственной молодежной политики Российской Федерации.
- Основные направления реализации государственной молодежной политики Российской Федерации.
- Теоретические концепции и подходы к формированию государственной молодежной политики в современной России.
- История и тенденции становления государственной молодежной политики в Российской Федерации.
- Законодательная и нормативно-правовая база государственной молодежной политики.
- Модели государственной молодежной политики.
- Социальная политика государства в отношении молодежи.
- Управление молодежной политикой, уровни власти: федеральный, региональный, муниципальный.
- Кадровое обеспечение государственной молодежной политики.
- Молодежная политика в современной России.
Демоверсия экзаменационного варианта
1. Что является объектом социологии
- человек
- социальная жизнь человека
- социальная жизнь группы
- общество
2. Кто ввел в научный оборот термин «социология»?
- М. Вебер
- К. Маркс
- О. Конт
- А. Спенсер
3. Центральным понятием социологии К.Маркса является:
- общественно-экономическая формация
- социальное действие
- социальное пространство
- социальная активность
5. Какая стратификационная система является открытой?
- кастовая
- сословная
- классовая
6. Как называется изменение социального статуса личности?
- карьера
- социальная мобильность
- рейтинг
- социальная активность
7. Социальный конфликт – это:
- форма отношений между потенциальными и актуальными субъектами социального действия, мотивация которых обусловлена противостоящими ценностями и нормами, интересами и потребностями
- борьба между индивидами, цель которой – получение выгоды, прибыли, либо благоприятного доступа к дефицитным материальным и духовным ценностям
- борьба индивидов за признание личных достижений и творческих способностей со стороны общества, группы, коллектива
СПИСОК ЛИТЕРАТУРЫ
Основная литература:
- Гайфуллин А.Ю., Ковров В.Ф., Садретдинова Э.В. Социология: учебное пособие / А.Ю. Гайфуллин, В.Ф. Ковров, Э.В. Садретдинова; Уфимский университет науки и технологий. — Уфа: РИЦ УУНиТ, 2024. 236 с. — Электрон. версия печ. публикации. — Доступ возможен через Электронную библиотеку УУНИТ. — <URL:https://elib.bashedu.ru/dl/read/GaifullinA_i dr_Sociologiya_up_2024.pdf>. — Текст: электронный
- Артюшенкова Е. В. История социологии : учебное пособие / Е. В. Артюшенкова. — Чита : ЗабГУ, 2021. — 162 с. — ISBN 978-5-9293-2966-1. — Текст : электронный // Лань : электронно-библиотечная система. — URL: https://e.lanbook.com/book/363491
- Гнатюк М. А. Социология : учебное пособие / М. А. Гнатюк, А. А. Хоровинникова. — Самара : СамГУПС, 2023. — 141 с. — ISBN 978-5-98941-364-5. — Текст : электронный // Лань : электронно-библиотечная система. — URL: https://e.lanbook.com/book/379256
- Бурганова Л. А. Социология : учебное пособие : [16+] / Л. А. Бурганова ; Казанский национальный исследовательский технологический университет. – Казань : Казанский научно-исследовательский технологический университет (КНИТУ), 2018. – 136 с. – Режим доступа: по подписке. – URL: https://biblioclub.ru/index.php?page=book&id=612192
- Волков Ю. Е. Социология : учебное пособие / Ю. Е. Волков. – Москва : Дашков и К°, 2020. – 398 с. – Режим доступа: по подписке. – URL: https://biblioclub.ru/index.php?page=book&id=573133
- Павленок П. Д. Социология : учебное пособие : [16+] / П. Д. Павленок, Л. И. Савинов, Г. Т. Журавлев. – 3-е изд. – Москва : Дашков и К°, 2018. – 734 с. : ил. – Режим доступа: по подписке. – URL: https://biblioclub.ru/index.php?page=book&id=573154
- Гумплович Л. Г. Основы социологии / Л. Г. Гумплович. — Санкт-Петербург : Лань, 2014. — 366 с. — ISBN 978-5-507-38107-4. — Текст : электронный // Лань : электронно-библиотечная система. — URL: https://e.lanbook.com/book/47036
- Лукьяненко Н. В. Основы социологии: предмет, метод, история : учебное пособие / Н. В. Лукьяненко. — Новосибирск : СГУПС, 2020. — 288 с. — ISBN 978-5-00148-094-5. — Текст : электронный // Лань : электронно-библиотечная система. — URL: https://e.lanbook.com/book/164629
- Социология молодежи : учебно-методическое пособие : [16+] / сост. Е. Е. Кузьмина; Липецкий государственный педагогический университет им. П. П. Семенова-Тян-Шанского. – Липецк : Липецкий государственный педагогический университет им. П.П. Семенова-Тян-Шанского, 2018. – 53 с. : ил. – Режим доступа: по подписке. – URL: https://biblioclub.ru/index.php?page=book&id=577388
- Климантова Г. И., Черняк Е. М., Щегорцов А. А.. Методология и методы социологического исследования : учебник – 6-е изд., стер. – Москва : Дашков и К°, 2024. – 256 с. : табл. – (Учебные издания для бакалавров). – Режим доступа: по подписке. – URL: https://biblioclub.ru/index.php?page=book&id=711054
- Маженина Е. А., Протасова Т. Н.. Методология и методика социологических исследований: электронное учебное пособие [Электронный ресурс] / Кемерово:Кемеровский государственный университет, 2014. -132с. – Режим доступа: http://biblioclub.ru/index.php?page=book_red&id=437477.
- Валиахметов Р.М., Гайфуллин А.Ю. Организация социологического исследования: учебное пособие. Уфа: РИЦ БашГУ, 2022. – Электрон. версия печ. публикации. – Доступ возможен через Электронную библиотеку БашГУ. – <URL:https://elib.bashedu.ru/dl/local/Valiahmetov_Gaifullin_Organizac.sociol.isledovan._up_2022.pdf>.
Дополнительная литература
- Социологический словарь / отв. ред. Г.В. Осипов, Л.Н. Москвичев. — Москва : Норма : ИНФРА-М, 2022. — 608 с. - ISBN 978-5-91768-098-9. - Текст : электронный. - URL: https://znanium.com/catalog/product/1844380
- История социологии: позитивизм и его направления : учебное пособие / З. А. Макоева, З. А. Атабиева, А. Ф. Кушхова, А. О. Виндижева. — Нальчик : КБГУ, 2023. — 102 с. — Текст : электронный // Лань : электронно-библиотечная система. — URL: https://e.lanbook.com/book/378965
- Барышева Н. Р. Основы социологии : учебное пособие / Н. Р. Барышева, Е. В. Кузнецова. — Кемерово : КузГТУ имени Т.Ф. Горбачева, 2015. — 132 с. — ISBN 978-5-906805-09-6. — Текст : электронный // Лань : электронно-библиотечная система. — URL: https://e.lanbook.com/book/105437
- Ивлев С. В. Социология : учебное пособие : [16+] / С. В. Ивлев, Т. В. Батурина ; Кемеровский технологический институт пищевой промышленности (университет). – Кемерово : Кемеровский технологический институт пищевой промышленности (университет), 2015. – 203 с. – Режим доступа: по подписке. – URL: https://biblioclub.ru/index.php?page=book&id=600305
- Евстратова Т. А. Молодежь и культура досуга молодежи : учебное пособие : [16+] / Т. А. Евстратова. – Москва : Директ-Медиа, 2024. – 128 с. : ил. – Режим доступа: по подписке. – URL: https://biblioclub.ru/index.php?page=book&id=713583
- Фененко Ю.В. Социология управления : учебник / Ю.В. Фененко. - Москва : Юнити-Дана, 2015. - 215 с. - [Электронный ресурс]. - Режим доступа: http://biblioclub.ru/index.php?page=book&id=436702.
- Байнова, М. С. Система государственного и муниципального управления : учебник : [16+] / М. С. Байнова, Н. В. Медведева, Ю. С. Рязанцева. – Москва ; Берлин : Директ-Медиа, 2020. – 362 с. : ил., табл. – Режим доступа: по подписке. – URL: https://biblioclub.ru/index.php?page=book&id=572459
- Вотинцева О.Н. Информационная политика органов власти: проблемы формирования и реализации [Электронный ресурс] : монография / О.Н. Вотинцева, С.В. Лагунова, А.М. Тамицкий. - Электрон. дан. - Архангельск : САФУ, 2015. - 79 с. - Режим доступа: https://e.lanbook.com/book/96634.
- Игнатьев В. И. Социология информационного общества : учебное пособие : [16+] / В. И. Игнатьев ; Новосибирский государственный технический университет. – Новосибирск : Новосибирский государственный технический университет, 2017. – 356 с. – (Учебники НГТУ). – Режим доступа: по подписке. – URL: https://biblioclub.ru/index.php?page=book&id=575418
- Лапин И.И. Эмпирическая социология в Западной Европе [Электронный ресурс] : учебное пособие / И.И. Лапин. — Электрон. дан. — Москва : Издательский дом Высшей школы экономики, 2004. - 383 с. – Режим доступа: https://e.lanbook.com/book/100195.
- Лукашин И. А. Демография : учебное пособие / И. А. Лукашин, Т. Н. Гордеева. — Чита : ЗабГУ, 2020. — 164 с. — ISBN 978-5-9293-2606-6. — Текст : электронный // Лань : электронно-библиотечная система. — URL: https://e.lanbook.com/book/173676
- Мамедова Н. А.. Управление общественными отношениями: Учебно-методический комплекс [Электронный ресурс] / Москва: Евразийский открытый институт, 2011. -91с. - Режим доступа: http://biblioclub.ru/index.php?page=book_red&id=90760.
- Протасова Т. Н. Социальная демография : учебное пособие / Т. Н. Протасова. — Кемерово : КемГУ, 2018. — 155 с. — ISBN 978-5-8353-2328-9. — Текст : электронный // Лань : электронно-библиотечная система. — URL: https://e.lanbook.com/book/120047
- Сидоров А. А. Исследование социально-экономических и политических процессов: учебное пособие [Электронный ресурс] / Томск: Томский государственный университет систем управления и радиоэлектроники,2015. -266 с. - Режим доступа: http://biblioclub.ru/index.php?page=book_red&id=480909.
- Фененко Ю. В. Социология управления : учебник / Ю. В. Фененко. – Москва : Юнити, 2015. – 215 с. – Режим доступа: по подписке. – URL: https://biblioclub.ru/index.php?page=book&id=436702
- Цветкова И. В. Методология и методика социологического исследования : учебно-методическое пособие / И. В. Цветкова. — Тольятти : ТГУ, 2017. — 160 с. — ISBN 978-5-8259-1026-0. — Текст : электронный // Лань : электронно-библиотечная система. — URL: https://e.lanbook.com/book/139923.
Геофизика
ПРОГРАММА
вступительных испытаний
для поступающих в магистратуру по направлениям подготовки
03.04.02 «Физика»,
05.04.01 «Геология»
программы (профиль)
«Цифровые технологии в промысловой геофизике»,
«Цифровые технологии в петрофизике»
ОБЩИЕ ПОЛОЖЕНИЯ
Вступительные испытания предназначены для определения практической и теоретической подготовленности поступающего в магистратуру и проводятся с целью определения соответствия знаний умений и навыков требованиям обучения магистратуры по направлениям подготовки 03.04.02 «Физика» (магистратура), 05.04.01 «Геология» (магистратура). Программа составлена в соответствии с требованиями федерального государственного образовательного стандарта высшего профессионального образования.
Вступительные испытания в магистратуру проводят экзаменационные комиссии, назначенные председателем приёмной комиссии УУНиТ.
ПРОЦЕДУРА ВСТУПИТЕЛЬНОГО ИСПЫТАНИЯ
Дата и время проведения вступительного испытания и консультации определяются расписанием вступительных испытаний, которое утверждается председателем приемной комиссии.
Перед вступительным испытанием для поступающих проводится консультация по содержанию программы испытания, критериям оценки, предъявляемым требованиям, правилам поведения на испытании.
Форма вступительного испытания (в соответствии Положением о вступительных испытаниях УУНИТ): тестирование.
Вступительные испытания в виде электронного тестирования проводятся в соответствии с программами вступительных испытаний, утверждаемых председателем предметной комиссии.
Вступительные испытания в форме тестирования включают вопросы как закрытого, так и открытого типа, а также задания в аудио- и видеоформатах.
Составление вариантов экзаменационных заданий в форме электронных тестов осуществляется ответственным секретарем приемной комиссии университета.
Из вариантов экзаменационных заданий формируются комплекты вопросов-тестов.
Компоновку комплектов вопросов-тестов ответственный секретарь, заместитель ответственного секретаря производят до вступительных испытаний.
Тест содержит 30 тестовых вопросов.
Результаты испытаний оцениваются по 100 бальной шкале.
Абитуриент, не согласный с оценкой, полученной на ВИ и (или) в связи с нарушением процедуры проведения ВИ имеет право подать апелляцию. Процедура подачи и рассмотрения апелляции регламентируется Положением об апелляционной комиссии УУНиТ.
КРИТЕРИИ ОЦЕНИВАНИЯ ОТВЕТА
Критериями оценки экзаменационного ответа, поступающего в магистратуру являются полнота, логичность, доказательность, прочность, осознанность знаний и теоретическая обоснованность суждений, самостоятельность в интерпретации информации, практическая направленность, уровень овладения профессиональными умениями менеджера и др. В случае тестирования является правильные ответы на тестовые задания.
При проверке количество первичных баллов переводится в итоговую 100 балльную шкалу через информационную платформу университета.
СОДЕРЖАНИЕ РАЗДЕЛОВ И ТЕМ ПРОГРАММЫ ВСТУПИТЕЛЬНОГО ИСПЫТАНИЯ
Радиометрия
- Взаимодействие излучения с веществом
- Физические основы методов радиометрии
Интерпретация данных открытого ствола
- Физические основы методов исследования необсаженных скважин
- Интерпретационные признаки
Комплексная интерпретация данных открытого ствола
- Комплексы методов исследования
- Решаемые задачи
Подземная гидромеханика
- Основные уравнения фильтрации
- Параметры насыщенной пористой среды
Геофизические методы контроля разработки месторождений
- Методы диагностики состояния скважин
- Интерпретационные признаки
Демоверсия экзаменационного варианта
Выбрать правильный ответ:
Баротермический эффект – это
- изменение температуры при быстром изменении давления в пористой среде
- изменение температуры в насыщенной пористой среде вследствие изменения давления без теплообмена с окружающей средой
- изменение температуры при медленном изменении давления
СПИСОК ЛИТЕРАТУРЫ
1. Яруллин, Р.К. Датчики физических полей в геофизике [Электронный ресурс] : учеб. пособие / Башкирский государственный университет; ; Р.К. Яруллин .— Уфа : РИО БашГУ, 2015 .— Электрон. версия печ. публикации .— Доступ возможен через Электронную библиотеку БашГУ .— <URL:https://elib.bashedu.ru/dl/read/Jarullin_Datchiki fizicheskih polej v geofizike_up_2015.pdf>.
2. Термогидродинамические исследования пластов и скважин нефтяных месторождений [Электронный ресурс] : учеб.-методическое пособие / Р.А. Валиуллин [и др.] ; Башкирский государственный университет .— Уфа : РИО БашГУ, 2015 .— Электрон. версия печ. публикации .— Доступ возможен через Электронную библиотеку БашГУ .— <URL:https://elib.bashedu.ru/dl/read/Valiullin i dr_Termodinamicheskie issledovanija plastov_up_2015.pdf>.
3. Валиуллин, Р.А. Исследование действующих скважин [Электронный ресурс] : учеб. пособие / Р.А. Валиуллин, Р.К. Яруллин ; Башкирский государственный университет .— Уфа : РИЦ БашГУ, 2015 .— Электрон. версия печ. публикации .— Доступ возможен через Электронную библиотеку БашГУ .— <URL:https://elib.bashedu.ru/dl/read/Valiullin_Jarullin_Issledovanie dejstvujuschih skvazhin_up_2015.pdf>.
4. Рамазанов, А.Ш. Теоретические основы скважинной термометрии [Электронный ресурс] : учебное пособие / А.Ш. Рамазанов ; Башкирский государственный университет .— Уфа : РИЦ БашГУ, 2017 .— Электрон. версия печ. публикации .— <URL:https://elib.bashedu.ru/dl/read/Ramazanov_Teoreticheskie osnovy skvazhinnoj termometrii_up_2017.pdf>.
5. Валиуллин, Р.А. Промысловая геофизика [Электронный ресурс] : учеб. пособие / Р.А. Валиуллин, Л.Е. Кнеллер ; Башкирский государственный университет .— Уфа : РИЦ БашГУ, 2015 .— Электрон. версия печ. публикации .— Доступ возможен через Электронную библиотеку БашГУ .— <URL:https://elib.bashedu.ru/dl/read/Valiullin_Kneller_Promyslovaja geofizika_up_2015.pdf>.
Журналистика
ПРОГРАММА
вступительного испытания
для поступающих в магистратуру по направлению подготовки
42.04.02 «Журналистика»
программа (профиль)
«Цифровые коммуникации и новые медиа»
ОБЩИЕ ПОЛОЖЕНИЯ
Вступительные испытания предназначены для определения практической и теоретической подготовленности поступающего в магистратуру и проводятся с целью определения соответствия знаний умений и навыков требованиям обучения магистратуры по направлению подготовки 42.04.02 «Журналистика» (магистратура). Программа составлена в соответствии с требованиями федерального государственного образовательного стандарта высшего профессионального образования.
Вступительные испытания в магистратуру проводят экзаменационные комиссии, назначенные председателем приёмной комиссии УУНиТ.
ПРОЦЕДУРА ВСТУПИТЕЛЬНОГО ИСПЫТАНИЯ
Дата и время проведения вступительного испытания и консультации определяются расписанием вступительных испытаний, которое утверждается председателем приемной комиссии.
Перед вступительным испытанием для поступающих проводится консультация по содержанию программы испытания, критериям оценки, предъявляемым требованиям, правилам поведения на испытании.
Форма вступительного испытания (в соответствии Положением о вступительных испытаниях УУНИТ): устно-письменно.
Вступительные испытания проводятся в соответствии с программами вступительных испытаний, утверждаемых председателем приемной комиссии.
Экзаменационные билеты включают два вопроса по направлению подготовки (по специальности).
В аудитории, где проводится вступительное испытание в устной форме, не может находиться одновременно более 6 человек. Нахождение в аудитории посторонних лиц не допускается.
Абитуриенту предоставляется право готовиться к ответу в течение 30 минут.
Абитуриенту предоставляется право ответа на экзаменационные вопросы в течение 20-25 минут, включая время подготовки ответов на вопросы членов предметной комиссии.
В процессе сдачи вступительного испытания абитуриенту могут быть заданы дополнительные вопросы по любым разделам предмета в пределах программы вступительного испытания.
Абитуриент, не согласный с оценкой, полученной на ВИ и (или) в связи с нарушением процедуры проведения ВИ имеет право подать апелляцию. Процедура подачи и рассмотрения апелляции регламентируется Положением об апелляционной комиссии УУНиТ.
КРИТЕРИИ ОЦЕНИВАНИЯ ОТВЕТА
Критериями оценки экзаменационного ответа, поступающего в магистратуру являются полнота, логичность, доказательность, прочность, осознанность знаний и теоретическая обоснованность суждений, самостоятельность в интерпретации информации, практическая направленность, уровень овладения профессиональными умениями менеджера и др.
Результаты вступительного испытания определяются по 100-балльной шкале, разброс баллов представлен ниже в таблице:
|
№ |
Критерии оценивания |
Оценка |
|
1 |
Дан полный развернутый ответ на теоретический вопрос:
|
85-100 баллов «отлично» |
|
2 |
Дан в целом правильный ответ на теоретический вопрос:
|
67-84 балла «хорошо» |
|
3 |
Дан в основном правильный ответ на теоретический вопрос:
|
50-66 баллов «удовлетворительно» |
|
4 |
Дан фрагментарный ответ или неправильный ответ на теоретический вопрос из предложенного тематического раздела:
|
0-49 баллов «неудовлетворительно» |
СОДЕРЖАНИЕ РАЗДЕЛОВ И ТЕМ ПРОГРАММЫ ВСТУПИТЕЛЬНОГО ИСПЫТАНИЯ
1. Общие вопросы теории журналистики
Журналистика как часть массовой коммуникации. Журналистика как социальный институт: роль, задачи и функции.
Системоформирующие факторы (социально-политическая организация общества, общественные (социальные) интересы, образование и культура, экономический и технико-технологический фактор) и их роль по отношению к системе массовой коммуникации.
Проблемы развития мировой цивилизации и журналистика.
Проблемы свободы СМИ в современных условиях.
Журналистика как институт демократии. Журналистика как «четвертая власть». Журналистика и общественное мнение. СМИ как сфера публичной политики в демократическом обществе
СМИ и проблемы информационной безопасности. Массовая информация и информационная безопасность России.
Понятие «глобальная журналистика» в условиях информационого общества.
2. Система средств массовой информации
Медиасистема как отображение многообразия интересов и потребностей различных социальных групп общества.
Типология СМИ. Понятие типологии и классификации. Основные типоформирующие факторы изданий, теле,радиопрограмм. Типологическая специфика изданий, теле- и радиопрограмм на современном этапе.
Периодическая печать в системе средств массовой информации. Ее функции. Газеты, еженедельники, журналы как основные виды изданий. Качественная и массовая пресса. Динамика развития периодических изданий в условиях информационного рынка. Процесс её трансформации в мультимедийные форматы.
Телевидение в системе СМК. Его функции. Основные виды. Тенденции развития. Типология телевизионных каналов и программ. Телевизионная аудитория: методы и средства социологического исследования.
Радиовещание в системе средств массовой информации. Его функции. Основные виды. Тенденции развития. Типология радиоканалов и программ. Государственное и негосударственное радиовещание.
Сетевые СМИ: функции, структура, тенденции развития. Типологические характеристики, содержательные и функциональные аспекты, жанровое своеобразие, языковые особенности. Место и роль блогерства в развитии гражданской журналистики.
Информационные агентства и службы в системе СМИ: современное состояние и тенденции развития.
Общероссийские и региональные СМИ как различные уровни коммуникации. Проблемы формирования и развития системы региональных средств информации.
Экономические, социально-политические и духовно-идеологические условия и факторы развития современной отечественной системы средств массовой информации. Медиахолдинги в системе массмедиа. Уровень развития института массовой информации российских регионов. Тенденции конвергенции, перехода традиционных СМИ в сеть. Роль СМИ в проведении демократических преобразований в России. Основные тренды в развитии СМИ России.
3. Организация работы редакции, редакционный менеджмент, экономика, техника и технология СМИ
Редакция как профессионально – творческая, организационно-производственная и экономическая структура. Структура редакции и современные тенденции ее формирования. Особенности функционирования редакции в различных видах СМИ.
Программирование и планирование в редакционной практике. Моделирование в журналистике. Виды и типы моделей.
Соотношение организационной, управленческой, производственной, творческой и коммерческой деятельности.
Редакционный менеджмент. Задачи, направления и методы работы.
Техническая база СМИ на современном этапе. Принципы верстки периодических изданий. Основные тенденции развития полиграфической техники. Электронные технологии в журналистике.
Экономические основы функционирования СМИ. Формы собственности и особенности концентрации капитала в сфере СМИ: издательские дома, медиа-холдинги, концерны.
Условия и факторы развития рекламы в СМИ. Виды рекламы. Жанры рекламы. Рекламные кампании в прессе, на радио, телевидении.
4. Основы журналистской деятельности
Журналистский текст как продукт авторского творчества. Общие закономерности журналистского творчества. Система методов журналистского творчества на различных стадиях создания и порождения текста.
Система жанров журналистики и тенденции их развития. Новостная журналистика. Особенности репортерской деятельности. Жанровая структура. Сущность аналитической журналистики. Расследовательская журналистика. Публицистика как вид творческой деятельности. Художественно-публицистические жанры, жанры литературно-художественной критики и библиографии. Творческая индивидуальность журналиста, его профессиональные качества.
Влияние новых информационных технологий на процесс журналистской деятельности.
5. Правовые и этические основы функционирования журналистики
Основные принципы, направления и способы регулирования деятельности СМИ. Система современного российского законодательства о СМИ. Закон РФ о средствах массовой информации как базовый нормативный акт. Государственные органы управления и контроля в сфере СМИ: правовой статус, основные функции.
Права и обязанности журналиста. Нормы авторского права в сфере журналистики.
Этические нормы как база профессиональной деятельности журналиста.
Этические принципы взаимоотношений журналиста с источниками информации, героями публикаций и аудиторией СМИ.
Кодексы профессиональной этики журналиста (отечественные и зарубежные).
6. Социология и психология журналистики
Социология и журналистика: направления использования социологических подходов, методов и информации в журналистской практике.
Социальные функции СМИ. Социальные эффекты деятельности СМИ. СМИ и общественное мнение. Методы изучения общественного мнения и способы представления его в СМИ.
Социологическое обеспечение при разработке концепции и программы органа информации.
Аудитория СМИ. Методы и центры изучения аудитории СМК. Современные способы измерения рейтинга теле, и радиоканалов.
Методы изучения текстов печати, телевидения, радио (контент-аналитические исследования).
Редакция и журналисты как объекты социологических исследований.
Психологические и социально-психологические аспекты функционирования массовой информации в обществе. Особенности и закономерности восприятия массово-информационных текстов. Психология личности журналиста, журналистского мышления и творчества. Формирование имиджа коммуникатора.
Классификация журналистских материалов в зависимости от их воздействия на психику личности: сообщение, внушение, убеждение.
Типы текстов, связанных с парадигмой мышления.
7. Стилистика и литературное редактирование
Язык и стиль массовой коммуникации. Характеристика газетно-публицистического стиля. Основной стилистический принцип публицистики. Функционирование языковых единиц (лексических, фразеологических, морфологических, синтаксических) в журналистских жанрах. Стилистика текста.
Текст как объект литературного редактирования. Психологические особенности редактирования. Логические основы редактирования текста. Работа над композицией авторского материала. Виды текстов и особенности работы с ними. Работа с фактическим материалом. Работа над языком и стилем публикаций. Методика редактирование авторского текста.
8. История отечественной журналистики
Возникновение русской журналистики. Первая русская печатная газета «Ведомости». Характер «Ведомостей» как государственного органа печати.
Журналистская деятельность А.И.Герцена. Герцен в «Отечественных записках» и «Современнике». Вольная русская пресса XIX века за рубежом («Полярная звезда», «Колокол» А.И.Герцена).
Демократические журналы «Современник» и «Русское слово». Эпоха реформ. Структура и содержание журналов. Публицистика Чернышевского, Добролюбова, Писарева.
Журнал «Отечественные записки» под редакцией Н.А.Некрасова и М.Е.Салтыкова-Щедрина. Общественно-политическое направление журнала. Сатирическая публицистика М.Е.Салтыкова-Щедрина.
Отечественная журналистика в период Гражданской войны (1918-1921 гг.). Новые типы периодики, информационное агентство РОСТА.
Журналистика периода Великой Отечественной войны. Изменения в структуре СМИ страны в 1941-1945 годах. Система военной печати. Публицистика военных лет (О.Берггольц, С.Борзенко, Я.Галана, Б.Горбатова, В.Гроссмана, Е.Кононенко, Л.Леонова, П.Лидина, А.Платонова, Б.Полевого, Н.Тихонова, К.Симонова, А.Толстого, А.Фадеева, М.Шолохова, И.Эренбурга и др.).
Отечественная журналистика в послевоенные годы и периода «оттепели» (1946-1964 гг.).
Журналистика периода господства партийной административно-командной системы (1965-1985 гг.). Ужесточение политического и цензурного режима в стране. Углубление и расширение системы СМИ. Пропаганда советского образа жизни.
Журналистика периода перестройки (1985-1991 гг.). Создание нового института издателей. Пресса неформальных организаций, возникновение альтернативной, негосударственной журналистики. Публицистка периода перестройки.
Отечественные СМИ на современном этапе реформирования и развития российского общества. Правовое обеспечение деятельности журналистики. Коммерциализация СМИ.
9. Зарубежная журналистика
Предпосылки и условия возникновения первых европейских газет.
Значение Английской буржуазной революции для развития европейской прессы. Оформление авторитарной и либертарианской теорий печати.
Значение Великой французской революции для развития журналистики. Начало революции и возникновение политической журналистики. Развитие провинциальной прессы во время революции. Законодательство о печати периода директории.
Социально-политические условия и технические предпосылки появления массовой прессы в Европе и США. «NewYorkSun» Бенджамина Дея (1833 г.) как первый представитель американской пенни-пресс. Значение пенни-пресс для развития рекламного дела.
Радикальные газеты 1810-х и нелегальные издания 1830-х гг. как предшественники массовой прессы в Великобритании. «DailyTelegraph» и «ManchesterGuardian» как первые представители дешевой британской прессы.
Особенности развития европейской и американской журналистики на рубеже XIX –XX1 веков. «St. LouisPost-Dispatch» Д.Пулитцера (1878 г.) как первопроходец «нового журнализма». От «нового журнализма» к «желтому»: конкурентная борьба «NewYorkWorld» (1883 г.) Пулитцера и «NewYorkJournal» (1895 г.) У.Херста.
Особенности «нового журнализма» в Великобритании. Истоки и особенности процесса монополизации прессы в США и Великобритании.
Особенности становления вещания в европейских странах и США, формирование основных моделей вещания. Особенности развития радио в течение первых двух десятилетий ХХ века. Разновидности государственных моделей радиовещания в ведущих странах континентальной Европы.
Предпосылки возникновения и особенности развития новейших средств массовых коммуникаций. Развитие технологий кабельного и спутникового вещания в США во второй половине ХХ века. CNN как первая глобальная сеть теленовостей.
Национальные особенности развития интернет-журналистики в различных странах мира.
Демоверсия экзаменационного варианта
пробный билет
МИНИСТЕРСТВО НАУКИ И ВЫСШЕГО ОБРАЗОВАНИЯ
РОССИЙСКОЙ ФЕДЕРАЦИИ
ФЕДЕРАЛЬНОЕ ГОСУДАРСТВЕННОЕ БЮДЖЕТНОЕ ОБРАЗОВАТЕЛЬНОЕ УЧРЕЖДЕНИЕ ВЫСШЕГО ОБРАЗОВАНИЯ
«УФИМСКИЙ УНИВЕРСИТЕТ НАУКИ И ТЕХНОЛОГИЙ»
ФАКУЛЬТЕТ БАШКИРСКОЙ ФИЛОЛОГИИ, ВОСТОКОВЕДЕНИЯ
И ЖУРНАЛИСТИКИ
Вступительные испытания в магистратуру
Дисциплина: теория и история журналистики
Экзаменационный билет № 1
1. Журналистика в условиях глобализации.
2. Определение понятий «медиаэкономика» и «медиаресурсы».
Зав. кафедрой журналистики Р.Д.Мустафина
СПИСОК ЛИТЕРАТУРЫ
История отечественной журналистики ХVШ-Х1Х и ХХ веков
- Есин Б.И. История русской журналистики (1703-1917): учебно-методический комплект - М.: Флинта , 2006.
- Очерки по истории русской журналистики и критики. Т.1 Л.,1950, Т.2.Л..1965.
- История русской журналистики ХУШ-ХIХ веков. Тексты, /под ред. Б.И. Есина. Изд. Моск. ун-та., 1986.
- Кузнецов И. В. История отечественной журналистики (1917-2000 г.) 3-е изд., испр. - М.: Флинта , 2006.
- Овсепян Р.П. История новейшей отечественной журналистики. Переходный период (Вторая половина 80-х - 90-е годы): Уч. пос. для студентов отделений и факультетов журналистики государственных университетов. - М., 1996.
- Махонина С.Я. История русской журналистики начала XX века. Учебное пособие 5-е изд., стереотип. - М.: Флинта , 2011.
История зарубежной журналистики
- Ворошилов В.В. История журналистики зарубежных стран. СПб., 2000.
- Мкртчян Г.И. История английской журналистики ХVII- начала XIX веков. М., 2000.
- Прутцков Г.В. История зарубежной журналистики. 1800-1929. Учебно-методический комплект (учебное пособие, хрестоматия) - М.: Аспект Пресс, 2010.
Основы журналистской деятельности
- Лазутина Г.В. Основы творческой деятельности журналиста. М., 2000.
- Тертычный А.А. Аналитическая журналистика: Познавательно-психологический подход. М., 1998.
- Корконосенко С.Г. Теория журналистики: моделирование и применение. Учебное пособие - М.: Логос , 2010.
- Ким Н.М. Журналистика. Методология профессионального творчества. СПб., 2004.
- Коновалова О.В. Основы журналистики. М. – Ростов-на-Дону. 2005.
- Олешко В.Ф. Журналистика как творчество. М., 2003.
Система, техника и технология СМИ
- Алиева С.А. Современная медиасистема России. Уфа, РИЦ БашГУ, 2016, - 104 с.
- Калмыков А.А. Интернет-журналистика. Учебник - М.: Юнити-Дана, 2005.
- Амзин А.А. Новостная интернет - журналистика. Учебное пособие - М.: Аспект Пресс , 2012.
- Вирен Г. Современные медиа: Приемы информационных войн: Учеб.пособие для студентов вузов. - М.: Аспект Пресс, 2013. - 126 с.
- Дзялошинский И. Современное медиапространство России: Учеб.пособие для студентов вузов.– М.: Аспект Пресс, 2015. - 312 с.
- Типология периодической печати: учебное пособие для студентов вузов / М.Е. Аникина, В.В. Баранов, О.А. Воронова и др. ; под ред. М.В. Шкондина, Л.Л. Реснянской .- М. : Аспект Пресс, 2009 .- 236 с.
- Ситников В.П. Техника и технология СМИ: печать, радио, телевидение-М,. 2002, 175с.
Правовые основы и профессиональная этика журналиста
- Лазутина Г.В. Профессиональная этика журналиста. Учебник - М.: Аспект Пресс , 2011.
- Матушевский Р.Г. Правовые основы СМИ и журналистики. Конспект лекций. Учебное пособие - М.: А-Приор , 2006.
Основы рекламы и PR
-
-
-
- Королько В.Г.Основы паблик рилейшнз. М.: «Рефл-бук», 2000. 415 с.
- Кривоносов А.Д. PR- текст в системе публичных коммуникаций. СПб.,2001. 254 с. Изд. 2-е, доп. СПб., 2002.
- Ученова В.В., Гринберг Т.Э., Конаныхин К.В., Петрушко М.В., Шомова С.А. Реклама: Палитра жанров. М., 2004.
- Харрисон Ш. Связи с общественностью. Вводный курс. СПБ.: Издат. дом «Нева»; М.: ОЛМА-ПРЕСС Инвест, 2003. 368 с.
-
-
Социология и психология журналистики
1. Олешко В.Ф. Психология журналистики: Учебник и практикум / В.Ф. Олешко. - Люберцы: Юрайт, 2016. - 351 c.
2. Социология журналистики: Учеб. Пособие для студентов вузов/ Под ред. /С. Г. Корконосенко. М., 2004.
3. Свитич Л.Г. Социология журналистики: учебник для академического бакалавриата / Л.Г.Свитич. — М.: Издательство Юрайт, 2015. - 397 с.
4. Федотова Л.Н. Социология массовой коммуникации/ Л.Н. Федотова.- М.: Аспект Пресс, 2003 .- 400 с.
Основы языкознания и литературоведения
ПРОГРАММА
вступительного испытания
для поступающих в магистратуру по направлению подготовки
45.04.01 «Филология»
программа (профиль)
«Филология в диалоге языков и культур»
ОБЩИЕ ПОЛОЖЕНИЯ
Вступительные испытания предназначены для определения практической и теоретической подготовленности поступающего в магистратуру и проводятся с целью определения соответствия знаний умений и навыков требованиям обучения магистратуры по направлению подготовки 45.04.01 «Филология» (магистратура). Программа составлена в соответствии с требованиями федерального государственного образовательного стандарта высшего профессионального образования.
Вступительные испытания в магистратуру проводят экзаменационные комиссии, назначенные председателем приёмной комиссии УУНиТ.
ПРОЦЕДУРА ВСТУПИТЕЛЬНОГО ИСПЫТАНИЯ
Дата и время проведения вступительного испытания и консультации определяются расписанием вступительных испытаний, которое утверждается председателем приемной комиссии.
Перед вступительным испытанием для поступающих проводится консультация по содержанию программы испытания, критериям оценки, предъявляемым требованиям, правилам поведения на испытании.
Форма вступительного испытания (в соответствии Положением о вступительных испытаниях УУНИТ): устно-письменная.
Вступительные испытания в виде устного, устно-письменного, устного с элементами тестирования проводятся в соответствии с программами вступительных испытаний, утверждаемых председателем приемной комиссии.
Экзаменационные билеты включают два или три вопроса по направлению подготовки (по специальности).
В аудитории, где проводится вступительное испытание в устной форме, не может находиться одновременно более 6 человек. Нахождение в аудитории посторонних лиц не допускается.
Абитуриенту предоставляется право готовиться к ответу в течение 30 минут.
Абитуриенту предоставляется право ответа на экзаменационные вопросы в течение 20-25 минут.
В процессе сдачи вступительного испытания абитуриенту могут быть заданы дополнительные вопросы как по содержанию экзаменационного билета, так и по любым разделам предмета в пределах программы вступительного испытания.
Абитуриент, не согласный с оценкой, полученной на ВИ и (или) в связи с нарушением процедуры проведения ВИ имеет право подать апелляцию. Процедура подачи и рассмотрения апелляции регламентируется Положением об апелляционной комиссии УУНиТ.
КРИТЕРИИ ОЦЕНИВАНИЯ ОТВЕТА
Критериями оценки экзаменационного ответа, поступающего в магистратуру являются полнота, логичность, доказательность, прочность, осознанность знаний и теоретическая обоснованность суждений, самостоятельность в интерпретации информации, практическая направленность, уровень овладения профессиональными умениями менеджера и др. В случае тестирования является правильные ответы на тестовые задания.
Результаты вступительного испытания определяются по 100-балльной шкале, разброс баллов представлен ниже в таблице:
|
№ |
Критерии оценивания |
Оценка |
|
1 |
Дан полный развернутый ответ на теоретический вопрос:
|
85-100 баллов «отлично» |
|
2 |
Дан в целом правильный ответ на теоретический вопрос:
|
67-84 балла «хорошо» |
|
3 |
Дан в основном правильный ответ на теоретический вопрос:
|
50-66 баллов «удовлетворительно» |
|
4 |
Дан фрагментарный ответ или неправильный ответ на теоретический вопрос из предложенного тематического раздела:
|
0-49 баллов «неудовлетворительно» |
СОДЕРЖАНИЕ РАЗДЕЛОВ И ТЕМ ПРОГРАММЫ ВСТУПИТЕЛЬНОГО ИСПЫТАНИЯ
Русский язык
- Язык как универсальная знаковая система. Функции, элементы и уровни языка как знаковой системы. Язык: варианты и формы существования. Варианты и формы состояния языка в его диахроническом и синхроническом аспектах.
- Синхронная и диахроническая социолингвистика. Когнитивная лингвистика и её место в современной научной парадигме. Концепт как базовое понятие когнитивной лингвистики. Типология концептов. Структура концепта и методика его описания.
- Языковая картина мира: понятие, способы (методы) изучения. Концепт как основа языковой картины мира.
- Литературный язык как высшая форма национального языка. Норма: её динамика и развитие.
- Понятие о слове как об основной единице лексики. Проблема универсального определения слова. Проблема определения русского слова и его национально-специфические черты
- Метод как способ научного познания. Язык как объект научного исследования. Понятие лингвистического метода. Общелингвистические и частные лингвистические методы. Этика научного исследования в гуманитарных областях.
- Текст как феномен употребления языка. Традиционные и современные представления о тексте. Многообразие современных текстов. Тексты устные, письменные, печатные, электронные. Определение текста. Признаки текста. О термине «дискурс». Письменный текст. Письмо, ступени его развития.
- Язык художественной литературы. Признаки художественного текста. Язык художественной литературы в отношении к разговорному языку и функциональным стилям. Лексика языка художественной литературы. Нормы языка художественной литературы.
Основы межкультурной коммуникации
- Язык – речь – речевая деятельность. Признаки языка и речи. Формы речи, их характерные признаки. Составляющие коммуникативного речевого акта.
- Функции и аспекты речевого акта. Способы коммуникации идей: коммуникативные системы и коммуникативные коды. Язык в отношении к другим системам коммуникации. Структурные характеристики языка.
- Характер контакта между участниками речевого акта. Процессы кодирование и декодирования во время коммуникации. Язык как средство интерперсональной и интраперсональной коммуникации.
- Язык и мышление. Основные понятия языка и мышления. Язык и общество. Язык и культура. Проблемы взаимодействия.
- Социальные и когнитивные аспекты языка. Социолингвистика, её предмет и методы.
Отечественная литература
- «Начало» русской литературы: язык, жанровый репертуар и культурный контекст.
- М.В. Ломоносов: Ломоносов как придворный поэт, литературная теория и практика, язык и образы одической и духовной поэзии. А.П. Сумароков: представления о литературе и литературном процессе, стиль и язык элегической поэзии и басен.
- на фоне «большой» литературной традиции.
Зарубежная литература
- Романтизм как литературное направление в Европе конца XVIIIХ1Хвеков. Социально-исторические, философские предпосылки романтизма. Литературные предшественники романтизма. Национальные школы европейского романтизма, их специфика.
- Классический реализм XIX века как эстетическая система и литературное направление. История формирования и развития. Соотношение с романтизмом. Философская основа реализма. Периодизация. Эстетическая программа.
- Отечественная литература в екатерининскую эпоху: поэзия и проза. Г.Р. Державин: стиль и язык в контексте русской литературы XVIII в., духовная поэзия, придворные оды, автобиографическая поэзия.
- Формирование национального поэтического канона в первой половине XIX в. (Жуковский, Батюшков, Пушкин). Складывание литературного канона в первой четверти XIX в.: проблема «ученичества» и литературной игры. «Школа Батюшкова» и «школа Жуковского».
- Русская проза первой половины XIX в.: от Карамзина к Пушкину. Жанры «сентиментальной» прозы: повести Карамзина на фоне русской и европейской литературной традиции.
- Психологическая проза русских писателей второй половины XIX в. (Толстой, Достоевский, Тургенев, Гончаров и др.). Автобиографическая проза Л.Н. Толстого и жанровые особенности его «больших» романов. Психологизм романов Достоевского (на примере одного). Поэтика сословной культуры, сюжет и характеры в прозе И.С. Тургенева и И.А. Гончарова.
- Русский символизм: основные имена, художественная программа, эволюция. История символистского движения в России (фигуры, журналы, литературные общества).
- Отечественная литература советского времени: 1920 - 1930 е годы. Развитие национальных литератур народов России.
- Современная отечественная литература и ее институциональное поле (журналы, Интернет-издания, премии, фигура литературного критика). Современная литература Национальные школыевропейского реализма, их специфика.
- Особенности развития американской литературы второй половины XIX века. Философия и литература трансцендентализма. Аболиционизм и его отражение в литературе
- Понятие рубежа XIX-XXвеков как литературного периода от франкопрусской войны и Парижской Коммуны до Первой мировой войны. Социально-политическая ситуация в Европе. Основные философские течения. Эволюция реализма. Зарождение новых литературных направлений. Понятие декаданса.
- Европейский модернизм, Философская основа модернизма. Эстетические принципы.
- Первая мировая война и ее художественное воплощение в литературе ХХ века. А. Барбюс и его новаторский роман «Огонь». Тема «потерянного поколения» в зарубежной литературе (Ремарк, Олдингтон, Хемингуэй).
- Литература США 20-30-х гг. «Золотой век» американского романа. «Красные 30-е». Творчество Т. Драйзера. Художественное своеобразие творчества Э. Хемингуэя. Роль Фолкнера в литературе США ХХ века. Массовая литература США (феномен популярности «Унесенных ветром» М. Митчелл).
- Вторая мировая война и литературный процесс в Западной Европе и Америке.
- Пути развития современной литературы США. «Молчаливое десятилетие» (50-е годы). «Бурные 60-е». Документальная традиция в литературе США. Неоконсервативные тенденции в литературе 70-80-х годов. Афроамериканская литература США и проблема расово-этнического своеобразия. Концепция мультикультурализма.
Демоверсия экзаменационного варианта
Образец билета
- Современный русский литературный язык. Литературный и национальный язык. Происхождение литературного языка, этапы его развития.
- Просветительский реализм в русской литературе XVIII в.
- Понятие о романтизме как эпохе и литературном направлении
СПИСОК ЛИТЕРАТУРЫ
1. Актуальные проблемы современной лингвистики: учебное пособие/ сост. Л.Н. Чурилина. М.: Флинта, 2011. (Электронный ресурс. – Режим доступа: http://www.knigafund.ru/books/116228).
2. Алефиренко Н.Ф., Семененко Н.Н. Фразеология и паремиология: учебное пособие. М.: Флинта, 2009.
3. Алефиренко Н.Ф. Язык, познание и культура: Когнитивносемиотическая синергетика слова: монография. Волгоград: Перемена, 2006.
4. Бабайцева В.В. Система членов предложения в современном русском языке: монография. М.: Флинта: Наука, 2011.
5. Беликов В.И., Крысин Л.П. Социолингвистика. М.: Рос. гос. гуманит. ун-т, 2001.
6. Валгина Н.С. Активные процессы в современном русском языке. М.: Логос, 2003.
7. Валгина Н.С. Актуальные проблемы современной русской пунктуации. М.: Высшая школа, 2004.
8. Валгина Н.С. Теория текста. М.: Логос, 2003.
9. Введенская Л.А., Червинский П.П. Теория и практика русской речи. Трудные темы. 2-е изд. СПб.: Питер, 2005.
10. Гребенникова Н.С. Зарубежная литература. XX век: Учеб.пособие для студ. филол. спец. вузов. - М.: ВЛАДОС: ИМПЭ им. А.С.Грибоедова,2002. - 128с.
11. Кубарева Н. П. Зарубежная литература последней трети XIX - начала XX века / Н. П. Кубарева. - Москва: Московский лицей, 2004. - 342 с.
12. Проскурнин Б.М. История зарубежной литературы Х1Х века: западноевропейская реалистическая проза: учеб.пособие для пед. вузов по спец. 021700 - филология. - М: Флинта: Наука, 2006. - 411 с.
Общая экология
ПРОГРАММА
вступительного испытания
для поступающих в магистратуру по направлению подготовки
05.04.06 «Экология и природопользование»
программа (профиль)
«Экология»
ОБЩИЕ ПОЛОЖЕНИЯ
Вступительные испытания предназначены для определения практической и теоретической подготовленности поступающего в магистратуру и проводятся с целью определения соответствия знаний умений и навыков требованиям обучения магистратуры по направлению подготовки 05.04.06 «Экология и природопользование» (магистратура). Программа составлена в соответствии с требованиями федерального государственного образовательного стандарта высшего профессионального образования.
Вступительные испытания в магистратуру проводят экзаменационные комиссии, назначенные председателем приёмной комиссии УУНиТ.
ПРОЦЕДУРА ВСТУПИТЕЛЬНОГО ИСПЫТАНИЯ
Дата и время проведения вступительного испытания и консультации определяются расписанием вступительных испытаний, которое утверждается председателем приемной комиссии.
Перед вступительным испытанием для поступающих проводится консультация по содержанию программы испытания, критериям оценки, предъявляемым требованиям, правилам поведения на испытании.
Форма вступительного испытания (в соответствии Положением о вступительных испытаниях УУНИТ): устно-письменная.
Вступительные испытания в виде устно-письменной формы проводятся в соответствии с программами вступительных испытаний, утверждаемых председателем приемной комиссии.
В аудитории, где проводится вступительное испытание, не может находиться одновременно более 6 человек. Нахождение в аудитории посторонних лиц не допускается. Вступительное испытание проводится в устно-письменной форме с предварительной подготовкой ответа и обязательной устной беседой с экзаменационной комиссией.
Абитуриенту предоставляется право готовиться к ответу в течение 30 минут.
В процессе сдачи вступительного испытания абитуриенту могут быть заданы дополнительные вопросы как по содержанию, так и по любым разделам предмета в пределах программы вступительного испытания.
Абитуриент, не согласный с оценкой, полученной на ВИ и (или) в связи с нарушением процедуры проведения ВИ имеет право подать апелляцию. Процедура подачи и рассмотрения апелляции регламентируется Положением об апелляционной комиссии УУНиТ.
КРИТЕРИИ ОЦЕНИВАНИЯ ОТВЕТА
Критериями оценки устно-письменного ответа, поступающего в магистратуру является полнота, логичность, доказательность, прочность, осознанность знаний и теоретическая обоснованность суждений, самостоятельность в интерпретации информации, практическая направленность, уровень овладения профессиональными умениями эколога и др. В случае тестирования является правильные ответы на тестовые задания.
Результаты экзамена определяются по 100-балльной шкале, разброс баллов представлен ниже в таблице:
|
№ |
Критерии оценивания |
Оценка |
|
1 |
Дан полный развернутый ответ на теоретический вопрос:
|
85-100 баллов «отлично» |
|
2 |
Дан в целом правильный ответ на теоретический вопрос:
|
67-84 балла «хорошо» |
|
3 |
Дан в основном правильный ответ на теоретический вопрос:
|
50-66 баллов «удовлетворительно» |
|
4 |
Дан фрагментарный ответ или неправильный ответ на теоретический вопрос из предложенного тематическогораздела:
|
0-49 баллов «неудовлетворительно» |
СОДЕРЖАНИЕ РАЗДЕЛОВ И ТЕМ ПРОГРАММЫ ВСТУПИТЕЛЬНОГО ИСПЫТАНИЯ
Предмет, задачи и методы современной экологии
Введение термина «экология» Э.Геккелем в 1866 г. для обозначения изучения взаимодействий организма и среды. Фундаментальные свойства живых систем. Уровни биологической организации, изучаемые экологией: организмы, популяции, сообщества, экосистемы, ландшафты, биомы, биосфера.
Пространственно-временные масштабы изучения популяций и экосистем. Уровни объяснения в экологии. Непосредственные объяснения – выяснение механизмов; «конечные» объяснения – поиски причин возникновения таких механизмов.
Основные методы экологических исследований: наблюдение, эксперимент, моделирование. Типы моделей.
Экология особи
Организм как дискретная самовоспроизводящаяся открытая система, связанная со средой обменом веществ, энергии и информации. Соответствие между организмами и средой. Приспособленность, ее происхождение в результате естественного отбора. Исторические причины современного распределения организмов: дрейф континентов, изменения климата, острова.
Жизненная форма организмов как комплекс морфофизиологических признаков, отражающих приспособленность вида к условиям среды. Классификации жизненных форм растений, животных и микроорганизмов. Унитарные и модулярные организмы – различные пути приспособления к среде. Типы изменчивости среды (циклические, направленные, хаотические) и способы реагирования организмов (физиологические реакции, фотопериодизм, анабиоз, поддержание постоянства состава).
Экологические факторы и закономерности их действия на организмы. Классификация экологических факторов. Условия и ресурсы. Правило оптимума, кривая толерантности, экологическая валентность, экологический спектр вида. Неоднозначность действия фактора на разные функции организма и на разные особи вида. Взаимодействия факторов. Лимитирующие факторы, правило Ю.Либиха. Правило двух уровней адаптации. Экотипы.
Распределение отдельных видов по градиенту условий. Комплексные градиенты, ведущие градиенты. Ординация видов как основной метод изучения экологии видов и выделения экологических групп видов.
Температура и ее влияние на организмы. Температурный коэффициент, верхний и нижний температурный пороги жизни. Эндотермные и эктотермные организмы. «Трейдоф». Концепция «градусо-дней». Температурные адаптации. Правила Бергмана и Аллена.
Влажность и ее влияние на организмы. Пойкилогидрические и гомойогидрические организмы. Экологические группы растений по отношению к увлажненности.
Соленость как фактор распределения водных организмов. Концепция критической солености биологических процессов.
Кислотно-основные характеристики среды (рН): прямое и непрямое воздействие на обменные процессы организмов.
Ресурсы как факторы распределения организмов. Классификация ресурсов: незаменимые, ингибирующие в больших количествах, полностью взаимозаменимые, взаимодополняющие, антагонистические. Пищевые ресурсы. Классификации организмов по типу и способу питания. Автотрофы. Гетеротрофы. Поступление энергии с пищей и ее дальнейшая трансформация. Рацион, ассимиляция, траты на обмен, рост и размножение. Потребление кислорода как показатель скорости обмена. Зависимость общего обмена и его интенсивности от массы тела. Миксотрофия. Пространство как ресурс.
Экология популяций
Определение популяции в экологии и генетике. Популяция как элемент вида и экосистемы. Генетическая неоднородность популяции. Границы популяции.
Статические характеристики популяции: численность, плотность, возрастная, половая, размерная структура. Связь между размерами организмов и плотностью популяции. Методы оценки численности и плотности популяции. Выборочное исследование. Популяция в пространстве: случайное, агрегированное (пятнистое), регулярное, градиентное и фрактальное размещение особей. Выявление характера распределения с помощью статистических методов. Причины, приводящие к определенному типу пространственного распределения.
Динамические характеристики популяции: скорость роста численности, рождаемость, смертность, интенсивность иммиграции и эмиграции. Динамика популяции как баланс протекающих в ней процессов. Жизненные циклы: классификация. Распределение смертности по возрастам. Когортные и статические таблицы выживания: способы их построения. Основные типы кривых выживания и их распространенность среди различных групп организмов.
Экспоненциальная модель роста численности популяции. Постоянство удельной скорости роста численности, как и достаточное условие экспоненциального роста. Скорость экспоненциального роста: ее зависимость от характеристик организма, обеспеченности ресурсами, условий среды.
Логистическая модель роста численности популяции: предпосылки и следствия. Уравнение Ферхюльста. Эффект запаздывания и автоколебания численности. Проблема регуляция численности популяции. Концепция регуляционизма. Гипотеза «распределения риска» (концепция стохастизма). Концепция саморегуляции численности. Множественность механизмов регуляции численности организмов. Смена механизмов регуляции численности в зависимости от достигнутого уровня численности.
Представление о r- и К- отборе. r- и К- стратегии организмов. «Трейдоф». «Цена» размножения.
Основные типы эколого-ценотических стратегий по Раменскому и Грайму: виоленты (компетиторы), патиенты (стресс-толеранты) и эсплеренты (рудералы).
Взаимодействия популяций
Классификация типов взаимодействий: конкуренция, аменсализм, хищничество, мутуализм, комменсализм, нейтрализм.
Конкуренция. Эксплуатация и интерференция. Соотношение внутривидовой и межвидовой конкуренции. Черты внутривидовой конкуренции. Влияние плотности популяции (внутривидовая конкуренция) на гибель, рождение, рост и физиологическое состояние отдельных особей популяции.
Межвидовая конкуренция: общие черты. Теоретический подход к изучению конкуренции: система уравнений Лотки-Вольтерра и их графическая интерпретация. Фазовые портреты поведения системы конкурирующих видов в зависимости от соотношения параметров уравнений. Ограничения модели. Лабораторные опыты по конкуренции. Варианты исхода взаимодействия между конкурирующими видами. Исключение. Сосуществование. Степень допустимого перекрывания кривых использования ресурсов.
Отношения «ресурс-потребитель» (хищник-жертва). Таксономическая классификация хищников: растительноядные, плотоядные, всеядные. «Функциональная» классификация хищников: истинные хищники, хищники с пастбищным типом питания, паразиты, паразитоиды.
Влияние хищничества на отдельные особи жертвы: гибель в случае действия истинных хищников и паразитоидов, защитные реакции в случае растительноядности. Способы защиты от выедания у организмов фитопланктона. Механизмы защиты высших наземных растений от выедания фитофагами. Совместное действие выедания и межвидовой конкуренции усиливает эффект хищничества. Влияние хищничества на популяцию жертвы не всегда оказывается отрицательным. Выедание бездомных, больных, одряхлевших особей; компенсирующие реакции выживших особей.
Влияние потребления пищи на консументов. Состояние насыщения популяций консументов. Ширина спектра питания и состав пищи консументов. Полифагия и монофагия. Пищевое предпочтение. Ранжированное и сбалансированное предпочтение. Переключение. Влияние жертвы на эволюцию хищника. Ограниченные возможности животных в переработке растительных тканей; использование симбионтов. Теория оптимального добывания пищи (МакАртур, Пианка). Соотношение затрат на добывание пищи и получаемых при этом выгод. Функциональная реакция потребителя на увеличение количества ресурса (числа жертв). Разные типы функциональной реакции.
Динамика популяций хищника и жертвы. Математическая модель Лотки-Вольтерра: их графическое выражение и интерпретация.
Редуценты и детритофаги, их взаимоотношения с пищевыми ресурсами. Отсутствие контроля над ресурсами со стороны потребителей. Специализация редуцентов и их смена в процессе разложения органического вещества.
Паразитизм. Микропаразиты и макропаразиты. Разные способы передачи микропаразитов. Критическая плотность популяции хозяина, обеспечивающая 4 распространение микропаразитов. Организм хозяина как местообитание паразитов. Конкуренция среди паразитов. Популяционная динамика паразитизма. Мутуализм. Примеры мутуализма среди животных, а также животных с растениями. Опылители. Микориза. Лишайники.
Мутуализм с участием организмов, населяющих пищеварительный тракт. Мутуалистическая фиксация азота.
Экология сообществ
Определение сообщества. Границы сообществ. Кривая «число видов-площадь» как метод установления границ сообщества. Различные подходы к выделению сообществ, описанию их структуры и функционирования. Сообщество, трактуемое как целостная, высокоинтегрированная система («квазиорганизм»), и сообщество как простая совокупность совместно обитающих популяций. Концепции дискретности и континуальности. Сообщества как открытые системы, непрерывно переходящие одно в другое вдоль градиентов среды. Абсолютный континуум – экоклины; относительный континуум (экотоны). Сообщество как уровень организации живого. Ординация и классификация сообществ.
Структура сообществ. Видовая структура сообществ. Видовое разнообразие как интегральная характеристика сообщества. Индексы видового разнообразия, их зависимость от числа видов и соотношения их численностей. Различные типы распределения обилия видов, входящих в сообщество. Логарифмические ряды (модель Фишера-Корбета-Уильямса). Логнормальное распределение численностей (Престон) и модель разломанного стержня (МакАртур).
Теория экологической ниши. Развитие концепции ниши. Многомерный подход к определению ниши (Хатчинсон). Фундаментальная и реализованная ниша. Ширина ниши. Перекрывание ниш. Перекрывание ниш и конкуренция. Диффузная конкуренция. Лимитирующее сходство. Степень лимитирующего сходства: правило Хатчинсона и закон Дайара. Размерность ниши и дифференциальное перекрывание. Хищничество и видовое разнообразие.
Теория островной биогеографии. Зависимость между числом видов и площадью острова. Типы островов: настоящие острова, растение-хозяин, материки. Экологические теории, касающиеся островных сообществ: разнообразие местообитаний, «теория равновесия» МакАртура и Уилсона. Эксперименты по колонизации незаселенных субстратов (Cairns).
Теория нейтральности. Принципы теории, отличия от теории экологической ниши.
Закономерности видового разнообразия. Связь видового богатства с различными факторами. Время: эволюционное и экологическое время. Условия окружающей среды: благоприятность, стабильность, изменчивость, предсказуемость во времени, пространственная неоднородность, площадь. Биотические факторы: гипотезы продуктивности, конкуренции, компенсаторной смертности, кольцевой сети. Градиенты видового разнообразия: широта, высота, глубина, сукцессия, палеоэкология. Относительное обилие мелких и крупных форм.
Динамика сообществ во времени. Первичные и вторичные сукцессии. Деградационная, аллогенная и автогенная сукцессия. Механизмы автогенных сукцессий. Концепция климакса. Изменение видового разнообразия в ходе сукцессии. Эволюция сообществ – филоценогенез.
Устойчивость сообщества. Эластичная и упругая устойчивость. Связь между сложностью сообщества и его устойчивостью. Число трофических уровней и устойчивость модельных сообществ.
Экология экосистем
Биогеоценология. Горизонтальная структура. Мозаичность, пестротность, комплексность. Варианты мозаичности фитоценозов: регенерационные, клоновые, фитоэнвайронментальные, аллелопатические, зоогенные мозаики.
Вертикальная структура. Ярусность фитоценозов. Вертикальная структуры почвенных, планктонных и бентосных сообществ. Синузии, парцеллы, ценоэлементы.
Пространственно-функциональные единицы сообществ: консорции, гломерации, гильдии. Взаимодействия организмов в сообществе: трофические, топические, форические, фабрические.
Экосистемы как физические системы. Понятия системы, вещества, энергии, информации, пространства, времени. Структура и функционирование экосистем. Поток энергии, круговорот вещества как организаторы и основные функции экосистемы. Физические ограничения, лежащие в основе организации экосистемы: термодинамические и кибернетические принципы организации экосистем. Структура экосистем и теория информации. Кибернетическая природа и стабильность экосистем. Особенности поведения энергии, вещества и информации в экосистемах.
Круговорот вещества и поток энергии – организаторы экосистемы. Основные закономерности трансформации энергии в биосфере. Функциональные группы организмов в экосистеме. Продуценты, консументы и редуценты. Условность границы между консументами и редуцентами. Концепция продуктивности. Трансформация энергии на трофическом уровне. Биомасса и продукция.
Первичная продуктивность. Валовая и чистая продуктивность. Чистая продуктивность сообщества. Вторичная продуктивность. Концепция энергетической субсидии. Первичная продукция. Фотосинтетически активная радиация (ФАР). Лимитирование первичной продукции различными факторами (освещенностью, температурой, влажностью, концентрацией биогенных элементов). Хемосинтез. Автохтонное и аллохтонное органическое вещество в экосистемах.
Поток энергии в экосистеме через трофические уровни. Утилизация первичной продукции в трофических цепях. Рацион, ассимиляция, вторичная продукция. Коэффициент использования потребленной пищи на рост Ивлева (К2). Пастбищная и детритная пищевые цепи. Трофическая сеть и трофические уровни. Экологическая эффективность, правило 10%. Роль консументов в пищевой цепи. Регуляция отдельных уровней «сверху» и «снизу». Пирамиды численностей, биомасс и продукции. Универсальная модель потока энергии в экосистеме. Энергетическая классификация экосистем.
Биогеография
Биогеография и ее место в системе наук. Предмет, объекты. История становления биогеографии. Структура науки. Основные термины и понятия. Методы исследований.
Географический ареал биологических таксонов. Формирование ареалов, первичный ареал, расселение организмов. Викаризм, викарные ареалы. Границы ареалов и факторы, их обуславливающие. Размеры и формы ареалов. Типология ареалов. Формирование дизъюнктивных ареалов. Эндемики и реликты. Центры таксономического разнообразия, центры происхождения видов. Антропогенная трансформация ареалов.
География флор и фаун (флористико-фаунистическая биогеография). Закономерности изменения таксономического разнообразия по основным географическим градиентам. Флора, фауна, биота, географические элементы биоты. Понятие «эндемизм». Системы флористического и фаунистического районирования. Краткая характеристика флористических и фаунистических регионов.
Основные закономерности географической дифференциации живого покрова суши. Классификации в биогеографии. Представление о биоме. Растительность и животное население. Континуальность и дискретность. Понятие «экотон». Планетарный, региональный и топологический (ландшафтный) уровни дифференциации живого покрова суши. Макроструктура живого покрова суши, зональные, интра- и экстразональные типы сообществ. Высотная поясность, верхние пределы жизни в горах. Биогеографическая специфика высокогорий. География и динамика основных биомов суши.
Основные типы наземных экосистем. Особенности наземной среды, отличия от водных экосистем. Наземная биота и биогеографические области. Общая структура наземных сообществ: растительность, высокоподвижные животные (пермеанты). Определяющая роль высших растений. Резкое преобладание биомассы растений над биомассой всех остальных групп организмов. Важность детритных пищевых цепей. Почва как специфическое биокосное наземное тело. Население почв. Роль почвы в организации наземных экосистем. Принципиальные отличия трофической организации наземных экосистем от пелагических. Ограниченное число трофических уровней.
Распространенность главных наземных экосистем: биомы. Основные наземные биомы, классификация, особенности структуры, главные лимитирующие факторы. Тундра. Низкие температуры и короткий вегетационный сезон. Вечная мерзлота. Приспособления организмов к длительному промерзанию. Биом северных хвойных лесов (тайга). Короткий период вегетации и долгая снежная зима. Роль болот в регуляции речного стока. Биом влажных (мезотермальных) хвойных лесов умеренной зоны. Биом листопадных лесов умеренной зоны. Ярко выраженная сезонность. Биом широколиственного вечнозеленого субтропического леса. Биом степей умеренной зоны. Биом тропической саванны. Количество осадков и неравномерность их распределения во времени как факторы, препятствующие развитию лесов. Пожары и их экологическая роль. Значительная первичная продукция и пресс фитофагов. Биом пустынь. Жаркие и холодные пустыни. Вода – основной лимитирующий фактор. Приспособления организмов к жизни в пустыне. Биом тропического дождевого леса – наиболее продуктивные экосистемы биосферы. Малое количество биогенов и высокая скорость их циркуляции. Сложная ярусная структура. Жизнь в кронах. Чрезвычайно высокое видовое разнообразие и его возможное объяснение. Тропические биомы кустарника (скрэб) и листопадного леса. Границы между биомами, переходные биомы. Вертикальная зональность.
Биогеография Мирового океана и континентальных водоемов. Экологические области океана. Биологические ресурсы Мирового океана. Биогеографическое районирование океана. Пресные воды как среда жизни. Биогеографическое районирование пресных вод России.
Основные типы водных экосистем. Морские экосистемы. Биологическая структура Мирового океана. Неритические и пелагические области. Пелагиаль (эпипелагиаль, мезопелагиаль, абиссопелагиаль) и бенталь (супралитораль, литораль, сублитораль, батиаль, абиссаль, ультраабиссаль). Жизнь в толще воды и на дне. Планктон, нектон, бентос, нейстон, пагион. Круговорот Жизни в Мировом океане. Основные группы продуцентов: фитопланктон, перифитон и макрофиты. Основные группы консументов и редуцентов в водной среде. Зоопланктон и его роль в минерализации органического вещества. Инвертированная пирамида биомасс. Гетеротрофные бактерии. Взвешенное и растворенное органическое вещество. Детрит. «Морской снег». Схема потоков вещества и энергии в пелагической экосистеме. «Микробная петля». Приспособления организмов к парению в толще воды. Размерные группы планктона. Экосистемы апвеллингов: механизмы формирования, характерные черты. Основные апвеллинги. Экосистемы даунвеллингов, паковых льдов. Распределение продукции в Мировом океане. Прибрежные экосистемы. Экосистемы приливно-отливных зон, эстуариев, коралловых рифов и мангров. Гидротермальные экосистемы.
Экосистемы континентальных водоемов: типы и лимитирующие факторы. Лентические экосистемы. Озеро как экосистема. Термический и кислородный режим озера. Стратификация водной толщи. Классификация озер по типу циркуляции воды : димиктические, холодные мономиктические, теплые мономиктические, полимиктические, олигомиктические, меромиктические. Трофическая классификация озер: олиготрофные, мезотрофные, эвтрофные, дистрофные. Специальные типы озер. Экологическая зональность озера: литоральная, лимническая и профундальная зоны. Экологическая классификация организмов: бентос, перифитон, планктон. Природа сообществ литоральной зоны. Первичная продукция: зона надводной вегетации, зона укорененных в дне растений с плавающими на поверхности листьями, зона подводной вегетации. Вторичная продукция. Природа сообществ лимнической зоны. Ключевая роль фосфора в лимитировании первичной продукции. Сезонная сукцессия в планктонном сообществе. Контроль за развитием сообщества «снизу» (недостатком биогенов) и «сверху» (за счет пресса фитофагов»). Природа сообществ профундальной зоны.
Водохранилища: особенности и классификация. Пруды: формирование, классификация. Болота: определение, классификация, организация сообществ.
Лотические экосистемы: реки, ручьи, родники. Общее сравнение лотических и лентических местообитаний. Соотношение автохтонного и аллохтонного органического вещества. Природная зональность в реках. Организация лотических сообществ. Лотические экосистемы как целое.
Биосфера. Живое вещество как совокупность всех организмов. Живое вещество в Космосе – уникальность или вечное свойство материи? Разработка В.И.Вернадским атомистического подхода к живому.
Биосфера – оболочка Земли. Границы биосферы. Неравномерность распределения живого вещества в биосфере. Вертикальная и горизонтальная структура биосферы. Структура биосферы по Вассоевичу: апобиосфера, парабиосфера, эубиосфера, метабиосфера. «Пленки жизни» – геохоры. Структурно-функциональные единицы биосферы: фитогеосфера, биогеосфера, геомерида, биогеоценотический покров.
Вещество биосферы. Семь типов веществ. Биокосное вещество и биокосные системы планеты: почвы, природные воды, атмосфера. Биогенное вещество и ископаемые продукты жизнедеятельности организмов. Косное вещество и горные породы. Рассеянное вещество и компоненты радиоактивного распада. Вещество космического происхождения. Живое и неживое – два полюса космической материи. Биосфера как гигантская биокосная система.
Биогеохимические функции живого вещества и деятельность живых организмов. Концентрационная функция первого и второго рода. Энергетическая, деструктивная, средообразующая, транспортная функции. Биогеохимические принципы В.И.Вернадского, описывающие функционирование биосферы и ее развитие. «Всюдность жизни».
Концепция Геи Дж.Лавлока: биологическая регуляция геохимической среды.
Круговорот вещества в биосфере. Структура и основные типы биогеохимических циклов в биосфере. Структура биогеохимических циклов: резервный и подвижный (обменный) фонды вещества. Количественное изучение биогеохимических циклов: скорость оборота и время оборота вещества.
Круговорот азота. Фиксация азота и вовлечение его в биогеохимический круговорот. Симбиотические и свободноживущие организмы – фиксаторы азота. Процессы аммонификации, нитрификации, денитрификации. Проблемы загрязнения окружающей среды соединениями азота.
Круговорот углерода. Биологическое значение углерода. Особенность круговорота в водных и наземных экосистемах. Карбонат-гиброкарбонатнаая система природных вод. Запасы органического и неорганического углерода. Не замкнутость цикла углерода. Хозяйственная деятельность человека и трансформация круговорота углерода.
Круговорот кислорода. Биологическое значение кислорода. Биохимические, анатомические и физиологические механизмы использования кислорода организмами. Резервный фонд круговорота кислорода. Источники поступления кислорода в атмосферу. Кислород и эволюция биосферы.
Круговорот серы. Биологическое значение серы. Резервный фонд серы. Микробиологические процессы в круговороте серы. Антропогенная трансформация круговорота серы. Поступление серы в атмосферу. Локальные, региональные и глобальные проблемы загрязнения атмосферы соединениями серы.
Демоверсия экзаменационного варианта
1. Предмет экологии. Определение экологии. Иерархическая организация Природы.
2. Холистический (экосистемный) и редукционистский (популяционный) подходы в экологии. Уровни объяснения в экологии.
3. Жизненные формы организмов как результат соответствия между организмами и средой. Классификации жизненных форм.
4. Унитарные и модулярные организмы.
5. Факторы среды, их классификация. Основные среды жизни. Пути приспособления организмов к условиям среды.
6. Основные закономерности действия факторов среды на организмы.
7. Температура и ее влияние на организмы. Температурный коэффициент. Пойкилотермные и гомойотермные организмы. Концепция «градусо-дней».
8. Влажность и ее влияние на организмы. Экологические группы растений по отношению к увлажненности.
9. Световой режим и его влияние на организмы. Адаптации растений и животных к световому режиму.
10. Кислотно-основные характеристики среды и влияние рН на организмы.
11. Соленость как фактор распределения организмов. Парадокс солоноватых вод. Критическая соленость.
12. Ресурсы: определение, классификация по Тилману. Основные типы ресурсов.
13. Определение популяции. Различные подходы к определению популяции.
14. Статические характеристики популяции. Способы оценки статических популяционных показателей. Динамические характеристики популяции. Основное уравнение динамики численности.
15. Основные типы пространственного распределения популяций. Распознавание различных типов распределения. Механизмы, поддерживающие определенное пространственное распределение организмов.
16. Когортные и статические таблицы выживания. Основной коэффициент воспроизводства. Кривые выживания, их типы.
17. Экспоненциальная и логистическая модели роста популяции.
18. Регуляция численности популяции. Концепция регуляционизма при объяснении регуляции численности популяции. Множественность механизмов регуляции.
19. Основные концепции, объясняющие динамику численности популяции: регуляционизм, стохастизм, саморегуляция.
20. Экологические стратегии организмов. К- и r- стратегии. Понятие о К- и r- отборе. CRS – классификация.
21. Миграции организмов в пространстве, закономерности миграций. Расселение как эволюционно стабильная стратегия. Закономерности расселения организмов.
22. Классификация взаимодействий между видами. Математические модели динамики численности взаимодействующих популяций.
23. Конкуренция. Виды конкуренции. Основные черты конкуренции.
24. Модель Лотки-Вольтерра конкурирующих популяций.
25. Отношения «ресурс-потребитель». Классификация хищников. Основные черты хищничества.
26. Ширина спектра питания хищников. Теория оптимального добывания пищи.
27. Связь между скоростью потребления пищи консументом и ее плотностью. Влияние плотности консументов и особенности пространственного распределения пищи на скорость ее выедания.
28. Математическая модель Лотки-Вольтерра динамики численности взаимодействующих популяций хищника и жертвы.
29. Редуценты и детритофаги, их взаимоотношения с пищевыми ресурсами.
30. Особенности взаимоотношений паразит-хозяин и паразитоид-хозяин.
31. Особенности мутуалистических взаимоотношений. Примеры.
32. Концепция сообщества: основные подходы. Дискретность и континуальность сообществ.
33. Видовая структура сообществ.
34. Пространственная структура сообществ. Пространственно-функциональные единицы сообществ.
35. Теория экологической ниши. Виды экологических ниш. Параметры экологических ниш.
36. Роль конкуренции, хищничества и нарушений в определении структуры сообществ.
37. Насыщение сообществ. Теория островной биогеографии.
38. Закономерности изменения видового разнообразия в разных сообществах.
39. Динамика сообществ во времени. Сукцессии: классификация и механизмы. Концепция климакса.
40. Эволюция сообществ. Модели сеткообразной эволюции и филоценогенеза.
41. Устойчивость сообществ и экосистем. Виды устойчивости.
42. Физические ограничения, лежащие в основе организации экосистем: термодинамика, кибернетика, теория информации.
43. Поток энергии – организатор экосистемы. Пищевые цепи. Концепция продуктивности.
44. Трофическая структура экосистем. Пищевые сети. Трофические пирамиды.
45. Географический ареал. Центры таксономического разнообразия.
46. Биогеохимический круговорот элементов в экосистеме. Структура биохимических циклов.
47. Круговорот азота в биосфере. Микробиологические процессы в круговороте азота.
48. Круговорот углерода в биосфере. Регуляция климата.
49. Круговорот кислорода в биосфере. Кислород и эволюция биосферы.
50. Круговорот серы в биосфере. Микробиологические процессы в круговороте серы.
51. Основные типы наземных экосистем Земли: их сходства и различия.
52. Основные типы морских экосистем Земли: их сходства и различия.
53. Основные типы пресноводных экосистем Земли: их сходства и различия.
54. Концепция биосферы. Структура биосферы. Типы вещества биосферы.
СПИСОК ЛИТЕРАТУРЫ
- Абдурахманов Г.М., Криволуцкий Д.А., Мяло Е.Г., Огуреева Г.Н. Биогеография. М.: Академия, 2003. 480 с.
- Воронов А.Г., Дроздов Н.Н., Криволуцкий Д.А., Мяло Е.Г. Биогеография с основами экологии. М: Изд-во МГУ, 1999. 392 с.
- Гиляров А.М. Популяционная экология. М.: Изд-во МГУ, 1990. 191 с.
- Мордкович В.Г. Основы биогеографии. М.: КМК. 2005. 236 с.
- Миркин Б.М., Наумова Л.Г. Краткий курс общей экологии. Уфа: БГПУ, 2011. Ч.I. 206 с. Ч.II. 180 с.
- Петров К.М. Биогеография. М.: Академический проект, 2006. 400 с.
- Шилов И.А. Экология. М.: Высшая школа, 1998. 512 с. 10
- Челноков, А.А. Общая и прикладная экология [Электронный ресурс] : учебное пособие/ А.А. Челноков, К.Ф. Саевич, Л.Ф. Ющенко. - Минск : Вышэйшая школа, 2014. - 654 с. — Режим доступа: https://e.lanbook.com/book/65258
- Чернова Н.М., Былова А.М. Экология. М.: Просвещение, 1988. 272 с.
Общая биология
ПРОГРАММА
вступительного испытания
для поступающих в магистратуру по направлению подготовки
06.04.01 «Биология»
программа (профиль)
«Оценка и восстановление территориальных биоресурсов»
ОБЩИЕ ПОЛОЖЕНИЯ
Вступительные испытания предназначены для определения практической и теоретической подготовленности поступающего в магистратуру и проводятся с целью определения соответствия знаний умений и навыков требованиям обучения магистратуры по направлению подготовки 06.04.01 «Биология» (магистратура). Программа составлена в соответствии с требованиями федерального государственного образовательного стандарта высшего профессионального образования.
Вступительные испытания в магистратуру проводят экзаменационные комиссии, назначенные председателем приёмной комиссии УУНиТ.
ПРОЦЕДУРА ВСТУПИТЕЛЬНОГО ИСПЫТАНИЯ
Дата и время проведения вступительного испытания и консультации определяются расписанием вступительных испытаний, которое утверждается председателем приемной комиссии.
Перед вступительным испытанием для поступающих проводится консультация по содержанию программы испытания, критериям оценки, предъявляемым требованиям, правилам поведения на испытании.
Форма вступительного испытания (в соответствии Положением о вступительных испытаниях УУНИТ): устно-письменная.
Вступительные испытания в виде устно-письменной формы, проводятся в соответствии с программами вступительных испытаний, утверждаемых председателем приемной комиссии.
В аудитории, где проводится вступительное испытание не может находиться одновременно более 6 человек. Нахождение в аудитории посторонних лиц не допускается. Вступительные испытание проводится в устно-письменной форме с предварительной подготовкой ответа и обязательной устной беседой с экзаменационной комиссией.
Абитуриенту предоставляется право готовиться к ответу в течение 30 минут.
Абитуриенту предоставляется право ответа на экзаменационные вопросы в течение 20-25 минут.
В процессе сдачи вступительного испытания абитуриенту могут быть заданы дополнительные вопросы как по содержанию, так и по любым разделам предмета в пределах программы вступительного испытания.
Абитуриент, не согласный с оценкой, полученной на ВИ и (или) в связи с нарушением процедуры проведения ВИ имеет право подать апелляцию. Процедура подачи и рассмотрения апелляции регламентируется Положением об апелляционной комиссии УУНиТ.
КРИТЕРИИ ОЦЕНИВАНИЯ ОТВЕТА
Критериями оценки экзаменационного ответа, поступающего в магистратуру являются полнота, логичность, доказательность, прочность, осознанность знаний и теоретическая обоснованность суждений, самостоятельность в интерпретации информации, практическая направленность, уровень овладения профессиональными умениями менеджера и др. В случае тестирования является правильные ответы на тестовые задания.
Результаты вступительного испытания определяются по 100-балльной шкале, разброс баллов представлен ниже в таблице:
|
№ |
Критерии оценивания |
Оценка |
|
1 |
Дан полный развернутый ответ на теоретический вопрос:
|
85-100 баллов «отлично» |
|
2 |
Дан в целом правильный ответ на теоретический вопрос:
|
67-84 балла «хорошо» |
|
3 |
Дан в основном правильный ответ на теоретический вопрос:
|
50-66 баллов «удовлетворительно» |
|
4 |
Дан фрагментарный ответ или неправильный ответ на теоретический вопрос из предложенного тематического раздела:
|
0-49 баллов «неудовлетворительно» |
СОДЕРЖАНИЕ РАЗДЕЛОВ И ТЕМ ПРОГРАММЫ ВСТУПИТЕЛЬНОГО ИСПЫТАНИЯ
Общая биология
- Сущность жизни, разнообразие и уровни биологических систем, клетки, их цикл, дифференциация;
- Организмы, их основные системы, принципы классификации;
- Наследственность и изменчивость, биологическая эволюция, основные концепции и методы биологии;
- Перспективы развития биологических наук и стратегия охраны природы.
Науки о биологическом многообразии (микробиология, вирусология, ботаника, зоология)
- Вирусы, бактерии, простейшие, грибы, растения, животные, их морфология, основы физиологии, образ жизни;
- Географическое распространение, происхождение, классификация, роль в биосфере и жизни человека;
- Методы изучения, описания, культивирования, таксономических исследований, коллекционирования.
Физиология (растений, животных, высшей нервной деятельности, иммунология)
- Строение и функции основных систем органов животных и человека, принципы восприятия, передачи и переработки информации в организме;
- Регуляция жизненных функций и системы обеспечения гомеостаза; сравнительный аспект становления функций, физиологические процессы зеленого растения: фотосинтез, дыхание, водообмен, рост и развитие.
- Формирование иммунитета растений, животных и человека;
- Молекулярные механизмы физиологических процессов, ферменты, гормоны, биологически активные вещества; основы этологии;
- Методы экспериментальной работы с лабораторными животными, методы физиологии растений.
Биология клетки (цитология, гистология, биофизика, биохимия, молекулярная биология)
- Строение и принципы жизнедеятельности клетки, единство и разнообразие клеточных типов, воспроизведение и специализация;
- Ткани, их происхождение в индивидуальном и историческом развитии; субклеточные компоненты, их биохимические характеристики;
- Структура и свойства белков, нуклеиновых кислот, углеводов, пути биосинтеза макромолекул, энергетика клеток растений и животных, структура и функции биомембран, принципы регуляции метаболизма;
- Методы световой микроскопии, культуры клеток и тканей, выделения и исследования субклеточных структур, фотометрии, приемы изучения ферментативной активности, изотопный анализ.
Генетика, эволюция, биотехнология
- Наследственность и изменчивость на всех уровнях организации живого;
- Генная теория; мутагенез, природные и антропогенные мутагены, генетическая инженерия, ее применение в биотехнологии, генетические основы селекции; генетика популяций;
- Генетические обоснования эволюции, методы генетического анализа, селекции.
- Основные теории эволюции;
- История становления эволюционных представлений;
- Генетические основы эволюционного процесса; концепция видообразования.
- Микробиологический синтез, генная и клеточная инженерия, их значение для развития экономики и охраны природы
Биология размножения и развития
- Условия воспроизведения организмов, онтогенез и филогенез,
- Жизненные циклы, этапы и процессы индивидуального развития, причины аномалий, биологический возраст, методы получения и исследования эмбрионального материала.
Экология и рациональное природопользование
- Взаимодействия организма и среды;
- Факторы среды; сообщества организмов, экосистемы, их состав, разнообразие, динамика, пищевые сети и цепи, взаимодействие биологических видов;
- Структура, эволюция и условия устойчивости биосферы;
- Антропогенные воздействия и экологический прогноз;
- Методы анализа и моделирования экологических процессов;
- Экологические принципы природопользования и охрана природы.
Биология человека
- Антропогенез; морфология человека;
- Формы поведения, закономерности интегральной деятельности мозга, механизмы памяти, целенаправленных действий;
- Психофизиологические и биосоциальные особенности человека;
- Здоровье, экология, факторы риска, причины и типа основных патологий, стресс и адаптация; генетика и демография;
- Методы анализа и коррекции физиологического состояния
Демоверсия экзаменационного варианта
Экзаменационные вопросы
- Строение клеток прокариот и эукариот (сходства и различия).
- Уровни биологических систем, клетки, их цикл, дифференциация
- Организмы, их основные системы, принципы классификации
- Наследственность и изменчивость, биологическая эволюция, основные концепции и методы биологии
- Митоз. Стадии митоза, их продолжительность и характеристика. Цитокинез.
- Мейоз. Стадии мейоза. Мейоз у животных и растений. Различия между митозом и мейозом.
- Механизмы транспорта веществ через биологическую мембрану. Характеристика активного транспорта.
- Белки. Функции, структура белков и физико-химические свойства. Связи, поддерживающие структуру белка.
- Ферменты, их роль в живой природе. Международная классификация и номенклатура ферментов. Специфичность действия ферментов. Изоферменты (изозимы). Мультиферменты. Строение ферментов.
- Понятия: кофермент, кофактор, простетическая группа. Роль витаминов, металлов и других кофакторов в функционировании ферментов. Активный центр фермента. Аллостерический центр.
- Общие представления о катализе. Физический смысл константы скорости химической реакции (энергетическая диаграмма реакции, переходное состояние, энергия активации). Механизм действия ферментов. Особенности ферментативного катализа.
- Энергия активации. Кинетика ферментативных реакций. Уравнение Михаэлиса-Ментен-Бриггса-Холдейна. Константа Михаэлиса. Начальная и максимальная скорость ферментативной реакции. Графические методы анализа ферментативных реакций.
- Нуклеиновые кислоты. Строение нуклеиновых кислот. Нуклеозиды и нуклеотиды. Многообразие нуклеиновых кислот и их функции.
- Углеводы и их биологическая роль. Классификация, структура, свойства и распространение в природе. Липиды и их биологическая роль. Классификация, структура, свойства и распространение в природе.
- Структурная организация прокариотической клетки.
- Различные формы прокариот. Химический состав и размеры.
- Рост и размножение бактериальной клетки. Разновеликое бинарное деление клетки. Почкование бактерий.
- Неклеточные формы жизни — вирусы. Химический состав, морфология, физиология, образ жизни, происхождение, классификация, размножение.
- Особенности классификации, строения, размножения, распространения, экологии и разнообразия водорослей.
- Особенности классификации, строения, размножения, распространения, экологии и разнообразия грибов.
- Особенности классификации, строения, размножения, распространения, экологии и разнообразия споровых растений.
- Особенности классификации, строения, размножения, распространения, экологии и разнообразия голосеменных и покрытосеменных растений.
- Особенности классификации, строения, размножения, распространения, экологии и разнообразия одноклеточных животных.
- Краткая характеристика особенностей классификации, строения, размножения, распространения, экологии и разнообразия многоклеточных беспозвоночных животных.
- Особенности классификации, строения, размножения, распространения, экологии и разнообразия анамний.
- Особенности классификации, строения, размножения, распространения, экологии и разнообразия амниот.
- Методы изучения, описания, культивирования, таксономических исследований, коллекционирования Наследование в популяциях. Генетическое равновесие в панмиктической популяции. Закон Харди—Вайнберга. Условие выполнение закона Харди—Вайнберга.
- Молекулярные механизмы реализации наследственной информации.
- Матричные процессы и действие гена. Основные свойства генетического кода.
- Генная инженерия, клеточная и тканевая селекция, соматическая гибридизация.
- Хромосомы как основная структура ядра. Строение митотических хромосом: форма, типы, размер, число. Кариотип. Сателлитная ДНК. Дифференциальное окрашивание хромосом. Ультраструктура митотических хромосом.
- Редупликация ДНК в хромосомах прокариот и эукариот. Репликоны, их число и скорость репликации. Политенные хромосомы. Их структурная организация и функционирование.
- Основные принципы функциональной организации: гомеостаз, иммунологическая реактивность, надежность, регуляция и координация функций, саморегуляция, адаптация. Гомеостаз его значение и механизмы.
- Нервная регуляция и координация функций. Обратная связь – необходимая предпосылка процессов саморегуляции.
- Строение и функции основных систем органов животных и человека, принципы восприятия, передачи и переработки информации в организме;
- Регуляция жизненных функций и системы обеспечения гомеостаза; сравнительный аспект становления функций, физиологические процессы зеленого растения: фотосинтез, дыхание, водообмен, рост и развитие.
- Формирование иммунитета растений, животных и человека;
- Молекулярные механизмы физиологических процессов, ферменты, гормоны, биологически активные вещества; основы этологии;
- Методы экспериментальной работы с лабораторными животными, методы физиологии растений.
- Строение и принципы жизнедеятельности клетки, единство и разнообразие клеточных типов, воспроизведение и специализация;
- Ткани, их происхождение в индивидуальном и историческом развитии; субклеточные компоненты, их биохимические характеристики;
- Методы световой микроскопии, культуры клеток и тканей, выделения и исследования субклеточных структур, фотометрии, приемы изучения ферментативной активности, изотопный анализ
- Наследственность и изменчивость на всех уровнях организации живого;
- Генная теория; мутагенез, природные и антропогенные мутагены, генетическая инженерия, ее применение в биотехнологии, генетические основы селекции; генетика популяций;
- Генетические обоснования эволюции, методы генетического анализа, селекции.
- Основные теории эволюции;
- История становления эволюционных представлений;
- Генетические основы эволюционного процесса; концепция видообразования.
- Микробиологический синтез, генная и клеточная инженерия, их значение для развития экономики и охраны природы
- Условия воспроизведения организмов, онтогенез и филогенез,
- Жизненные циклы, этапы и процессы индивидуального развития, причины аномалий, биологический возраст, методы получения и исследования эмбрионального материала
- Фотосинтез, его значение. Особенности дыхания растений. Дыхание как источник энергии и ассимилятов.
- Водный обмен растительной клетки и целого растения. Минеральное питание. Донорно-акцепторные взаимоотношения и транспорт ассимилятов.
- Механизмы возбуждения. Проведение возбуждения. Синаптическая передача. Раздражимость как свойство живого. Природа нервного импульса. Рефлекторная теория, ее особенности и развитие. Основные характеристики рефлекса.
- Механизмы гуморальной регуляции функций. Единство нейро-гуморальной регуляции организма.
- Общие принципы организации сенсорных систем. Механизмы рецепторной функции. Принципы анализа в нервной системе афферентных сигналов (соматосенсорных, слуховых, обонятельных и зрительных).
- Нейрофизиологические механизмы поведения. Нейрофизиологические механизмы памяти.
- Основы синтетической теории эволюции (генетические, онтогенетические, экологические).
- Микроэволюция (искусственный и естественный отбор, вид и видообразование).
- Макроэволюция и ее закономерности.
- Понятие об экологических факторах. Общие закономерности действия экологических факторов на организмы.
- Взаимодействия организма и среды;
- Факторы среды; сообщества организмов, экосистемы, их состав, разнообразие, динамика, пищевые сети и цепи, взаимодействие биологических видов;
- Структура, эволюция и условия устойчивости биосферы;
- Антропогенные воздействия и экологический прогноз;
- Методы анализа и моделирования экологических процессов;
- Экологические принципы природопользования и охрана природы.
- Основные среды жизни: наземно-воздушная, водная, эдафическая, организменная. Их специфика.
- Понятие о биоценозе. Его структура. Смена биоценозов.
- Понятие о биосфере. Круговорот веществ и энергии в биосфере по В.И.Вернадскому.
- Антропогенез; морфология человека;
- Формы поведения, закономерности интегральной деятельности мозга, механизмы памяти, целенаправленных действий;
- Психофизиологические и биосоциальные особенности человека;
- Здоровье, экология, факторы риска, причины и типа основных патологий, стресс и адаптация; генетика и демография;
- Методы анализа и коррекции физиологического состояния
СПИСОК ЛИТЕРАТУРЫ
- Агол И.И. Происхождение животных и человека. Серия - Из наследия
- естественно-научной мысли: биология. М.: Либроком, 2013.
- Ботаника: в 4-х т. Т. 1. Водоросли и грибы: Учебник для студ. высш.
- учеб. заведений / Г.А. Белякова, Ю.Т. Дьяков, К.Л. Тарасов. – 2-е изд., стер. –М.: Изд. центр «Академия», 2010.
- Иорданский Н.Н. Организмы, виды и эволюция. – М.: Либроком, 2011.
- Кузнецов А.Е., Градова Н.Б., Лушников С.В. Прикладная
- экобиотехнология: Учебное пособие. 2-е изд. (эл.). Т.1. Издательство: "Бином.Лаборатория знаний", 2012.
- Кузнецов Вл.В., Кузнецов В.В., Романов Г.А. Молекулярногенетические и биохимические методы в современной биологии растений.
- Издательство: "Бином. Лаборатория знаний", 2012.
- Переведенцева Л.Г. Микология: грибы и грибоподобные организмы:
- Учебник. 2-е изд., испр. и доп. Спб.: Изд-во Лань, 2012.
- Ручин А. Б. Биология с основами экологии. Учебник для студентов
- учреждений ВПО. – М.: Академия, 2011.
- Скулачев В.П. Мембранная биоэнергетика. М.: МГУ, 2012.
- Фрешни Р.Я. Культура животных клеток: практическое руководство.
- Пер. 5-го англ. изд. 2-е изд. (эл.). Издательство: "Бином. Лаборатория знаний",2013.
- Ягодин Г.А., Пуртова Е.Е. Устойчивое развитие человек и биосфера:
- учебное пособие. Издательство: "Бином. Лаборатория знаний", 2013.
- Биология с основами экологии: учебник для студентов вузов / под ред.
- А.С. Лукаткина. 2-е изд., испр. М.: Академия, 2011.
- Биология: учебник для студентов медицинских специальностей вузов:
- в 2 кн. Кн. 1: [Жизнь, гены, клетка, онтогенез, человек] / под ред. В.Н. Ярыгина. изд. 10-е, стер. М.: Высшая школа, 2010.
- Биология: учебник для студентов мед. спец. вузов. Кн. 2: [Эволюция, экосистема, биосфера, человечество] / под ред. В.Н. Ярыгина. изд. 10-е, стер. М.: Высшая школа, 2010.
- Гилберт Скотт Ф. Биология развития = Developmental Diology: учебное пособие: [пер. с англ.]. 7-е изд. СПб.: Информ-Планета: Политехника, 2010.
- Биология насекомых: учебное пособие / Ю.А. Захваткин,
- И.М. Митюшев, Н.Н. Третьяков; Ю.А. Захваткин, И.М. Митюшев,
- Н.Н. Третьяков. М.: URSS: [Книжный дом "ЛИБРОКОМ"], 2013
- Биохимия человека: [учебник]: в 2 т. / Р. Марри, Д. Греннер, П. Мейес, В.Родуэлл. М.: Мир, 2004.
- Еленевский А.Г. Ботаника: Систематика высших, или наземных, растений:Учеб. для студ. выс. пед. учеб. заведений / А.Г. Еленевский, М.П.Соловьева,
- В.Н.Тихомиров. 3-е изд., испр. и доп.- М.: Издательский центр «Академия», 2004. 432 с.
- Иванов В.Б. Практикум по физиологии растений. /Иванов В.Б., Плотникова
- И.В., Живухина Е.А. и др. М.: Издательский центр «Академия», 2001. 144 с.
- Иорданский Н. Н. Эволюция жизни / Н. Н. Иорданский.- М.: Академия, 2001432с.
- Кольман Я.Наглядная биохимия /Кольман Я., Рём К.-Г. М.: Мир, 2000. 469 с.
- Комов В.П. Биохимия /Комов В.П., Шведова В.Н.. М.: Дрофа, 2004. 640 с.
- Курепина М.И. Анатомия человека: учеб. для вузов/ М. М. Курепина, А.
- П.Ожигова, А. А. Никитина. М.: ВЛАДОС, 2003.-384 с.
- Ленинджер А. Основы биохимии. В 3-х томах. М.: Мир, 1985.
- Сапин М. Р. Анатомия человека: В двух книгах: учеб. для вузов по
- направлениями спец.в обл. здравоохранения и ”Биология”/ М.Р.Сапин, Г.Л.Бибич. М.: ОНИКС 21 век: Мир и Образование. Кн. 1: Опорно-двигательный аппарат. Внутренние органы (пищеварительная и дыхательная системы).2002. 463 с.
- Сапин М.Р. Анатомия человека: В двух книгах: учеб. для вузов по направлениями спец.в области здравоохранения и ”БИОЛОГИЯ”/ М.Р.Сапин, Г.Л.Билич. - М.: ОНИКС 21век: Мир и Образование. Кн.2: Внутренние органы (мочеполовой аппарат). Систе мы обеспечения (эндокринная, сосудистая, иммунная, нервная системы, органы чувств 2002. 4З2 с.
- Степановских АС. Общая экология/ Степановских АС. М.: ЮНИТИ, 2000.-51 О с.
- Филиппович Ю.Б. Основы биохимии. М.: Агар, 1999. 512 с.
- Шарова, И. Х. Зоология беспозвоночных: учебник для вузов / И. Х. Шарова. -М.: Владос, 2002. 592 с.
- Шевченко В. А, Генетика человека: учеб. для вузов/ А. Шевченко, Н.А.Топорнина, Н. С. Стволинская М. :ВЛАДОС, 2002.-240с.
- Шмальгаузен И.И. Проблемы дарвинизма] И.И. Шмальгаузен - Л. 1969. -496 с.
- Шмальгаузен И.И. Пути и закономерности эволюционного процесса/И.И.ГПмальгаузен, 1986. /Пмальгаузен ИМ. Факторы эволюции/ И.И. Шмальгаузен - М. 1968. 451 с.
Биология
ПРОГРАММА
вступительного испытания
для поступающих в магистратуру по направлению подготовки
06.04.01 «Биология»
программы (профиль)
«Биология (по профилям): Биоэкология и инновационные методы в селекции и растениеводстве; Медико-биологические науки; Геномика и биоинформатика»,
«Фундаментальная и прикладная биология»
ОБЩИЕ ПОЛОЖЕНИЯ
Вступительные испытания предназначены для определения практической и теоретической подготовленности поступающего в магистратуру и проводятся с целью определения соответствия знаний умений и навыков требованиям обучения магистратуры по направлению подготовки 06.04.01 «Биология» (магистратура). Программа составлена в соответствии с требованиями федерального государственного образовательного стандарта высшего профессионального образования.
Вступительные испытания в магистратуру проводят экзаменационные комиссии, назначенные председателем приёмной комиссии УУНиТ.
ПРОЦЕДУРА ВСТУПИТЕЛЬНОГО ИСПЫТАНИЯ
Дата и время проведения вступительного испытания и консультации определяются расписанием вступительных испытаний, которое утверждается председателем приемной комиссии.
Перед вступительным испытанием для поступающих проводится консультация по содержанию программы испытания, критериям оценки, предъявляемым требованиям, правилам поведения на испытании.
Форма вступительного испытания (в соответствии Положением о вступительных испытаниях УУНИТ): тестирование.
Вступительные испытания в виде электронного тестирования проводятся в соответствии с программами вступительных испытаний, утверждаемых председателем предметной комиссии.
Вступительные испытания в форме тестирования включают вопросы как закрытого, так и открытого типа, а также задания в аудио- и видеоформатах.
Составление вариантов экзаменационных заданий в форме электронных тестов осуществляется ответственным секретарем приемной комиссии университета.
Из вариантов экзаменационных заданий формируются комплекты вопросов-тестов.
Компоновку комплектов вопросов-тестов ответственный секретарь, заместитель ответственного секретаря производят до вступительных испытаний.
Тест содержит 40 тестовых вопросов.
Результаты испытаний оцениваются по 100 бальной шкале.
Абитуриент, не согласный с оценкой, полученной на ВИ и (или) в связи с нарушением процедуры проведения ВИ имеет право подать апелляцию. Процедура подачи и рассмотрения апелляции регламентируется Положением об апелляционной комиссии УУНиТ.
КРИТЕРИИ ОЦЕНИВАНИЯ ОТВЕТА
Критериями оценки экзаменационного ответа, поступающего в магистратуру являются полнота, логичность, доказательность, прочность, осознанность знаний и теоретическая обоснованность суждений, самостоятельность в интерпретации информации, практическая направленность, уровень овладения профессиональными умениями менеджера и др. В случае тестирования является правильные ответы на тестовые задания.
При проверке количество первичных баллов переводится в итоговую 100 балльную шкалу через информационную платформу университета.
СОДЕРЖАНИЕ РАЗДЕЛОВ И ТЕМ ПРОГРАММЫ ВСТУПИТЕЛЬНОГО ИСПЫТАНИЯ ПО ПРОГРАММЕ «БИОЛОГИЯ (ПО ПРОФИЛЯМ): БИОЭКОЛОГИЯ И ИННОВАЦИОННЫЕ МЕТОДЫ В СЕЛЕКЦИИ И РАСТЕНИЕВОДСТВЕ; МЕДИКО-БИОЛОГИЧЕСКИЕ НАУКИ; ГЕНОМИКА И БИОИНФОРМАТИКА»
Молекулярная генетика
- Молекулы генетического аппарата, структурная организация генома
- Репликация генов
- Экспрессия генов, уровни регуляции экспрессии генов
- Молекулярная структура геномов эукариот и прокариот
- Эпигенетика
Генетика и селекция
- Молекулярные основы наследственности
- Мутационная изменчивость
- Сцепление генов и кроссинговер
- Взаимодействие неаллельных генов
- Генетика микроорганизмов
- Генетика растений
Популяционная генетика
- Основные термины и методы исследования в популяционной генетик
- Генетический полиморфизм популяций
- Молекулярные маркеры в популяционной генетике
- Основные понятия этногеномики
Медицинская генетика
- Человек как объект генетического исследования
- Моногенные и хромосомные заболевания
- Роль генетических и средовых факторов в развитии многофакторных заболеваний
- Генетические заболевания с нетрадиционным типом наследования
- Спортивная генетика
Методы молекулярно-генетического анализа
- Методы выделения нуклеиновых кислот
- Метод ПЦР, ПЦР в реальном времени
- Метод ПДРФ
- Секвенирование по Сэнгеру
- Секвенирование нового поколения
- Полногеномный анализ ассоциаций
Цитогенетика
- Геномные изменения: полиплоидия, анеуплоидия
- Генетика пола у человека. Тельца Барра и их диагностическое значение
- Кариотип и идиограмма человека. Морфология, структура и классификация хромосом
- Цитогенетические методы исследования
Генетика развития
- Генетическая регуляция развития организма
- Дифференциальная активность геномов
- Молекулярно-генетическое обеспечение плана строения организма. Гомеозисные гены
- Дрозофила как модельный оргпнизм в генетике развития
Психогенетика
- Методы психогенетики
- Генотип-средовые соотношения в вариативности психологических признаков
- Психогенетика темперамента и личности
- Генетика психических расстройств
Анатомия человека
- Остеология
- Миология
- Спланхнология
- Нервная система
Физиология человека и животных
- Физиология возбудимых тканей
- Физиология крови. Сердечно-сосудистая система.
- Физиология дыхания
- Физиология пищеварения
Гистология
- Гистогенез. Эпителиальные ткани
- Ткани внутренней среды. Собственно-соединительные ткани
- Соединительные скелетные ткани
- Мышечные ткани
- Нервная ткань
Систематика и морфология низших растений
- Основы современной систематики цианопрокариот и водорослей.
- Характеристика основных отделов водорослей.
- Цитологические особенности представителей водорослей различных отделов.
- Общая характеристика водорослей как низших организмов.
- Уровни организации таллома водорослей различных отделов.
Популяционная биология
- Место популяционной биологии в системе наук об охране биоразнообразия.
- История развития онтогенетического метода. Вклад российских ученых в развитие популяционно-онтогенетического подхода.
- Понятия о популяциях, ценопопуляциях, элементах ценопопуляций растений. Основные направления и задачи ценопопуляционных исследований.
- Периодизация онтогенеза растений. Критерии выделения возраста и возрастных состояний растений. Полный, неполный, сокращенный онтогенез. Большой и малый жизненные циклы.
- Неоднородность особей в пределах ценопопуляций (возрастная, половая, виталитетная).
Методы охраны биоразнообразия
- Оценка состояния и природоохранной значимости ценопопуляций редких видов.
- Методы исследования устойчивости растений и растительных сообществ к антропогенному воздействию.
- Методы мониторинговых исследований ценопопуляций редких видов.
- Методы охраны видов in situ.
- Методы охраны видов ex situ.
Экология растений
- Динамика растительности. Основные формы динамики.
- Методы изучения динамики растительности.
- Классификация растительности по доминантам. Биомы.
- Антропотолерантность растительности. Гемеробность.
- Ботанико-географические закономерности флоры РБ. Биоразнообразие флоры РБ
Зоология
- Плоские черви. Тип Круглые черви. Тип Кольчатые черви. Особенности строения.
- Класс Ракообразные. Класс Паукообразные. Класс Насекомые. Особенности строения, размножения и развития.
- Особенности строения Хрящевых и Костных рыб.
- Птицы. Особенности строения, размножения и развития.
- Класс Млекопитающие. Особенности строения, размножения и развития
Ботаника
- Классификация и строение растительных тканей.
- Появление органов растений в ходе эволюции.
- Корень и корневая система.
- Побег и система побегов. Лист.
- Размножение растений.
- Цветок. Соцветие.
- Развитие плодов и семян. Способы распространения плодов и семян.
СОДЕРЖАНИЕ РАЗДЕЛОВ И ТЕМ ПРОГРАММЫ ВСТУПИТЕЛЬНОГО ИСПЫТАНИЯ ПО ПРОГРАММЕ «ФУНДАМЕНТАЛЬНАЯ И ПРИКЛАДНАЯ БИОЛОГИЯ»
Биохимия
- Статическая биохимия
- Динамическая биохимия
- Функциональная биохимия
Микробиология
- Вирусологию
- Бактериологию
Молекулярная генетика
- Молекулы генетического аппарата, структурная организация генома
- Репликация генов
- Экспрессия генов, уровни регуляции экспрессии генов
- Молекулярная структура геномов эукариот и прокариот
- Эпигенетика
Генетика и селекция
- Молекулярные основы наследственности
- Мутационная изменчивость
- Сцепление генов и кроссинговер
- Взаимодействие неаллельных генов
- Генетика микроорганизмов
- Генетика растений
Популяционная генетика
- Основные термины и методы исследования в популяционной генетик
- Генетический полиморфизм популяций
- Молекулярные маркеры в популяционной генетике
- Основные понятия этногеномики.
Медицинская генетика
- Человек как объект генетического исследования
- Моногенные и хромосомные заболевания
- Роль генетических и средовых факторов в развитии многофакторных заболеваний
- Генетические заболевания с нетрадиционным типом наследования
- Спортивная генетика
Методы молекулярно-генетического анализа
- Методы выделения нуклеиновых кислот
- Метод ПЦР, ПЦР в реальном времени
- Метод ПДРФ
- Секвенирование по Сэнгеру
- Секвенирование нового поколения
- Полногеномный анализ ассоциаций
Цитогенетика
- Геномные изменения: полиплоидия, анеуплоидия
- Генетика пола у человека. Тельца Барра и их диагностическое значение
- Кариотип и идиограмма человека. Морфология, структура и классификация хромосом
- Цитогенетические методы исследования
Генетика развития
- Генетическая регуляция развития организма
- Дифференциальная активность геномов
- Молекулярно-генетическое обеспечение плана строения организма. Гомеозисные гены
- Дрозофила как модельный оргпнизм в генетике развития
Психогенетика
- Методы психогенетики
- Генотип-средовые соотношения в вариативности психологических признаков
- Психогенетика темперамента и личности
- Генетика психических расстройств
Анатомия человека
- Остеология
- Миология
- Спланхнология
- Нервная система
Физиология человека и животных
- Физиология возбудимых тканей
- Физиология крови. Сердечно-сосудистая система.
- Физиология дыхания
- Физиология пищеварения
Гистология
- Гистогенез. Эпителиальные ткани
- Ткани внутренней среды. Собственно-соединительные ткани
- Соединительные скелетные ткани
- Мышечные ткани
- Нервная ткань
Систематика и морфология низших растений
- Основы современной систематики цианопрокариот и водорослей.
- Характеристика основных отделов водорослей.
- Цитологические особенности представителей водорослей различных отделов.
- Общая характеристика водорослей как низших организмов.
- Уровни организации таллома водорослей различных отделов.
Популяционная биология
- Место популяционной биологии в системе наук об охране биоразнообразия.
- История развития онтогенетического метода. Вклад российских ученых в развитие популяционно-онтогенетического подхода.
- Понятия о популяциях, ценопопуляциях, элементах ценопопуляций растений. Основные направления и задачи ценопопуляционных исследований.
- Периодизация онтогенеза растений. Критерии выделения возраста и возрастных состояний растений. Полный, неполный, сокращенный онтогенез. Большой и малый жизненные циклы.
- Неоднородность особей в пределах ценопопуляций (возрастная, половая, виталитетная).
Методы охраны биоразнообразия
- Оценка состояния и природоохранной значимости ценопопуляций редких видов.
- Методы исследования устойчивости растений и растительных сообществ к антропогенному воздействию.
- Методы мониторинговых исследований ценопопуляций редких видов.
- Методы охраны видов in situ.
- Методы охраны видов ex situ.
Экология растений
- Динамика растительности. Основные формы динамики.
- Методы изучения динамики растительности.
- Классификация растительности по доминантам. Биомы.
- Антропотолерантность растительности. Гемеробность.
- Ботанико-географические закономерности флоры РБ. Биоразнообразие флоры РБ
Зоология
- Плоские черви. Тип Круглые черви. Тип Кольчатые черви. Особенности строения.
- Класс Ракообразные. Класс Паукообразные. Класс Насекомые. Особенности строения, размножения и развития.
- Особенности строения Хрящевых и Костных рыб.
- Птицы. Особенности строения, размножения и развития.
- Класс Млекопитающие. Особенности строения, размножения и развития
Ботаника
- Классификация и строение растительных тканей.
- Появление органов растений в ходе эволюции.
- Корень и корневая система.
- Побег и система побегов. Лист.
- Размножение растений.
- Цветок. Соцветие.
- Развитие плодов и семян. Способы распространения плодов и семян.
Демоверсия экзаменационного варианта профиль
«Геномика и биоинформатика»
- В репликации структурных генов белков участвует
- Pol I
- Pol II
- Pol III
- Процесс вырезания интронов и образования иРНК
- трансляция
- транскрипция
- процессинг
- посттрансляционные процессы
- К диспергированными повторяющимися последовательностями ДНК относятся
- SINE (short interspersed nuclear elements)
- LINE (long interspersed nuclear elements)
- LTR (long terminal repeats)
- Все варианты ошибочны
- Тип аллельного взаимодействия при котором доминантный аллель в гетерозиготном состоянии не полностью подавляет, действие рецессивного аллеля называется
- Неполное доминирование
- Сверхдоминирование
- Кодоминирование
- Доминирование, связанное с полом
- Какие рецепторы связывают серотонин?
- GABA-рецепторы
- 5-HT рецепторы
- NMDA-рецепторы
- AMPA-рецепторы
- В основе болезней импринтинга лежит:
- Различие в экспрессии отцовских и материнских копий генов
- Случайная инактивация одной из Х-хромосом
- Митохондриальное наследование
- Унипарентная диплоидия
- Укажите молекулярные подходы для выявления связи геномных данных с развитием фенотипа, не имеющие в своей основе молекулярную гипотезу
- Близнецовый подход
- Анализ ассоциаций с геном-кандидатом
- Полногеномный анализ ассоциаций
- Секвенирование следующего поколение
- Какая последовательность используется в исследовании филогенетики бактерий и архей и их определения в образцах?
- 16S рибосомная РНК
- пре-мРНК
- микро РНК
- поли(А)-хвост
- Какое вещество прекращает рост цепи ДНК при секвенировании методом «терминаторов»?
- Дезоксинуклеотидфосфат
- Диметисульфат
- Дидезоксинуклеотидфосфат
- АТР-сульфурилаза
- К группе А по Денверской классификации относятся хромосомы человека:
- большие субметацентрические
- малые метацентрические
- большие метацентрические
- малые акроцентрические
- Группа генов, контролирующих формирование терминальных структур у дрозофилы:
- Акрона;
- Акрона и Тельсона;
- Тельсона;
- неверно все.
- При гемофилии «А» наиболее часто встречается:
- экзонная делеция гена F8
- нонсенс-мутация в гене F8
- инверсия интрона 22 гена F8
- инверсия интрона 1 в гене F8
ДЕМОВЕРСИЯ ЭКЗАМЕНАЦИОННОГО ВАРИАНТА ПРОФИЛЬ «МЕДИКО-БИОЛОГИЧЕСКИЕ НАУКИ»
- Дифферон составляют клетки
- только стволовые
- стволовые и дифференцирующиеся
- только дифференцированные
- стволовые, дифференцирующиеся, зрелые
- Какие перечисленные гистоморфологические признаки не характерны для эпителиальных тканей?
- пограничное положение
- пласт клеток
- полярная дифференцировка
- содержат большое количество межклеточного вещества
- Какой тип секреции называется голокриновым?
- секрет выделяется без разрушения гландулоцитов
- секрет выделяется с полным разрушением гландулоцитов
- секрет выделяется с разрушением микроворсинок гландулоцитов
- секрет выделяется с разрушением верхушек гландулоцитов
- Что в пищеварительном тракте вызывает набухание белков?
- желчь;
- кишечный сок;
- соляная кислота;
- бикарбонаты.
- Нормальным количеством гемоглобина в крови взрослых людей в покое является:
- 140,0 г/л;
- 160,0 г/л;
- у мужчин 120-140 г/л, у женщин 130-160 г/л;
- у мужчин 130-160 г/л, у женщин 120-140 г/л.
- За счет чего происходит диффузия газов при газообмене в легких:
- вследствие разности общего давления газов в альвеолярной смеси и их общего напряжения в крови;
- вследствие того, что парциальное давление газов в альвеолярной смеси различно;
- вследствие разности парциального давления газов в альвеолярной смеси и их напряжения в крови легочных капилляров.
- Доля коры больших полушарий, содержащая центральный отдел зрительного анализатора:
- затылочная;
- височная;
- теменная;
- лобная.
- При возбуждении предсердий на ЭКГ образуется:
- Зубец Р;
- Комплекс QRS;
- Зубец Т.
- Выберите правильное определение лабильности:
- максимальное количество импульсов, которое ткань может провести без нарушения ритма их следования;
- минимальная сила раздражителя, необходимая, чтобы вызвать возбуждение;
- минимальное время, в течение которого должен действовать раздражитель, по силе равный порогу, чтобы вызвать ответную реакцию.
- Дыхательный центр находится:
- Продолговатом мозге
- Промежуточном мозге
- Среднем мозге
- В коре больших полушарий
ДЕМОВЕРСИЯ ЭКЗАМЕНАЦИОННОГО ВАРИАНТА ПРОФИЛЬ «БИОЭКОЛОГИЯ И ИННОВАЦИОННЫЕ МЕТОДЫ В СЕЛЕКЦИИ И РАСТЕНИЕВОДСТВЕ»
- Фермент, участвующий в азотфиксации
A. протеаза
B. нитрогеназа
C. нитратредуктаза
D. пероксидаза
- Главные признаки хордовых животных:
- хорда, центральная нервная система в виде трубки, глотка с жаберными отверстиями, двусторонняя симметрия
- хорда, ЦНС в виде трубки, глотка с жаберными отверстиями*
- хорда, ЦНС в виде трубки, глотка с жаберными отверстиями, вторичный рот
- хорда, двусторонняя симметрия, вторичный рот
- Укажите неверный ответ. Целлюлозоразрушающие микроорганизмы
A. разлагают целлюлозу за счет в основном внутриклеточных ферментов
B. могут быть как грамположительными, так и грамотрицательными, спорообразующими и неспоровыми бактериями
C. представлены родами Cytophaga, Cellvibrio, Cellfacicula
D. в кислых почвах представлены главным образом, грибами
- Для почвенной среды обитания характерны
A. стратификация, термоклин и хемоклин, обилие барофильных и психрофильных форм микроорганизмов
B. низкое биоразнообразие микроорганизмов, временный характер пребывания, в основном для покоящихся форм
C. многофазность и «очаговость» условий и высокое биоразнообразие микроорганизмов
D. постоянство рН среды, постоянная температура, влажность, отсутсвие конкуренции
- Семя состоит из:
A. семенной кожуры, семенной оболочки и зародыша
B. семенной кожуры, зародыша, семядолей и перисперма
C. семенной кожуры, семенной оболочки, зародыша и запасающей ткани
D. семенной оболочки, зародыша и семядолей
- Разработал метод чистых культур
A. Кох
B. Левенгук
C. Мечников
D. Пастер
- В каком периоде у растений формируются семена?
A. в прегенеративном
B. в постгенеративном
C. в эмбриональном
D. в генеративном
- Только прокариоты способны к
A. азотфиксации
B. фотосинтезу
C. разложению сложных органических веществ
D. выдерживать низкие температуры
- Автохтонная микрофлора – это
A. бактерии, типичные для конкретной экосистемы, не получающие длительное время свежих органических веществ
B. бактерии, развивающиеся на легкодоступном привнесенном субстрате и быстро исчезающие из экосистемы при его исчерпании
C. сообщество микроорганизмов – фотоавтотрофов
D. паразитические формы микроорганизмов
- Что такое особь?
A. особь вегетативного происхождения
B. живой организм, образующийся в результате размножения полового или размножения вегетативного
C. особь семенного происхождения
D. зачаток растения, естественно отделяющийся от материнской особи и служащий для размножения и расселения
- Что такое ягель?
- мох
- плаун
- лишайник
- макроскопическая водоросль
- папоротник
Демоверсия экзаменационного варианта профиль
«фундаментальная и прикладная биология»
1. Данная формула принадлежит:
- аминокислоте
- углеводу
- липиду
- нуклеотиду
2. Сколько молекул кислорода необходимо для полного окисления 5-ти молекул глюкозы?
3. Сколько молекул воды образуется при полном окислении 3 -х молекул глюкозы?
4.В репликации структурных генов белков участвует
- Pol I
- Pol II
- Pol III
- Процесс вырезания интронов и образования иРНК
- трансляция
- транскрипция
- процессинг
- посттрансляционные процессы
- К диспергированными повторяющимися последовательностями ДНК относятся
- SINE (short interspersed nuclear elements)
- LINE (long interspersed nuclear elements)
- LTR (long terminal repeats)
- Все варианты ошибочны
- Тип аллельного взаимодействия при котором доминантный аллель в гетерозиготном состоянии не полностью подавляет, действие рецессивного аллеля называется
- Неполное доминирование
- Сверхдоминирование
- Кодоминирование
- Доминирование, связанное с полом
- Дифферон составляют клетки
- только стволовые
- стволовые и дифференцирующиеся
- только дифференцированные
- стволовые, дифференцирующиеся, зрелые
- Какие перечисленные гистоморфологические признаки не характерны для эпителиальных тканей?
- пограничное положение
- пласт клеток
- полярная дифференцировка
- содержат большое количество межклеточного вещества
- Какой тип секреции называется голокриновым?
- секрет выделяется без разрушения гландулоцитов
- секрет выделяется с полным разрушением гландулоцитов
- секрет выделяется с разрушением микроворсинок гландулоцитов
- секрет выделяется с разрушением верхушек гландулоцитов
- Что в пищеварительном тракте вызывает набухание белков?
- желчь;
- кишечный сок;
- соляная кислота;
- бикарбонаты.
- Нормальным количеством гемоглобина в крови взрослых людей в покое является:
- 140,0 г/л;
- 160,0 г/л;
- у мужчин 120-140 г/л, у женщин 130-160 г/л;
- у мужчин 130-160 г/л, у женщин 120-140 г/л.
- При возбуждении предсердий на ЭКГ образуется:
- Зубец Р;
- Комплекс QRS;
- Зубец Т.
- Фермент, участвующий в азотфиксации
A. протеаза
B. нитрогеназа
C. нитратредуктаза
D. пероксидаза
СПИСОК ЛИТЕРАТУРЫ
- Жимулев, И.Ф. Общая и молекулярная генетика [Электронный ресурс] / Жимулев И. Ф. — Новосибирск: Сибирское университетское издательство, 2007 .— 480с.
- Инге-Вечтомов С.Г. Генетика с основами селекции: учебник для студентов высших учебных заведений. – 2-е издание, перераб. и доп. – СПб.: Изд-во Н-Л, 2010 с.
- Иванов В.И., Барышникова Н.В., Билеева Д.С., Дадали Е.Л., Константинова Л.М., Кузенова О.В., Поляков А.В. Генетика. Учебник для вузов/ Под ред. Академика РАМН Иванова В.И. – М.: ИКЦ «Академкнига», 2007. – 638 с.
- Равич-Щербо, И.В. Психогенетика: учебник / И.В. Равич-Щербо, Т.М. Марютина, Е.Л. Григоренко. - 2-е изд., испр. и доп. - Москва : Аспект Пресс, 2008. - 448 с. : ил. 32 - Библиогр. в кн. - ISBN 978-5-7567-0417-4 ; То же [Электронный ресурс]. - URL: http://biblioclub.ru/index.php?page=book&id=104547
- Медицинская биология и общая генетика [Электронный ресурс] : Учебник / Р. Г. Заяц [и др.] .— Минск : Высшая школа, 2012 .— 496 с
- Мустафин Р.Н., Нургалиева А.Х., Прокофьева Д.С., Хуснутдинова Э.К. Анализ генома человека: учебное пособие – Уфа: РИЦ БашГУ, 2016 – 80 с.
- Молекулярно-генетические методы изучения наследственных болезней человека [Электронный ресурс]: учеб.пособие / А.Х. Нургалиева [и др.]; Башкирский государственный университет. — Уфа: РИЦ БашГУ, 2013.
- Физиология человека и животных / Под ред. Даринского Ю.А., Апчела В.Я.. - М.: Academia, 2012. - 432 c.
- Апчел, В.Я. Физиология человека и животных: Учебник для студ. учреждений высш. пед. проф. образования / В.Я. Апчел, Ю.А. Даринский, В.Н. Голубев.. - М.: ИЦ Академия, 2013. - 448 c.
- Блазис, К. Физиология сердечно-сосудистой системы и лекарственная регуляция ее функций у животных: Учебное пособие / К. Блазис. - СПб.: Лань, 2013. - 160 c.
- Богданов, А.В. Патологическая физиология и патологическая анатомия животных: Учебник / А.В. Богданов, Ю.В. Голубенко. - СПб.: Лань, 2014. - 416 c.
- Богомолова, Е.С. Анатомия и физиология животных: Учебник / Е.С. Богомолова, М.Я. Брынь, В.А. Коугия и др. - СПб.: Лань, 2015. - 368 c.
- Болотюк, В.А. Сравнительная физиология животных: Учебник / В.А. Болотюк, Л.А. Болотюк, Ю.Г. Галич и др. - СПб.: Лань, 2015. - 416 c.
- Бутузов, В.Ф. Физиология кормления животных. Теория питания, прием корма, особенности пищеварения / В.Ф. Бутузов, Н.Ч. Крутицкая, А.А. Шишкин. - СПб.: Лань, 2004. - 256 c.
- Васильева, А.Б. Морфология и физиология животных: Учебное пособие / А.Б. Васильева, Н.А. Тихонов. - СПб.: Лань, 2005. - 416 c.
- Васильева, В.И. Морфология и физиология животных: Учебное пособие / В.И. Васильева, О.Ф. Стоянова и др. - СПб.: Лань КПТ, 2016. - 416 c.
- Герунова, Л.К. Физиология сердечно-сосудистой системы и лекарственная регуляция ее функций у животных: Учебное пособие / Л.К. Герунова, В.И. Максимов. - СПб.: Лань, 2013. - 160 c.
- Герунова, Л.К. Физиология сердечно-сосудистой системы и лекарственная регуляция ее функций у животных: Учебное пособие / Л.К. Герунова. - СПб.: Лань, 2013. - 160 c.
- Даринский, Ю.А. Физиология человека и животных: Учебник / Ю.А. Даринский. - М.: Академия, 2008. - 352 c.
- Дюльгер, Г.П. Физиология и биотехника размножения животных. Курс лекций: Учебное пособие / Г.П. Дюльгер. - СПб.: Лань, 2018. - 236 c.
- Иванов, А.А. Сравнительная физиология животных: Учебник. / А.А. Иванов, О.А. Войнова, Д.А. Ксенофонтов и др. - СПб.: Лань, 2010. - 416 c.
- Иванов, А.А. Сравнительная физиология животных: Учебник / А.А. Иванов, О.А. Войнова, Д.А. Ксенофонтов и др. - СПб.: Лань, 2015. - 416 c.
- Ишбирдин А.Р., Ишмуратова М.М. Адаптивный морфогенез и экологоценотические стратегии выживания травянистых растений // Методы популяционной биологии / Материалы VII Всероссийского популяционного семинара (Сыктывкар, 16-21 февраля 2004 г.). - Сыктывкар, 2004. Ч.2. - С. 113-120.
- Ишмуратова М.М. Родиола иремельская на Южном Урале. М.: Наука, 2006 – 252 с. /отв. ред. А.Р. Ишбирдин/.
- Ишмуратова М.М., Набиуллин М.И., Суюндуков И.В., Ишбирдин А.Р. Орхидеи Башкирского заповедника и сопредельных территорий. Уфа: Гилем, 2010. 150 с.
- Максимов, В.И. Анатомия и физиология домашних животных: Учебник / В.И. Максимов, Н.А. Слесаренко, С.Б.идр Селезнев. - М.: Инфра-М, 2012. - 480 c.
- Максимов, В.И. Анатомия и физиология домашних животных: Учебник / В.И. Максимов, Н.А. Слесаренко, С.Б.идр Селезнев. - М.: Инфра-М, 2017. - 96 c.
- Скопичев, В.Г. Морфология и физиология животных / В.Г. Скопичев. - СПб.: Лань, 2005. - 416 c.
- Скопичев, В.Г. Частная физиология: Ч. 2 Физиология продуктивных животных / В.Г. Скопичев, В.И. Яковлев. - М.: КолосС, 2008. - 555 c.
- Смолин, С.Г. Физиология и этология животных: Учебное пособие / С.Г. Смолин. - СПб.: Лань, 2018. - 628 c.
- Андреев Н.Г., Андреев Л.Н. Основы агрономии и ботаники: учеб. пособ. для с/х вузов. – М.: Колос, 2008. – 487 с.
- Андреева И.И., Родман Л.С. Ботаника: учеб для с/вузов. – М.: Колос, 2009. – 528 с.
- Викторов Д.П. Краткий словарь ботанических терминов.- М.-Л.: Наука, 2007. – 177 с.
- Еленевский А.Г., Соловьева М.П., Тихомиров В.Н. Ботаника. Систематика высших или наземных растений. – М.: Академия, 2009. - 432 с.
- Жуковский П.М. Ботаника. – М.: Колос, 2008. – 623 с.
- Лотова Л.И. Морфология и анатомия высших растений. - М.: КомКнига, 2007. - 510с.
- Тахтаджян А. Л. Система и филогения цветковых растений - Ботанический институт имени В. Л. Комарова. — М.—Л.: Наука, 1966. — 611 с.
- Тихомиров Ф.К. Ботаника. – М.: Высш. шк., 2008. – 439 с.
- Тутаюк В.Х. Анатомия и морфология растений. – М.: Высш. шк., 2007. – 317 с.
- Анатомия человека. Т. 1 [Текст] : учебник в 2-х томах / М. Р. Сапин [и др.]; ред. М. Р. Сапин. - М. : ГЭОТАР-Медиа, 2012. - 528 с.
- Анатомия человека. Т. 2 [Текст] : учебник в 2-х томах / М. Р. Сапин [и др.] ред. М. Р. Сапин. - М. : ГЭОТАР-Медиа, 2012. - 456 с.
- Гайворонский, И. В. Нормальная анатомия человека. Т. 1 [Текст]: учебник для мед. вузов / И. В. Гайворонский. - 6-е изд., испр. и доп. - СанктПетербург : СпецЛит., 2011. - 560 с.
- Пивченко П.Г. Анатомия опорно-двигательного аппарата: учебное пособие.- Минск: Новое знание, 2017 - 271 с.: ил.
- Привес, М. Г. Анатомия человека [Текст]: учебник / М. Г. Привес, Н. К. Лысенков, В. И. Бушкович. - 12-е изд., перераб., и доп. - СПб. : Издательский дом СПбМАПО, 2011. - 720 с.
- Синельников Р.Д. Атлас анатомии человека: учебное пособие. В. 4 т. Т.1.- Москва: РИА «Новая волна»: Издатель Умеренков, 2015- 348 с.: ил.
- Синельников Р.Д. Атлас анатомии человека: учебное пособие. В. 4 т. Т.2.- Москва: РИА «Новая волна»: Издатель Умеренков, 2015.- 248 с.: ил.
- Синельников Р.Д. Атлас анатомии человека: учебное пособие. В. 4 т. Т.3.- Москва: РИА «Новая волна»: Издатель Умеренков, 2015.- 216 с.: ил.
- Синельников Р.Д. Атлас анатомии человека: учебное пособие.В. 4 т. Т.4.- Москва: РИА «Новая волна»: Издатель Умеренков, 2015.- 312 с.: ил
- Кузнецов С.Л., Мушкамбаров Н.Н. Гистология, цитология и эмбриология : учебник / С. Л. Кузнецов, Н. Н. Мушкамбаров. - 3-е изд., испр. и доп. М.: ООО «Медицинское информационное агентство», 2016.
- Гистология, цитология и эмбриология: атлас / В. Л. Быков, С. И. Юшканцева. - М.: ГЭОТАР-Медиа.
- Атлас по гистологии, цитологии и эмбриологии / С. Л. Кузнецов, Н. Н. Мушкамбаров, В. Л. Горячкина. - М. : МИА.
- Гистология, эмбриология, цитология : учебник / ред.: Ю. И. Афанасьев, Н. А. Юрина. - 7е изд., перераб. и доп. - Москва : ГЭОТАР-Медиа.
- Швырев, А.А. Анатомия и физиология человека с основами общей патологии / А.А. Швырев. - М.: Феникс, 2013. - 411 c.
Швырев, А.А. Анатомия и физиология человека с основами общей патологии: Учебное пособие / А.А. Швырев; Под общ. ред. Р.Ф. Морозова. - Рн/Д: Феникс, 2013. - 411 c. - Быков, В.Л. Гистология и эмбриональное развитие органов полости рта человека [Электронный ресурс]: учеб. пособие / В.Л. Быков. - М.: ГЭОТАР-Медиа, 2014. - 624 с. - Режим доступа: http://www.studentlibrary.ru/book/ISBN9785970430118.html
- Быков, В.Л. Гистология, цитология и эмбриология : атлас : учеб. пособие / В.Л. Быков, С.И. Юшканцева. - М. : ГЭОТАР-Медиа, 2018.- 296 с.
- Быков, В.Л. Гистология, цитология и эмбриология. Атлас [Электронный ресурс] : учеб. пособие /В.Л. Быков, С.И. Юшканцева. - М. : ГЭОТАР-Медиа, 2015. - Режим доступа: http://www.studentlibrary.ru/book/ISBN9785970432013.html
- Гемонов, В. В. Гистология и эмбриология органов полости рта и зубов [Электронный ресурс] : учеб. пособие / В. В. Гемонов, Э. Н. Лаврова, Л. И. Фалин - М. : ГЭОТАР-Медиа, 2016. – Режим доступа: http://www.studentlibrary.ru/book/ISBN9785970439319.html
- Гистология, эмбриология, цитология [Текст]: учеб. / под ред. Ю. И. Афанасьева, Н. А. Юриной. – М.: ГЭОТАР-Медиа, 2012. – 800 с.
- Гистология, эмбриология, цитология [Электронный ресурс]: учеб. / Ю. И. Афанасьев, Н. А. Юрина, Е. Ф. Котовский и др.; под ред. Ю. И. Афанасьева, Н. А. Юриной. - 6-е изд., перераб. и доп. - М.: ГЭОТАР-Медиа, 2016. - 800с.: ил. – Режим доступа: http://www.studentlibrary.ru/book/ISBN9785970436639.html
- Гистология, эмбриология, цитология [Электронный ресурс]: учеб. / Н. В. Бойчук, Р. Р. Исламов, Э. Г. Улумбеков, Ю. А. Челышев; под ред. Э. Г. Улумбекова, Ю. А. Челышева - 4-е изд. перераб. и доп. - М.: ГЭОТАР-Медиа, 2016. - 944 с. – Режим доступа: http://www.studentlibrary.ru/book/ISBN9785970437827.html
- Гистология, эмбриология, цитология [Электронный ресурс]: учеб. для вузов / под ред. Э.Г. Улумбекова, Ю.А. Челышева - 3-е изд. - М.: ГЭОТАР-Медиа, 2012. - 480 с. - Режим доступа: http://www.studentlibrary.ru/book/ISBN9785970421307.html
- Гистология. Атлас для практических занятий цитология [Электронный ресурс] : учеб. пособие / Н.В. Бойчук, Р.Р. Исламов, С.Л. Кузнецов, Ю.А. Челышев. - М. : ГЭОТАР-Медиа, 2010. - 160 с.- Режим доступа: http://www.studentlibrary.ru/book/ISBN9785970419199.html
- Гистология. Схемы, таблицы и ситуационные задачи по частной гистологии человека [Электронный ресурс] : учеб. пособие / С.Ю. Виноградов, С.В. Диндяев, В.В. Криштоп [и др.]. - М.: ГЭОТАР-Медиа, 2012. - 184 с. - Режим доступа: http://www.studentlibrary.ru/book/ISBN9785970423868.html.
- Кузнецов, С.Л. Гистология органов полости рта [Электронный ресурс] : учеб. пособие для студентов учреждений высш. проф. образования, обучающихся по специальности 060201.65 "Стоматология" по дисциплине "Гистология, эмбриология, цитология - гистология полости рта" / С. Л. Кузнецов, В. И. Торбек, В. Г. Деревянко. - М. : ГЭОТАР-Медиа, 2014. – 136 с. – Режим доступа: http://www.studentlibrary.ru/book/ISBN9785970429709.html
- Физиология человека и животных / Под ред. Даринского Ю.А., Апчела В.Я.. - М.: Academia, 2012. - 432 c.
- Апчел, В.Я. Физиология человека и животных: Учебник для студ. учреждений высш. пед. проф. образования / В.Я. Апчел, Ю.А. Даринский, В.Н. Голубев.. - М.: ИЦ Академия, 2013. - 448 c.
- Балашова, В.Ф. Физиология человека: тестовый контроль знаний: Методическое пособие / В.Ф. Балашова. - М.: Физ. культура, 2007. - 128 c.
- Билич, Г.Л. Атлас: анатомия и физиология человека / Г.Л. Билич, Е.Ю. Зигалова. - М.: Эксмо, 2016. - 320 c.
- Билич, Г.Л. Атлас. Анатомия и физиология человека: полное практическое пособие / Г.Л. Билич, Е.Ю. Зигалова. - М.: Эксмо, 2017. - 80 c.
- Брин, В.Б. Физиология человека в схемах и таблицах: Учебное пособие / В.Б. Брин. - СПб.: Лань, 2018. - 608 c.
- Брин, В.Б. Физиология человека в схемах и таблицах: Учебное пособие / В.Б. Брин. - СПб.: Лань, 2016. - 608 c.
- Брусникина, О.А. Анатомия и физиология человека. Рабочая тетрадь: Учебное пособие / О.А. Брусникина. - СПб.: Лань, 2018. - 144 c.
- Гайворонский, И.В. Анатомия и физиология человека: Учебник для студентов учреждений среднего профессионального образования / И.В. Гайворонский, Г.И. Ничипорук, А.И. Гайворонский. - М.: ИЦ Академия, 2013. - 496 c.
- Гайворонский, И.В. Анатомия и физиология человека: Учебник / И.В. Гайворонский. - М.: Academia, 2018. - 128 c.
- Гайворонский, И.В. Анатомия и физиология человека: Учебник / И.В. Гайворонский. - М.: Академия, 2019. - 208 c.
- Глухов, М., М Физиология человека в схемах и таблицах: Учебное пособие / М. М Глухов, О. А. Козлитин, В. А. Шапошников и др. - СПб.: Лань, 2016. - 608 c.
- Глушковский, А.П. Рабочая тетрадь по учебной дисциплине „Анатомия и физиология человека“: Учебное пособие / А.П. Глушковский. - СПб.: Лань, 2016. - 100 c.
- Гудкова, Л.К. Популяционная физиология человека: Антропологические аспекты / Л.К. Гудкова. - М.: ЛКИ, 2008. - 316 c.
- Даринский, Ю.А. Физиология человека и животных: Учебник / Ю.А. Даринский. - М.: Академия, 2008. - 352 c.
- Занько, Н.Г. Физиология человека: Учебное пособие / Н.Г. Занько. - М.: Academia, 2018. - 416 c.
- Занько, Н.Г. Физиология человека: Учебное пособие / Н.Г. Занько. - М.: Академия, 2018. - 304 c.
- Капилевич, Л.В. Физиология человека. спорт.: Учебное пособие для прикладного бакалавриата / Л.В. Капилевич. - Люберцы: Юрайт, 2016. - 141 c.
- Косицкий, Г.И. Физиология человека: Учебник для вузов / Г.И. Косицкий и др. - М.: Альянс, 2015. - 544 c.
- Кэпит, У. Физиология человека: атлас-раскраска / У. Кэпит, Р. Мейси, Э. Мейсами. - М.: Эксмо, 2018. - 112 c.
- Любимова, З.В. Возрастная анатомия и физиология в 2 т. т.1 организм человека, его регуляторные и интегративные системы: Учебник для СПО / З.В. Любимова, А.А. Никитина. - Люберцы: Юрайт, 2016. - 447 c.
- Любимова, З.В. Возрастная анатомия и физиология в 2 т. Т.1 Организм человека, его регуляторные и интегративные системы: Учебник / З.В. Любимова, А.А. Никитина. - Люберцы: Юрайт, 2016. - 447 c.
- Нижегородцева, О.А. Анатомия и физиология человека. Дневник практических занятий: Учебное пособие / О.А. Нижегородцева. - СПб.: Лань, 2019. - 220 c.
- Нижегородцева, О.А. Анатомия и физиология человека. Рабочая тетрадь для внеаудиторной работы: Учебное пособие / О.А. Нижегородцева. - СПб.: Лань, 2019. - 196 c.
- Сай, Ю.В. Анатомия и физиология человека. Словарь терминов и понятий: Учебное пособие / Ю.В. Сай, Н.М. Кузнецова. - СПб.: Лань, 2019. - 116 c.
- . Сай, Ю.В. Рабочая тетрадь по учебной дисциплине "Анатомия и физиология человека": Учебное пособие / Ю.В. Сай, Н.М. Кузнецова. - СПб.: Лань, 2016. - 100 c.
- Сай, Ю.В. Рабочая тетрадь по учебной дисциплине "Анатомия и физиология человека": Учебное пособие / Ю.В. Сай, Н.М. Кузнецова. - СПб.: Лань, 2018. - 100 c.
- . Сапин, М.Р. Анатомия и физиология человека (с возрастными особенностями детского организма). Учебник / М.Р. Сапин. - М.: Academia, 2018. - 704 c.
- . Сапин, М.Р. Анатомия и физиология человека (с возрастными особенностями детского организма): Учебник для студ. образоват. учреждений сред. проф. образования / М.Р. Сапин, В.И. Сивоглазов. - М.: ИЦ Академия, 2009. - 384 c.
- . Сапин, М.Р. Анатомия и физиология человека (с возрастными особенностями детского организма): Учебник / М.Р. Сапин. - М.: Академия, 2014. - 384 c.
- . Солодков, А.С. Физиология человека. Общая. Спортивная. Возрастная: Учебник / А.С. Солодков, Е.Б. Сологуб. - М.: Советский спорт, 2012. - 620 c.
- Солодков, А.С. Физиология человека. Общая. Спортивная. Возрастная: Учебник для высших учебных заведений физической культуры / А.С. Солодков, Е.Б. Сологуб.. - М.: Сов. спорт, 2012. - 620 c.
- Судаков, К.В. Физиология человека: Атлас динамических схем / К.В. Судаков, Ю.Е. Вагин, В.В. Андрианов. - М.: ГЭОТАР-Медиа, 2009. - 416 c.
- . Федюкович, Н.И. Анатомия и физиология человека: Учебник / Н.И. Федюкович. - М.: Феникс, 2012. - 510 c.
- Федюкович, Н.И. Анатомия и физиология человека. Учебник / Н.И. Федюкович. - Рн/Д: Феникс, 2019. - 479 c.
- Федюкович, Н.И. Анатомия и физиология человека: учебник / Н.И. Федюкович. - РнД: Феникс, 2019. - 573 c.
- Федюкович, Н.И. Анатомия и физиология человека: Учебник / Н.И. Федюкович. - Рн/Д: Феникс, 2013. - 510 c.
- Чумаков, Б.Н. Физиология человека для инженеров: Учебник / Б.Н. Чумаков. - М.: ПО России, 2006. - 256 c.
- Швырев, А.А. Анатомия и физиология человека с основами общей патологии / А.А. Швырев. - Рн/Д: Феникс, 2016. - 144 c.
- Швырев, А.А. Анатомия и физиология человека с основами общей патологии / А.А. Швырев. - М.: Феникс, 2012. - 411 c.
- Инге-Вечтомов С.Г. Генетика с основами селекции: учебник для студентов высших учебных заведений. – 2-е издание, перераб. и доп. – СПб.: Изд-во Н-Л, 2010. – 720с.: ил. – Библиотека БашГУ, абонемент №3, 48 экземпляров.
- Жимулев, И.Ф. Общая и молекулярная генетика [Электронный ресурс] / Жимулев И. Ф. — Новосибирск: Сибирское университетское издательство, 2007 .— 480с. URL:http://www.biblioclub.ru/book/57409/
- Иванов В.И.Ю, Барышникова Н.В., Билеева Д.С., Дадали Е.Л., Константинова Л.М., Кузенова О.В., Поляков А.В. Генетика. Учебник для вузов/ Под ред. Академика РАМН Иванова В.И. – М.: ИКЦ «Академкнига», 2007. – 638 с.: ил. – Библиотека БашГУ, абонемент №3, 48 экземпляров.
- Медицинская биология и общая генетика [Электронный ресурс] : Учебник / Р. Г. Заяц [и др.] .— Минск : Высшая школа, 2012 .— 496 с. URL:http://biblioclub.ru/index.php?page=book&id=144379&sr=1
- Курчанов, Н.А. Генетика человека с основами общей генетики [Электронный ресурс] / Н.А. Курчанов .— 2-е изд., перераб. и доп. — Санкт-Петербург : СпецЛит, 2009 .— 192 с. URL:http://biblioclub.ru/index.php?page=book&id=105726
- Генетика и селекция [Электронный ресурс] : методические указания / Башкирский государственный университет; сост. Р.Р. Валиев .— Уфа : РИЦ БашГУ, 2009 URL:https://elib.bashedu.ru/dl/corp/Valiev_coct_Genetika i selekciya_Met.uk_2009.pdf
- Основы генетики человека [Электронный ресурс] : учеб. пособие / БашГУ; Д. Д. Надыршина [и др.] .— Уфа : РИЦ БашГУ, 2014 URL:https://elib.bashedu.ru/dl/read/NadyrshinaOsnovyGenetiki.pdf
- Генетика и селекция [Электронный ресурс]: методические указания / Башкирский государственный университет; сост. Р.Р. Валиев. — Уфа: РИЦ БашГУ, 2009. — Электрон. версия печ. публикации. —<URL:https://elib.bashedu.ru/dl/corp/Valiev_coct_Genetika i selekciya_Met.uk_2009.pdf>
- Валиев, Р. Р. Медико-генетический словарь понятий и терминов [Электронный ресурс] / Р. Р. Валиев, Р. Р. Валиев, Э. К. Хуснутдинова; БашГУ. — Уфа: РИЦ БашГУ, 2011. — Электрон. версия печ. публикации. —<URL:https://elib.bashedu.ru/dl/read/ValievHysnytdinovaMedeko-Genet.Slovar.Ponytii i Terminov.2011.pdf>
- Авдеева, Л.В. Биохимия: Учебник / Л.В. Авдеева, Т.Л. Алейникова, Л.Е. Андрианова; Под ред. Е.С. Северин. - М.: ГЭОТАР-МЕД, 2015. - 768 c. 2. Антонов В. Ф. Биофизика: учеб. / В. Ф. Антонов, Е. К. Козлова, А. М. Черныш. – М.: ВЛАДОС, 2006. – 289 с.
- Рубин А.Б. Биофизика. М.: Книжный дом «Университет» .-1-3 том.-2004.
- Белясова Н. А. Биохимия и молекулярная биология.- Минск: Книжный дом, 2004 . - 415 с.
- Гусев М.В., Минеева Л.А.. Микробиология. М.: Изд-во МГУ. 2005. 464 с. 4. Нетрусов А.И., Егорова М.А., Захарчук Л.М. и др. Практикум по микробиологии. М.: Академия. 608 с.
- Дзержинский Ф.Я. Зоология позвоночных: учебник / Ф. Я. Дзержинский, Б. Д. Васильев, В. В. Малахов.— Москва: Академия, 2013.— 463 с. — (Высшее профессиональное образование) (Бакалавриат).— Библиогр.: с. 443.
- Догель В.А. Зоология беспозвоночных. Изд. 6-е. М.: Высшая школа, 2011. 560 с. 3. Константинов В.М., Наумов С.П., Шаталова С.П. Зоология позвоночных. 5-е изд. М.: Издательский центр «Академия», 2007. – 464 с.
- Коваленко, Л.В. Биохимические основы химии биологически активных веществ: учебное пособие. — М.: "Лаборатория знаний", 2012. — 228 с.
- Коничев А.С., Севастьянова Г.А. Молекулярная биология. - М.: Издательский центр «Академия», 2008. (библиотека СФУ – 71шт.).
- Миркин Б. М., Наумова Л. Г. Краткий курс общей экологии. Часть I: Экология видов и популяций: Учебник. – Уфа: Изд-во БГПУ, 2011. – 206 с.
- Миркин Б. М., Наумова Л. Г. Краткий курс общей экологии. Часть II: Экология экосистем и биосферы: Учебник. – Уфа: Изд-во БГПУ, 2011. – 180 с.
- Миркин Б.М., Наумова Л.Г. Основы общей экологии. М.: Университетская книга, 2005. 240 с.
- Мушкамбаров Н.Н., Кузнецов С.Л. Молекулярная биология. Москва: Медицинское нформационное агентство, 2007 . - 535 с.
- Наумова Л.Г., Миркин Б.М., Баянов А.В. Основы общей экологии: Пособиеэкстерн для бакалавров по специальностям «Экология» и «Биология» Уфа: Вагант, 2012. 52 с.
- Нетрусов А.И., И.Б. Котова. Микробиология. М.: Академия. 2006. 352 с.
- Нормальная физиология. В. 3 т.: учебное пособие для студ. высш. уч. заведений / [В.Н.Яковлев, И.Э. Есауленко, А.В.Сергиенко и др.]; под ред. В.Н.Яковлева. Т.1. Общая физиология. М.: Издательский центр – «Академия», 2006. – 240 с.
- Нормальная физиология. В. 3 т.: учебное пособие для студ. высш. уч. заведений / [В.Н.Яковлев, И.Э. Есауленко, А.В.Сергиенко и др.]; под ред. В.Н.Яковлева. Т.2.Частная физиология. М.: Издательский центр – «Академия», 2006. – 288 с.
- Нормальная физиология. В. 3 т.: учебное пособие для студ. высш. уч. заведений /
- [В.Н.Яковлев, И.Э. Есауленко, А.В.Сергиенко и др.]; под ред. В.Н.Яковлева. Т.3 Интегративная физиология. М.: Издательский центр – «Академия», 2006. – 224 с.
- Плакунов, В.К. Основы динамической биохимии: учеб. пособие/ Плакунов В. К. — М. : Логос, 2010 .— 216с.
- Рупперт Эдвард Э. Зоология беспозвоночных: функциональные и эволюционные аспекты: учебник: в 4 т.: пер. с англ. / Э. Э. Рупперт, Р. С. Фокс, Р. Д. Барис.— 7-е изд. — М.: Академия, 2008. Т. 1: Протисты и низшие многоклеточные .— 2008.— 496 с.: ил. Т. 2: Низшие целомические животные .— 2008 .— 448 с.: . 3.: Членистоногие .— 2008 .— 496 с.: Т. 4: Циклонейралии, щупальцевые и вторичноротые.— 2008 .— 352 с.
- Сазыкин Ю.О., Орехов С.Н., Чекалева И.И. Биотехнология. М.: Изд. центр «Академия», 2008. 256с.
- Современные проблемы биохимии: Методы исследований: учебное пособие / Е.В. Барковский, С.Б. Бокуть, А.Н. Бородинский и др.; под ред. А.А. Чиркин. - Минск: Вышэйшая школа, 2013. - 495 с. : ил., табл., схем. - ISBN 978-985- 06-2192-4.
- Современные проблемы биохимии: Методы исследований: учебное пособие / Е.В. Барковский, С.Б. Бокуть, А.Н. Бородинский и др.; под ред. А.А. Чиркин. - Минск: Вышэйшая школа, 2013. - 495 с.
- Таганович А. Д. Биологическая химия: учебник / А. Д. Таганович [и др.].— Минск : Вышэйшая школа, 2013 .— 672 с.
- Уилсон К. Принципы и методы биохимии и молекулярной биологии: / Уилсон К., Уолкер Дж. — М. : "Лаборатория знаний" (ранее "БИНОМ. Лаборатория знаний"), 2013. — 859 с.
- Уилсон К. Принципы и методы биохимии и молекулярной биологии: / Уилсон К., Уолкер Дж. — М.: "Лаборатория знаний" (ранее "БИНОМ. Лаборатория знаний"), 2013. — 859 с.
- Физиология растений. Под. ред. Ермакова И.П. М.: Академия, 2010. -640 с. 38. Физиология растений. Кузнецов В.В., Дмитриева Г.А. М.: Высш.шк.,2012.-742 с.
- Физиология растений. Медведев С.С. СПб.: Изд-во СПб ун-та, 2014. -336 с.
- Хелдт Г.-В. Биохимия растений; под ред. А.М. Носова, В.В. Чуба— М. : БИНОМ. Лаборатория знаний, 2011 .— 471с.
- Шамратова В.Г. Атлас по цитологии. Учебное пособие. Уфа. БашГУ.2011 биб
- Шаяхметов И. Ф. Экологическая биотехнология: учеб. пособие / И. Ф. Шаяхметов; М-во образования и науки РФ; БашГУ - Уфа: РИО БашГУ, 2004 - 168 с.
- Яблоков А.В., Юсуфов А.Г. Эволюционное учение: учебник для биол. специальностей вузов - М.: Высш. шк., 2004.
- Северцов А.С. Теория эволюции. – М.: 8 Изд-во Моск. ун-та, 2005.
- Кулуев Б.Р., Круглолва Н.Н., Зарипова А.А., Фархутдинов Р.Г. Основы биотехнологии растений. Учебное пособие, под редакцией Р.Г. Фархутдинова. Уфа, РИЦ БашГУ, 2017, 244 с.
- Биотехнология защиты окружающей среды. Учебное пособие/О.Н. Понаморева, А.Н. Решетилов, Т.А. Решетилова, А.Н. Шкидченко, И.А. Кошелева, Е.С. Иванова, И.В. Блохин. -Тула, изд-во ТулГУ, 2006. - 114 с
- Роль микроорганизмов в трансформации устойчивых органических поллютантов: Учебное пособие/Л.А. Головлева, М.П. Коломыцева, М.А. Бабошин, О.Н. Понаморева. -Тула: изд-во ТулГУ, 2008. - 100 с.
- Фролов, Ю. П. Биотехнология и биологическая нанотехнология : краткий курс : учебное пособие / Ю. П. Фролов ; Сам. ГУ, СамНЦ РАН .— Самара, 2010 .— 192 с.
Искусственный интеллект в биомедицинской практике
ПРОГРАММА
вступительного испытания
для поступающих в магистратуру по направлению подготовки
09.04.01 «Информатика и вычислительная техника»
программа (профиль)
«Применение искусственного интеллекта в физиологии и медицине»
ОБЩИЕ ПОЛОЖЕНИЯ
Вступительные испытания предназначены для определения практической и теоретической подготовленности поступающего в магистратуру и проводятся с целью определения соответствия знаний умений и навыков требованиям обучения магистратуры по направлению подготовки 09.04.01 «Информатика и вычислительная техника» (магистратура). Программа составлена в соответствии с требованиями федерального государственного образовательного стандарта высшего профессионального образования.
Вступительные испытания в магистратуру проводят экзаменационные комиссии, назначенные председателем приёмной комиссии УУНиТ.
ПРОЦЕДУРА ВСТУПИТЕЛЬНОГО ИСПЫТАНИЯ
Дата и время проведения вступительного испытания и консультации определяются расписанием вступительных испытаний, которое утверждается председателем приемной комиссии.
Перед вступительным испытанием для поступающих проводится консультация по содержанию программы испытания, критериям оценки, предъявляемым требованиям, правилам поведения на испытании.
Форма вступительного испытания (в соответствии Положением о вступительных испытаниях УУНИТ): тестирование.
Вступительные испытания в виде электронного тестирования проводятся в соответствии с программами вступительных испытаний, утверждаемых председателем предметной комиссии.
Вступительные испытания в форме тестирования включают вопросы как закрытого, так и открытого типа, а также задания в аудио- и видеоформатах.
Составление вариантов экзаменационных заданий в форме электронных тестов осуществляется ответственным секретарем приемной комиссии университета.
Из вариантов экзаменационных заданий формируются комплекты вопросов-тестов.
Компоновку комплектов вопросов-тестов ответственный секретарь, заместитель ответственного секретаря производят до вступительных испытаний.
Тест содержит 40 тестовых вопросов.
Результаты испытаний оцениваются по 100 бальной шкале.
Абитуриент, не согласный с оценкой, полученной на ВИ и (или) в связи с нарушением процедуры проведения ВИ имеет право подать апелляцию. Процедура подачи и рассмотрения апелляции регламентируется Положением об апелляционной комиссии УУНиТ.
КРИТЕРИИ ОЦЕНИВАНИЯ ОТВЕТА
Критериями оценки экзаменационного ответа, поступающего в магистратуру являются полнота, логичность, доказательность, прочность, осознанность знаний и теоретическая обоснованность суждений, самостоятельность в интерпретации информации, практическая направленность, уровень овладения профессиональными умениями менеджера и др. В случае тестирования является правильные ответы на тестовые задания.
При проверке количество первичных баллов переводится в итоговую 100 балльную шкалу через информационную платформу университета.
СОДЕРЖАНИЕ РАЗДЕЛОВ И ТЕМ ПРОГРАММЫ ВСТУПИТЕЛЬНОГО ИСПЫТАНИЯ
Технические средства в системе здравоохранения
- Техническое обеспечение лечебно-диагностического процесса
- Классификация медицинских электронных приборов, аппаратов, систем и комплексов
- Организация диагностических исследований и терапевтических воздействий в типовых ЛПУ
- Правовые аспекты в сфере оборота медицинских изделий
Методология изучения общественного здоровья и деятельности системы здравоохранения
- Методология изучения общественного здоровья и деятельности системы здравоохранения
- Разработка дизайна исследования
- Сбор информации и формирование баз данных, обработка, анализ и визуализация данных
- Выработка управленческих решений, внедрение их в практику и оценка эффективности
Методы обработки и анализа биомедицинских сигналов и изображений
- Определения, классификации и общие вопросы анализа биомедицинских данных
- Методы обработки и анализа биомедицинских данных
- Биомедицинская система организма
- Регистрация биомедицинских сигналов
- Биомедицинские изображения в рентгенологии, компьютерной томографии, магнитно-резонансной томографии и ультразвуковой диагностике
Демоверсия экзаменационного варианта
пробный тест
- Коаксиальный кабель представляет собой электрический кабель, состоящий из:
а) Прозрачного стекловолокна, по которому свет проходит на большие расстояния (до десятков километров) с незначительным ослаблением.
прозрачного стекловолокна, по которому свет проходит на небольшие расстояния (до десятков метров) с незначительным ослаблением.
б) Центрального медного провода и металлической оплетки (экрана), разделенных между собой слоем диэлектрика (внутренней изоляции) и помещенных в общую внешнюю оболочку.
в) Центрального медного провода и пластиковой оплетки (экрана), разделенных между собой слоем диэлектрика (внутренней изоляции) и помещенных в общую внешнюю оболочку.
- Технология ______ позволяет обеспечить скорость загрузки на абонентский терминал до 3 Гбит/с с задержкой передачи до 2 мс (выберите пропущенное слово):
а) LTE
б) GPRS
в) 5G
г) 4G
- Стек протоколов _____ является на настоящий момент наиболее распространенным протоколом сетевого и транспортного уровней (выберите пропущенное слово):
а) IP Config
б) Mac
в) IS O
г) TCP/IP
- Сопоставьте амплитудные и частотные характеристики переменных сигналов, снимаемых с поверхности кожи с их методикой регистрации:
|
№ |
Сигнал |
Амплитуда и частота |
|
1 |
Электромиография |
0,01...1,0 мВ 1...10000 Гц |
|
2 |
Электроокулография |
0,02...2 мВ 0...30 Гц |
|
3 |
Кожно-гальваническая реакция |
1...100 мВ 0,05...10,0 Гц |
СПИСОК ЛИТЕРАТУРЫ
- ISO/IEC/IEEE 24765-2010 Systems and software engineering – Vocabulary: a representation of facts, concepts, or instructions in a manner suitable for communication, interpretation, or processing by humans or by automatic means
- Абдуллин, И. Ш. Медицинские приборы, аппараты, системы и комплексы : учебное пособие / И. Ш. Абдуллин, Е. А. Панкова, Ф. С. Шарифуллин. — Казань : КНИТУ, 2011. — 106 с. — ISBN 978-5-7882-1235-7. — Текст : электронный // Лань : электронно-библиотечная система. — URL: https://e.lanbook.com/book/73300;
- Амлаева, К. Р. Общественное здоровье и здравоохранение : учебное пособие : в 2 томах / под редакцией К. Р. Амлаева. — Ставрополь : СтГМУ, 2020 — Том 1 — 2020. — 228 с. — Текст : электронный // Лань : электронно-библиотечная система. — URL: https://e.lanbook.com/book/195054;
- Андросова, Т. А. Медицинская электроника : учебное пособие / составители Т. А. Андросова, Е. Е. Юндин. — Ставрополь : СКФУ, 2016. — 117 с. — Текст : электронный // Лань : электронно-библиотечная система. — URL: https://e.lanbook.com/book/155309;
- Ахмерова, С. Г. Эффективное использование ресурсов. Бережливое здравоохранение : учебное пособие / составители С. Г. Ахмерова [и др.]. — Уфа : БГМУ, 2018. — 81 с. — Текст : электронный // Лань : электронно-библиотечная система. — URL: https://e.lanbook.com/book/155744;
- Благодарева, М. С Телемедицинские технологии : учебное пособие / А. А. Косова, Н. С. Брынза, Ю. С. Решетникова ; под общей редакцией А. А. Косовой. — Екатеринбург : Уральский ГМУ, 2023. — 123 с. — ISBN 978-5-00168-044-4. — Текст : электронный // Лань : электронно-библиотечная система. — URL: https://e.lanbook.com/book/396857;
- Баранов, В. Н. Лазерные и светодиодные медицинские приборы и системы : учебное пособие / В. Н. Баранов, О. Н. Кузяков, М. С. Бочков. — Тюмень : ТюмГНГУ, 2012. — 176 с. — ISBN 978-5-9961-0471-0. — Текст : электронный // Лань : электронно-библиотечная система. — URL: https://e.lanbook.com/book/38916;
- Баранов, В. Н. Медицинская диагностическая техника : учебное пособие / В. Н. Баранов, М. С. Бочков, В. А. Акмашев. — Тюмень : ТюмГНГУ, 2013. — 144 с. — ISBN 978-5-9961-0738-4. — Текст : электронный // Лань : электронно-библиотечная система. — URL: https://e.lanbook.com/book/55418;
- Баранов, В. Н. Основы обслуживания и ремонта медицинской техники : учебное пособие / В. Н. Баранов, В. А. Акмашев, М. С. Бочков. — Тюмень : ТюмГНГУ, 2013. — 112 с. — ISBN 978-5-9961-0736-0. — Текст : электронный // Лань : электронно-библиотечная система. — URL: https://e.lanbook.com/book/55420;
- Баранов, В. Н. Современные технологии обработки биомедицинских сигналов : учебное пособие / В. Н. Баранов, М. С. Бочков, В. А. Акмашев. — Тюмень : ТюмГНГУ, 2013. — 80 с. — ISBN 978-5-9961-0697-4. — Текст : электронный // Лань : электронно-библиотечная система. — URL: https://e.lanbook.com/book/55419.
- Бармасова, А. М. Основные понятия медицинской электроники : учебно-методическое пособие / А. М. Бармасова, К. А. Кликунова, А. В. Бармасов, В. И. Прошин. — Санкт-Петербург : СПбГПМУ, 2022. — 36 с. — ISBN 978-5-907565-62-3. — Текст : электронный // Лань : электронно-библиотечная система. — URL: https://e.lanbook.com/book/344123;
- Барулина, М. А. Основы математического моделирования и обработки данных в медицине : учебно-методическое пособие / М. А. Барулина. — Самара : , 2022. — 63 с. — Текст : электронный // Лань : электронно-библиотечная система. — URL: https://e.lanbook.com/book/326510;
- Золкин, А. Л. Основы алгоритмизации, мировые информационные ресурсы, медико-биологическая статистика : учебное пособие / А. Л. Золкин. — Самара : , 2022 — Часть 1 — 2022. — 161 с. — ISBN 978-5-907359-09-3. — Текст : электронный // Лань : электронно-библиотечная система. — URL: https://e.lanbook.com/book/326534;
- Квашнина, Е. А. Медицинские информационные системы : учебное пособие / Е. А. Квашнина, Е. Е. Трубилина. — Новосибирск : НГТУ, 2023. — 104 с. — ISBN 978-5-7782-4928-8. — Текст : электронный // Лань : электронно-библиотечная система. — URL: https://e.lanbook.com/book/404354;
- Кишковский А. Н., Тютин Л. А., Есиновская Г. Н. Атлас укладок при рентгенологических исследованиях // Медицина. – 1987. – Т. 4.
- Коваль, Н. С. Технология изготовления медицинской техники : учебное пособие / Н. С. Коваль, В. А. Лебедев, И. Л. Вяликов. — Ростов-на-Дону : Донской ГТУ, 2021. — 241 с. — ISBN 978-5-7890-1894-1. — Текст : электронный // Лань : электронно-библиотечная система. — URL: https://e.lanbook.com/book/237776;
- Королюк И.П. Медицинская информатика : Учебник / - 2 изд., перераб. и доп. - Самара : ООО «Офорт» : ГБОУ ВПО «СамГМУ».2012.- 244 с. 2012
- Кубланов В.С. и др. Биомедицинские сигналы и изображения в цифровом здравоохранении: хранение, обработка и анализ: учебное пособие. – 2020.
- Кудаева, Ф. Х. Информационные технологии в профессиональной деятельности и искусственный интеллект : учебное пособие / Ф. Х. Кудаева, Н. Х. Норалиев, А. А. Кайгермазов. — Нальчик : КБГУ, 2023. — 196 с. — Текст : электронный // Лань : электронно-библиотечная система. — URL: https://e.lanbook.com/book/378956;
- Максименко, Е. В. Аппаратные и программные средства обработки медицинской информации : учебно-методическое пособие / Е. В. Максименко, А. А. Хрипунова. — Ставрополь : СтГМУ, 2020. — 104 с. — Текст : электронный // Лань : электронно-библиотечная система. — URL: https://e.lanbook.com/book/259103 (дата обращения: 26.04.2024). — Режим доступа: для авториз. пользователей.
- Марусина М.Я., Казначеева А.О. Современные виды томографии / Учебное пособие. - СПб: СПБГУ ИТМО, 2006. - 132 с. - 100 экз.
- Медицинская информатика: параметрические и непараметрические методы статистики на компьютере : учебное пособие / Н. В. Маркина, Э. И. Беленкова, Г. А. Диденко [и др.]. — Челябинск : ЮУГМУ, 2022. — 138 с. — Текст : электронный // Лань : электронно-библиотечная система. — URL: https://e.lanbook.com/book/309926;
- Петрова, Н. Г. Основы экономической теории. Экономика и управление здравоохранением : учебное пособие / Н. Г. Петрова, И. В. Додонова, М. В. Полюкова. — Санкт-Петербург : СпецЛит, 2015. — 204 с. — ISBN 978-5-299-00677-3. — Текст : электронный // Лань : электронно-библиотечная система. — URL: https://e.lanbook.com/book/114892;
- Прикладная математика. Цифровая обработка изображений : учебно-методическое пособие / М. А. Гундина, М. А. Князев, Н. А. Кондратьева, О. В. Юхновская. — Минск : БНТУ, 2022. — 53 с. — ISBN 978-985-583-747-4. — Текст : электронный // Лань : электронно-библиотечная система. — URL: https://e.lanbook.com/book/325673;
- Прокоп М., Галански М. Спиральная и многослойная компьютерная томография //Учебное пособие. – 2007. – № 1.
- Руководство по электрокардиографии / В.Н. Орлов. — 9-е изд., испр. — Москва : ООО «Медицинское информационное агентство», 2017. — 560 с. : ил.
- Сафронова, И. В. Медицинская информатика: стандартные прикладные программные средства в профессиональной деятельности : учебно-методическое пособие / И. В. Сафронова, А. А. Мукашева. — Челябинск : ЮУГМУ, 2023. — 384 с. — ISBN 978-5-94507-260-2. — Текст : электронный // Лань : электронно-библиотечная система. — URL: https://e.lanbook.com/book/379409;
- Статистическая обработка результатов измерений : учебное пособие / И. К. Цыбрий, К. А. Мороз, В. И. Игнатенко, И. Л. Вяликов. — Ростов-на-Дону : Донской ГТУ, 2021. — 128 с. — ISBN 978-5-7890-1944-3. — Текст : электронный // Лань : электронно-библиотечная система. — URL: https://e.lanbook.com/book/237854;
- Труфанов Г. Е. и др. Лучевая диагностика: учебник //ГЕ Труфанова. М. – 2018.
- Шкарин, В. В. Общественное здоровье и здравоохранение : руководство / В. В. Шкарин, Н. Г. Чепурина, В. В. Ивашева [и др.]. — Волгоград : ВолгГМУ, 2020. — 60 с. — Текст : электронный // Лань : электронно-библиотечная система. — URL: https://e.lanbook.com/book/179557.
Инфокомуникационные технологии и электроника
ПРОГРАММА
вступительного испытания
для поступающих в магистратуру по направлению подготовки
11.04.02 «Инфокоммуникационные технологии и системы связи»
программа (профиль)
«Технологии беспроводной связи и интернета вещей»
ОБЩИЕ ПОЛОЖЕНИЯ
Вступительные испытания предназначены для определения практической и теоретической подготовленности поступающего в магистратуру и проводятся с целью определения соответствия знаний умений и навыков требованиям обучения магистратуры по направлению подготовки 11.04.02 «Инфокоммуникационные технологии и системы связи» (магистратура). Программа составлена в соответствии с требованиями федерального государственного образовательного стандарта высшего профессионального образования.
Вступительные испытания в магистратуру проводят экзаменационные комиссии, назначенные председателем приёмной комиссии УУНиТ.
ПРОЦЕДУРА ВСТУПИТЕЛЬНОГО ИСПЫТАНИЯ
Дата и время проведения вступительного испытания и консультации определяются расписанием вступительных испытаний, которое утверждается председателем приемной комиссии.
Перед вступительным испытанием для поступающих проводится консультация по содержанию программы испытания, критериям оценки, предъявляемым требованиям, правилам поведения на испытании.
Форма вступительного испытания (в соответствии Положением о вступительных испытаниях УУНИТ): тестирование.
Вступительные испытания в виде электронного тестирования проводятся в соответствии с программами вступительных испытаний, утверждаемых председателем предметной комиссии.
Вступительные испытания в форме тестирования включают вопросы как закрытого, так и открытого типа, а также задания в аудио- и видеоформатах.
Составление вариантов экзаменационных заданий в форме электронных тестов осуществляется ответственным секретарем приемной комиссии университета.
Из вариантов экзаменационных заданий формируются комплекты вопросов-тестов.
Компоновку комплектов вопросов-тестов ответственный секретарь, заместитель ответственного секретаря производят до вступительных испытаний.
Тест содержит 40 тестовых вопросов.
Результаты испытаний оцениваются по 100 бальной шкале.
Абитуриент, не согласный с оценкой, полученной на ВИ и (или) в связи с нарушением процедуры проведения ВИ имеет право подать апелляцию. Процедура подачи и рассмотрения апелляции регламентируется Положением об апелляционной комиссии УУНиТ.
КРИТЕРИИ ОЦЕНИВАНИЯ ОТВЕТА
Критериями оценки экзаменационного ответа, поступающего в магистратуру являются полнота, логичность, доказательность, прочность, осознанность знаний и теоретическая обоснованность суждений, самостоятельность в интерпретации информации, практическая направленность, уровень овладения профессиональными умениями менеджера и др. В случае тестирования является правильные ответы на тестовые задания.
При проверке количество первичных баллов переводится в итоговую 100 балльную шкалу через информационную платформу университета.
СОДЕРЖАНИЕ РАЗДЕЛОВ И ТЕМ ПРОГРАММЫ ВСТУПИТЕЛЬНОГО ИСПЫТАНИЯ
Линейная алгебра и аналитическая геометрия
- Матрицы и действия над ними. Определители, их свойства и вычисление. Обратная матрица. Методы решения систем линейных алгебраических уравнений: матричный метод, метод Крамера, метод Гаусса.
- Векторы и операции над ними. Понятие коллинеарности и компланарности векторов. Скалярное, векторное и смешанное произведения векторов.
- Системы координат: прямоугольная, сферическая, цилиндрическая.
Математический анализ и теория вероятностей
- Производная функции, ее геометрический и механический смысл. Производная суммы, произведения и частного (обзор теорем школьного курса). Производная сложной функции.
- Комплексные числа и арифметические действия над ними. Тригонометрическая
- и показательная форма комплексного числа. Понятие функции комплексного переменного.
- Неопределенный интеграл и его свойства. Таблица основных формул. Простейшие приемы интегрирования. Замена переменной, интегрирование по частям.
- Геометрические приложения определенного интеграла (вычисление площади фигур в декартовых и полярных координатах, длин кривых, объемов, площадей поверхностей).
- Двойной и тройной интегралы, их свойства.
- Преобразование Фурье. Разложение в ряд Фурье.
- Дискретные и непрерывные случайные величины. Функция распределения и ее свойства. Закон распределения дискретной случайной величины. Примеры дискретных законов распределения.
- Непрерывные случайные величины, плотность распределения.
- Ковариация, коэффициент корреляции и его основные свойства.
Дифференциальные уравнения
- Уравнения 1-го порядка. Теорема существования (без доказательства). Понятие особого решения.
- Уравнения с разделяющимися переменными, однородные линейные уравнения и уравнения Бернулли. Уравнения в полных дифференциалах.
- Дифференциальные уравнения высших порядков. Задача Коши. Понятие о краевых задачах для дифференциальных уравнений. Теорема существования и единственности решения задачи Коши (без доказательства).
- Понятие общего и частного решения дифференциального уравнения.
- Линейные дифференциальные уравнения n-го порядка. Свойства дифференциального оператора.
- Линейные однородные дифференциальные уравнения. Свойства их решений.
- Линейные неоднородные дифференциальные уравнения n-го порядка.
Физика
- Электромагнитное поле как одна из форм материи. Макроскопические и квантовые свойства поля. Электродинамика и современная радиотехника.
- Основные уравнения Максвелла.
- Векторы электромагнитного поля. Свойства и классификация сред.
- Вектор Пойнтинга.
- Излучение электромагнитных волн. Анализ структуры электромагнитного поля. Понятие об излучающем диполе.
- Постоянный электрический ток: постоянный электрический ток и его характеристики, сторонние силы, электродвижущая сила, напряжение на участке цепи, закон Ома для однородного участка цепи в интегральной и дифференциальной формах, сопротивление проводников, работа и мощность тока, закон Джоуля-Ленца для участка цепи в интегральной и дифференциальной формах, правила Кирхгофа для разветвленных цепей.
Электроника и электротехника
- Классификация четырехполюсников. Способы описания четырехполюсников в матричной форме.
- Фильтры. Понятие амплитудочастотной и фазочастотной характеристики. Виды фильтров по полосе пропускания.
- Резонансные режимы в электрических цепях.
- Виды полупроводников, кристаллические решетки.
- Энергетические уровни и зоны твердого тела. Разрешенные и запрещенные зоны. Легирование полупроводников. Уровень Ферми.
- Виды электрических переходов. Вентильные свойства р-п перехода.
- Полевые и биполярные транзисторы. Принцип действия и назначение.
Демоверсия экзаменационного варианта
1. Сигнал с частотой f0 = 10 Гц и амплитудой 1 проходит через систему с передаточной функцией:

где fc = 5 Гц. Какова амплитуда выходного сигнала?
a) 0,5
b) 0,447
c) 0,707
d) 1,0
2. Какое из следующих утверждений верно для собственных значений матрицы?
a) Все собственные значения квадратной матрицы всегда положительны.
b) Собственные значения определяются только для квадратных матриц.
c) Собственные значения всегда равны нулю.
d) Собственные значения могут быть найдены только для симметричных матриц.
3. Какова длина вектора (3, 4)?
a) 5
b) 7
c) 4,47
d) 25
4. Какое преобразование используется для отображения сигнала в частотную область?
a) Лапласовское преобразование
b) Быстрое преобразование Фурье
c) Интеграл Римана
d) Дискретное преобразование Хаара
5. Если вероятность события A равна 0,8, а события B - 0,6, какова вероятность их пересечения, если они независимы?
a) 0,14
b) 0,48
c) 0,68
d) 1,4
Правильный ответ: b)
6. Какое уравнение описывает передаточную функцию низкочастотного фильтра первого порядка?
a) H(s) = 1s+1
b) H(s) = s + 1
c) H(s) = s2 + s + 1
d) H(s) = ss+1
СПИСОК ЛИТЕРАТУРЫ
- Беклемишев Д.В. Курс аналитической геометрии и линейной алгебры. СПб.: Лань, 2019. URL: https://e.lanbook.com/book/126146
- Беклемишева Л. А. Сборник задач по аналитической геометрии и линейной алгебре [Электронный ресурс]: учебное пособие / Беклемишева Л. А., Беклемишев Д. В., Петрович А. Ю., Чубаров И. А. - Санкт-Петербург: Лань, 2019 - 496 с. URL: https://e.lanbook.com/book/122183
- Клетеник Д. В. Сборник задач по аналитической геометрии [Электронный ресурс]: учебное пособие / Клетеник Д. В. - Санкт-Петербург: Лань, 2019 - 224 с. URL: https://e.lanbook.com/book/114702
- Берман Г. Н. Сборник задач по курсу математического анализа [Электронный ресурс]: учебное пособие / Берман Г. Н. - Санкт-Петербург: Лань, 2019. URL: https://e.lanbook.com/book/1111993.
- Фихтенгольц Г.М. Курс дифференциального и интегрального исчисления. СПб [и др.]: Лань. 2019.
- Демидович Б. П. Дифференциальные уравнения [Электронный ресурс]: учебное пособие /Демидович Б. П., Моденов В. П. - Санкт-Петербург: Лань, 2019. URL: https://e.lanbook.com/book/115196.
- Савельев И.В. Курс общей физики [Электронный ресурс]:[учебное пособие для студентов вузов, обучающихся по техническим направлениям и специальностям]:В 5-ти т./И.В.Савельев-Санкт-Петербург [и др.]: Лань, 2011-Т.1: Механика [Электронный ресурс] - 352 с. http://e.lanbook.com/books/element.php?pl_25&pl1_id=704.
- Бессонов Л.А. Теоретические основы электротехники. Электромагнитное поле: Учебник для электротехн., энерг., приборостроит. спец. вузов. — 8-е изд., перераб. и доп. — М.: Высш. шк., 1986. — 263 с.: ил.
- Гмурман, В. Е. Теория вероятностей и математическая статистика : [учебник для студентов высших учебных заведений всех направлений и специальностей] / В. Е. Гмурман .— 12-е изд. — Москва : Юрайт, 2018 .— 479 с. ; 21 см .— (Бакалавр. Прикладной курс) .— ISBN 978-5-534-00211-9
- Степаненко, И. П. Основы микроэлектроники: [учебное пособие для вузов] / И. П. Степаненко .— 2-е изд., перераб и доп. — Москва : Лаборатория Базовых Знаний, 2004 .— 488 с. : ил. ; 21 см .— (Электроника) (Технический университет) .— Библиогр.: с. 488.
Биотехнология
ПРОГРАММА
вступительного испытания
для поступающих в магистратуру по направлению подготовки
19.04.01 «Биотехнология»
программа (профиль)
«Промышленная биотехнология»
ОБЩИЕ ПОЛОЖЕНИЯ
Вступительные испытания предназначены для определения практической и теоретической подготовленности поступающего в магистратуру и проводятся с целью определения соответствия знаний, умений и навыков требованиям обучения в магистратуре по направлению подготовки 19.04.01 «Биотехнология» (магистратура). Программа составлена в соответствии с требованиями федерального государственного образовательного стандарта высшего профессионального образования.
Вступительные испытания в магистратуру проводят экзаменационные комиссии, назначенные председателем приёмной комиссии УУНиТ.
ПРОЦЕДУРА ВСТУПИТЕЛЬНОГО ИСПЫТАНИЯ
Дата и время проведения вступительного испытания и консультации определяются расписанием вступительных испытаний, которое утверждается председателем приемной комиссии.
Перед вступительным испытанием для поступающих проводится консультация по содержанию программы испытания, критериям оценки, предъявляемым требованиям, правилам поведения на испытании.
Форма вступительного испытания (в соответствии Положением о вступительных испытаниях УУНИТ): тестирование.
Вступительные испытания в виде электронного тестирования проводятся в соответствии с программами вступительных испытаний, утверждаемых председателем предметной комиссии.
Вступительные испытания в форме тестирования включают вопросы как закрытого, так и открытого типа, а также задания в аудио- и видеоформатах.
Составление вариантов экзаменационных заданий в форме электронных тестов осуществляется ответственным секретарем приемной комиссии университета.
Из вариантов экзаменационных заданий формируются комплекты вопросов-тестов.
Компоновку комплектов вопросов-тестов ответственный секретарь, заместитель ответственного секретаря производят до вступительных испытаний.
Тест содержит 40 тестовых вопросов.
Результаты испытаний оцениваются по 100 бальной шкале.
Абитуриент, не согласный с оценкой, полученной на ВИ и (или) в связи с нарушением процедуры проведения ВИ имеет право подать апелляцию. Процедура подачи и рассмотрения апелляции регламентируется Положением об апелляционной комиссии УУНиТ.
КРИТЕРИИ ОЦЕНИВАНИЯ ОТВЕТА
Критериями оценки экзаменационного ответа, поступающего в магистратуру являются полнота, логичность, доказательность, прочность, осознанность знаний и теоретическая обоснованность суждений, самостоятельность в интерпретации информации, практическая направленность, уровень овладения профессиональными умениями менеджера и др. В случае тестирования является правильные ответы на тестовые задания.
При проверке количество первичных баллов переводится в итоговую 100 балльную шкалу через информационную платформу университета.
СОДЕРЖАНИЕ РАЗДЕЛОВ И ТЕМ ПРОГРАММЫ ВСТУПИТЕЛЬНОГО ИСПЫТАНИЯ
1. Общие аспекты биотехнологии
1.1. История развития биотехнологии и основные ее аспекты
Биотехнология как наука. Полидисциплинарность современных биотехнологий. Биотехнология как направление научно-технического прогресса, опирающееся на междисциплинарные знания – биологические (генетика, биохимия, биофизика, микробиология, вирусология, физиология клеток растений и животных и др.), химические (химическая технология, физическая (биофизическая) химия, органическая химия, биоорганическая химия, компьютерная и комбинаторная химия и др.), технические (процессы и аппараты, системы контроля и управления, автоматизированные комплексы, моделирование и оптимизация процессов и др.). Понятие биотехнологии как технологического приема получения модифицированных биообъектов с целью придания им новых свойств и/или способности производить новые вещества. Основные области применения современной биотехнологии и основные ее аспекты (биологические, химические, технологические). История, современное состояние и перспективы развития. Бионанотехнологии – как основа современных биоаналитических устройств.
1.2. Основы молекулярной биотехнологии
Технология рекомбинантных ДНК. Ферменты рестрикции. Векторы. Химический синтез нуклеиновых кислот. Определение нуклеотидной последовательности (секвенирование ДНК). Ферментативный и химический пути. Полимеразная цепная реакция. ПЦР как инструмент в современной биотехнологии. Амплификация ДНК. Гибридизация как высокочувствительный метод выявления специфических последовательностей нуклеотидов.
1.3. Методы биотехнологии
Методы исследования молекулярной биотехнологии: химические, физические, физико-химические, биохимические. Синтез и выделение продуктов, установление строения, изучение взаимосвязи между химическим строением и биологической активностью (биологической функцией) соединений. Микроскопия, рентгеноструктурный анализ, радиоактивные изотопы, ультрацентрифугирование, хроматография, электрофорез, культура клеток, бесклеточные системы, моноклональные антитела. Основные биообъекты биотехнологии: промышленные микроорганизмы, клетки и ткани растений, животных и человека, биокатализаторы, в том числе реконструированные продуценты биологически активных веществ (селекция, метод рекомбинантных ДНК, гибридомная технология). Непрерывные процессы культивирования. Теория хемостата. Автоселекция в хемостате. Полунепрерывные и периодические процессы культивирования. Кинетическое описание периодического культивирования. Удельные скорости роста биомассы, биосинтеза продукта и потребления субстратов. Особенности получения иммобилизованных биообъектов и их применение в биотехнологии. Диффузионные ограничения при использовании иммобилизованных ферментов и клеток. Современные подходы к созданию ресурсо- и энергосберегающих биотехнологий.
2. Биологические аспекты биотехнологии
2.1. Общая биология, микробиология и физиология клеток
Определение жизни и свойства живого. Уровни организации живой материи. Клетка как основа наследственности и воспроизведения. Строение ядра и его роль в наследственности. Химический состав клетки (нуклеиновые кислоты, белки, полисахариды, липиды, нуклеопротеиды, гликопротеиды, липопротеиды, пептидогликаны, полифосфаты, минеральные компоненты и вода). Строение и функции клетки (различия клеток прокариот и эукариот). Строение клеточной стенки бактерий. Обмен веществ как совокупность пластического и энергетического обменов. Жизненный цикл клеток и типы клеточного деления (амитоз, митоз, мейоз). Молекулярные основы организации хромосомы. Функции ДНК, гистонов, РНК в клеточном метаболизме. Механизм поступления в клетки эукариотов и прокариотов экзогенных веществ. Физиология питания. Элементы питания, их значение для процесса биосинтеза. Разнообразие типов питания микроорганизмов (автотрофия, гетеротрофия, фотолитотрофия, фотоорганотрофия, хемолитотрофия, хемоорганотрофия). Разнообразие источников углерода, азота, фосфора, серы и других элементов, используемых микроорганизмами. Теория лимитирования и ингибирования роста клеток элементами питания. Способы культивирования микроорганизмов (периодическое, непрерывное, иммобилизация клеток и ферментов). Смешанные культуры, консорциумы. Принципы их культивирования. Метаболизм микроорганизмов. Взаимосвязь биосинтетических и энергетических процессов. Понятие «биологическое окисление». Особенности электронтранспортных систем микроорганизмов.
Анаэробные процессы окисления. Анаэробное дыхание. Брожение. Аэробное дыхание. Разнообразие субстратов, окисляемых микроорганизмами (природные биополимеры, углеводороды, ксенобиотики и др.). Полное аэробное окисление субстрата, неполное окисление и трансформация органических субстратов. Окисление неорганических субстратов.
2.2. Молекулярная биология и генетика клеток
Понятие гена в “классической” и молекулярной генетике, его эволюция. Прикладное значение генной инженерии для биотехнологии. Молекулярные основы наследственности. Природа генетического материала. Особенности строения генетического материала про- и эукариот. Транскрипция ДНК, ее компоненты. РНК-полимераза и промотор. Трансляция, ее этапы, функция рибосом. Генетический код и его свойства. Репликация ДНК и ее генетический контроль. Рекомбинация, ее типы и модели. Механизмы репарации ДНК. Взаимосвязь процессов репликации, рекомбинации и репарации. Мутационный процесс. Роль биохимических мутантов в формировании теории «один ген – один фермент». Классификация мутаций. Спонтанный и индуцированный мутагенез. Классификация мутагенов. Молекулярный механизм мутагенеза. Идентификация и селекция мутантов. Внехромосомные генетические элементы. Плазмиды, их строение и классификация. Регуляция экспрессии генов. Концепции оперона и регулона. Контроль на уровне инициации транскрипции. Промотор, оператор и регуляторные белки. Позитивный и негативный контроль экспрессии генов. Основы генной инженерии. Механизм генных мутаций, генетический контроль. Ферменты рестрикции и модификации. Выделение и клонирование генов. Векторы для молекулярного клонирования. Принципы конструирования рекомбинантных ДНК и их введения в реципиентные клетки.
3. Промышленная биотехнология.
Области применения современной биотехнологии. Феноменологическое описание технологий. Аналитическая биотехнология. Биоаналитические устройства и биосенсоры. Основные понятия и определения. Принцип работы биосенсора. Классификация биосенсоров по типу преобразователя и биорецепторного элемента. Основные параметры биосенсоров. Физико-химические основы биосенсорного анализа. Иммуносенсоры. Производство биосенсоров на основе ферментов. Диагностические средства in vitro для клинических исследований. Конструирование генно- инженерно- модифицированных (трансгенных) растений. Технологии генной инженерии растений. Биомасса промышленных микроорганизмов как сырье для получения широкой гаммы продуктов различного назначения. Использование технологии утилизации различных отходов (целлюлозосодержащие материалы, молочная сыворотка, отходы пищевых и рыбоперерабатывающих производств). Микробиологическое производство ферментных препаратов. Микробиологическое производство возобновляемых источников энергии: низших спиртов, ацетона, метана, биоконверсией органических отходов и растительного сырья. Микробиологическое производство водорода. Биотопливные элементы. Биотехнологические методы защиты окружающей среды (экологическая биотехнология). Антропогенные факторы химического и биологического загрязнения окружающей среды. Органические ксенобиотики, соединения азота, серы, фосфора, тяжелые металлы и радионуклиды, нефть и нефтепродукты. Биологические методы для решения задач охраны окружающей среды. Основные биохимические пути микробиологической трансформации загрязняющих веществ. Микроорганизмы — биодеструкторы. Мониторинг окружающей среды. Методы биотестирования и биоиндикации в мониторинге.
3.1. Химические аспекты биотехнологии
Структура и свойства биомолекул. Структура и свойства аминокислот, пептидов, белков. Аминокислоты. Физико-химические свойства. Стереохимия. Аминокислоты как структурные элементы белков. Заменимые и незаменимые, полузаменимые аминокислоты. Методы разделения аминокислот. Пептидная связь и конформация полипептидной цепи.
Пептиды. Структура и свойства. Биологически активные пептиды. Химия пептидов – новое направление развития лекарственных препаратов. Белки и их основные признаки. Биологические функции белков и пептидов. Молекулярная масса, размер и форма белковых макромолекул. Классификация белков. Простые и сложные белки. Апопротеины и простетические группы. Нуклео-, липо-, глико, хромо-, фосфо-, металлопротеиды. Физико-химические свойства белков. Методы выделения, разделения и очистки белков. Методы количественного измерения концентрации белков. Структурная организация белковых молекул. Вторичная структура белков и методы ее определения. Основные типы вторичной структуры белков. Роль водородных связей. Третичная структура белков. Силы, стабилизирующие третичную структуру белков. Связь третичной и первичной структур. Денатурация и ренатурация белков. Способность к специфическим взаимодействиям как основа биологической активности белков. Избирательное взаимодействие белка с лигандом, типы природных лигандов. Многообразие структурно и функционально различных белков: ферменты, белки-рецепторы, транспортные белки, антитела, белковые гормоны, сократительные белки, структурные белки, биотоксины, антибиотики, ингибиторы и активаторы ферментов. Четвертичная структура белков. Биологический свойства олигомерных белков. Структура и свойства моносахаридов, олигосахаридов и полисахаридов. Биологические функции углеводов. Стереохимия. D- и L-ряды. Олигосахариды. Структура и свойства. Мальтоза, целлобиоза, лактоза, сахароза. Восстанавливающие и невосстанавливающие дисахариды. Гидролиз дисахаридов. Важнейшие дисахариды и трисахариды. Полисахариды. Структура, классификация, свойства. Биологическое значение. Резервные, структурные и водорастворимые полисахариды. Структура и свойства липидов. Классификация липидов. Жирные кислоты - основные компоненты липидов. Строение, физико-химические свойства. Природные высшие жирные кислоты: пальмитиновая, стеариновая, олеиновая, незаменимые жирные кислоты. Простые липиды, воска. Триацилглицеролы. Йодное число жиров. Мембранныелипиды. Фосфолипиды: фосфоглицеролипиды, фосфосфингозины. Гликолипиды. Биосурфактанты микроорганизмов. Неомыляемые липиды. Холестерол. Стероидные гормоны, желчные кислоты. Терпены. Строение, свойства, функции клеточных мембран. Образование липидного бислоя. Роль холестерола в поддержании структуры мембран. Текучесть, асимметричность, непроницаемость мембран. Мембранные белки, гликолипиды и гликопротеины. Жидко-мозаичное строение мембран. Жирнокислотный состав мембран бактерий. Клеточные стенки бактерий. Грамположительные и грамотрицательные бактерии. Пенициллин и родственные антибиотики. Структура и свойства нуклеозидов. Нуклеиновые основания: пиримидиновые (урацил, тимин, цитозин), пуриновые (аденин, гуанин). Лактим-лактамная таутомерия. Реакции дезаминирования, метилирования оснований. Водородные связи в комплементарных нуклеиновых основаниях. Нуклеозиды. Строение. Углеводные компоненты. Конфигурация гликозидного центра. Мононуклеотиды. Структура, номенклатура. Классификация. Биологические функции. Природные биологически активные нуклеотиды: АМФ, АДФ, АТФ, НАД+, ФАД, цАМФ. Мононуклеотиды как структурные элементы нуклеиновых кислот. Полинуклеотиды и нуклеиновые кислоты. Классификация и номенклатура. Фосфодиэфирная связь. ДНК и РНК. Первичная структура нуклеиновых кислот.
3.2. Молекулярные основы биокатализа
Ферменты. Биологическое значение ферментов. Особенности ферментов как биологических катализаторов. Классификация и номенклатура ферментов. Активный центр. Механизм действия ферментов. Каталитические свойства ферментов. Субстратная специфичность. Конкурентные и неконкурентные ингибиторы. Методы определения активности и количества ферментов. Способы регуляции работы ферментов: изменение абсолютного количества ферментов и каталитической активности ферментов. Регуляция скорости синтеза и распада ферментов, превращение проферментов в активные формы. Регуляторные (аллостерические ферменты), особенности их строения. Источники ферментов. Химическая модификация, иммобилизация и стабилизация ферментов, иммобилизованные ферменты и клетки микроорганизмов как потенциальные биокатализаторы. Водорастворимые витамины и микроэлементы – как кофакторы ферментов. Номенклатура и классификация.
3.3. Биоэнергетика и метаболизм
Введение в обмен веществ. Биоэнергетика. Обмен веществ: питание, метаболизм и выделение продуктов метаболизма. Состав пищи человека. Органические и минеральные компоненты. Понятие о метаболизме и метаболических путях. Метаболизм как совокупность процессов катаболизма и анаболизма. Уровни регуляции метаболизма. Метод изотопных меток в изучении метаболизма. Биоэнергетика. Элементы термодинамики открытых систем. Сопряжение экзергонических и эндергонических процессов. Макроэргические соединения. АТФ - основной источник и аккумулятор энергии в организме. Фазы катаболизма основных питательных веществ в организме. Окислительные реакции катаболических процессов. Субстратное и окислительное фосфорилирование. Клеточное дыхание. Организация дыхательной цепи в митохондриях. Направление движения электронов по дыхательной цепи. Электрохимический потенциал. Общий путь катаболизма и другие виды биологического окисления. Окислительное декарбоксилирование пировиноградной кислоты. Пируватдегидрогеназный комплекс. Последовательность реакций. Биологическое значение. Цикл лимонной кислоты. Последовательность реакций. Связь общего пути катаболизма с митохондриальной цепью переноса электронов. Регуляция общего пути катаболизма. Основные метаболические пути углеводов. Общая характеристика. Анаэробный и аэробный гликолиз. Энергетика гликолиза. Спиртовое и молочнокислое брожение. Глюконеогенез. Пентозофосфатный путь. Синтез и распад гликогена. Основные пути превращения липидов. Основные пути превращения жирных кислот. Окисление жирных кислот. Образование и использование кетоновых тел. Синтез жирных кислот. Другие пути превращения жирных кислот и ацетил-КоА. Основные пути превращения белков и аминокислот. Заменимые и незаменимые аминокислоты. Катаболизм аминокислот.
Демоверсия экзаменационного варианта
1. Индолил-3-уксусная кислота является производным:
- глицина
- изопентенил пирофосфата
- метионита
- триптофана
2. Как амоксициллин действует на бактериальные клетки?
- избирательно подавляют синтез нуклеиновых кислот
- нарушает синтез клеточной стенки бактерии
- нарушает функции мембран бактерий
- подавляют синтез белка
3. Перечислите методы холодной стерилизации:
- тиндализация
- фильтрование
- пастеризация
- фламбирование
- газовая стерилизация
- сухой жар
- кипячение
- автоклавирование
4. Установите соответствие между конечными продуктами (1 и т.д.), получаемыми в различных биотехнологических производствах, и участвующими в них микроорганизмами (А и т.д.):
|
Конечный продукт биотехнологического процесса |
Микроорганизмы |
|
1. выщелачивание меди 2. инсулин 3. инсектицидные препараты 4. витамин В12 |
А) тионовые бактерии Б) кишечная палочка В) бациллы Г) пропионовокислые бактерии |
5. Какое должно быть содержание агара (в%) в питательной среде, чтобы она была полужидкая? (числовой ответ)
СПИСОК ЛИТЕРАТУРЫ
Основная литература
- Молекулярная биология: учебник для студ.пед.вузов / А.С. Коничев, Г.А. Севастьянова. – 3-е изд., стер. - М.: Издательский центр «Академия», 2008. – 400с.
- Спирин, А. С. Молекулярная биология. Рибосомы и биосинтез белка : учебник для вузов / А. С. Спирин .— М. : Академия, 2011 .— 496 с. : ил
- Сазыкин, Ю. О. Биотехнология : учеб. пособие / Ю. О. Сазыкин, С. Н. Орехов, И. И. Чакалева ; под ред. А. В. Катлинского .— 3-е изд., стер .— М. : Академия, 2008 .— 255 с : ил.
- Клунова С. М. Биотехнология [Электронный ресурс]: учебник / С. М. Клунова, Т. А. Егорова, Е. А. Живухина - М.: Академия, 2010.
- Сазыкин Ю.О., Орехов С.Н., Чекалева И.И. Биотехнология. М.: Изд. центр «Академия», 2008. 256 с.
- Кулуев Б.Р., Круглолва Н.Н., Зарипова А.А., Фархутдинов Р.Г. Основы биотехнологии растений. Учебное пособие, под редакцией Р.Г. Фархутдинова. Уфа, РИЦ БашГУ, 2017, 244 с.
Дополнительная литература
- Глик, Б. Молекулярная биотехнология : Принципы и применение / Б. Глик, Дж. Пастернак ; пер. с англ. : Н. В. Баскаковой [и др.], под ред. Н. К. Янковского .— М. : Мир, 2002 .— 589 с. :
- Ямалеева А. А. Молекулярно-биологические основы фитоиммунитета: уч. пособие / А. А. Ямалеева; БашГУ - Уфа: РИЦ БашГУ, 2008 - 198 с.
- Генетика развития растений : учеб. пособие для вузов / Л. А. Лутова [и др.]; под ред. С. Г. Инге-Вечтомова - СПб.: Н-Л, 2010 - 432 с
- Щелкунов С.Н. Генетическая инженерия [Электронный ресурс] / Щелкунов С. Н. - Новосибирск: Сибирское университетское издательство, 2010 - 514с.
- Баширова Р. М. Вторичные метаболиты [Электронный ресурс]. Ч.1: учеб.пособие / Р. М. Баширова; Башкирский государственный университет - Уфа: РИО БашГУ, 2012
- Закгейм А.Ю. Общая химическая технология: введение в моделирование химико-технологических процессов [Электронный ресурс]: учеб.пособие / Закгейм А. Ю. - М.: Логос, 2012 - 304с.
- Инге-Вечтомов С. Г. Генетика с основами селекции: учебник / С. Г. Инге-Вечтомов - СПб.: Издательство Н-Л, 2010 - 720 с.
- Биохимия и физиология микроорганизмов [Электронный ресурс]: методические указания / Башкирский государственный университет; сост. М.Д. Бакаева; Н.А. Киреева - Уфа: РИЦ БашГУ, 2010
- Микробиология [Электронный ресурс]: методические указания к практическим занятиям - Уфа: РИЦ БашГУ, 2009.
- Елинов Н.П. Основы биотехнологии. СПб.: Изд. фирма "Наука",1995. 600с. http://www.twirpx.com/file/152369/)
- Кузнецов А. Е., Градова Н. Б. Научные основы экобиотехнологии. Учебное пособие для студентов. М.: Мир, 2006. 504с. на сайте http://mirknig.com/knigi/1181179707-nauchnye-osnovy-yekobiotexnologii- uchebnoe.html)
- Безбородов А.М., Загустина Н.А., Попов В.О. Ферментные процессы в биотехнологии. М.: Наука, 2008. 335с.
- Биотехнология. / Под ред. Е.С. Воронина. СПб.: ГИОРД, 2008. 704с.
- Голубев В.Н., Жиганов И.Н. Пищевая биотехнология. М.: Изд-во ДеЛиПринт, 2001. 123с.
- Грачева И.М., Кривова А.Ю. Технология ферментных препаратов: Учеб. для студентов вузов, обучающихся по специальности "Биотехнология" направления подгот. дипломир. специалистов "Биотехнология" / И.М. Грачева, А.Ю. Кривова. - Москва : Элевар, 2000. - 512 с. : ил., табл.; 22 см. .
- Грязнева Т.Н., Тихонов И.В., Девритов Д.А. Основы производства гипериммунных сывороток и иммуноглобулинов. М.: МГАВМиБ, 2003. 158с.
- Драгилев А.И., Дроздов В.С. Технологическое оборудование предприятий перерабатывающих отраслей АПК. М.: Колос, 2001. 352с.
- Егоров Н.С. Основы учения об антибиотиках. М.: Изд-во МГУ, Наука, 2004. 528с.
- Емцев В.Т., Мишустин Е.Н. Микробиология. М.: Дрофа, 2005. 445с.
- Загоскина Н.В., Назаренко Л.В., Калашникова Е.А., Живухина Е.А. Биотехнология: теория и практика. М.: Оникс, 2009. 492с.
- Киреева Н.А. Экология микроорганизмов. Уфа: РИО БашГУ. 2004. 170 с.
- Киреева Н.А., Бакаева М.Д. Рекультивация нарушенных земель. Уфа: РИО БашГУ, 2005. 208с.
- Микробная биотехнология / Под ред. И.Б. Лещинской. Казань: Унипресс ДАС, 2000. 368с.
- Нетрусов А.И., Котова И.Б. Микробиология. М.: Академия, 2006. 356с.
- Павлович С.А. Основы вирусологии. Минск: Высшэйшая школа, 2001. 192с.
- Пак И.В., Цой Р.М. Введение в биотехнологию. Тюмень: ТюмГУ, 2002. 188с.
- Прикладная экобиотехнология. /Под ред. Н.Б. Градовой. В 2х томах. М.: БИНОМ, 2010.
- Самуйленко А.Я., Рубан Е.А. Основы биотехнологии производств ветеринарных биологических препаратов. М.: АН РФ, 2000. 460с.
- Сельскохозяйственная биотехнология / Под ред. В.С. Шевелухи. М.: Высшая школа, 2003. 469с.
- Тихонов И.В., Гаврилов В.А., Заболоцкая Т.В., Грязнева Т.Н. Основные биотехнологические приемы производства вирусных препаратов. М.: МГАВМиБ, 2004. 216с.
- Алейникова, Т.Л. Биохимия : учебник для вузов / Алейникова Т.Л. [и др.];под ред. Е.С.Северина .— 3-е изд.,испр. — М. : ГЭОТАР-МЕД, 2006 .— 784с. : ил Щербаков, В.Г. Биохимия : учебник для вузов / В.Г. Щербаков;под ред. В.Г.Щербакова .— 3-е изд.,испр.и доп. — СПб. : ГИОРД, 2005 .— 472с. : ил. Биохимия: Учебник / Под ред. Е.С.Северина, 2-изд. испр. – М.:ГЭОТАР-МЕД, 2004. – 784 с.: ил. (Серия «XXI век»).
- Тюкавкина, Н. А. Биоорганическая химия : учебник для мед. вузов / Н. А. Тюкавкина, Ю. И. Бауков, С. Э. Зурабян .— М. : ГЭОТАР- Медиа, 2011 .— 416 с. : ил.
- Пунтус, И.Ф. Генетические методы биотехнологии защиты окружающей среды/И.Ф. Пунтус, Л.И. Ахметов, А.Е. Филонов, И.А. Нечаева, Т.В. Рогова. - Тула: изд-во ТулГУ, 2008. - 123 с.
- Биотехнология защиты окружающей среды. Учебное пособие/О.Н. Понаморева, А.Н. Решетилов, Т.А. Решетилова, А.Н. Шкидченко, И.А. Кошелева, Е.С. Иванова, И.В. Блохин. -Тула, изд-во ТулГУ, 2006. - 114 с
- Роль микроорганизмов в трансформации устойчивых органических поллютантов: Учебное пособие/Л.А. Головлева, М.П. Коломыцева, М.А. Бабошин, О.Н. Понаморева. -Тула: изд-во ТулГУ, 2008. - 100 с.
- Фролов, Ю. П. Биотехнология и биологическая нанотехнология : краткий курс : учебное пособие / Ю. П. Фролов ; Сам. ГУ, СамНЦ РАН .— Самара, 2010 .— 192 с.
Теория и практика социальной работы
ПРОГРАММА
вступительного испытания
для поступающих в магистратуру по направлению подготовки
39.04.02 «Социальная работа»
программа (профиль)
«Организация и управление в социальной работе»
ОБЩИЕ ПОЛОЖЕНИЯ
Вступительные испытания предназначены для определения практической и теоретической подготовленности поступающего в магистратуру и проводятся с целью определения соответствия знаний умений и навыков требованиям обучения магистратуры по направлению подготовки 39.04.02 «Социальная работа» (магистратура). Программа составлена в соответствии с требованиями федерального государственного образовательного стандарта высшего профессионального образования.
Вступительные испытания в магистратуру проводят экзаменационные комиссии, назначенные председателем приёмной комиссии УУНиТ.
ПРОЦЕДУРА ВСТУПИТЕЛЬНОГО ИСПЫТАНИЯ
Дата и время проведения вступительного испытания и консультации определяются расписанием вступительных испытаний, которое утверждается председателем приемной комиссии.
Перед вступительным испытанием для поступающих проводится консультация по содержанию программы испытания, критериям оценки, предъявляемым требованиям, правилам поведения на испытании.
Форма вступительного испытания (в соответствии Положением о вступительных испытаниях УУНИТ): устно-письменная.
Вступительные испытания в виде устного, устно-письменного, устного с элементами тестирования проводятся в соответствии с программами вступительных испытаний, утверждаемых председателем приемной комиссии.
Экзаменационные билеты включают два или три вопроса по направлению подготовки (по специальности).
В аудитории, где проводится вступительное испытание в устной форме, не может находиться одновременно более 6 человек. Нахождение в аудитории посторонних лиц не допускается.
Абитуриенту предоставляется право готовиться к ответу в течение 30 минут.
Абитуриенту предоставляется право ответа на экзаменационные вопросы в течение 20-25 минут.
В процессе сдачи вступительного испытания абитуриенту могут быть заданы дополнительные вопросы как по содержанию экзаменационного билета, так и по любым разделам предмета в пределах программы вступительного испытания.
Абитуриент, не согласный с оценкой, полученной на ВИ и (или) в связи с нарушением процедуры проведения ВИ имеет право подать апелляцию. Процедура подачи и рассмотрения апелляции регламентируется Положением об апелляционной комиссии УУНиТ.
КРИТЕРИИ ОЦЕНИВАНИЯ ОТВЕТА
Критериями оценки экзаменационного ответа, поступающего в магистратуру являются полнота, логичность, доказательность, прочность, осознанность знаний и теоретическая обоснованность суждений, самостоятельность в интерпретации информации, практическая направленность, уровень овладения профессиональными умениями менеджера и др. В случае тестирования является правильные ответы на тестовые задания.
Результаты вступительного испытания определяются по 100-балльной шкале, разброс баллов представлен ниже в таблице:
|
№ |
Критерии оценивания |
Оценка |
|
1 |
Дан полный развернутый ответ на теоретический вопрос:
|
85-100 баллов «отлично» |
|
2 |
Дан в целом правильный ответ на теоретический вопрос:
|
67-84 балла «хорошо» |
|
3 |
Дан в основном правильный ответ на теоретический вопрос:
|
50-66 баллов «удовлетворительно» |
|
4 |
Дан фрагментарный ответ или неправильный ответ на теоретический вопрос из предложенного тематического раздела:
|
0-49 баллов «неудовлетворительно» |
СОДЕРЖАНИЕ РАЗДЕЛОВ И ТЕМ ПРОГРАММЫ ВСТУПИТЕЛЬНОГО ИСПЫТАНИЯ
Теория социальной работы
1. Социальная работа как профессиональная деятельность.
2.Социальная работа как наука, её функции.
3. Принципы социальной работы, их характеристика.
4. Методы социальной работы, их классификация.
5. Типы теорий социальной работы.
6. Основные понятия в теории социальной работы, их характеристика.
7. Понятие «клиент» в практике социальной работы. Организация коммуникативного процесса с клиентами в социальной работе.
8. Оценка эффективности социальной работы, критерии эффективности.
9. Понятие «социальной службы». Виды социальных служб, основания их классификации.
10. Формы социальной работы: индивидуальная, групповая, с сообществом.
Технология социальной работы
1. Сущность и классификация технологий социальной работы.
2. Социальная диагностика как технология социальной работы.
3. Технология социальной реабилитации.
4. Технология социального консультирования и посредничества.
5. Социальная терапия как технология социальной работы.
6. Социальное посредничество как технология социальной работы.
7. Социальная реабилитация как технология социальной работы.
Правовое обеспечение социальной работы
- Международные документы о социальных правах и свободах человека и гражданина.
2. Нормативно-правовые документы, регламентирующие социальную работу в Российской Федерации.
3. Социальное обслуживание, его принципы. Понятие «социальная услуга», виды социальных услуг. Показатели качества социальной услуги.
4. Социальное обеспечение: понятие, виды. Меры социальной поддержки населения.
5. Пенсионное обеспечение и социальное страхование в системе социальной защиты населения.
Управление в социальной работе
1. Особенности управления в социальной работе. Функции управления.
2. Принципы социального управления.
3. Методы управления.
4. Современная управленческая культура руководителя: сущность, структурные элементы.
5. Управленческая деятельность и управленческие отношения.
6. Методы подготовки и принятия управленческих решений.
Опыт социальной работы с различными группами населения
1. Социальная работа с пожилыми людьми.
2. Содержание социальной работы с молодежью.
3. Государственная система защиты детей, оставшихся без попечения родителей. Опека и попечительство как социальная технология.
4. Социальная работа с семьей.
5. Социальная работа с малообеспеченными группами населения.
6. Социальная работа с лицами с ограниченными возможностями жизнедеятельности.
7. Основные направления социальной работы по социальной защите и поддержке безработных граждан.
Методы исследований в социальной работе
1.Специфика исследований в социальной работе.
2. Методы исследований в социальной работе.
3. Проектирование в социальной работе.
Этические основы социальной работы
1. Ценности социальной работы.
2. Требования к профессионально-значимым личностным качествам социального работника.
3. Этические принципы социальной работы, их характеристика.
Социальная политика
1. Сущность и содержание социальной политики. Основные задачи социальной политики государства.
2. Основные принципы социальной политики, ее взаимосвязь с социальной работой.
3. Сущность социальной защиты. Основные направления социальной защиты населения.
Демоверсия экзаменационного варианта
МИНОБРНАУКИ РФ
ФЕДЕРАЛЬНОЕ ГОСУДАРСТВЕННОЕ БЮДЖЕТНОЕ
ОБРАЗОВАТЕЛЬНОЕ УЧРЕЖДЕНИЕ ВЫСШЕГО ОБРАЗОВАНИЯ
«УФИМСКИЙ УНИВЕРСИТЕТ НАУКИ И ТЕХНОЛОГИЙ»
БИРСКИЙ ФИЛИАЛ УУНиТ
КАФЕДРА ПЕДАГОГИКИ, ПСИХОЛОГИИ И СОЦИАЛЬНОЙ РАБОТЫ
|
Дисциплина: Теория и практика социальной работы |
Направление 39.04.02 Социальная работа Профиль: Организация и управление в социальной работе |
Экзаменационный билет №1
- Методы социальной работы, их классификация.
- Ценности социальной работы.
СПИСОК ЛИТЕРАТУРЫ
- Акмалова А.А., Капицын В.М. Правовое обеспечение социальной работы. – М.: ИНФРА-М, 2018. – 288 с.
- Апостолова Т.М. Социальная политика Российской Федерации и правовой механизм ее реализации /Т.М. Апостолова, Н.Р. Косевич; под общ. ред. Н.Р. Косевича. – М. :Владос,2008. – 478с.
- Воронцова М.В. Социальная защита и социальное обслуживание населения : учебник для вузов / М. В. Воронцова, В. Е. Макаров ; под редакцией М. В. Воронцовой. – 2-е изд., перераб. и доп. – Москва : Издательство Юрайт, 2024. – 332 с.
- Жуков В.И. Теория социальной работы. – М.: Из-во РГСУ, 2011. – 440 с.
- Зарецкий А.Д. Менеджмент в социальной работе. – Р-на/Д: Феникс, 2008. – 187 с.
- Коныгина М.Н., Горлова Е.Б. Профессионально-этические основы социальной работы. – М.: Академический проект; Культура, 2009. – 192 с.
- Наместникова И.В. Методы исследования в социальной работе. – М.: Юрайт, 2014. – 430 с.
- Организация, управление и администрирование в социальной работе: учебное пособие / Под ред. Е.И.Холостовой, Е.И. Комарова, О.Г.Прохоровой – М.: Юрайт, 2011. – 432 с.
- Основы социальной работы : учебное пособие для вузов / под ред. Н. Ф. Басова. – 5-е изд., испр. и доп. – Москва : Юрайт, 2020. – 213 с.
- Павленок П.Д. Технологии социальной работы с различными группами населения: учеб. пособие для вузов /П. Д. Павленок, М.Я. Руднева. – М.: ИНФРА-М, 2009. – 272 с.
- Палехова П. В. Организация, управление и администрирование в социальной работе: учебное пособие / П. В. Палехова [и др.]; отв. ред. П. В. Палехова. – М.: ИНФРА-М, 2008. – 128 с.
- Пенсионное обеспечение: Учебник / Н.Ю. Борисенко. – М.: Издательско-торговая корпорация «Дашков и К», 2009. – 576 с.
- Роик В.Д. Пенсионное страхование и обеспечение : учебное пособие для вузов / В. Д. Роик. – 4-е изд., перераб. и доп. – М. : Издательство Юрайт, 2024. – 479 с.
- Сафронова В.М. Прогнозирование, проектирование и моделирование в социальной работе: учеб. пособ. для студ. вузов, обуч. по напр. подг. и спец."Соц. работа"/В.М. Сафронова. – М.:Академия, 2007. – 235 с.
- Теория социальной работы / Под ред. Е.И.Холостовой, Л.И.Кононовой, М.В.Вдовиной. – М.: Юрайт, 2014. – 345 с.
- Технологии социальной работы в различных сферах жизнедеятельности: Учеб. пособие / Под ред. проф. П.Д. Павленка. – М.: ИНФРА-М, 2009. – 379 с.
- Технология социальной работы / Под ред. Е.И.Холостовой, Л.И.Кононовой, М.В.Вдовиной. – М.: Юрайт, 2015. – 503 с.
- Управление в социальной работе : учебник для вузов / Е. И. Холостова [и др.] ; ответственные редакторы Е. И. Холостова, Е. И. Комаров, О. Г. Прохорова. – 2-е изд. – М.: Издательство Юрайт, 2024. – 252 с.
- Фирсов М.В. Введение в профессию «Социальная работа»: учебное пособие. – М.: КНОРУС, 2011. – 224 с.
- Фирсов М.В. Теория социальной работы: Учеб. пособие для вузов /М.В.Фирсова, Е. Г. Студенова.-3-е изд. – М.:Академический Проект, 2007. – 511с.
- Фирсов М.В. Технология социальной работы: учеб. пособие для вузов. – М.: Академический проект, 2009. – 432с.
- Холостова Е.И. Социальная политика и социальная работа: Учеб. пособ. /Е. И. Холостова. – 3-е изд. – М.:Дашков и К, 2009 . – 213с.
- Холостова Е. И. Социальная работа : учебник для вузов / Е. И. Холостова, Г. Г. Руденко. – 2-е изд., перераб. и доп. – Москва : Юрайт, 2020. – 755 с.
- Холостова Е.И. Социальная работа с семьей: Учеб. пособ./Е.И. Холостова. – 3-е изд . – М. :Дашков и К, 2009. – 233 с.
- Червякова Г.А. Введение в профессию «Социальная работа». – М.: Академия, 2012. – 192 с.
Образование и педагогика
ПРОГРАММА
вступительного испытания
для поступающих в магистратуру по направлению подготовки
44.04.01 «Педагогическое образование»
программа (профиль)
«Дизайн цифровой образовательной среды»
ОБЩИЕ ПОЛОЖЕНИЯ
Вступительные испытания предназначены для определения практической и теоретической подготовленности поступающего в магистратуру и проводятся с целью определения соответствия знаний умений и навыков требованиям обучения магистратуры по направлению подготовки 44.04.01 «Педагогическое образование» (магистратура). Программа составлена в соответствии с требованиями федерального государственного образовательного стандарта высшего профессионального образования.
Вступительные испытания в магистратуру проводят экзаменационные комиссии, назначенные председателем приёмной комиссии УУНиТ.
ПРОЦЕДУРА ВСТУПИТЕЛЬНОГО ИСПЫТАНИЯ
Дата и время проведения вступительного испытания и консультации определяются расписанием вступительных испытаний, которое утверждается председателем приемной комиссии.
Перед вступительным испытанием для поступающих проводится консультация по содержанию программы испытания, критериям оценки, предъявляемым требованиям, правилам поведения на испытании.
Форма вступительного испытания (в соответствии Положением о вступительных испытаниях УУНИТ): тестирование.
Вступительные испытания в виде электронного тестирования проводятся в соответствии с программами вступительных испытаний, утверждаемых председателем предметной комиссии.
Вступительные испытания в форме тестирования включают вопросы как закрытого, так и открытого типа, а также задания в аудио- и видеоформатах.
Составление вариантов экзаменационных заданий в форме электронных тестов осуществляется ответственным секретарем приемной комиссии университета.
Из вариантов экзаменационных заданий формируются комплекты вопросов-тестов.
Компоновку комплектов вопросов-тестов ответственный секретарь, заместитель ответственного секретаря производят до вступительных испытаний.
Тест содержит 40 тестовых вопросов.
Результаты испытаний оцениваются по 100 бальной шкале.
Абитуриент, не согласный с оценкой, полученной на ВИ и (или) в связи с нарушением процедуры проведения ВИ имеет право подать апелляцию. Процедура подачи и рассмотрения апелляции регламентируется Положением об апелляционной комиссии УУНиТ.
КРИТЕРИИ ОЦЕНИВАНИЯ ОТВЕТА
Критериями оценки экзаменационного ответа, поступающего в магистратуру являются полнота, логичность, доказательность, прочность, осознанность знаний и теоретическая обоснованность суждений, самостоятельность в интерпретации информации, практическая направленность, уровень овладения профессиональными умениями менеджера и др. В случае тестирования является правильные ответы на тестовые задания.
При проверке количество первичных баллов переводится в итоговую 100 балльную шкалу через информационную платформу университета.
СОДЕРЖАНИЕ РАЗДЕЛОВ И ТЕМ ПРОГРАММЫ ВСТУПИТЕЛЬНОГО ИСПЫТАНИЯ
- Система непрерывного образования
Определение. Нормативная база. Оценка эффективности непрерывного обучения. Концепция непрерывного образования. Принципы концепции непрерывного образования. Ее реализация в средней и высшей школе.
- Цифровая образовательная среда.
Определение. Основные нормативные документы. Компоненты цифровой образовательной среды. Цифровая трансформация. Цифровая грамотность. Стратегия цифровизации образования.
- Образовательные технологии. Инновации в системе образования.
Подходы к обучению. Типы образования. Применение информационно-телекоммуникационных сетей в образовании. Дистанционное обучение. Электронное обучение. Смешанное обучение. Проектное обучение. Виды инновационных технологий в образовании: адаптивные технологии, онлайн-курсы, кейсы, портфолио, тестирование, видеоуроки. Суть каждого инновационного подхода, функциональная значимость.
- Компьютерные технологии. Информационные системы.
Защита данных. Обмен данных. Потеря данных. Фильтрация данных. Термины: метаданные, полнотекстовый поиск, гипертекст. Жизненный цикл информационной системы. Свойства информационной системы.
- Система управления проектами.
Этапы системы управления проектами. Функции системы управления проектами. Направления инновационного проекта. Руководитель проекта, члены проектной команды. Техническое задание. Постановка цели проекта. Временные интервалы работы над проектами. Функции каждого члена команды в реализации поставленной цели.
Демоверсия экзаменационного варианта
Список тестовых вопросов по вступительным испытаниям
ПРОГРАММЫ МАГИСТРАТУРЫ: 44.04.01 ПЕДАГОГИЧЕСКОЕ ОБРАЗОВАНИЕ
НАПРАВЛЕННОСТЬ (ПРОФИЛЬ) ПОДГОТОВКИ: ДИЗАЙН ЦИФРОВОЙ ОБРАЗОВАТЕЛЬНОЙ СРЕДЫ
|
|
Текст вопроса |
Варианты ответов |
|
|
Что такое система непрерывного образования?
|
Образование, которое продолжается на протяжении всей жизни |
|
Образование, которое заканчивается с получением диплома. |
||
|
Образование, доступное только в очной форме. |
||
|
Образование, доступное только в заочной форме. |
||
|
|
Что такое цифровая образовательная среда |
Физическое пространство для обучения |
|
Комплекс технологий и ресурсов для организации обучения |
||
|
Методика преподавания |
||
|
|
Какой из следующих документов регулирует внедрение цифровой образовательной среды в России?
|
Конституция Российской Федерации. |
|
Федеральный закон "Об образовании в Российской Федерации". |
||
|
Гражданский кодекс Российской Федерации. |
||
|
|
Какой из следующих аспектов является частью цифровой трансформации в образовании?
|
Использование цифровых платформ для обучения. |
|
Увеличение количества бумажных учебников. |
||
|
Снижение доступа к интернету. |
||
|
|
Какой из следующих подходов к обучению акцентирует внимание на индивидуальных потребностях, обучающихся? |
Персонализированное обучение |
|
Групповое обучение |
||
|
Традиционное обучение |
||
|
|
Какой из следующих терминов описывает использование технологий для улучшения образовательного процесса? |
Традиционные методы. |
|
Интегративное обучение |
||
|
Инновации в образовании |
||
|
|
Какой из следующих элементов не является частью нормативно-правовой базы в образовании? |
Стандарты образования |
|
Учебные планы |
||
|
Личные предпочтения преподавателей |
||
|
|
Какой из следующих факторов способствует успешной цифровой трансформации образовательной среды? |
Нехватка технической поддержки |
|
Обучение преподавателей новым технологиям |
||
|
Игнорирование потребностей студентов |
||
|
|
Какой из следующих типов образования включает в себя как формальное, так и неформальное обучение? |
Непрерывное образование |
|
Традиционное образование |
||
|
Профессиональное образование |
||
|
|
Какой из следующих психологических аспектов является важным для внедрения инноваций в систему непрерывного образования (выделите один или два ответа) |
Сопротивление изменениям со стороны администрации |
|
Поддержка со стороны администрации |
||
|
Поддержка внедрения со стороны родителей |
||
|
Сопротивление изменениям подхода к обучению со стороны родителей |
СПИСОК ЛИТЕРАТУРЫ
- Иванова, М. О. Система непрерывного профессионального образования: методы и механизмы управления : монография / М. О. Иванова. — Москва : Первое экономическое издательство, 2021. — 160 с. — ISBN 978-5-91292-409-5. — Текст : электронный // Лань : электронно-библиотечная система. — URL: https://e.lanbook.com/book/276698 (дата обращения: 10.04.2025) — Режим доступа: для авториз. пользователей.
- Азаренко Н. Что такое непрерывное образование. – URL: https://www.unisender. com/ru/blog/chto-takoe-nepreryvnoe-obrazovanie-i-zachem-ono-nuzhno/?ysclid =ma15582wpz588430910 (дата обращения: 10.04.2025).
- Непрерывное образование как навык будущего. – URL: https://media.foxford.ru/ articles/nepreryvnoe-obrazovanie?ysclid=ma159yslxs907317289 (дата обращения: 10.04.2025).
- Везиров, Т. Г. Цифровая образовательная среда : учебно-методическое пособие / Т. Г. Везиров, Ф. А. Идрисова, З. А. Ханкарова. — Махачкала : ДГПУ, 2023. — 102 с. — Текст : электронный // Лань : электронно-библиотечная система. — URL: https://e.lanbook.com/book/330029 (дата обращения: 10.04.2025). — Режим доступа: для авториз. пользователей.
- Гриншкун, В. В. Современная цифровая образовательная среда: ресурсы, средства, сервисы : монография / В. В. Гриншкун, Г. А. Краснова. — Москва : Проспект, 2021. — 213 с. — ISBN 978-5-392-33744-6. — Текст : электронный // Лань : электронно-библиотечная система. — URL: https://e.lanbook.com/book/280829 (дата обращения: 10.04.2025). — Режим доступа: для авториз. пользователей.
- Информационные системы и цифровые технологии : учебное пособие. Часть 2 / под общ. ред. проф. В.В. Трофимова и В.И. Кияева. — Москва : ИНФРА-М, 2021. — 270 с. — (Высшее образование: Бакалавриат). - ISBN 978-5-16-109771-7. - Текст : электронный. - URL: https://znanium.com/catalog/product/1786660 (дата обращения: 10.04.2025). – Режим доступа: по подписке.
- Цифровые технологии в педагогической деятельности : учебное пособие / А.А. Кузнецов, К.Е. Агафонова, К.Т. Юсупова [и др.]. — Москва : ИНФРА-М, 2025. — 223 с. + Доп. материалы [Электронный ресурс]. — (Высшее образование). — DOI 10.12737/2139201. - ISBN 978-5-16-019825-5. - Текст : электронный. - URL: https://znanium.ru/catalog/product/2139201 (дата обращения: 10.04.2025). – Режим доступа: по подписке.
- Цифровая грамотность для экономики будущего / Л.Р. Баймуратова [и др.] ; Аналитический центр НАФИ. - Москва.: НАФИ, 2018. - 86 с. - ISBN 978-5-9909956-2-8. - Текст : электронный. - URL: https://znanium.com/catalog/product/1031306 (дата обращения: 10.04.2025)
- Образовательные технологии в вузе : учебное пособие / составители И. В. Руденко. ; под редакцией И. В. Руденко.. — Тольятти : ТГУ, 2011. — 288 с. — Текст : электронный // Лань : электронно-библиотечная система. — URL: https://e.lanbook.com/book/139680 (дата обращения: 10.04.2025). — Режим доступа: для авториз. пользователей.
- Барциц, И. Н. Система государственного и муниципального управления. В 2 т. Т. 1 : курс лекций / Игорь Барциц. — Москва : Издательский дом «Дело» РАНХиГС, 2019. — 512 с. - ISBN 978-5-7749-1397-8. - Текст : электронный. - URL: https://znanium.com/catalog/product/1085352 (дата обращения: 10.04.2025). – Режим доступа: по подписке.
- Барциц, И. Н. Система государственного и муниципального управления. В 2 т. Т. 2 : курс лекций / Игорь Барциц. - Москва : Издательский дом «Дело» РАНХиГС, 2019. - 544 с. - ISBN 978-5-7749-1398-2. - Текст : электронный. - URL: https://znanium.com/catalog/product/1085354 (дата обращения: 10.04.2025). – Режим доступа: по подписке.
- Царенко, А. С. Управление проектами / А. С. Царенко. — 2-е изд., стер. — Санкт-Петербург : Лань, 2023. — 236 с. — ISBN 978-5-507-46449-4. — Текст : электронный // Лань : электронно-библиотечная система. — URL: https://e.lanbook.com/book/310193 (дата обращения: 10.04.2025). — Режим доступа: для авториз. пользователей.
- Леденева, А. В. Управление проектами в образовании : учебное пособие / А. В. Леденева. — Оренбург : ОГПУ, 2022. — 128 с. — Текст : электронный // Лань : электронно-библиотечная система. — URL: https://e.lanbook.com/book/265907 (дата обращения: 10.04.2025). — Режим доступа: для авториз. пользователей.
Теория, методика физической культуры и спорта
ПРОГРАММА
вступительного испытания
для поступающих в магистратуру по направлению подготовки
44.04.01 «Педагогическое образование»
программа (профиль)
«Теория физической культуры и технологии физического воспитания»
ОБЩИЕ ПОЛОЖЕНИЯ
Вступительные испытания предназначены для определения практической и теоретической подготовленности поступающего в магистратуру и проводятся с целью определения соответствия знаний умений и навыков требованиям обучения магистратуры по направлению подготовки 44.04.01 «Педагогическое образование» (магистратура). Программа составлена в соответствии с требованиями федерального государственного образовательного стандарта высшего образования.
Вступительные испытания в магистратуру проводят экзаменационные комиссии, назначенные председателем приёмной комиссии УУНиТ.
ПРОЦЕДУРА ВСТУПИТЕЛЬНОГО ИСПЫТАНИЯ
Дата и время проведения вступительного испытания и консультации определяются расписанием вступительных испытаний, которое утверждается председателем приемной комиссии.
Перед вступительным испытанием для поступающих проводится консультация по содержанию программы испытания, критериям оценки, предъявляемым требованиям, правилам поведения на испытании.
Форма вступительного испытания (в соответствии Положением о вступительных испытаниях УУНиТ): устно-письменная.
Вступительные испытания в виде устного, устно-письменного, устного с элементами тестирования проводятся в соответствии с программами вступительных испытаний, утверждаемых председателем приемной комиссии.
Экзаменационные билеты включают два или три вопроса по направлению подготовки (по специальности).
В аудитории, где проводится вступительное испытание в устной форме, не может находиться одновременно более 6 человек. Нахождение в аудитории посторонних лиц не допускается.
Абитуриенту предоставляется право готовиться к ответу в течение 30 минут.
Абитуриенту предоставляется право ответа на экзаменационные вопросы в течение 20-25 минут.
В процессе сдачи вступительного испытания абитуриенту могут быть заданы дополнительные вопросы как по содержанию экзаменационного билета, так и по любым разделам предмета в пределах программы вступительного испытания.
Абитуриент, не согласный с оценкой, полученной на ВИ и (или) в связи с нарушением процедуры проведения ВИ имеет право подать апелляцию. Процедура подачи и рассмотрения апелляции регламентируется Положением об апелляционной комиссии УУНиТ.
КРИТЕРИИ ОЦЕНИВАНИЯ ОТВЕТА
Критериями оценки экзаменационного ответа, поступающего в магистратуру являются полнота, логичность, доказательность, прочность, осознанность знаний и теоретическая обоснованность суждений, самостоятельность в интерпретации информации, практическая направленность, уровень овладения профессиональными умениями менеджера и др. В случае тестирования является правильные ответы на тестовые задания.
Результаты вступительного испытания определяются по 100-балльной шкале, разброс баллов представлен ниже в таблице:
|
№ |
Критерии оценивания |
Оценка |
|
1 |
Дан полный развернутый ответ на теоретический вопрос:
|
85-100 баллов «отлично» |
|
2 |
Дан в целом правильный ответ на теоретический вопрос:
|
67-84 балла «хорошо» |
|
3 |
Дан в основном правильный ответ на теоретический вопрос:
|
50-66 баллов «удовлетворительно» |
|
4 |
Дан фрагментарный ответ или неправильный ответ на теоретический вопрос из предложенного тематического раздела:
|
0-49 баллов «неудовлетворительно» |
СОДЕРЖАНИЕ РАЗДЕЛОВ И ТЕМ ПРОГРАММЫ ВСТУПИТЕЛЬНОГО ИСПЫТАНИЯ
Общая характеристика теории и методики физического воспитания.
-
- Исторические аспекты становления теории и методики физического воспитания, ее место и интегрирующая роль в системе физкультурного образования.
- Культура двигательной деятельности, физически активный образ жизни.
- Направленное формирование личности в процессе физического воспитания и спорта.
Дидактические основы теории и методики физического воспитания.
-
- Средства и методы физического воспитания.
- Общеметодические и специфические принципы физического воспитания.
- Основы теории и методики обучения двигательным действиям.
- Формирование специальных знаний в процессе обучения в физическом воспитании.
Теоретико-практические основы развития физических качеств (двигательных способностей).
-
- Основные понятия, закономерности и принципы развития физических способностей.
- Сила и основы методики ее воспитания.
- Выносливость и основы методики ее воспитания.
- Скоростные способности и основы методики их воспитания.
- Гибкость и основы методики ее воспитания.
- Двигательно-координационные способности и основы методики их воспитания.
Формы построения занятий, планирование и контроль в физическом воспитании.
-
- Формы построения занятий в физическом воспитании.
- Планирование и контроль в физическом воспитании. Оценка эффективности физкультурно-спортивных занятий.
Научно-методические основы физического воспитания детей дошкольного и школьного возраста.
-
- Физическое воспитание детей раннего и дошкольного возраста.
- Физическое воспитание детей школьного возраста.
Организация физического воспитания школьников.
-
- Формы организации физического воспитания школьников.
- Школьный урок физической культуры.
- Технология разработки документов планирования по физическому воспитанию.
Физическое воспитание в разные периоды жизни человека.
-
- Физическое воспитание студенческой молодежи.
- Физическое воспитание в основной период трудовой деятельности.
- Физическое воспитание в пожилом и старшем возрасте.
Система физического воспитания. Формирование профессионализма педагога, специалиста по физической культуре.
-
- Представление о физическом воспитании как системе.
- Формирование профессионализма педагога, специалиста по физической культуре.
Общая характеристика спорта и системы подготовки спортсмена.
-
- Спорт в современном обществе, тенденции его развития.
- Системное представление о подготовке спортсменов.
- Спортивная ориентация и отбор.
Спортивная тренировка.
-
- Основы спортивной тренировки.
- Основные стороны спортивной тренировки.
Планирование и контроль в подготовке спортсмена.
-
- Программирование (планирование) в подготовке спортсменов.
- Комплексный контроль в подготовке спортсменов.
Общая характеристика оздоровительной физической культуры.
-
- Факторы физической культуры и спорта в аспекте их оздоровительной ценности.
- Содержательные основы оздоровительной физической культуры.
Теоретико-методические основы оздоровительной физической культуры.
-
- Формы, средства и методы оздоровительной физической культуры.
- Педагогический и врачебный контроль в системе оздоровительной физической культуры.
Демоверсия экзаменационного варианта
Экзаменационный билет №1
- Сущность и причины возникновения физического воспитания в обществе.
- Общепедагогические методы физического воспитания (методы обеспечения наглядности).
- Основные стороны спортивной тренировки (компоненты). Тренировочные и соревновательные нагрузки.
СПИСОК ЛИТЕРАТУРЫ
- Абзалов, Р.А., Абзалов Н.И. Теория и методика физической культуры и спорта : Учебное пособие. – Казань, изд-во «Вестфалика», 2013. – 202 с. – URL: ttps://kpfu.ru/portal/docs/F_1805551428/KURS.LEKCIJ.TiMFKiS.pdf.
- Макеева, В.С. Теория и методика физической культуры : учебно-методическое пособие. – Орел : МАБИВ, 2014. – 132 с.: табл. – Библиогр. в кн. [Электронный ресурс]. – URL://biblioclub.ru/index.php?page=book&id=428644.
- Матвеев, Л.П. Общая теория спорта и ее прикладные аспекты : учебник / Л.П. Матвеев. – 7-е изд. стер. – М. : Спорт, 2020. – 344 с. : ил. – Режим доступа: по подписке. – URL: https://biblioclub.ru/index.php?page=book&id=695537.
- Матвеев, Л.П. Теория и методика физической культуры (введение в теорию физической культуры; общая теория и методика физического воспитания) : учебник для высших учебных заведений физкультурного профиля : / Л.П. Матвеев. – 4-е изд. – М. : Спорт, 2021. – 520 с. : ил. – Режим доступа: по подписке. – URL: https://biblioclub.ru/index.php?page=book&id=695538.
- Минникаева, Н.В. Теория и методика физической культуры : избранные лекции : учебное пособие / Н.В. Минникаева, С.В. Шабашева. – Кемерово : Кемеровский государственный университет, 2016. – 144 с. : ил. – Режим доступа: по подписке. – URL: https://biblioclub.ru/index.php?page=book&id=481577.
- Никитушкин, В.Г. Актуальные проблемы спортивной подготовки : юноши, взрослые, ветераны / В.Г. Никитушкин. – М. : Торговый дом Советский спорт, 2023. – 384 с. : ил., табл. – Режим доступа: по подписке. – URL: https://biblioclub.ru/index.php?page=book&id=711165.
- Парыгина, О.В. Теория физической культуры и спорта : учебное пособие / О.В. Парыгина ; Московская государственная академия водного транспорта. – М. : Альтаир : МГАВТ, 2019. – 130 с. – Режим доступа: по подписке. – URL: https://biblioclub.ru/index.php?page=book&id=682069.
- Прокофьев, А.И. Тестовые задания по теории и методике физической культуры и спорта : учебное пособие / А.И. Прокофьев ; Елецкий государственный университет им. И.А. Бунина. – Елец : Елецкий государственный университет им. И. А. Бунина, 2011. – 129 с. – Режим доступа: по подписке. – URL: https://biblioclub.ru/index.php?page=book&id=272253.
- Сидоров, Л.К. Основы спортивной подготовки : учебное пособие / Л.К. Сидоров, А.Н. Савчук, С.Л. Садырин ; Сибирский федеральный университет. – Красноярск : Сибирский федеральный университет (СФУ), 2023. – 112 с. : ил. – Режим доступа: по подписке. – URL: https://biblioclub.ru/index.php?page=book&id=705313.
- Третьякова, Н.В. Теория и методика оздоровительной физической культуры : учебное пособие / Н.В. Третьякова, Т.В. Андрюхина, Е.В. Кетриш. – М. : Спорт, 2016. – 281 с. : ил. – Режим доступа: по подписке. – URL: https://biblioclub.ru/index.php?page=book&id=461372.
- Холодов, Ж.К., Кузнецов В.С. Теория и методика физического воспитания и спорта : Учеб. пособие для студ. высш. пед. учеб. заведений. – 5-е изд., стереотип. – М. : Издательский центр «Академия», 2013. – 479 с.
- Шиндина, И.В. Теория и методика физической культуры и спорта : учебное пособие / И.В. Шиндина, Е.А. Шуняева. – Саранск : МГПУ им. М.Е. Евсевьева, 2015. – 203 с. – Текст : электронный // Лань : электронно-библиотечная система. – URL: https://e.lanbook.com/book/74503.
Лингвометодика
ПРОГРАММА
вступительного испытания
для поступающих в магистратуру по направлению подготовки
44.04.01 «Педагогическое образование»
программа (профиль)
«Преподавание филологических дисциплин с использованием технологий искусственного интеллекта»
ОБЩИЕ ПОЛОЖЕНИЯ
Вступительные испытания предназначены для определения практической и теоретической подготовленности поступающего в магистратуру и проводятся с целью определения соответствия знаний умений и навыков требованиям обучения магистратуры по направлению подготовки 44.04.01 «Педагогическое образование» (магистратура). Программа составлена в соответствии с требованиями федерального государственного образовательного стандарта высшего профессионального образования.
Вступительные испытания в магистратуру проводят экзаменационные комиссии, назначенные председателем приёмной комиссии УУНиТ.
ПРОЦЕДУРА ВСТУПИТЕЛЬНОГО ИСПЫТАНИЯ
Дата и время проведения вступительного испытания и консультации определяются расписанием вступительных испытаний, которое утверждается председателем приемной комиссии.
Перед вступительным испытанием для поступающих проводится консультация по содержанию программы испытания, критериям оценки, предъявляемым требованиям, правилам поведения на испытании.
Форма вступительного испытания (в соответствии Положением о вступительных испытаниях УУНИТ): устно-письменная.
Вступительные испытания в виде устного, устно-письменного, устного с элементами тестирования проводятся в соответствии с программами вступительных испытаний, утверждаемых председателем приемной комиссии.
Экзаменационные билеты включают два или три вопроса по направлению подготовки (по специальности).
В аудитории, где проводится вступительное испытание в устной форме, не может находиться одновременно более 6 человек. Нахождение в аудитории посторонних лиц не допускается.
Абитуриенту предоставляется право готовиться к ответу в течение 30 минут.
Абитуриенту предоставляется право ответа на экзаменационные вопросы в течение 20-25 минут.
В процессе сдачи вступительного испытания абитуриенту могут быть заданы дополнительные вопросы как по содержанию экзаменационного билета, так и по любым разделам предмета в пределах программы вступительного испытания.
Абитуриент, не согласный с оценкой, полученной на ВИ и (или) в связи с нарушением процедуры проведения ВИ имеет право подать апелляцию. Процедура подачи и рассмотрения апелляции регламентируется Положением об апелляционной комиссии УУНиТ.
КРИТЕРИИ ОЦЕНИВАНИЯ ОТВЕТА
Критериями оценки экзаменационного ответа, поступающего в магистратуру являются полнота, логичность, доказательность, прочность, осознанность знаний и теоретическая обоснованность суждений, самостоятельность в интерпретации информации, практическая направленность, уровень овладения профессиональными умениями менеджера и др. В случае тестирования является правильные ответы на тестовые задания.
Результаты вступительного испытания определяются по 100-балльной шкале, разброс баллов представлен ниже в таблице:
|
№ |
Критерии оценивания |
Оценка |
|
1 |
Дан полный развернутый ответ на теоретический вопрос:
|
85-100 баллов «отлично» |
|
2 |
Дан в целом правильный ответ на теоретический вопрос:
|
67-84 балла «хорошо» |
|
3 |
Дан в основном правильный ответ на теоретический вопрос:
|
50-66 баллов «удовлетворительно» |
|
4 |
Дан фрагментарный ответ или неправильный ответ на теоретический вопрос из предложенного тематического раздела:
|
0-49 баллов «неудовлетворительно» |
СОДЕРЖАНИЕ РАЗДЕЛОВ И ТЕМ ПРОГРАММЫ ВСТУПИТЕЛЬНОГО ИСПЫТАНИЯ
Педагогика
1. Общая характеристика педагогической профессии. Педагогическая деятельность. Функции и структура педагогической деятельности. Ее виды (диагностическая, проектировочная, конструктивная, организаторская, коммуникативная). Характеристика и пути формирования педагогических способностей.
2. Педагогика как наука. Ее объект, место и роль в системе наук о человеке. Категориальный аппарат педагогики – образование, воспитание, обучение, педагогическое явление, педагогический процесс, социализация, педагогическая деятельность, педагогическая система.
3. Понятие методологии педагогической науки. Методологическая культура педагога. Научные исследования в педагогике. Методика и логика педагогического исследования.
4. Методы педагогического исследования: научное наблюдение, беседа, тестирование, анкетирование, обобщение независимых характеристик и другие. Опытно-экспериментальная работа и методика ее организации. Педагогическая диагностика.
5. Понятие дидактики. Общая характеристика дидактического процесса. Анализ традиционных и современных дидактических концепций.
6. Содержание образования. Содержание образования как фундамент базовой культуры личности. Государственный образовательный стандарт.
7. Методы, формы и средства обучения. Понятие методов обучения. Классификации методов обучения.
8. Воспитание в целостном педагогическом процессе. Сущность процесса воспитания. Закономерности и принципы воспитания. Место воспитания в целостной структуре образовательного процесса.
9. Воспитание культуры межнационального общения. Проблемы межнационального общения. Воспитание культуры межнационального общения. Воспитание патриотизма и интернационализма, веротерпимости и толерантности.
10. История педагогики и образования Тема 4.1. История образования и педагогической мысли как область научного знания. Этапы развития педагогики. Ведущие тенденции современного развития мирового образовательного процесса.
Лингводидактика
1. Предмет и задачи лингводидактики. Языковое образование на современном этапе общественного развития.
2. Традиционные учебники и лингвокультурологически ориентированные учебники.
3. Лингводидактика как общая теория обучения языкам. Языковое образование как ценность, или осознание значимости владения современными неродными языками
4. Лингводидактические основы обучения языку. Языковое образование как система: структура, функции и основные компоненты.
5. Лингводидактические основы обучения языку. Образование в области современных неродных языков как процесс. Межкультурная парадигма - новая онтология современного языкового образования.
6. Влияние лингвистических теорий на лингводидактику.
7. Актуальные задачи лингводидактики. Межкультурная компетенция как показатель сформированности вторичной языковой личности.
8. Три уровня методики преподавания языка.
9. Лингводидактика как интегративная наука.
10. Межкультурная коммуникация в изучении языков. Современное языковое образование как результат или проблема овладения неродным языком и чужой культурой. Лингвострановедение как методическая дисциплина.
11. Влияние лингвистических теорий на развитие лингводидактики. Лингвоконцептодидактика. Нейролингводидактика.
12. История становления лингводидактики. Прямые (интуитивные), сознательные, комбинированные, интенсивные методы обучения языкам.
Демоверсия экзаменационного варианта
Образец билета
- Педагогика как наука, ее объект.
- Лингвострановедение как методическая дисциплина.
СПИСОК ЛИТЕРАТУРЫ
- Борисова Е.Г., Латышева А.Н. Лингвистические основы РКИ: Педагогическая грамматика русского языка: Учебное пособие для студентов и преподавателей. – Изд-во: М: Флинта /Наука, 2003.
- Гальскова Н.Д., Гез Н.И. Теория обучения иностранным языкам. Лингводидактика и методика/ 2-изд., испр. – М.: Издательский центр «Академия», 2004.
- Глухов Б.А., Щукин А.Н. Термины методики преподавания русского как иностранного. М.: Русс.яз., 1993.
- Захарова, Ирина Гелиевна. Информационные технологии в образовании [Текст]: [учеб. пособие для студ. вузов]/ И. Г. Захарова. - 7- еизд., перераб. и доп. - М.: Академия, 2011. - 192 с. - (Высшеепрофессиональное образование. Педагогическое образование). - (Бакалавриат). - Библиогр.: с. 188-189.
- История педагогики и образования (лекции, таблицы, схемы) [Текст]: учеб. пособие/ [авт.-сост. Л. Н. Береснева, Е. А. Кувалдина, О. В. Лебедева ; под общ. ред. О. В. Лебедевой]. - Киров: Изд-во ВятГГУ, 2013. - 172 с. - Библиогр.: с. 170-172.
- Миролюбов А.А., История отечественной методики обучения иностранным языкам. – М.: Ступени, 2002.
- Прохоров Ю.Е. Лингвострановедение. Культуроведение. Страноведение. Практика обучения русскому языку как иностранному. – М., 1995.
- Современные образовательные технологии [Текст]: учеб. пособие для студ., магистрантов, аспирантов, докторантов, шк. педагогов и вуз. преподавателей/ под ред. Н. В. Бордовской. - 3-е изд., стер. - М.: КноРус, 2013. - 432 с.
- Щукин А.Н. Методика преподавания русского языка как иностранного. Учебное пособие для ВУЗов. Гриф УМО. – М., 2003.
Туризм
ПРОГРАММА
вступительного испытания
для поступающих в магистратуру по направлению подготовки
43.04.02 «Туризм»
программа (профиль)
«Туристские территории: проектирование, освоение, управление»
ОБЩИЕ ПОЛОЖЕНИЯ
Вступительные испытания (ВИ) предназначены для определения практической и теоретической подготовленности поступающего в магистратуру и проводятся с целью определения соответствия знаний умений и навыков требованиям обучения магистратуры по направлению подготовки 43.04.02 «Туризм» (магистратура). Программа составлена в соответствии с требованиями федерального государственного образовательного стандарта высшего образования.
Вступительные испытания в магистратуру проводят экзаменационные комиссии, назначенные председателем приёмной комиссии УУНиТ.
ПРОЦЕДУРА ВСТУПИТЕЛЬНОГО ИСПЫТАНИЯ
Дата и время проведения вступительного испытания и консультации определяются расписанием вступительных испытаний, которое утверждается председателем приемной комиссии.
Перед вступительным испытанием для поступающих проводится консультация по содержанию программы испытания, критериям оценки, предъявляемым требованиям, правилам поведения на испытании.
Форма вступительного испытания (в соответствии с Положением о вступительных испытаниях УУНиТ): тестирование.
Вступительные испытания в виде электронного тестирования проводятся в соответствии с программами вступительных испытаний, утверждаемых председателем приемной комиссии.
Вступительные испытания в форме тестирования включают вопросы как закрытого, так и открытого типа, а также задания в аудио- и видеоформатах.
Составление вариантов экзаменационных заданий в форме электронных тестов осуществляется ответственным секретарем приемной комиссии университета.
Из вариантов экзаменационных заданий формируются комплекты вопросов-тестов.
Компоновку комплектов вопросов-тестов ответственный секретарь, заместитель ответственного секретаря производят до вступительных испытаний.
Тест содержит 40 тестовых вопросов.
Результаты испытаний оцениваются по 100 бальной шкале.
Абитуриент, не согласный с оценкой, полученной на ВИ и (или) в связи с нарушением процедуры проведения ВИ имеет право подать апелляцию. Процедура подачи и рассмотрения апелляции регламентируется Положением об апелляционной комиссии УУНиТ.
КРИТЕРИИ ОЦЕНИВАНИЯ ОТВЕТА
Критериями оценки экзаменационного ответа, поступающего в магистратуру, являются полнота, логичность, доказательность, прочность, осознанность знаний и теоретическая обоснованность суждений, самостоятельность в интерпретации информации, практическая направленность, уровень овладения профессиональными умениями менеджера и др. В случае тестирования критерием являются правильные ответы на тестовые задания.
При проверке количество первичных баллов переводится в итоговую 100 балльную шкалу через информационную платформу университета.
СОДЕРЖАНИЕ РАЗДЕЛОВ И ТЕМ ПРОГРАММЫ ВСТУПИТЕЛЬНОГО ИСПЫТАНИЯ
Понятие туризма. Путешествие и туризм. Определения туризма. Критерии, признаки и цели туризма. Функции туризма. Путешествие и туризм.
Значение туризма. Влияние туризма на жизнедеятельность человека. Экономическое значение туризма. Социальное, экологическое и гуманитарное значение туризма.
Классификация, виды и формы туризма. Особенности подразделения туризма на таксоны. Классификация туризма по целям путешествия. Новые виды классификации туризма. Формы туризма по внешним признакам и воздействиям.
Турист как субъект туризма. Определение туриста. Классификация туристов. Цели и мотивация туристов. Права, обязанности и свободы туриста.
Туризм в системе научного знания. Науки о туризме.
Основные направления изучения туризма. Туристика как комплексная наука о туризме. Альтернативные науки о туризме.
Ресурсы и инфраструктура туризма. Туристский потенциал территории. Особенности определения и структура туристского потенциала. Оценка рекреационного потенциала России. Оценка природно-рекреационного потенциала территории
Туристские ресурсы как основа организации туризма. Определение туристских ресурсов и их свойства. Виды туристских ресурсов. Туристские объекты и комплексы. Признаки и типы туристских объектов и комплексов. Оценка территории для туристского использования.
Туристские учреждения. Туристская сеть. Материальная база туризма. Санатории. Пансионаты. Дома отдыха. Базы отдыха. Турбазы. Рекреационные парки. Тематические парки. Индустрия туризма, досуга и гостеприимства. Определение туристской индустрии. Факторы роста индустрии туризма.
Состав системы туризма. Классификация предприятий, производящих туристские услуги. Структура туристской индустрии. Туристский бизнес.
Роль, функции туроператоров. Виды туроператоров. Планирование, организация турпродукта. Продвижение турпродукта. Системы резервирования и бронирования. Реализация тура. Роль и особенности турагентств. Организация деятельности турагентств. Требования к турагентствам. Персонал туристского предприятия.
Транспорт в туристской индустрии. Роль транспорта в туристском бизнесе. Классификация транспортных средств. Воздушный транспорт в туризме. Чартер. Тарифы на транспорт. Морские и речные круизы. Железнодорожные туры. Автобусные туры.
Особенности организации гостиничной индустрии. Гостиничная индустрия как вид экономической деятельности. Специфика гостиничных услуг. Стандарты обслуживания. Классификация средств размещения. Характеристика основных групп гостиниц.
Индустрия питания туристов. Классификация туристских предприятий питания. Типы предприятий питания. Варианты организации питания.
Туристская анимация. Индустрия досуга и развлечений. Состав индустрии развлечений. Основные характеристики процесса развлечения туристов. Виды предприятий досуга и развлечений. Понятие, функции и значение анимации. Типология анимации.
География и своеобразие территориальных рекреационных систем мира. География территориальных рекреационных систем России. Влияние процесса глобализации на развитие туристско-рекреационного хозяйства стран и регионов.
География туристско-рекреационных зон России.
Методы рекреационно-географических исследований. Оценка механизмов территориальной организации туристско-рекреационного хозяйства региона.
Рекреационные ресурсы России. Природные комплексы и их компоненты. Курортно-оздоровительные, спортивные и экскурсионно-туристские рекреационные ресурсы РФ.
Демоверсия экзаменационного варианта
МИНИСТЕРСТВО НАУКИ И ВЫСШЕГО ОБРАЗОВАНИЯ РОССИЙСКОЙ ФЕДЕРАЦИИ
ФЕДЕРАЛЬНОЕ ГОСУДАРСТВЕННОЕ БЮДЖЕТНОЕ
ОБРАЗОВАТЕЛЬНОЕ УЧРЕЖДЕНИЕ ВЫСШЕГО ОБРАЗОВАНИЯ
«УФИМСКИЙ УНИВЕРСИТЕТ НАУКИ И ТЕХНОЛОГИЙ»
ИНСТИТУТ ПРИРОДЫ И ЧЕЛОВЕКА
ВСТУПИТЕЛЬНЫЕ ЭКЗАМЕНЫ В МАГИСТРАТУРУ
Направление 43.04.02 Туризм, программа (профиль)
«Туристские территории: проектирование, освоение, управление»
Вопрос № 1
1. В какой субъект РФ нужно ехать туристу, чтобы посетить дацан:
- Республика Карелия
- Республика Калмыкия
- Пермский край
- Алтайский край
СПИСОК ЛИТЕРАТУРЫ
- Биржаков М.Б. Введение в туризм. - Изд. 9-е, перер. и доп. – СПб.: Издательский дом Герда, 2007. – 576 с.
- География туризма: учебник / под ред. А.Ю. Александровой. – М.: КноРус, 2020.
- Закиров И.В. Организация туризма на внутреннем рынке: учебное пособие. – Уфа: РИЦ БашГУ, 2017.
- Зорин И.В., Квартальнов В.А. Туристский терминологический словарь. – М.: Советский спорт, 1999.
- Косолапов А.Б. География российского внутреннего туризма: учебное пособие. – М.: КноРус, 2020.
- Кружалин В.И. География туризма: учебник / В.И. Кружалин, Н.С. Мироненко, Н.В. Зигерн-Корн, Н.В. Шабалина. – М.: Федеральное агентство по туризму, 2014.
- Кусков А.С., Голубева В.Л., Одинцова Т.Н. Рекреационная география: учебно-методический комплекс. – М.: Флинта, МПСИ, 2005.
- Кусков А.С., Джаладян Ю.А. Основы туризма: учеб. – М.: Юрайт, 2016. – 396 с.
- Организация туризма / Под ред. А.П. Дуровича. - 4-е изд., стер. – Мн.: Новое знание, 2008. – 640 с.
- Словарь терминов и понятий индустрии туризма и гостеприимства / Р.Г. Мударисов, Н.П. Кирсанова, Р.В. Кадыров, Г.Н. Нуруллина, В.П. Ердакова, А.Д. Никанорова, А.И. Кошелева, Р.М. Арсений, И.В. Закиров, С.А. Шабалина, Д.Э. Черноухов, Н.В. Шабалина, Т.И. Клименко, Н.К. Сердюкова. – Санкт-Петербург: Университет при Межпарламентской Ассамблее ЕврАзЭС, 2023. – 350 с.
- Стахова Л.В. Основы туризма: учеб. - М.: Юрайт, 2024. – 327 с.
- Туристско-рекреационный комплекс Республики Башкортостан: монография / Д.Р. Абдуллина, И.В. Закиров, З.Ф. Ибрагимова, Г.А. Саттарова, Ю.В. Фаронова, З.А. Хамадеева / под ред. И.В. Закирова. – Уфа: РИЦ БашГУ, 2020. – 244 с.
- Экономика и организация туризма: международный туризм: учеб. пособ. / Московская академия туристского и гостинично-ресторанного бизнеса; / под ред. И.А. Рябовой, Ю.В. Забаева, Е.Л. Драчевой. – М.: Кнорус, 2015. - 566 с.
Лингвистика , Прикладная лингвистика
ПРОГРАММА
вступительного испытания
для поступающих в магистратуру по направлениям подготовки
45.04.01 «Филология»
программа (профиль)
«Теория и практика перевода и межкультурная коммуникация»,
«Индоевропейские языки в контексте педагогического дизайне»
45.04.02 «Лингвистика»
программа (профиль)
«Профессионально-ориентированный перевод»
45.04.03 «Фундаментальная и прикладная лингвистика»
программа (профиль)
«Прикладная лингвистика и текстовая аналитика»
ОБЩИЕ ПОЛОЖЕНИЯ
Вступительные испытания предназначены для определения практической и теоретической подготовленности поступающего в магистратуру и проводятся с целью определения соответствия знаний умений и навыков требованиям обучения в магистратуре по направлениям подготовки: 45.04.01 «Филология», профиль «Теория и практика перевода и межкультурная коммуникация», 45.04.01 «Филология», профиль «Индоевропейские языки в контексте педагогического дизайна», 45.04.02 «Лингвистика», профиль «Профессионально-ориентированный перевод», 45.04.03 «Фундаментальная и прикладная лингвистика», профиль «Прикладная лингвистика и текстовая аналитика».
Программа составлена в соответствии с требованиями федерального государственного образовательного стандарта высшего профессионального образования.
Вступительные испытания в магистратуру проводят экзаменационные комиссии, назначенные председателем приёмной комиссии УУНиТ.
ПРОЦЕДУРА ВСТУПИТЕЛЬНОГО ИСПЫТАНИЯ
Дата и время проведения вступительного испытания и консультации определяются расписанием вступительных испытаний, которое утверждается председателем приемной комиссии.
Перед вступительным испытанием для поступающих проводится консультация по содержанию программы испытания, критериям оценки, предъявляемым требованиям, правилам поведения на испытании.
Форма вступительного испытания (в соответствии Положением о вступительных испытаниях УУНИТ): устно-письменная.
Вступительные испытания в виде устного, устно-письменного, устного с элементами тестирования проводятся в соответствии с программами вступительных испытаний, утверждаемых председателем приемной комиссии.
Экзаменационные билеты включают два или три вопроса по направлению подготовки (по специальности).
В аудитории, где проводится вступительное испытание в устной форме, не может находиться одновременно более 6 человек. Нахождение в аудитории посторонних лиц не допускается.
Абитуриенту предоставляется право готовиться к ответу в течение 30 минут.
Абитуриенту предоставляется право ответа на экзаменационные вопросы в течение 20-25 минут.
В процессе сдачи вступительного испытания абитуриенту могут быть заданы дополнительные вопросы как по содержанию экзаменационного билета, так и по любым разделам предмета в пределах программы вступительного испытания. Абитуриент, не согласный с оценкой, полученной на ВИ и (или) в связи с нарушением процедуры проведения ВИ имеет право подать апелляцию. Процедура подачи и рассмотрения апелляции регламентируется Положением об апелляционной комиссии УУНиТ.
КРИТЕРИИ ОЦЕНИВАНИЯ ОТВЕТА
Критериями оценки экзаменационного ответа, поступающего в магистратуру являются соответствие знаний, умений и навыков испытуемого в области языковой компетенции и в теоретическом владении наукой о языке уровню выпускника филологических направлений бакалавриата.
Результаты вступительного испытания определяются по 100-балльной шкале, шкала соответствия баллов представлена ниже в таблице:
|
№ |
Критерии оценивания |
Оценка |
|
1 |
|
85-100 баллов «отлично» |
|
2 |
|
65-84 балла «хорошо» |
|
3 |
|
45-64 баллов «удовлетворительно» |
|
4 |
|
0-44 баллов «неудовлетворительно» |
СОДЕРЖАНИЕ РАЗДЕЛОВ И ТЕМ ПРОГРАММЫ
ВСТУПИТЕЛЬНОГО ИСПЫТАНИЯ
Лексический материал
Объем словаря абитуриента для говорения «должен составлять примерно 2000 слов и выражений. В активный словарь абитуриента должны входить как общеупотребительные слова и выражения. Абитуриент должен узнавать и употреблять слова, образованные от известных корней с помощью суффиксов имен существительных -er, -merit, - tion(sion), -ing, -ness, -ity; имен прилагательных -ful, -less, -able, -y\ числительных -teen, -ty, th; наречий -ly\ префиксов прилагательных -un; глаголов - re; mis; dis. Абитуриент должен также узнавать и употреблять слова, образованные путем словосложения на основе наиболее продуктивных моделей английского языка.
Грамматический материал
Сложносочиненные и сложноподчиненные предложения. Типы придаточных предложений (придаточные определительные, объектные, обстоятельственные). Союзная и бессоюзная связь. Косвенная речь: повествовательные, побудительные и вопросительные предложения в косвенной речи. Инфинитивный, причастный и герундиальный обороты. Сложное дополнение в предложениях типа I want him to help me и в предложениях типа I saw him cross (crossing) the street. Инфинитив после глаголов let и make впредложениях типа Let me help you; She let us use her books; She made him wash the floor. Инфинитивный оборот в конструкции It takes me half an hour to do my morning exercises. Инфинитивный оборот в моделях со сложным подлежащим: He is said to be the brightest student in the group. Имя существительное. Множественное число существительных. Притяжательный падеж. Артикль. Использование определенного, неопределенного артикля или его отсутствие в следующих случаях: с исчисляемыми существительными единственного или множественного числа, когда они употребляются впервые; с существительными единственного и множественного числа, являющимися частью составного именного сказуемого; с существительными после оборотов there is/are ..., it is ..., this is ...; с существительными в роли приложения; перед словами a dozen, a hundred, a thousand, a million, в выражениях a lot of a great many of, с существительными в единственном и множественном числе, когда говорящему ясно, о каком предмете идет речь; с существительным, которое упоминается в контексте не первый раз; с существительными, перед которыми употреблено порядковое числительное, прилагательное в превосходной степени, одно из прилагательных following, next, last, same, only; с исчисляемыми или неисчисляемыми существительными, имеющими при себе уточняющее или ограничительное определение; с существительными, обозначающими предметы единственные в своем роде, например, the sun, the moon, the sky и т.п.; с исчисляемыми существительными при обозначении всего класса однородных предметов, например, The snowdrop is the first spring flower; с названиями водных бассейнов, горных цепей пустынь; с названиями государств; с названиями некоторых исторических зданий, музеев, библиотек, театров, организаций, например, the British Museum, the United Nations и т.п.; с названиями сторон света, с фамилиями для обозначения всей семьи в целом; с существительными в функции обращения; со словами father, mother, uncle и т.п.; с названиями дней недели и месяцев года; с существительными breakfast, dinner, lunch, supper, с существительными school, church, bed, prison', с существительными, определяемыми количественным числительным; в ряде устойчивых словосочетаний, включенных в программу общеобразовательной школы. Имя прилагательное. Степени сравнения прилагательных. Образование степеней сравнения с помощью суффиксов и вспомогательных слов. Супплетивный способ образования степеней сравнения. Глагол. Видовременные формы глагола. Употребление Present Indefmite для выражения обычных действий, происходящих постоянно или регулярно, для выражения серии следующих друг за другом действий, а также для обозначения будущего действия в придаточных времени и условия. Употребление Past Indefinite для выражения действий, завершенных в прошлом и не связанных с настоящим. Употребление Future Indefinite для выражения действий в будущем. Употребление времен группы Continuous: Present Continuous для выражения действия, происходящего в момент речи, а также для выражения запланированного действия в ближайшем будущем, Past Continuous и Future Continuous для обозначения действия, происходящего соответственно в определенный момент в прошлом или будущем. Употребление Present Perfect для выражения завершенных действий, результат которых ощущается в момент говорения. Употребление Past Perfect для выражения действия, совершавшегося до определенного момента в прошлом. Употребление Future Perfect для обозначения действия, которое завершается к определенному моменту в будущем. 6 Основные случаи употребления форм Present Perfect Continuous и Past Perfect Continuous. Основные случаи использования пассивного залога во временах групп Indefinite, Perfect, Continuous. Правила согласования времен. Употребление модальных глаголов can, may, must, should и их заменителей. Неличные формы глагола: простые формы инфинитива, причастия I, причастия II и герундия. Наречие. Образование степеней сравнения наречий при помощи суффиксов и вспомогательных слов. Употребление наречий already, yet, still, always, ever, never, too в утверждениях, отрицаниях и вопросах. Местоимение. Личные местоимения английского языка; именительный и объектный падежи. Притяжательные местоимения в присоединяемой и абсолютной формах. Указательные местоимения this, that, these, those. Возвратные местоимения. Неопределенные и отрицательные местоимения some, any, по, somebody, anybody, nobody, someone, anyone, none, something, anything, nothing, somewhere, anywhere, nowhere. Употребление some и его производных в утвердительных предложениях. Употребление any и его производных в утвердительных, отрицательных и вопросительных предложениях. Употребление nо и его производных в отрицательных предложениях. Употребление местоимений either, neither в отрицательных предложениях. Местоимения оther, another, the other, others, the others. Союз. Употребление союзов and, but, however, so, that, if, whether, when, because, though, as...as, both ... and, either... or, neither ... nor. Морфология (пассивная – для чтения и аудирования). Поступающие должны узнавать и понимать предложения, включающие в свой состав перфектный или длительный инфинитив, а также перфектное причастие. Графика и орфография Начертание строчных и заглавных букв, соединение букв. Правила замены конечной у на iе; правила удвоения согласных; правила сохранения и опускания конечной нечитаемой е при словоизменении и словообразовании. Правописание форм множественного числа существительных, оканчивающихся на -ss, -s, -х, -sh, -ch, -f -fe.
Переводоведение
1. Найти соответствие для слова или словосочетания при переводе с английского языка на русский язык.
2. При отсутствии соответствий, пользоваться наиболее распространенными способами переводческих трансформаций (замена, перестановка, генерализация, конкретизация и пр.)
3. Передавать на русском языке общее содержание текста любого жанра.
Демоверсия экзаменационного варианта
КАФЕДРА ЗАРУБЕЖНОЙ ЛИНГВИСТИКИ
Магистратура 45.04.01 Филология
Профиль «Теория и практика перевода и межкультурная коммуникация»
ЭКЗАМЕНАЦИОННЫЙ БИЛЕТ №1
Задание 1. Перевод художеств. текста: переведите устно приведенный ниже отрывок.
Задание 2. Стилистический анализ: найдите в тексте стилистические приемы и определите их тип.
Демоверсия экзаменационного варианта
КАФЕДРА ЗАРУБЕЖНОЙ ЛИНГВИСТИКИ
Магистратура 45.04.01 Филология
Профиль «Индоевропейские языки в контексте педагогического дизайна»
ЭКЗАМЕНАЦИОННЫЙ БИЛЕТ №1
Задание 1. Перевод художеств. текста: переведите устно приведенный ниже отрывок.
Задание 2. Морфологический анализ: проанализируйте грамматические конструкции.
Демоверсия экзаменационного варианта
КАФЕДРА ЛИНГВОДИДАКТИКИ И ПЕРЕВОДОВЕДЕНИЯ
Магистратура 45.04.02 Лингвистика
Профиль «Профессионально ориентированный перевод»
ЭКЗАМЕНАЦИОННЫЙ БИЛЕТ №1
Задание 1. Перевод художеств. текста: переведите устно приведенный ниже отрывок.
Задание 2. Анализ переводческих трансформаций.
Демоверсия экзаменационного варианта
КАФЕДРА ЗАРУБЕЖНОЙ ЛИНГВИСТИКИ
Магистратура 45.04.03 Фундаментальная и прикладная лингвистика
Профиль «Прикладная лингвистика и текстовая аналитика»
ЭКЗАМЕНАЦИОННЫЙ БИЛЕТ №1
Задание 1. Перевод художеств. текста: переведите устно приведенный ниже отрывок.
Задание 2. Лингвистический анализ: проанализируйте дискурсивные явления в тексте.
Пример текста для перевода:
DAY 1
Contact
1. The Country Of Lost Borders
A man with binoculars. That is how it began: with a man standing by the side of the road, on a crest overlooking a small Arizona town, on a winter night.
Lieutenant Roger Shawn must have found the binoculars difficult. The metal would be cold, and he would be clumsy in his fir parka and heavy gloves. His breath, hissing out into the moonlit air, would have fogged the lenses. He would be forced to pause to wipe them frequently, using a stubby gloved finger.
He could not have known the futility of this action. Binoculars were worthless to see into that town and uncover its secrets. He would have been astonished to learn that the men who finally succeeded used instruments a million times more powerful than binoculars.
There is something sad, foolish, and human in the image of Shawn leading against a boulder, propping his arms on it, and holding the binoculars to his eyes. Though cumbersome, the binoculars would at least feel comfortable and familiar in his hands. It would be one of the last familiar sensations before his death.
We can imagine, and try to reconstruct, what happened from that point on.
Lieutenant Shawn swept over the town slowly and methodically. He could see it was not large, just a half-dozen wooden buildings, set out along a single main street. It was very quiet: no lights, no activity, no sound carried by the gentle wind.
He shifted his attention from the town to the surrounding hills. They were low, dusty, and blunted, with scrubby vegetation and an occasional withered yucca tree crusted in snow. Beyond the hills were more hills, and then the flat expanse of the Mojave Desert, trackless and vast. The Indians called it the Country of Lost Borders.
Lieutenant Shawn found himself shivering in the wind. It was February, the coldest month, and it was after ten. He walked back up the road toward the Ford Econovan, with the large rotating antenna on top. The motor was idling softly; it was the only sound he could hear. He opened the rear doors and climbed into the back, shutting the doors behind him.
He was enveloped in deep-red light: a night light, so that he would not be blinded when he stepped outside. In the red light the banks of instruments and electronic equipment glowed greenly.
Private Lewis Crane, the electronics technician, was there, also wearing a parka. He was hunched over a map, making calculations with occasional reference to the instruments before him.
Shawn asked Crane if he were certain they had arrived at the place, and Crane confirmed that they had. Both men were tired: they had driven all day from Vandenberg in search of the latest Scoop satellite. Neither knew much about the Scoops, except that they were a series of secret capsules intended to analyze the upper atmosphere and then return. Shawn and Crane had the job of finding the capsules once they had landed.
In order to facilitate recovery, the satellites were fitted with electronic beepers that began to transmit signals when they came down to an altitude of five miles.
From M. Crichton’s The Andromeda Strain
СПИСОК ЛИТЕРАТУРЫ
(Теория перевода, стилистический анализ текста)
- Алексеева И.С. Введение в переводоведение: учеб. пособие для студ. филол. и лингв. факультетов высш. учеб. заведений. – СПб.: Филологический факультет СПбГУ; Издательский центр «Академия», 2013. – 352 с.
- Арнольд, И.В. Стилистика современного английского языка (стилистика декодирования): учеб. пособие / И.В. Арнольд. 3-е изд. – М.: Просвещение, 1990. – 300 с.
- Арнольд, И.В. Стилистика. Современный английский язык: учебник для вузов / И.В. Арнольд; науч. ред. П.Е. Бухаркин. – 10-е изд., стер. – М.: Флинта, 2010. – 384 с.
- Гальперин И.Р. Стилистика английского языка: учебник / И.Р. Гальперин. 3-е изд. – М.: Высш. шк., 1981.– 334 с.
- Гуревич, В.В. English Stylistics: Стилистика английского языка: учебное пособие / В.В. Гуревич. – Изд. 5-е. – М.: Флинта, 2011. – 69 с.
- Казакова Т.А.Художественный перевод: теория и практика: учебник. – СПб.: Инъязиздат, 2006. – 544 с.
- Комиссаров В.И. Современное переводоведение · Издательство: М.: Р.Валент; Издание 2-е, испр., 2011, 408 с.
- Комиссаров, В.Н. Теория перевода. Лингвистические аспекты: Учебник для ВУЗов - М.: Альянс, 2013. - 253 c.
- Крылова, М.Н. Средства художественной выразительности. Тропы: учебное пособие / М.Н. Крылова. – М.: Директ-Медиа, 2014. – 101 с.
- Кухаренко В.А. Практикум по стилистике английского языка: учеб. пособие / В.А. Кухаренко. – Изд. 6-е. – Москва: Флинта: Наука, 2012. – 183 с.
- Рецкер, Я. И. Теория перевода и переводческая практика. Очерки лингвистической теории перевода [Текст] / Я. И. Рецкер ; доп. и коммент. Д. И. Ермоловича. – 4-е изд., стер. – М.: Р. Валент, 2010. – 240 с.
- Солганик, Г.Я. Основы лингвистики речи: пособие / Г.Я. Солганик. – М.: МГУ, 2010. – 128 с.
- Стилистические аспекты перевода: учеб. пособие / О.А. Сулейманова и др. – М.: Академия, 2010. – 176 с
- Чанышева З.З. Перевод и переводоведение. – Уфа: РИЦ БашГУ, 2008. – 253 с.
- Швейцер, А.Д. Теория перевода: Статус, проблемы, аспекты / А.Д. Швейцер. - М.: КД Либроком, 2019. - 216 c.
Междисциплинарный экзамен по психологии и педагогике
ПРОГРАММА
вступительного испытания
для поступающих в магистратуру по направлениям подготовки
44.04.02 «Психолого-педагогическое образование»,
44.04.03 «Специальное (дефектологическое) образование»
программа (профиль)
«Психология и педагогика образования личности»,
«Психолого-педагогическое сопровождение лиц с ограниченными
возможностями здоровья»
ОБЩИЕ ПОЛОЖЕНИЯ
Вступительные испытания предназначены для определения практической и теоретической подготовленности поступающего в магистратуру и проводятся с целью определения соответствия знаний умений и навыков требованиям обучения магистратуры по направлениям подготовки 44.04.02 «Психолого-педагогическое образование» и 44.04.03 «Специальное (дефектологическое) образование».
Программа составлена в соответствии с требованиями федерального государственного образовательного стандарта высшего профессионального образования.
Вступительные испытания в магистратуру проводят экзаменационные комиссии, назначенные председателем приёмной комиссии УУНиТ.
ПРОЦЕДУРА ВСТУПИТЕЛЬНОГО ИСПЫТАНИЯ
Дата и время проведения вступительного испытания и консультации определяются расписанием вступительных испытаний, которое утверждается председателем приемной комиссии.
Перед вступительным испытанием для поступающих проводится консультация по содержанию программы испытания, критериям оценки, предъявляемым требованиям, правилам поведения на испытании.
Форма вступительного испытания (в соответствии Положением о вступительных испытаниях УУНИТ): устно-письменная.
Вступительные испытания в виде устного, устно-письменного, проводятся в соответствии с программами вступительных испытаний, утверждаемых председателем приемной комиссии.
Экзаменационные билеты включают два или три вопроса по направлению подготовки (по специальности).
В аудитории, где проводится вступительное испытание в устной форме, не может находиться одновременно более 6 человек. Нахождение в аудитории посторонних лиц не допускается.
Абитуриенту предоставляется право готовиться к ответу в течение 30 минут.
В процессе сдачи вступительного испытания абитуриенту могут быть заданы дополнительные вопросы как по содержанию экзаменационного билета, так и по любым разделам предмета в пределах программы вступительного испытания.
Абитуриент, не согласный с оценкой, полученной на ВИ и (или) в связи с нарушением процедуры проведения ВИ имеет право подать апелляцию. Процедура подачи и рассмотрения апелляции регламентируется Положением об апелляционной комиссии УУНиТ.
КРИТЕРИИ ОЦЕНИВАНИЯ ОТВЕТА
Критериями оценки экзаменационного ответа, поступающего в магистратуру являются полнота, логичность, доказательность, прочность, осознанность знаний и теоретическая обоснованность суждений, самостоятельность в интерпретации информации, практическая направленность, уровень овладения профессиональными умениями менеджера и др. В случае тестирования является правильные ответы на тестовые задания.
Результаты вступительного испытания определяются по 100-балльной шкале, разброс баллов представлен ниже в таблице:
|
№ |
Критерии оценивания |
Оценка |
|
1 |
Дан полный развернутый ответ на теоретический вопрос:
|
85-100 баллов «отлично» |
|
2 |
Данвцеломправильныйответна теоретическийвопрос:
|
67-84 балла «хорошо» |
|
3 |
Дан в основном правильный ответ на теоретический вопрос:
|
50-66 баллов «удовлетворительно» |
|
4 |
Дан фрагментарный ответ или неправильный ответ натеоретический вопрос из предложенного тематическогораздела:
|
0-49 баллов «неудовлетворительно» |
СОДЕРЖАНИЕ РАЗДЕЛОВ И ТЕМ ПРОГРАММЫ ВСТУПИТЕЛЬНОГО ИСПЫТАНИЯ
Тема 1. Педагогика как наука. Объект, предмет, задачи, функции, методы педагогики.
Общее представление о педагогике как науки. Предмет педагогической науки. Соотношение между объектом и предметом педагогики. Связь педагогики с другими науками. Функции педагогики: аналитическая, прогностическая, проективно-конструктивная. Методы педагогики. Теоретические и эмпирические методы. Метод наблюдения. Опросный метод. Метод тестирования. Метод изучения документов. Эксперимент.
Тема 2. Основные категории педагогики.
Образование, воспитание, обучение, педагогическая деятельность, педагогическое взаимодействие, педагогическая технология, педагогическая задача. Теории обучения, воспитания и развития.
Тема 3. Образование как общечеловеческая ценность.
Аксиологические основы методологии педагогики. Система аксиологических принципов педагогики. Аксиологический подход в изучении педагогических явлений. Понятие о педагогических ценностях. Классификация педагогических ценностей.
Тема 4. Образование как социокультурный феномен.
Возникновение и становление педагогической профессии. Гуманистическая, творческая и социокультурная природа педагогической профессии. Педагог как субъект культуры, носитель общечеловеческих ценностей.
Тема 5. Образовательная система России.
Характеристика образовательной системы России. Модернизация среднего общего и высшего профессионального образования. Основные положения Болонской декларации.
Тема 6. Система непрерывного образования.
Цели, содержание, структура непрерывного образования, единство образования и самообразования.
Тема 7. Педагогический процесс.
Предпосылки научного представления о педагогическом процессе как целостном явлении. Сущность целостного педагогического процесса. Закономерности педагогического процесса. Движущие силы педагогического процесса. Педагогическое взаимодействие, его виды. Классификация принципов педагогического процесса. Структура педагогического процесса. Основные компоненты педагогического процесса: цель, задачи, содержание, формы, методы, средства, результаты, оценка результатов.
Тема 8. Образовательная, воспитательная и развивающая функция обучения.
Цель и целеполагание в педагогике. Педагогические цели и образовательные стандарты. Соотношение понятий обучения и развития. Развитие личности в образовательном процессе. Конструирование образовательной траектории.
Тема 9. Воспитание в педагогическом процессе.
Планирование в воспитательном процессе. Основные требования, предъявляемые к планированию воспитательной работы. Понятие и сущность методов воспитания. Функции методов воспитания. Формы организации воспитательной работы. Контроль и коррекция воспитательной работы. Современные концепции воспитания.
Тема 10. Общие формы организации учебной деятельности.
Понятие учебной деятельности. Общие формы организации учебного процесса. Конструирование образовательной траектории.
Тема 11. Виды и формы учебных занятий.
Особенности учебной работы на лекции, семинарском, практическом занятиях, тренингах и деловых играх. Конструирование педагогической технологии. Конструирование индивидуальной образовательной траектории в различных технологиях обучения.
Тема 12. Методы, приемы, средства организации и управления педагогическим процессом.
Понятие о дидактике. Сущность методов и приёмов обучения, их взаимосвязь. Различные классификации методов обучения. Выбор методов обучения. Связь методов обучения с целями и логикой учебного процесса. Понятие средств обучения и их классификация.
Тема 13. Семья как субъект педагогического взаимодействия и социокультурная среда воспитания и развития личности.
Роль семьи в воспитании личности. Понятие стиля семейного воспитания. Характеристика детско-родительских отношений. Понятие о социокультурной и развивающей среде в воспитании и развитии личности.
Тема 14. Управление образовательными системами.
Сущность управления педагогическими системами и его основные принципы. Теория управления и разработка проблем управления образованием. Системный, деятельностный подход в управлении педагогическими системами. Закон «Об образовании» РФ. Принципы, задачи, система, стандарты образования. Национальная доктрина образования РФ. Внутришкольное управление. Внутришкольный менеджмент. Принципы управления педагогической системой.
Демоверсия экзаменационного варианта
1. П.Ф. Каптерев на рубеже XIX–XX вв. рассматривал воспитание и обучение в единстве как стороны целостного __________ ___________. (педагогического процесса)
2. В конце 80–90-х годов XX века отечественные ученые И.Я. Лернер, В.В. Краевский, В.А. Петровский, Б.М. Бим-Бад и др. признают, что воспитание и ____________ есть подсистемы единого процесса, который в современной отечественной психолого-педагогической литературе все чаще интерпретируется как образование. (обучение)
3. Если сравнить основные функции процессов обучения и воспитания, то в первую очередь надо отметить, что оба они реализуют в единстве три основные функции – образовательную, воспитательную и . (развивающую)
4. _____________ – это опыт вхождения человека в социальную среду и систему социальных связей и отношений, но также и активное воспроизводство им этой системы в своей жизнедеятельности. «Основываясь на субъект-субъектном подходе, – пишет А.В. Мудрик. (социализация)
5. _______________ – процесс образования индивидуальных способностей человека, овладение существующими формами мышления, сознания и самосознания. (формирование)
6. Известно, что _________________нельзя характеризовать только как теоретическую или только как прикладную науку. Эта наука, с одной стороны описывает и объясняет педагогические явления, с другой указывает, как нужно строить и педагогическую действительность:
– научно-теоретическая функция … отображает педагогическую действительность как она есть, как сущее,
– конструктивно-техническая функция отражает педагогическую действительность такой, какой она должна быть (как должное). (педагогику)
7. С позиции учителя ________________ оценкой будет оценка без пристрастия, без отношения учителя к ученику, как к «хорошему» или «плохому», а ______________ - оценка с учётом всех особенностей ученика, его отношения к учёбе, отношения учителя к ученику. (объективной, субъективная)
8. ________________ деятельность учителя – это особого рода деятельность, включающая в себя контроль, проверку, оценку и конечный результат – отметку, направленную со стороны педагога на ученика, с целью определения уровня знаний ученика и воздействия на него с положительной стороны. (оценочная)
9. По Ф.В. Костылеву, _______________ в любой деятельности всегда есть выражение отношения уровня достигнутого к тому, что должно быть сделано (к идеалу, образцу, шаблону). Она заложена в самой сущности человеческого поведения и любых его занятий. Так возникает саморегуляция, самоуправление на основе самооценки. (оценка)
10. В педагогике существуют различные подходы к интерпретации феномена дисциплины. Так, считающийся основоположником педагогической науки _______________________ разрабатывая идеал пансофической школы («школы всеобщей мудрости»), рассматривал дисциплину как «узы», связывающие работу, подлежащую исполнению, и действующих лиц. Он указывал, что «работа лица и дисциплина должны быть приведены в совершенный порядок». (Я.А. Коменский)
11. Наиболее выдающийся представитель педагогики российского зарубежья _____________ в 1920-е гг. доказывал, что дисциплина «возможна через нечто иное, чем она сама – через свободу как высшее просвечивающее в ней начало». По его мнению, дисциплина, обладающая высшей целью, которой служат и властные и подвластные, обращается к собственной воле и разуму подвластных, оставляет место для личной инициативы, предоставляет выбор средств и путей самостоятельному суждению дисциплинируемых, предполагает их ответственность. (С.И. Гессен)
12. В 1930-е гг. классик советской педагогики _________________________ протестовал против рассмотрения дисциплины как внешнего порядка или внешних мер, считая это самой гибельной ошибкой. «При таком взгляде на дисциплину, – подчеркивал он, – она всегда будет только формой подавления, всегда будет вызывать сопротивление детского коллектива и ничего не будет воспитывать, кроме протеста и желания скорее выйти из сферы дисциплины». (А.С. Макаренко)
13. Предлагая свое понимание дисциплины, писатель и публицист _____________________ отмечал, что «школа в нашем сознании – это прежде всего порядок. Учитель не может учить и ничему не научит, если в классе нет дисциплины. Чуть жестче, чуть мягче, но дисциплина. Дисциплина в распространенном понимании – это послушание, подчинение школьным порядкам. Дисциплина – это подчинение. Disciplus – ученик; ученик обязан слушать учителя. Но для чего? Чтобы учитель мог учить, чтобы класс и каждый из учеников в отдельности работали – учились и продвигались вперед, иначе школа перестает быть школой. Значит, конечный смысл дисциплины не в послушании, а в работе, в работоспособности класса и ученика. Дисциплина – это не послушание, а трудоспособность, сосредоточение на работе. Дисциплина класса измеряется продуктивностью его работы. И больше ничем». (Соловейчик С.Л.)
14. Идею свободного образования выдвинул и обосновал в начале 60-х годов XIX в. _________________. Он различал воспитание как стремление одного человека сделать другого таким, каков он есть сам, как действие насильственное, а потому незаконное и несправедливое, и образование как действие свободное, а потому законное и справедливое: «Образование есть свободное отношение людей, имеющее своим основанием потребность одного приобретать сведения, а другого – сообщать уже приобретенное им». (Жан-Жак Руссо)
15. _______________ стремился абсолютизировать свободу: «Истинный идеал воспитания заключается в том, чтобы действительно обеспечить свободное развитие личности, чтобы освободить развитие ребенка от всех уз и пут, которые обыкновенно налагаются на это развитие и носят очень скрытый и ухищренный характер, чтобы сделать последнее не зависимым от всяких факторов религиозного, политического и социального характера, поскольку эти факторы имеют тенденцию сковать это свободное развитие, и чтобы освобожденной таким образом воле ребенка доставить материал, в творческой работе над которым она могла бы пышно и богато развернуться». (К.Н. Вентцель)
16. Рамки функциональной грамотности открыты. Компоненты могут дополняться и проявляться в различных видах деятельности. Каждый компонент не имеет узко предметной направленности, реализуясь в предметном и интегративном единстве. Ниже представлены их краткие характеристики в контексте исследований PISA.
___________________ грамотность – это способность человека понимать, использовать и оценивать тексты, размышлять о них и заниматься чтением для того, чтобы достигать своих целей, расширять свои знания и возможности, участвовать в социальной жизни. (читательская)
17. Рамки функциональной грамотности открыты. Компоненты могут дополняться и проявляться в различных видах деятельности. Каждый компонент не имеет узко предметной направленности, реализуясь в предметном и интегративном единстве. Ниже представлены их краткие характеристики в контексте исследований PISA.
_________________________ грамотность – способность человека занимать активную гражданскую позицию по общественно значимым вопросам, осознавать влияние естественных наук на культуру общества.
Под математической грамотностью понимают способность человека применять и интерпретировать математические знания в разнообразных контекстах, использовать математические понятия, процедуры, инструменты для описания и прогнозирования явлений. (математическая)
18. Рамки функциональной грамотности открыты. Компоненты могут дополняться и проявляться в различных видах деятельности. Каждый компонент не имеет узко предметной направленности, реализуясь в предметном и интегративном единстве. Ниже представлены их краткие характеристики в контексте исследований PISA.
____________ грамотность помогает обучающимся ориентироваться в современном мире, она является дополнительной опцией исследования PISA и направлена на воспитание у подрастающего поколения культуры финансового поведения, умения грамотно управлять личными финансами. (финансовая)
19. Воспитание ребенка как формирование в структуре его личности социально-психологических новообразований совершается только путем:
А) целенаправленного педагогического воздействия
Б) активности, деятельности самого ребенка
В) педагогического управления
Г) восприимчивости ребенка к требованиям воспитателя
20. Идея индивидуализации обучения и воспитания — важнейшая педагогическая идея:
А) экзистенциалистов
Б) неотомистов
В) прагматиков
Г) позитивистов
21. Показателем понимания значения изученного может служить:
А) применение законов в конкретных практических ситуациях
Б) видение учеником ошибки в логике рассуждения
В) использование понятий и принципов в новых ситуациях
Г) преобразование материала из одной формы выражения в другую
22. Взаимосвязь между процессами воспитания и самовоспитания является:
А) содержанием педагогического процесса
Б) принципом педагогического процесса
В) формой организации педагогического процесса
Г) закономерностью педагогического процесса
23. Перевод информации в новые формы и определение взаимосвязей между идеями, фактами и ценностями свидетельствуют о достижении такой категории учебных целей, как:
А) понимание
Б) синтез
В) применение
Г) анализ
24. Исходным отношением в процессе педагогического взаимодействия является отношение:
А) ученик — коллектив
Б) ученик — учитель
В) ученик — ученик
Г) ученик — объект усвоения
25. Из перечисленных умений, к адаптационным умениям относятся:
А) снимать психологический барьер при работе над учебным материалом
Б) создавать средства наглядности (схемы, таблицы, правила, инструкции и т.д.) и использовать их в качестве ориентировочных опор
В) использовать активные методы обучения
Г) подходить к решению методических вопросов в зависимости от условий обучения
СПИСОК ЛИТЕРАТУРЫ
- Введение в педагогическую деятельность: Учеб. пособие для студ. высш. пед. учеб. заведений / А.С. Роботова, Т.В. Леонтьева, И.Г. Шапошникова и др.; Под ред. А.С. Роботовой. - М.: Издательский центр «Академия», 2002. - 208 с.
- Мижериков В.А., Ермоленко М.Н. Введение в педагогическую деятельность: Учебное пособие для студентов педагогических учебных заведений. - М.: Педагогическое общество России, 2002. - 268 с.
- Гребенкина Л.К. Введение в педагогическую деятельность: учебное пособие / Л.К. Гребенкина, Н.А. Жокина, О.В. Еремкина; Ряз. гос. ун-т им. С.А. Есенина. — 2-е изд., испр. и доп. — Рязань, 2009. — 156 с.
- Дополнительнаялитература
- Кукушин В.С. Введение в педагогическую деятельность: учеб. пособие. — 2-е изд. доп. и перераб .— М. : МарТ, 2005 .— 256 с .— Библиогр.: с. 251-253 .— ISBN 5-241-00113-1
- Сидоров С.В. Педагогика (введение в педагогическую деятельность, общие основы педагогики): Методические материалы для подготовки студентов к семинарским занятиям. – Шадринск, 2005. – 31 с.
Техносферная безопасность
ПРОГРАММА
вступительного испытания
для поступающих в магистратуру по направлению подготовки
20.04.01 «Техносферная безопасность»
программа (профиль)
«Менеджмент техносферной безопасности»
ОБЩИЕ ПОЛОЖЕНИЯ
Вступительные испытания предназначены для определения практической и теоретической подготовленности поступающего в магистратуру и проводятся с целью определения соответствия знаний умений и навыков требованиям обучения магистратуры по направлению подготовки 20.04.01 «Техносферная безопасность» (магистратура).
Программа составлена в соответствии с требованиями федерального государственного образовательного стандарта высшего профессионального образования.
Вступительные испытания в магистратуру проводят экзаменационные комиссии, назначенные председателем приёмной комиссии УУНиТ.
ПРОЦЕДУРА ВСТУПИТЕЛЬНОГО ИСПЫТАНИЯ
Дата и время проведения вступительного испытания и консультации определяются расписанием вступительных испытаний, которое утверждается председателем приемной комиссии.
Перед вступительным испытанием для поступающих проводится консультация по содержанию программы испытания, критериям оценки, предъявляемым требованиям, правилам поведения на испытании.
Форма вступительного испытания (в соответствии Положением о вступительных испытаниях УУНИТ): устно-письменная.
Вступительные испытания в виде устного, устно-письменного, устного с элементами тестирования проводятся в соответствии с программами вступительных испытаний, утверждаемых председателем приемной комиссии.
Экзаменационные билеты включают два или три вопроса по направлению подготовки (по специальности).
В аудитории, где проводится вступительное испытание в устной форме, не может находиться одновременно более 6 человек. Нахождение в аудитории посторонних лиц не допускается.
Абитуриенту предоставляется право готовиться к ответу в течение 30 минут.
Абитуриенту предоставляется право ответа на экзаменационные вопросы в течение 20-25 минут.
В процессе сдачи вступительного испытания абитуриенту могут быть заданы дополнительные вопросы как по содержанию экзаменационного билета, так и по любым разделам предмета в пределах программы вступительного испытания.
Абитуриент, не согласный с оценкой, полученной на ВИ и (или) в связи с нарушением процедуры проведения ВИ имеет право подать апелляцию. Процедура подачи и рассмотрения апелляции регламентируется Положением об апелляционной комиссии УУНиТ.
КРИТЕРИИ ОЦЕНИВАНИЯ ОТВЕТА
Критериями оценки экзаменационного ответа, поступающего в магистратуру являются полнота, логичность, доказательность, прочность, осознанность знаний и теоретическая обоснованность суждений, самостоятельность в интерпретации информации, практическая направленность, уровень овладения профессиональными умениями менеджера и др. В случае тестирования является правильные ответы на тестовые задания.
Результаты вступительного испытания определяются по 100-балльной шкале, разброс баллов представлен ниже в таблице:
|
№ |
Критерии оценивания |
Оценка |
|
1 |
Дан полный развернутый ответ на теоретический вопрос:
|
85-100 баллов «отлично» |
|
2 |
Дан в целом правильный ответ на теоретический вопрос:
|
67-84 балла «хорошо» |
|
3 |
Дан в основном правильный ответ на теоретический вопрос:
|
50-66 баллов «удовлетворительно» |
|
4 |
Дан фрагментарный ответ или неправильный ответ на теоретический вопрос из предложенного тематического раздела:
|
0-49 баллов «неудовлетворительно» |
СОДЕРЖАНИЕ РАЗДЕЛОВ И ТЕМ ПРОГРАММЫ ВСТУПИТЕЛЬНОГО ИСПЫТАНИЯ
- Введение в техносферную безопасность
Понятия биосферы, техносферы, экологической и окружающей среды, среды обитания. Презумпция потенциальной опасности любой деятельности человека. Экологическая обстановка в регионе, состояние условий труда на предприятиях области, проблемы и особенности чрезвычайных ситуаций в регионе.
- Безопасность жизнедеятельности
Введение в безопасность. Основные понятия и определения. Человек и техносфера. Идентификация и воздействие на человека вредных и опасных факторов среды обитания. Защита человека и среды обитания от вредных и опасных факторов природного, антропогенного и техногенного происхождения. Обеспечение комфортных условий для жизни и деятельности человека. Психофизиологические и эргономические основы безопасности. Чрезвычайные ситуации и методы защиты в условиях их реализации. Управление безопасностью жизнедеятельности.
- Ноксология
Связь ноксологии с естественными, техническими и социальными науками. Этапы развития человеко- и природозащитной деятельности в России. Опасность, условия ее возникновения и реализация. Источники, виды и классификация опасностей. Мониторинг опасностей.
- Безопасность труда
Правовые основы охраны труда. Система управления охраной труда в организациях. Вредные и опасные производственные факторы: источники, характеристики, классификация, воздействие на человека, нормирование, защита. Методы и средства защиты работающих от производственных опасностей. Специальная оценка условий труда.
- Психологические основы безопасности
Психофизиологические основы безопасности. Психологические проблемы опасных и экстремальных ситуаций. Психологические основы управления безопасностью в профессиональной деятельности. Психологическая помощь в экстремальных ситуациях.
- Управление техносферной безопасностью
Критерии безопасности и рисков в проблемах функционирования, модернизации и развития техносферы. Вредные факторы производственной среды, их влияние на организм человека и методы защиты. Методологические основы обеспечения безопасности в техносфере.
- Менеджмент безопасности
Международная организация по стандартизации ИСО. ISO 14001. ISO 45001. Интегрированная система менеджмента.
- Правовые основы безопасности
Система законодательства РФ и ее значение. Нормативные правовые акты Президента РФ. Постановления Правительства РФ и ведомственные нормативные акты. Законодательство РФ об охране окружающей среды и охране труда и здоровья населения. Международное сотрудничество в области охраны окружающей среды и безопасности жизнедеятельности. Международное сотрудничество в области охраны труда.
- Надзор и контроль в сфере безопасности
Правовые основы охраны труда, производственной и экологической безопасности. Контроль и надзор за соблюдением законодательства. Контрольно-надзорная деятельность в области гражданской обороны и защиты от чрезвычайных ситуаций. Ответственность за нарушение обязательных требований.
- Системы защиты среды обитания
Теоретические основы очистки газа. Сухая очистка газов. Мокрая очистка газов. Абсорбционное и адсорбционное оборудование. Защита от шумового загрязнения биосферы. Электромагнитные загрязнения биосферы. Защита от радиоактивного загрязнения биосферы. Механическая очистка сточных вод. Биологическая очистка сточных вод. Методы обезвреживания и утилизации отходов.
- Мониторинг безопасности
Основные закономерности и принципы развития экологических систем. Мониторинг безопасности жизнедеятельности. Методики и методы контроля безопасного состояния природно-технических систем.
- Системы промышленной безопасности
Теория и организация производственной безопасности. Защита от опасных производственных факторов. Пожаро- и взрывоопасность.
- Чрезвычайные ситуации и методы защиты
Понятие и сущность чрезвычайных ситуаций. Механизм возникновения и развития поражающих воздействий источников ЧС. Основные мероприятия защиты населения в ЧС. Обеспечение информационной поддержки при выявлении чрезвычайных ситуаций. Организация эвакуации населения при чрезвычайных ситуациях природного и техногенного характера. Организация и проведение АСДНР. Обеспечение населения средствами индивидуальной защиты. Инженерная защита населения. Организация защиты личного состава формирований, участвующих в ликвидации ЧС. Организация медицинской помощи в зоне чрезвычайной ситуации. Медико-тактическая Медико-биологическая защита населения в чрезвычайных ситуациях. Единая государственная система предупреждения и ликвидации чрезвычайных ситуаций (РСЧС). Организация оперативного (экстренного) реагирования при ликвидации ЧС. Учения и тренировки по гражданской обороне, предупреждению и ликвидации ЧС. Гражданская оборона, основы ее организации и ведения. Организация обучения населения в области гражданской обороны, защиты от чрезвычайных ситуаций, обеспечения пожарной безопасности и безопасности людей на водных объектах.
- Безопасность и устойчивое развитие
Исторические предпосылки появления концепции устойчивого развития. Основные положения и общенаучные основы устойчивого развития. Социальная миссия концепции устойчивого развития. Устойчивое развитие на региональном уровне. Россия и устойчивое развитие: проблемы перехода.
Демоверсия экзаменационного варианта
|
МИНИСТЕРСТВО НАУКИ И ВЫСШЕГО ОБРАЗОВАНИЯ РОССИЙСКОЙ ФЕДЕРАЦИИ ФЕДЕРАЛЬНОЕ ГОСУДАРСТВЕННОЕ БЮДЖЕТНОЕ ОБРАЗОВАТЕЛЬНОЕ УЧРЕЖДЕНИЕ ВЫСШЕГО ОБРАЗОВАНИЯ «УФИМСКИЙ УНИВЕРСИТЕТ НАУКИ И ТЕХНОЛОГИЙ» |
|
|
Вступительные испытания: по направлению 20.04.01 Техносферная безопасность Направленность (профиль) программы подготовки: "Менеджмент техносферной безопасности " Квалификация (степень) выпускника магистр |
|
|
Экзаменационный билет № 22
|
|
|
Дата утверждения: __.__.______ |
Заведующий кафедрой ______________________________ |
СПИСОК ЛИТЕРАТУРЫ
- Охрана труда: учебное пособие / В.А.Корж, А.В. Фролов, А.С. Шевченко ; под ред. А.В. Фролова. — М. : KHOPYC, 2016. — 424 с.
- Безопасность жизнедеятельности: Учебник для вузов / С.В. Белов, А.В. Ильницкая, А.Ф. Козьяков и др.; Под общ. ред. С.В.Белова. 7-е изд., стер. — М.: Высш.шк.,2007. — 616
- Кольцов, В.Б. Теоретические основы защиты окружающей среды : учебник для вузов / В.Б. Кольцов, О.В. Кондратьева ; ред. В.Б. Кольцова. - Москва: Прометей, 2018. - 734 с. : схем., табл. - Библиогр.: с. 661-663. - ISBN 978-5-906879-79-0 [Элeктpoнный pecypc]. - URL: http://bib1ioc1ub.ru/index.php?page=book&id=483194
- Веденёва, А.А. Системный подход в управлении охраной труда: учебное пособие / А.А. Веденёва - Санкт-Петербург : СПбГАУ, 2016. - 65 с. : ил., табл., схем.; [Электронный pecypc]. - URL: http://biblioc1ub.ru/index.php?page=book&id—446000
- Психологические основы безопасности человека: учеб. пособие / Н. И. Айзман, Р. И. Айзман, С. М. Зиньковская/ — Новосибирск: APTA, 2011. — 272 с.
- Ветошкин, А.Г. Нормативное и техническое обеспечение безопасности жизнедеятельности: учебно-практическое пособие : в 2 ч. / А.Г. Ветошкин. - Москва; Вологда: Инфра—Инженерия, 2017. - Ч. 1. Нормативно-управленческое обеспечение безопасности жизнедеятельности. - 471 с. : ил., схем., табл. - Библиогр. в кн. - ISBN 978-5—9729—0162—3; [Электронный pecypc].-URL: http://biblioclub.ru/index.php?page=book&id=466497
- Ветошкин, А.Г. Нормативное и техническое обеспечение безопасности жизнедеятельности : учебно-практическое пособие : в 2 ч. / А.Г. Ветошкин. - Москва ; Вологда : Инфра-Инженерия, 2017. - Ч. 2. Инженерно-технчческое обеспечение безопасности жизнедеятельности. - 653 с. : ил., схем., табл. - Библиогр. в кн. - ISBN 978—5—9729-0163-0 ; [Электронный pecypc].
- Васильев, С.И. Основы промышленной безопасности : учебное пособие : в 2-х ч. / С.И. Васильев, Л.Н. Горбунова, 2012. - Ч. 1. - 502 с. : табл., ил., граф. - Библиогр. в кн. - ISBN 978-5-7638-2320-2. - ISBN 978-5-7638—2321-9 (часть 1); [Электронный pecypc]. - URL: http://biblioclub.ru/index.php?page—book&id=364128.
Междисицплинарный экзамен по экономике и предпринимательству
ПРОГРАММА
вступительного испытания
для поступающих в магистратуру по направлению подготовки
38.04.01 «Экономика»
программа (профиль)
«Управление бизнесом в цифровой экономике»
ОБЩИЕ ПОЛОЖЕНИЯ
Вступительные испытания предназначены для определения практической и теоретической подготовленности поступающего в магистратуру и проводятся с целью определения соответствия знаний умений и навыков требованиям обучения магистратуры по направлению подготовки 38.04.01 «Экономика» (магистратура). Программа составлена в соответствии с требованиями федерального государственного образовательного стандарта высшего профессионального образования.
Вступительные испытания в магистратуру проводят экзаменационные комиссии, назначенные председателем приёмной комиссии УУНиТ.
ПРОЦЕДУРА ВСТУПИТЕЛЬНОГО ИСПЫТАНИЯ
Дата и время проведения вступительного испытания и консультации определяются расписанием вступительных испытаний, которое утверждается председателем приемной комиссии.
Перед вступительным испытанием для поступающих проводится консультация по содержанию программы испытания, критериям оценки, предъявляемым требованиям, правилам поведения на испытании.
Форма вступительного испытания (в соответствии Положением о вступительных испытаниях УУНИТ): устно-письменная.
Вступительные испытания в устно-письменной форме проводятся в соответствии с программами вступительных испытаний, утверждаемых председателем приемной комиссии.
В аудитории, где проводится вступительное испытание в устно-письменной форме, не может находиться одновременно более 6 человек. Нахождение в аудитории посторонних лиц не допускается.
Абитуриенту предоставляется право готовиться к ответу в течение 30 минут.
Абитуриенту предоставляется право ответа в течение 20-25 минут.
В процессе сдачи вступительного испытания абитуриенту могут быть заданы дополнительные вопросы как по содержанию ответа, так и по любым разделам предмета в пределах программы вступительного испытания.
Абитуриент, не согласный с оценкой, полученной на ВИ и (или) в связи с нарушением процедуры проведения ВИ имеет право подать апелляцию. Процедура подачи и рассмотрения апелляции регламентируется Положением об апелляционной комиссии УУНиТ.
КРИТЕРИИ ОЦЕНИВАНИЯ ОТВЕТА
Критериями оценки экзаменационного ответа, поступающего в магистратуру являются полнота, логичность, доказательность, прочность, осознанность знаний и теоретическая обоснованность суждений, самостоятельность в интерпретации информации, практическая направленность, уровень овладения профессиональными умениями и др. В случае тестирования является правильные ответы на тестовые задания.
Результаты вступительного испытания определяются по 100-балльной шкале, разброс баллов представлен ниже в таблице:
|
№ |
Критерии оценивания |
Оценка |
|
1 |
Дан полный развернутый ответ на теоретический вопрос:
|
85-100 баллов «отлично» |
|
2 |
Дан в целом правильный ответ на теоретический вопрос:
|
67-84 балла «хорошо» |
|
3 |
Дан в основном правильный ответ на теоретический вопрос:
|
50-66 баллов «удовлетворительно» |
|
4 |
Дан фрагментарный ответ или неправильный ответ на теоретический вопрос из предложенного тематического раздела:
|
0-49 баллов «неудовлетворительно» |
СОДЕРЖАНИЕ РАЗДЕЛОВ И ТЕМ ПРОГРАММЫ ВСТУПИТЕЛЬНОГО ИСПЫТАНИЯ
Раздел 1. Экономическая теория (продвинутый уровень).
- Предмет и метод экономики как науки, общественное производство и проблема выбора.
- Экономические системы общества. Возникновение и эволюция рыночной экономики. Системообразующие элементы рынка: товар и деньги. Конкуренция. Собственность.
- Основные субъекты рыночной экономики.
- Рыночный механизм: спрос, предложение, цена и рыночное равновесие. Рынки факторов производства.
- Формирование издержек производства и прибыли.
- Национальная экономика и общественное воспроизводство.
- Макроэкономическое равновесие. Цикличность развития и теория циклов. Безработица. Инфляция.
- Финансы, фискальная политика. Кредитно-банковская система.
- Экономика переходного периода. Международные экономические отношения. Валютный рынок.
Раздел 2. Оценка и управление стоимостью бизнеса.
- Цели и организация оценки стоимости активов и бизнеса. Система информации бизнеса.
- Основные подходы к оценке бизнеса: методы доходного подхода.
- Основные подходы к оценке бизнеса: методы сравнительного подхода.
- Основные подходы к оценке бизнеса: методы подхода.
- Оценка объектов недвижимости, машин, оборудования и транспортных средств.
Раздел 3. Экономический анализ и диагностика финансово-хозяйственной деятельности.
- Значение, задачи и методический инструментарий анализа и диагностики финансово-хозяйственной деятельности предприятия.
- Организация анализа и диагностики финансово-хозяйственной деятельности предприятия.
- Анализ производства и реализации продукции.
- Анализ себестоимости продукции (работ, услуг) предприятия.
- Маржинальный анализ в системе операционного менеджмента предприятия.
- Анализ финансовой устойчивости и платёжеспособности предприятия.
- Оценка эффективности финансово-хозяйственной деятельности предприятия.
- Диагностика потенциала предприятия.
Раздел 4. Стратегическое управление экономическими показателями и бизнес-процессами.
- Современная система взглядов на управление экономическими процессами организации с позиции бизнес-анализа.
- Экономический процесс: сущность, анализ и синтез понятия.
- Сущность и функции управления социально-экономическими процессами в организации.
- Методы анализа экономических процессов.
- Основные подходы к оптимизации бизнес-процессов организации.
Раздел 5. Экономическая политика.
- Сущностно-содержательная характеристика экономической политики государства.
- Денежно-кредитная политика Цели и принципы денежно-кредитной политики РФ.
- Бюджетная политика Цели и принципы бюджетной политики РФ.
- Налоговая (фискальная) политика.
- Инвестиционная политика Цели и задачи инвестиционной политики РФ.
- Внешнеэкономическая политика Цель и принципы внешнеэкономической политики.
- Политика в области труда и занятости, рынка рабочей силы, регулирования доходов.
- Региональная экономическая политика.
Пробный экзаменационный билет
ФГБОУ ВО «Уфимский университет науки и технологий»
Сибайский институт (филиал)
Программа магистратуры «Экономика»
УТВЕРЖДАЮ
Зав. кафедрой
экономики и менеджмента
____________/ __________
Экзаменационный билет № 1
- Цели и организация оценки стоимости активов и бизнеса. Система информации бизнеса
- Макроэкономическое равновесие. Цикличность развития и теория циклов. Безработица. Инфляция
СПИСОК ЛИТЕРАТУРЫ
Раздел 1.
- Блау, С.Л. Инвестиционный анализ: учебник / С.Л. Блау. - Москва: Дашков и Ко, 2016. - 256 с. - (Учебные издания для бакалавров). - ISBN 978-5-394-02333-0; То же [Электронный ресурс]. - URL: http://biblioclub.ru/index.php?page=book&id=230035
- Подгорный, В. В. Оценка и управление стоимостью бизнеса: учебное пособие для обучающихся 1 курса очной и 2 курса заочной форм обучения образовательной программы магистратуры направления подготовки 38.04.01 «Экономика» / В. В. Подгорный. —Донецк: Донецкая академия управления и государственной службы, 2021. —233с. —Текст: электронный
- Турманидзе, Т.У. Анализ и оценка эффективности инвестиций: учебник / Т.У. Турманидзе. - 2-е изд., перераб. и доп. - Москва: ЮНИТИ-ДАНА, 2014. - 247 с.: ил. - Библиогр. в кн. - ISBN 978-5-238-02497-4; То же [Электронный ресурс]. - URL: http://biblioclub.ru/index.php?page=book&id=448210
Раздел 2.
- Экономическая теория (политэкономия) : учебник / под общ. ред. дра экон. наук, проф., засл. деят. науки РФ Г.П. Журавлевой. — 5-е изд. — М. : ИНФРА-М, 2022. — 864 с. — (Высшее образование). http://znanium.com/catalog.php?bookinfo=872682
- Аскеров Н.С. Микроэкономика: политэкономические основы: учебник для вузов/ Аскеров Н.С. – Махачкала: Издательство Дагестанского государственного университета, 2021. - 313 с.
- Худокормов, А.Г. Экономическая теория в историческом развитии: взгляд из Франции и России : монография / под общ. ред. А.Г. Худокормова, А. Лапидюса. – М. : ИНФРА-М, 2019. – 668 с. [Электронный ресурс; Режим доступа http://www.znanium.com]. – (Научная мысль). – www.dx.doi.org/10.12737/19426.
- Экономическая теория : Полный курс МВА / Станковская И.К., Стрелец И.А. - М.: Рид Групп, 2021. - 480 с.: ISBN 978-5-4252-0255-0 http://znanium.com/catalog.php?bookinfo=926855.
Раздел 3.
- Савицкая, Г.В. Анализ хозяйственной деятельности: учебник / Г.В. Савицкая. – 4-е изд., испр. – Минск: РИПО, 2016. – 374 с. [Электронный ресурс]. – URL: http://biblioclub.ru/index.php?page=book&id=463334
- Чернышева Ю.Г. Анализ и диагностика финансово-хозяйственной деятельности предприятия (организации): Учебник [Электронный ресурс]: Инфра-М, 2021 – 421 с. – Режим доступа: https://znanium.com/catalog/document?id=367391
- Губина О.В., Губин В.Е. Анализ финансово-хозяйственной деятельности: Учебник [Электронный ресурс]: Издательский Дом ФОРУМ, 2021 – 335 с. – Режим доступа: https://znanium.com/catalog/document?id=360654
Раздел 4.
- Данилкина, Ю. В. Стратегический менеджмент : учебно-методическое пособие / Ю. В. Данилкина, А. О. Яковлева. — Москва : РТУ МИРЭА, 2021. — 82 с. — Текст : электронный // Лань : электронно-библиотечная система. — URL: https://e.lanbook.com/book/176558.
- Москвин, А.М. Стратегическое управление предприятием (организацией): Конспект лекций для студентов направления подготовки 38.04.01 «Экономика» дневной и заочной форм обучения / сост. А.М. Москвин; Федер. гос. бюджет. образоват. учреждение высш. образования “Керч. гос. мор. технолог. ун-т”, Каф. экономики. – Керчь, 2016. – 94 с. — Текст : электронный // Электронная библиотека ФГБОУ ВО «КГМТУ». — URL: https://lib.kgmtu.ru/?cat=534.
- Москвин А.М. Стратегическое управление предприятием (организацией): метод. указ. по выполнению курсовой работы для студентов направления подгот. 38.04.01 «Экономика» оч. и заоч. форм обучения / сост.: А.М. Москвин ; Федер. гос. бюджет. образоват. учреждение высш. образования «Керч. гос. мор. технолог. ун-т», Каф. «Экономика предприятия». — Керчь, 2015. — 24 с. — Текст : электронный // Электронная библиотека ФГБОУ ВО «КГМТУ». — URL: https://lib.kgmtu.ru/?cat=534.
- Москвин А.М. Стратегическое управление предприятием (организацией) : практикум по самостоят. работе и по выполнению контрол. работы для студентов направления подгот. 38.04.01 “Экономика” оч. и заоч. форм обучения / сост.: А.М. Москвин ; Федер. гос. бюджет. образоват. учреждение высш. образования “Керч. гос. мор. технолог. ун-т”, Каф. экономики. – Керчь, 2019. – 93 с. — Текст : электронный // Электронная библиотека ФГБОУ ВО «КГМТУ». — URL: https://lib.kgmtu.ru/?cat=534.
Раздел 5.
- Роик, В. Д. Социальная политика государства: социальная сплоченность : учебное пособие для вузов / В. Д. Роик. — Москва : Издательство Юрайт, 2024. — 468 с. —(Высшее образование). — ISBN 978-5-534-12613-6. — Текст : электронный //Образовательная платформа Юрайт [сайт]. — URL: https://urait.ru/bcode/543238.
- Черник, Д. Г. Налоговая политика государства : учебник для вузов / Д. Г. Черник, Ю. Д. Шмелев, М. В. Типалина ; под редакцией Д. Г. Черника. — 2-е изд., перераб. И доп. — Москва : Издательство Юрайт, 2024. — 471 с. — (Высшее образование). —ISBN 978-5-534-15691-1. — Текст : электронный // Образовательная платформа Юрайт [сайт]. — URL: https://urait.ru/bcode/536206.
- Макроэкономика : учебник для вузов / С. Ф. Серегина [и др.] ; под редакцией С. Ф. Серегиной. — 4-е изд., испр. и доп. — Москва : Издательство Юрайт, 2024. — 477 с. —(Высшее образование). — ISBN 978-5-534-13156-7. — Текст : электронный // Образовательная платформа Юрайт [сайт]. — URL: https://urait.ru/bcode/535556.
- Розанова, Н. М. Монетарная экономика. Практикум : учебное пособие для вузов / Н. М. Розанова. — Москва : Издательство Юрайт, 2024. — 454 с. — (Высшее образование). — ISBN 978-5-534-02677-1. — Текст : электронный // Образовательная платформа Юрайт [сайт]. — URL: https:// urait.ru/ bcode/537316.
- Национальная экономика : учебник и практикум для вузов / А. В. Сидорович [и др.] ; под редакцией А. В. Сидоровича. — 2-е изд., перераб. и доп. — Москва : Издательство Юрайт, 2024. — 564 с. — (Высшее образование). — ISBN 978-5-534-16202-8. — Текст : электронный // Образовательная платформа Юрайт [сайт]. — URL: https:// urait.ru/ bcode/537218
Основы государственного и муниципального управления
ПРОГРАММА
вступительного испытания
для поступающих в магистратуру по направлению подготовки
38.04.04 «Государственное и муниципальное управление»
программа (профиль)
«Управление государственными проектами и программами»
ОБЩИЕ ПОЛОЖЕНИЯ
Вступительные испытания предназначены для определения практической и теоретической подготовленности поступающего в магистратуру и проводятся с целью оценки соответствия знаний умений и навыков требованиям обучения магистратуры по направлению подготовки 38.04.04 «Государственное и муниципальное управление» (магистратура) по (профилю) программе «Управление государственными проектами и программами». Программа составлена в соответствии с требованиями федерального государственного образовательного стандарта высшего профессионального образования.
Вступительные испытания в магистратуру проводят экзаменационные комиссии, назначенные председателем приёмной комиссии УУНиТ.
ПРОЦЕДУРА ВСТУПИТЕЛЬНОГО ИСПЫТАНИЯ
Дата и время проведения вступительного испытания и консультации определяются расписанием вступительных испытаний, которое утверждается председателем приемной комиссии.
Перед вступительным испытанием для поступающих проводится консультация по содержанию программы испытания, критериям оценки, предъявляемым требованиям, правилам поведения на испытании.
Форма вступительного испытания (в соответствии Положением о вступительных испытаниях УУНИТ): тестирование.
Вступительные испытания в виде электронного тестирования проводятся в соответствии с программами вступительных испытаний, утверждаемых председателем предметной комиссии.
Вступительные испытания в форме тестирования включают вопросы как закрытого, так и открытого типа, а также задания в аудио- и видеоформатах.
Составление вариантов экзаменационных заданий в форме электронных тестов осуществляется ответственным секретарем приемной комиссии университета.
Из вариантов экзаменационных заданий формируются комплекты вопросов-тестов.
Компоновку комплектов вопросов-тестов ответственный секретарь, заместитель ответственного секретаря производят до вступительных испытаний.
Тест содержит 40 тестовых вопросов.
Результаты испытаний оцениваются по 100 бальной шкале.
Абитуриент, не согласный с оценкой, полученной на ВИ и (или) в связи с нарушением процедуры проведения ВИ имеет право подать апелляцию. Процедура подачи и рассмотрения апелляции регламентируется Положением об апелляционной комиссии УУНиТ.
КРИТЕРИИ ОЦЕНИВАНИЯ ОТВЕТА
Критериями оценки экзаменационного ответа, поступающего в магистратуру являются полнота, логичность, доказательность, прочность, осознанность знаний и теоретическая обоснованность суждений, самостоятельность в интерпретации информации, практическая направленность, уровень овладения профессиональными умениями менеджера и др. В случае тестирования является правильные ответы на тестовые задания.
При проверке количество первичных баллов переводится в итоговую 100 балльную шкалу через информационную платформу университета.
СОДЕРЖАНИЕ РАЗДЕЛОВ И ТЕМ ПРОГРАММЫ ВСТУПИТЕЛЬНОГО ИСПЫТАНИЯ
- Понятие управления и государственного управления.
Государственное управление как объект изучения. Объект и предмет системы государственного управления, как отдельной научной дисциплины. Содержание понятий - государство, политика, государственное управление и власть. Система государственного управления – политико-правовая и социальная наука. Разные подходы к взаимосвязи политики и управления. Содержание системы государственного управления как отдельной научной дисциплины. Система государственного управления – как комплексная наука. Ориентировочные блоки понятий, составляющие изучаемую науку.
- Государство как субъект управления общественными процессами.
Многообразие подходов к определению государства. Государство как многомерное явление. Признаки государства. Государство – форма общества, территориальная организация людей. Институт гражданства. Соотношение «власти» и интересов граждан. Национальные интересы. Всеобщая воля. Легитимная монополия государства на законодательство и принуждение по его реализации. Сущность государства. Понятие государственного аппарата. Государство – как форма общества. Открытость государства. Степень вовлечения граждан в процессы деятельности государства.
- Формы государственного устройства, их особенности.
Типология государств. Понятие формы государственного правления. Разделение государств по форме правления (монархия; республика – парламентская, президентская, смешанная). Политико-административное устройство государства. Формы политико-административного устройства государств (унитарное, федеративное, конфедеративное). Политический режим. Типы политических режимов: демократический, авторитарный, тоталитарный.
- Государственная политика: понятие и основные направления.
Формирование государственной политики и ее реализация. Определение понятия «государственная политика». Элементы государственной политики. Характерные черты государственной политики, как одной из форм общественной деятельности. Процесс реализации государственной политики (четыре основных этапа). Условия реализации государственной политики (государственно-правовые, социально-психологические, деятельностно-практические).
- Государственный аппарат. Структура и функции.
Аппарат ГУ: понятие, структура, функции. Государственный орган, его определение, деятельность и функции. Государственный служащий.
- Государственная служба и ее виды.
Кадры государственной службы. Кадры и персонал. Кадровые процессы в системе государственного управления. Кадровое обеспечение государственной службы. Административно-правовой статус государственного служащего. Понятие государственной кадровой политики, ее сущностное содержание. Приоритетные направления государственной кадровой политики госслужбы.
Государственная служба как публично-правовой институт. Законодательство о государственной службе в России. Функции госслужбы (административно-распределительные, функционального регулирования, регламентирования, координации, административно-исполнительные, профессионально-управленческие). Государственная служба и государственные органы. Соотношение понятий «государственная служба» и «публичные службы». Государственная служба как правовой институт (понятия публичного права, корпоративного права, субъективного права). Основные направления реформирования государственной службы. Виды государственной службы.
Профессия государственного служащего. Административно-правовой статус государственного служащего. Определение государственного служащего. Субъекты госслужбы, их права и обязанности. Сущностные черты государственного служащего. Особенности труда государственного служащего. Общегражданские права и обязанности госслужащего. Служебные права и обязанности (права и обязанности, относящиеся к существу служебной деятельности, права и обязанности, сопутствующие статусу госслужащих). Правонарушения и ответственность госслужащего за них. Классификация государственных служащих.
Управление государственной службой. Понятие кадровой службы. Система органов управления государственной службой. Механизм кадрового обеспечения государственных органов. Источники правового регулирования государственной службы в Российской Федерации и Республике Башкортостан.
- Государство и гражданское общество.
Гражданское общество: понятие и структура. Гражданское общество как система жизнедеятельности общества, автономная по отношению к государственной власти, выражающая частные (индивидуальные, групповые, корпоративные) интересы граждан, регулирующая эти интересы. Условия формирования гражданского общества.
Гражданское общество и государство.
Специфика государственного управления в условиях гражданского общества Границы управления. Предоставление возможности выбора. Управление как обеспечение участия. Поддержка общественных институтов и инициатив. Опора на интеллектуальную элиту. Создание юридической базы и гарантий безопасности. Изменение языка общения.
Проблема формирования гражданского общества в России. Институты гражданского общества. Общественная палата.
- Система государственного управления в Российской Федерации.
Конституционные основы государственного и муниципального управления в России. Субъекты государственного и муниципального управления. Объекты государственного и муниципального управления.
Структура федеральных органов государственного управления. Президент Российской Федерации: статус и функции. Администрация Президента. Органы законодательной власти. Федеральное собрание: порядок формирования и полномочия. Совет Федерации. Государственная Дума.
Правительство Российской Федерации. Судебная система России.
Государственный совет в системе власти России. Структура органов власти в Республике Башкортостан.
- Президент Российской Федерации: статус и функции.
Конституционно – правовой статус Президента РФ. Место института президента в системе разделения властей. Взаимодействие президента с иными органами власти. Виды и формы ответственности Президента. Администрация Президента РФ. Полномочные представители Президента РФ в федеральных округах. Совет Безопасности Российской Федерации: правовой статус, структура и основные направления деятельности. Государственный Совет как совещательный орган при Президенте РФ: порядок формирования и направления деятельности.
- Правительство Российской Федерации.
Состав и структура Правительства РФ, порядок его формирования, функции и регламент работы, направления деятельности Правительства.
- Законодательная власть в Российской Федерации.
Структура и состав Законодательной власти в РФ, порядок формирования, функции и принципы деятельности.
- Формы территориального устройства государства.
Основные формы территориального устройства государства: федерации, унитарные государства, конфедерации. Формы политико-территориального устройства. Состав и особенности административно-территориальных единиц.
- Специфика административно-территориального устройства России.
Понятие административно-территориальной организации устройства РФ. Федерализм как форма организации и принцип государственного управления. Понятие федерализма. Федерализм, как принцип государственного управления. Территориальное распределение полномочий. Федерализм, как принцип внутригосударственных отношений. Противоречия между центром и региональными субъектами. Регион. Автономия. Суверенитет. Понятие субъекта Российской Федерации.
- Местное самоуправление. Специфика местного самоуправления в России.
Понятие местного самоуправления. Участие населения в местном самоуправлении. Исторические формы местного самоуправления. Теоретические концепции муниципального управления. Модели организации муниципального управления. Современная российская модель организации муниципального управления. Муниципальное право. Система органов местного самоуправления. Муниципальные органы.
Принципы организации местного самоуправления. Нормативное регулирование местного самоуправления в России. Функции местного самоуправления.
Вопросы местного значения. Государственные полномочия по регулированию местного самоуправления. Виды полномочий. Система правовых гарантий местного самоуправления. Делегирование государственных полномочий в практике местного самоуправления. Разграничение полномочий в области местного самоуправления.
- Органы местного самоуправления. Структура и функции.
Общая характеристика муниципальной власти как управляющей подсистемы. Система органов местного самоуправления. Принципы построения организационных структур муниципального управления. Представительный орган и его роль. Взаимоотношения представительного органа и администрации. Глава местного самоуправления и его роль в системе муниципального управления. Коллегия, департаменты, управления, отделы и комитеты. Структура местной администрации, распределение функций и полномочий. Типы структур администрации. Отраслевые, функциональные и обеспечивающие подразделения. Организационная структура Администрации муниципального образования. Планирование деятельности и контроль исполнения. Современные проблемы муниципального управления.
- Государственная власть и местное самоуправление: механизм взаимодействия.
Конституционно-правовая организация властных отношений в Российской Федерации. Разграничение функций каждого из органов публичной власти. Принцип государственных гарантий местного самоуправления. Принцип организационного обособления местного самоуправления. Принцип тесного взаимодействия систем государственного и муниципального управления. Принцип ограниченности, предельности компетенции систем государственного и муниципального управления. Полномочия федеральных органов государственной власти в области местного самоуправления. Случаи осуществления органами государственной власти исполнительно-распорядительных полномочий в сфере местного самоуправления. Наделение органов местного самоуправления отдельными государственными полномочиями Российской Федерации. Участие органов местного самоуправления в осуществлении иных государственных полномочий.
17. Социальное управление и менеджмент
Социальная сущность управленческой деятельности. Управленческая деятельность как результат общественного разделения труда. Структура управления. Функции управления. Основные законы и принципы управления. Основные формы, методы управленческой деятельности.
Управленческие отношения как специфический вид социальных отношений. Структура управленческих отношений. Сущность управленческих отношений. Управленческие отношения как продукт управленческой деятельности: характер связи между управленческой деятельностью и управленческими отношениями. Виды управленческих отношений. Уровни, предмет, объект, субъект и структура управленческих отношений. Отношения зависимости и власти. Лидерство в системе управленческих отношений. Социологические и психологические теории лидерства.
Управление людьми и деятельностями по А. Файолю как основание для выделения типов линейных и функциональных типов управленцев.
Социальные факторы, формирующие стиль управления. Социальный контроль и стиль управления. Статусно-должностная иерархия в управленческих отношениях. Отношения руководства-подчинения как социальное взаимодействие.
Управленческие кадры. Полномочия, ответственность и качество исполнения управленческих ролей. Проблема корпоративной солидарности управленческого персонала. Социальный портрет современных государственных и муниципальных служащих (по материалам социологических исследований).
Пути и средства модернизации системы управленческих отношений в современном российском обществе.
Социальные технологии в системе управления. Основные виды, этапы социальных технологий. Методы и показатели оценки социальной эффективности управления.
Управление и менеджмент организации. Социальная организация как система. Типы и структура социальной организации. Бюрократическая организация. Организационное развитие. Мотивация и стимулирование труда. Организационная культура в системе культуры управления: ее содержание и структура. Социально-культурные качества управленца и проблема их формирования. Знание как основа реализации управленческой культуры.
Исторические предпосылки возникновения теории и практики управления. Этапы развития управленческой практики и теории. Причины появления менеджмента. Основные теоретические подходы к классификации этапов развития современного менеджмента (к ХIХ-ХХI века). Историко-сравнительный анализ содержания понятий «управление», «государственное управление», «административное управление», «менеджмент».
Демоверсия экзаменационного варианта
1. Должность президента относится к _________________ветви власти:
а) законодательной
б) исполнительной
в) судебной
г) не относится ни к одной из ветвей власти
2. Ставка НДФЛ для части годового дохода выше 5 млн руб. и до 20 млн руб. включительно__%
Ответ: __________
3. Установите правильное соответствие между названием органа власти (государственной должности) и полномочием:
|
Президент РФ |
право вето |
|
Государственная Дума ФС РФ |
объявление амнистии |
|
Совет Федерации ФС РФ |
назначение судей Конституционного Суда РФ |
|
Правительство РФ |
разработка проекта бюджета |
4. Муниципальная служба Российской Федерации регулируется:
а) ФЗ «О муниципальной службе в РФ»
б) ФЗ «Об основах муниципальной службы в РФ»
в) Конституцией РФ
г) Указом Президента «О муниципальной службе в РФ»
5. Федеральный закон от 20.03.2025 N 33-ФЗ «Об общих принципах организации местного самоуправления в единой системе публичной власти» вступил в силу на всей территории Российской Федерации:
а) с 20 марта 2025 года
б) с 1 января 2027 года
в) с 1 января 2026 года
г) с 20 июня 2025 года
6. В какой срок представители органов МСУ обязаны дать ответ обратившемуся гражданину?
а) в течение 14 дней;
б) в течение 20 дней;
в) в течение 30 дней;
г) в течение 45 дней.
7. Собрания граждан проводятся для:
а) информирования населения о деятельности органов МСУ;
б) для обсуждения проектов муниципальных правовых актов;
в) для выявления мнения населения;
г) для решения вопросов местного значения.
8. Затраты на содержание органов местного самоуправления осуществляются:
а) за счет собственных доходов бюджета муниципального образования;
б) за счет собственных доходов бюджета муниципального образования и трансфертов из бюджета субъекта РФ;
в) за счет собственных доходов бюджета муниципального образования и трансфертов из федерального бюджета;
г) из фонда муниципального развития.
9. Высшей юридической силой в системе муниципальных нормативно-правовых актов обладает:
а) устав муниципального образования;
б) решение представительного органа муниципального образования;
в) постановление главы муниципального образования;
г) постановление главы местной администрации.
10. Формирование, утверждение и исполнение местного бюджета осуществляется:
а) органами государственной власти;
б) органами местного самоуправления;
в) совместно органами государственной власти и органами местного самоуправления;
г) главой местной администрации.
СПИСОК ЛИТЕРАТУРЫ
а) нормативно-правовые акты
- «Конституция Российской Федерации» (принята всенародным голосованием 12.12.1993 с изменениями, одобренными в ходе общероссийского голосования 01.07.2020) [Электронный ресурс] // СПС «Консультант Плюс».
- Конституция Республики Башкортостан: от 24.12.1993 г. №ВС-22/15 [Электронный ресурс]: (ред. от 01.10.2021 г.) // СПС «Консультант Плюс». Республика Башкортостан.
- Федеральный конституционный закон от 06.11.2020 N 4-ФКЗ «О Правительстве Российской Федерации» [Электронный ресурс] // СПС «Консультант плюс».
- Гражданский Кодекс Российской Федерации (часть первая) от 30.11. 1994 г. №51-ФЗ [Электронный ресурс]: (ред. от 31.10.2024.) // СПС «Консультант Плюс».
- Федеральный закон от 10 января 2003 г. N 19-ФЗ «О выборах Президента Российской Федерации» (с изменениями и дополнениями) [Электронный ресурс] // СПС «Консультант Плюс».
- Федеральный закон от 06.10.2003 N 131-ФЗ (ред. от 23.03.2024) «Об общих принципах организации местного самоуправления в Российской Федерации» [Электронный ресурс]// СПС «Консультант плюс».
- Федеральный закон от 20.03.2025 N 33-ФЗ "Об общих принципах организации местного самоуправления в единой системе публичной власти"[Электронный ресурс] // СПС «Консультант Плюс».
- Федеральный закон «О системе государственной службы Российской Федерации» от 27.05.2003 г. №58-ФЗ (в посл.ред.) [Электронный ресурс] // СПС «Консультант плюс».
- Федеральный закон «О государственной гражданской службе Российской Федерации» от 27.07.2004 г. №79-ФЗ (ред. от 27.11. 2023) [Электронный ресурс] // СПС «Консультант плюс».
- Федеральный закон от 22.12.2020 N 439-ФЗ «О порядке формирования Совета Федерации Федерального Собрания Российской Федерации» [Электронный ресурс] // СПС «Консультант плюс».
- Федеральный закон «О муниципальной службе в Российской Федерации» от 02.03.2007 №25-ФЗ (с посл. изм. от 23.03.2024 N 347-ФЗ) [Электронный ресурс] // СПС «Консультант плюс».
- Указ Президента РФ от 21.05.2012 N 636 (ред. от 08.08.2023, с изм. от 17.06.2024) «О структуре федеральных органов исполнительной власти» [Электронный ресурс] // СПС «Консультант плюс».
- Закон Республики Башкортостан от 25 декабря 2014 года N 163-з «О Главе Республики Башкортостан» [Электронный ресурс] // Электронный фонд нормативно-правовой и технической документации
- Закон Республики Башкортостан от 30.12.2002 г. №448-з «О Государственном собрании – Курултае Республики Башкортостан» [Электронный ресурс]: (с изменениями на 19 сентября 2023 года) [Электронный ресурс] // СПС «Консультант плюс». Республика Башкортостан.
б) литература
- Александрова, О. А. Социальное управление : учебное пособие / О. А. Александрова. — 2-е изд., с изм. и доп. — Москва : Прометей, 2023. — 422 с. — ISBN 978-5-00172-434-6. — Текст : электронный // Лань : электронно-библиотечная система. — URL: https://e.lanbook.com/book/370238 (дата обращения: 10.04.2025).
- Байнова, М.С. Система государственного и муниципального управления : учебник : [16+] / М.С. Байнова, Н.В. Медведева, Ю.С. Рязанцева. – Москва ; Берлин : Директ-Медиа, 2020. – 362 с.
- Барциц, И.Н. Система государственного и муниципального управления : в 2 томах : [16+] / И.Н. Барциц ; Российская академия народного хозяйства и государственной службы при Президенте Российской Федерации. – Москва : Дело, 2019. – Том 2. – 545 с.
- Банных, Г. А. Организация предоставления государственных и муниципальных услуг : учебное пособие / Г. А. Банных, С. Н. Костина, Л. И. Воронина ; под общ. ред. С. Н. Костиной ; Уральский федеральный университет им. первого Президента России Б. Н. Ельцина. – Екатеринбург : Издательство Уральского университета, 2019. – 127 с. : схем., табл. – Режим доступа: по подписке. – URL: https://biblioclub.ru/index.php?page=book&id=697284 (дата обращения: 06.04.2025). – Библиогр. в кн. – ISBN 978-5-7996-2668-6. – Текст : электронный.
- Государственные и муниципальные финансы : учебник / Н. Д. Эриашвили, Т. Ш. Тиникашвили, А. Е. Суглобов [и др.] ; под ред. Г. Б. Поляк, Т. Ш. Тиникашвили. – 5-е изд., перераб. и доп. – Москва : Юнити-Дана, 2020. – 401 с. : схем., табл., ил. – Режим доступа: по подписке. – URL: https://biblioclub.ru/index.php?page=book&id=685314 (дата обращения: 06.04.2025). – Библиогр. в кн. – ISBN 978-5-238-03389-1. – Текст : электронный.
- Государственное и корпоративное управление : Интегрированное учебное пособие / А. П. Агарков, Б. А. Геренрот, Е. А. Ерохина [и др.] ; под ред. А. П. Агаркова. – 2-е изд. – Москва : Дашков и К°, 2022. – 236 с. : схем., табл. – Режим доступа: по подписке. – URL: https://biblioclub.ru/index.php?page=book&id=696999 (дата обращения: 06.04.2025). – Библиогр. в кн. – ISBN 978-5-394-04717-6. – Текст : электронный.
- Ершова, Н. А. Менеджмент : учебное пособие / Н. А. Ершова, Н. В. Сергеева. — Москва : РГУП, 2023. — 112 с. — ISBN 978-5-00209-071-6. — Текст : электронный // Лань : электронно-библиотечная система. — URL: https://e.lanbook.com/book/407006 (дата обращения: 10.04.2025).
- Еронкевич, Н. Н. Менеджмент : учебное пособие / Н. Н. Еронкевич, А. С. Данилова. — Иркутск : ИрГУПС, 2023. — 160 с. — Текст : электронный // Лань : электронно-библиотечная система. — URL: https://e.lanbook.com/book/407471 (дата обращения: 10.04.2025).
- Набоков, В. И. Менеджмент : учебник / В. И. Набоков. — Москва : Дашков и К, 2023. — 186 с. — ISBN 978-5-394-05385-6. — Текст : электронный // Лань : электронно-библиотечная система. — URL: https://e.lanbook.com/book/315932 (дата обращения: 10.04.2025).
- Николаев, А. А. Социальное управление : учебник / А. А. Николаев, П. В. Разов. — Москва : Прометей, 2019. — 554 с. — ISBN 978-5-907166-42-4. — Текст : электронный // Лань : электронно-библиотечная система. — URL: https://e.lanbook.com/book/126735 (дата обращения: 10.04.2025).
- Резер, Т. М. Правовое обеспечение государственного и муниципального управления : учебное пособие / Т. М. Резер, Е. В. Кузнецова, М. А. Лихачев ; под общ. ред. Т. М. Резер ; Уральский федеральный университет им. первого Президента России Б. Н. Ельцина. – Екатеринбург : Издательство Уральского университета, 2019. – 119 с. – Режим доступа: по подписке. – URL: https://biblioclub.ru/index.php?page=book&id=697531 (дата обращения: 06.04.2025). – Библиогр. в кн. – ISBN 978-5-7996-2671-6. – Текст : электронный.
- Социальное управление: современные тренды и технологии : учебное пособие / под научной редакцией Л. А. Василенко. — Москва : Проспект, 2021. — 237 с. — ISBN 978-5-392-31049-4. — Текст : электронный // Лань : электронно-библиотечная система. — URL: https://e.lanbook.com/book/280847 (дата обращения: 10.04.2025).
- Тимофеева, Н. С. Менеджмент : учебное пособие / Н. С. Тимофеева, Л. Б. Гармаева. — Улан-Удэ : Бурятская ГСХА им. В.Р. Филиппова, 2024. — 228 с. — Текст : электронный // Лань : электронно-библиотечная система. — URL: https://e.lanbook.com/book/441962 (дата обращения: 10.04.2025).
в) список интернет-сайтов, рекомендуемых для использования в учебном процессе по курсу
- Президент России http://president.kremlin.ru.
- Совет Федерации http://www.council.gov.ru/
- Информационный канал Совета Федерации http://www.akdi.ru/sf/
- Государственная Дума http://www.duma.gov.ru.
- Информационный канал Государственной Думы http://www.akdi.ra/gd/inf_k.htm.
- Конституционный суд России http://ksrf.ru/
- Информационный канал Конституционного суда России http://www.akdi.ru/ks.
- Верховный Суд России http://www.supcourt.ru.
- Правительство РФ http://www.government.gov.ru.
- Генпрокуратура РФ www.genproc.gov.ru.
- Сервер органов государственной власти РФ http://www.gov.ru/
- ФЦП «Электронная Россия» http://e-rus.ru.
Правовые основы адвокатской и правозащитной деятельности
ПРОГРАММА
вступительного испытания
для поступающих в магистратуру по направлению подготовки
40.04.01 «Юриспруденция»
программа (профиль)
«Адвокатская и правозащитная деятельность»
ОБЩИЕ ПОЛОЖЕНИЯ
Вступительное испытание предназначено для определения практической и теоретической подготовленности поступающего в магистратуру и проводится с целью определения соответствия знаний умений и навыков требованиям обучения магистратуры по направлению подготовки 40.04.01 «Юриспруденция» профиля «Адвокатская и правозащитная деятельность» (магистратура).
Программа составлена в соответствии с требованиями федерального государственного образовательного стандарта высшего профессионального образования.
Вступительные испытания в магистратуру проводят экзаменационные комиссии, назначенные председателем приёмной комиссии УУНиТ.
ПРОЦЕДУРА ВСТУПИТЕЛЬНОГО ИСПЫТАНИЯ
Дата и время проведения вступительного испытания определяются расписанием вступительных испытаний, которое утверждается председателем приемной комиссии.
Перед вступительным испытанием для поступающих проводится консультация по содержанию программы испытания, критериям оценки, предъявляемым требованиям, правилам поведения на испытании.
Форма вступительного испытания (в соответствии Положением о вступительных испытаниях УУНиТ): устно-письменная.
Экзаменационные билеты включают три вопроса по настоящей программе вступительных испытаний.
В аудитории, где проводится вступительное испытание в устно-письменной форме, не может находиться одновременно более 6 человек. Нахождение в аудитории посторонних лиц не допускается.
Вступительное испытание может проводиться с применением дистанционных технологий с использованием ВКС.
В случае проведения вступительного испытания с применением дистанционных технологий с использованием ВКС обязанность обеспечить наличие соответствующей технической возможности (в том числе наличие устройств для ВКС и Интернет-соединения) возлагается на абитуриента.
Абитуриенту предоставляется право готовиться к ответу в течение 30 минут.
Абитуриенту предоставляется право ответа на экзаменационные вопросы в течение 20-25 минут.
В процессе сдачи вступительного испытания абитуриенту могут быть заданы дополнительные вопросы как по содержанию экзаменационного билета, так и по любым разделам предмета в пределах программы вступительного испытания.
Абитуриент, не согласный с оценкой, полученной на ВИ и (или) в связи с нарушением процедуры проведения ВИ имеет право подать апелляцию. Процедура подачи и рассмотрения апелляции регламентируется Положением об апелляционной комиссии УУНиТ.
КРИТЕРИИ ОЦЕНИВАНИЯ ОТВЕТА
Критериями оценки экзаменационного ответа, поступающего в магистратуру являются полнота, логичность, доказательность, прочность, осознанность знаний и теоретическая обоснованность суждений, самостоятельность в интерпретации информации, практическая направленность, уровень овладения профессиональными умениями и др.
Результаты вступительного испытания определяются по 100-балльной шкале, разброс баллов представлен ниже в таблице:
|
№ |
Критерии оценивания |
Оценка |
|---|---|---|
|
1 |
Дан полный развернутый ответ на теоретический вопрос, в том числе грамотно использована научная терминология; четко сформулирована проблема, доказательно аргументированы выдвигаемые тезисы, указаны основные точки зрения, принятые в научной литературе по рассматриваемому вопросу; аргументирована собственная позиция или точка зрения, обозначены наиболее значимые в данной области научно-исследовательские проблемы. |
75-100 баллов «отлично» |
|
2 |
Дан в целом правильный ответ на теоретический вопрос:
|
46-74 балла «хорошо» |
|
3 |
Дан в основном правильный ответ на теоретический вопрос:
|
25-45 баллов «удовлетворительно» |
|
4 |
Дан фрагментарный ответ или неправильный ответ на теоретический вопрос из предложенного тематического раздела, в том числе отмечается наличие существенных пробелов в знаниях; отмечается отсутствие знания терминологии, научных оснований, признаков, характеристик рассматриваемой проблемы;
|
0-24 балла «неудовлетворительно» |
СОДЕРЖАНИЕ РАЗДЕЛОВ И ТЕМ ПРОГРАММЫ ВСТУПИТЕЛЬНОГО ИСПЫТАНИЯ
Теория государства и права
- Теория государства и права как наука: предмет, задачи, функции.
- Наука о государстве и праве и общественная практика.
- Характеристика предмета теории государства и права.
- Функции теории государства и права.
- Теория государства и права в системе гуманитарных и юридических наук.
- Становление, развитие и современное состояние науки теории государства и права.
- Значение методологии в познании государства и права.
- Методология и методы теории государства и права, их классификация и общая характеристика. Значение научных определений.
- Основные теории (концепции) происхождения государства.
- Власть в первобытном обществе и ее отличие от государственной власти.
- Причины и предпосылки возникновения государства.
- Пути и формы возникновения государства. Типичные и уникальные формы возникновения государства.
- Понятие государства. Многообразие подходов к определению понятия государства.
- Типология государств.
- Соотношение общества и государства.
- Государство – важнейший элемент политической системы общества.
- Основные признаки государства.
- Понятие цивилизации и особенности цивилизационного подхода к типологии государства.
- Признаки государства, отличающие его от организации власти в первобытном обществе.
- Сущность государства. Социальное назначение государства.
- Развитие идеи правового государства и его признаки.
- Типы государственного регулирования экономики.
- Понятие формы государства. Соотношения типа и формы государства. Краткая характеристика элементов формы государства.
- Понятие формы правления. Особенности различных видов монархий и республик.
- Понятие формы государственно-территориального устройства.
- Форма политического (государственно-правового) режима. Виды политических режимов в различных типах государств.
- Понятие и признаки функций государства. Классификация функций государства. Формы и методы реализации функций государства.
- Понятие государственной власти. Структура государственной власти.
- Понятие механизма государства. Его составные элементы.
- Понятие и структура формы государства.
- Понятие и виды формы правления.
- Понятие и виды государственного устройства.
- Понятие и виды политического режима.
- Понятие государственного аппарата, его структура. Соотношение государственного аппарата и государственного механизма.
- Государственный орган: понятие, характеристика, признаки. Классификация органов государства.
- Понятие, структура и виды политических систем.
- Принцип разделения власти: история возникновения, составляющие элементы и современное значение.
- Понятие гражданского общества. Проблема соотношения гражданского общества и государства.
- Понятие демократии. Формы и институты демократии. Эволюция представлений о демократии.
- Социальное государство: понятие, признаки.
- Переходное государство.
- Социальное регулирование. Понятие и функции социальных норм, их классификация и формы выражения.
- Понятие и признаки правового государства.
- Понятие права. Основные подходы к определению понятия права. Признаки права.
- Соотношение права с другими социальными нормами.
- Принципы права: понятие и классификация.
- Функции права: понятие и классификация.
- Источники (формы) права.
- Иерархия нормативных правовых актов.
- Закон как основная форма бытия права. Право и закон. Понятие, признаки законов и виды. Классификация законов.
- Различие права и закона.
- Система права и система законодательства.
- Действие нормативных правовых актов в пространстве, во времени и по кругу лиц,
- Понятие типа и типологии права. Различные подходы к выделению типологических признаков.
- Понятие и структура правовой системы.
- Классификация правовых систем. Правовые семьи.
- Понятие правового регулирования. Его соотношение с правовым воздействием. Нормативное и индивидуальное правовое регулирование.
- Понятие, признаки нормы права. Структура нормы права.
- Классификация правовых норм. Способы изложения норм права в нормативных правовых актах.
- Отрасли права. Институты права. Характеристика основных отраслей права.
- Частное и публичное право.
- Система права и система законодательства, их соотношение.
- Понятие, виды и субъекты правотворчества. Основные формы и органы правотворчества. Основополагающие принципы и стадии правотворчества.
- Понятие систематизации права. Учет нормативных актов. Виды систематизации права.
- Понятие и признаки правоотношений. Правовые нормы и правоотношения.
- Классификация правоотношений: критерии и виды.
- Содержание правоотношения.
- Субъекты правоотношения.
- Объект правоотношения.
- Юридические факты и их классификация.
- Реализация права: понятие, формы, методы.
- Основные стадии правоприменительного процесса.
- Понятие правоприменительного акта и его виды.
- Пробелы в праве. Способы их восполнения и устранения.
- Юридические коллизии: понятие, виды и способы разрешения.
- Понятие толкования правовых норм. Субъекты и виды толкования правовых норм. Способы (приемы) толкования.
- Понятие правомерного поведения. Объективная и субъективная стороны правомерного поведения. Виды правомерного поведения.
- Понятие правонарушения и его основные признаки.
- Юридический состав правонарушения. Виды правонарушений.
- Понятие и основные признаки юридической ответственности, ее отличия от других видов социальной ответственности.
- Принципы юридической ответственности.
- Цели и функции юридической ответственности. Виды юридической ответственности.
- Юридическая ответственность и государственное принуждение.
- Правопорядок.
- Правосознание и правовая культура. Виды правосознания.
- Правовой нигилизм.
- Юридическая техника.
- Понятие и сущность законности. Принципы и гарантии законности.
- Понятие правопорядка. Соотношение законности и правопорядка.
Теория прав человека
- Человек и право.
- Понятие прав и свобод человека и гражданина.
- Гарантии прав человека и гражданина.
- Возникновение и развитие философии прав человека. Классическая модель прав человека.
- Права человека в истории российского государства и права.
- Признание, соблюдение и защита прав человека – основная обязанность государства.
- Естественно-правовой и позитивистский подход к сущности прав человека. Иные концепции прав человека.
- Междисциплинарный характер прав человека.
- Права человека как вектор развития современной цивилизации.
- Права человека в системе общечеловеческих ценностей.
- Понятие глобализации и регионализации в сфере прав человека.
- Научно-технический прогресс и права человека.
- Принципы права и принципы прав человека: соотношение.
- Права человека в диалоге государственной власти гражданского общества.
- Принципы прав человека.
- Принцип естественности прав человека.
- Принцип неотчуждаемости и неотъемлемости прав человека.
- Принцип всеобщности прав человека.
- Классификация прав человека и ее основания.
- Основные и производные права человека и гражданина.
- Негативные и позитивные права человека и гражданина.
- Индивидуальные и коллективные права человека и гражданина.
- Понятие и структура правого статуса человека и гражданина.
- Понятие правоспособности человека. Возникновение и прекращение правоспособности.
- Понятие дееспособности гражданина, ее возникновение.
- Понятие и основания ограничения и лишения дееспособности.
- Равноправие, социальная справедливость и права человека.
- Понятие и возможные пределы ограничения прав человека.
- Общепризнанные принципы и нормы международного права в сфере прав человека.
- Место и роль Всеобщей Декларации прав человека в системе общечеловеческих ценностей.
- Основные документы, регулирующие права лиц, нуждающихся в особой защите. Понятие категорий лиц, нуждающихся в особой защите.
- Понятие механизма защиты прав человека и гражданина.
- Международный механизм защиты прав человека.
- Внутригосударственный механизм защиты прав человека и гражданина.
- Понятие правозащитной деятельности.
- Президент Российской Федерации как основной гарант прав и свобод человека и гражданина.
- Институт Уполномоченного по правам человека в Российской Федерации.
- Правозащитная функция прокуратуры Российской Федерации.
- Место и роль законодательной ветви власти в механизме защиты прав и свобод человека и гражданина.
- Место и роль исполнительной ветви власти в механизме защиты прав и свобод человека и гражданина.
- Значение института местного самоуправления в механизме защиты прав человека и гражданина в Российской Федерации.
- Правоохранительные органы в механизме защиты прав и свобод человека и гражданина.
- Право на судебную защиту как основная гарантия защиты прав и свобод человека и гражданина.
- Понятие гражданского процесса как форма защиты прав и свобод человека и гражданина.
- Понятие уголовного процесса как форма защиты прав и свобод человека и гражданина.
- Административное судопроизводство как форма защиты прав и свобод человека и гражданина.
- Национальная безопасность Российской Федерации и права человека: понятие и направления.
- Права человека в уголовно-правовой сфере.
- Права человека в гражданско-правовой сфере.
- Право на квалифицированную юридическую помощь: общая характеристика.
- Понятие, признаки и виды гражданских прав и свобод человека и гражданина.
- Понятие, признаки и виды политических прав и свобод человека и гражданина.
- Понятие, признаки и виды социальных прав и свобод человека и гражданина.
- Понятие, содержание и природа экономических прав человека. Неприкосновенность частной собственности.
- Понятие гендерного равноправия.
- Демографическая политика и защита института семьи как основное направление деятельности Российской Федерации в сфере прав человека.
- Права женщин. Защита женщин от половой дискриминации в личной и общественной жизни.
- Права инвалидов.
- Права ребенка.
- Права человека, связанные с участием в управлении государством. Избирательные права граждан.
- Права человека, толерантность и культура мира.
- Право на жизнь. Момент возникновения и прекращения права на жизнь.
- Право на свободу и личную неприкосновенность.
- Достоинство как основная категория прав человека.
- Правовое государство. Гражданское общество. Права человека. Соотношение понятий.
- Свобода от вмешательства в личную и семейную жизнь.
- Свобода совести и вероисповедания.
- Право на личную неприкосновенность: основные элементы.
- Социальная ценность и юридическая сущность прав человека: соотношения понятий.
- Понятие международного договора и его ратификации в сфере прав человека.
- Юридическая ответственность и специальные субъекты за нарушение прав человека.
Адвокатура
- Понятие «адвокатура», принципы организации и деятельности адвокатуры.
- Понятие и принципы деятельности адвокатуры.
- Виды юридической помощи, оказываемой адвокатами.
- Адвокатура как институт гражданского общества. Значение адвокатуры.
- Задачи и гарантии независимости адвокатуры.
- Взаимоотношения адвокатуры с государственными органами власти, органами местного самоуправления, общественными органами и организациями.
- Современное законодательство об адвокатуре. Федеральный закон «Об адвокатской деятельности и адвокатуре в Российской Федерации».
- Понятие адвокатской деятельности и её отличие от других видов юридической помощи.
- Адвокатское право: предмет, метод и источники. Место в системе юридических наук.
- История развития адвокатуры России в период до судебной реформы 1864 г.
- История развития адвокатуры России в период с 1864 г. до 1917 г.
- История развития адвокатуры в Советский период (1917-1991 г.г.).
- Помощник адвоката, стажер адвоката: понятие, статус. Особенности трудовых отношений. Положение о порядке прохождения стажировки. Положение о порядке работы помощником адвоката.
- Понятие адвоката и приобретение статуса адвоката. Требования к лицу, вступающему в адвокатуру.
- Гарантии независимости адвоката.
- Прекращение статуса адвоката.
- Приостановление статуса адвоката.
- Обязанности адвоката.
- Полномочия адвоката.
- Понятие и меры дисциплинарной ответственности адвоката.
- Дисциплинарное производство в отношении адвоката.
- Помощник и стажер адвоката: обязанности и особенности правового положения.
- Формы адвокатских образований.
- Федеральная палата адвокатов Российской Федерации. Всероссийский съезд адвокатов. Комиссия по этике и стандартам.
- Совет Федеральной палаты адвокатов. Порядок формирования, компетенция.
- Адвокатская палата субъекта Российской Федерации. Собрание (конференция) и совет адвокатской палаты субъекта Российской Федерации.
- Понятие и существенные условия соглашения об оказании адвокатской помощи.
- Защитительная речь адвоката.
- Профессиональная этика адвоката – составная часть юридической этики.
- Кодекс профессиональной этики адвоката: правовая природа, значимость, назначение, структура, содержание.
- Этические принципы профессионального поведения адвоката.
- Этические правила поведения адвоката при общении с доверителем.
- Этические правила поведения адвоката при общении с другими адвокатами.
- Этические правила участия адвоката в судопроизводстве.
- Этические правила поведения адвоката при общении со СМИ: условия и ограничения. Критерии допустимости информации об адвокате и адвокатском образовании. Реклама адвокатской деятельности.
- Комиссия Федеральной Палаты адвокатов Российской Федерации по этике и стандартам. Порядок создания, компетенция.
- Разъяснения Комиссии Федеральной Палаты адвокатов Российской Федерации по этике и стандартам: понятие и значение.
- Разъяснение Комиссии Федеральной Палаты адвокатов Российской Федерации по этике и стандартам «О пределах рассмотрения дисциплинарного дела в Квалификационной комиссии адвокатской палаты субъекта Российской Федерации».
- Адвокатская тайна.
- Знаменитые адвокаты и знаменитые судебные процессы.
- Участие адвоката в конституционном судопроизводстве.
- Участие адвоката на стадии предварительного расследования.
- Участие адвоката в суде (в уголовном судопроизводстве).
- Особенности деятельности адвоката в суде присяжных.
- Адвокат в гражданском процессе.
- Адвокат в арбитражном процессе.
- Адвокат в процессе производства по делам об административных правонарушениях.
- Участие адвоката в административном судопроизводстве в соответствии с Кодексом административного судопроизводства Российской Федерации
Демоверсия экзаменационного варианта
|
СПИСОК ЛИТЕРАТУРЫ
- Комаров, С. А. Общая теория государства и права : учебник для вузов / С. А. Комаров. — 10-е изд., испр. и доп. — Москва : Издательство Юрайт, 2025. — 528 с. — (Высшее образование). — ISBN 978-5-534-15392-7. — Текст : электронный // Образовательная платформа Юрайт [сайт]. — URL: https://urait.ru/bcode/562992.
- Теория государства и права : учебник для вузов / под редакцией В. К. Бабаева. — 5-е изд., перераб. и доп. — Москва : Издательство Юрайт, 2024. — 620 с. — (Высшее образование). — ISBN 978-5-534-16788-7. — Текст : электронный // Образовательная платформа Юрайт [сайт]. — URL: https://urait.ru/bcode/535520.
- Адвокатура и адвокатская деятельность: учебник для вузов / А. А. Клишин [и др.]; под редакцией А. А. Клишина, А. А. Шугаева. — 3-е изд., испр. и доп. — Москва: Издательство Юрайт, 2024. — 604 с.
Основы гражданского права и процесса
ПРОГРАММА
вступительного испытания
для поступающих в магистратуру по направлению подготовки
40.04.01 «Юриспруденция»
программа (профиль)
«Юрист в сфере гражданского права и процесса»
ОБЩИЕ ПОЛОЖЕНИЯ
Вступительное испытание предназначено для определения практической и теоретической подготовленности поступающего в магистратуру и проводится с целью определения соответствия знаний умений и навыков требованиям обучения магистратуры по направлению подготовки 40.04.01 «Юриспруденция» профиля «Юрист в сфере гражданского права и процесса» (магистратура).
Программа составлена в соответствии с требованиями федерального государственного образовательного стандарта высшего профессионального образования.
Вступительные испытания в магистратуру проводят экзаменационные комиссии, назначенные председателем приёмной комиссии УУНиТ.
ПРОЦЕДУРА ВСТУПИТЕЛЬНОГО ИСПЫТАНИЯ
Дата и время проведения вступительного испытания определяются расписанием вступительных испытаний, которое утверждается председателем приемной комиссии.
Перед вступительным испытанием для поступающих проводится консультация по содержанию программы испытания, критериям оценки, предъявляемым требованиям, правилам поведения на испытании.
Форма вступительного испытания (в соответствии Положением о вступительных испытаниях УУНиТ): устно-письменная.
Экзаменационные билеты включают три вопроса по настоящей программе вступительных испытаний.
В аудитории, где проводится вступительное испытание в устно-письменной форме, не может находиться одновременно более 6 человек. Нахождение в аудитории посторонних лиц не допускается.
Вступительное испытание может проводиться с применением дистанционных технологий с использованием ВКС.
В случае проведения вступительного испытания с применением дистанционных технологий с использованием ВКС обязанность обеспечить наличие соответствующей технической возможности (в том числе наличие устройств для ВКС и Интернет-соединения) возлагается на абитуриента.
Абитуриенту предоставляется право готовиться к ответу в течение 30 минут.
Абитуриенту предоставляется право ответа на экзаменационные вопросы в течение 20-25 минут.
В процессе сдачи вступительного испытания абитуриенту могут быть заданы дополнительные вопросы как по содержанию экзаменационного билета, так и по любым разделам предмета в пределах программы вступительного испытания.
Абитуриент, не согласный с оценкой, полученной на ВИ и (или) в связи с нарушением процедуры проведения ВИ имеет право подать апелляцию. Процедура подачи и рассмотрения апелляции регламентируется Положением об апелляционной комиссии УУНиТ.
КРИТЕРИИ ОЦЕНИВАНИЯ ОТВЕТА
Критериями оценки экзаменационного ответа, поступающего в магистратуру являются полнота, логичность, доказательность, прочность, осознанность знаний и теоретическая обоснованность суждений, самостоятельность в интерпретации информации, практическая направленность, уровень овладения профессиональными умениями и др.
Результаты вступительного испытания определяются по 100-балльной шкале, разброс баллов представлен ниже в таблице:
|
№ |
Критерии оценивания |
Оценка |
|---|---|---|
|
1 |
Дан полный развернутый ответ на теоретический вопрос, в том числе грамотно использована научная терминология; четко сформулирована проблема, доказательно аргументированы выдвигаемые тезисы, указаны основные точки зрения, принятые в научной литературе по рассматриваемому вопросу; аргументирована собственная позиция или точка зрения, обозначены наиболее значимые в данной области научно-исследовательские проблемы. |
75-100 баллов «отлично» |
|
2 |
Дан в целом правильный ответ на теоретический вопрос:
|
46-74 балла «хорошо» |
|
3 |
Дан в основном правильный ответ на теоретический вопрос:
|
25-45 баллов «удовлетворительно» |
|
4 |
Дан фрагментарный ответ или неправильный ответ на теоретический вопрос из предложенного тематического раздела, в том числе отмечается наличие существенных пробелов в знаниях; отмечается отсутствие знания терминологии, научных оснований, признаков, характеристик рассматриваемой проблемы;
|
0-24 балла «неудовлетворительно» |
СОДЕРЖАНИЕ РАЗДЕЛОВ И ТЕМ ПРОГРАММЫ ВСТУПИТЕЛЬНОГО ИСПЫТАНИЯ
Гражданское право
- Гражданское право как частное право. Гражданское право в системе отраслей права. Система гражданского права.
- Предмет гражданско-правового регулирования. Понятие и виды имущественных отношений, регулируемых гражданским правом. Особенности вещных, обязательственных, интеллектуальных и корпоративных отношений. Понятие и виды неимущественных отношений, регулируемых гражданским правом.
- Гражданско-правовой метод регулирования общественных отношений. Принципы и функции гражданского права.
- Понятие и виды источников гражданского права. Понятие и состав гражданского законодательства.
- Понятие, характерные черты, элементы и структурные особенности гражданского правоотношения. Классификация гражданских правоотношений.
- Понятие и содержание правоспособности граждан (физических лиц). Правоспособность и субъективные гражданские права. Возникновение и прекращение правоспособности.
- Дееспособность граждан (физических лиц). Разновидности дееспособности. Дееспособность несовершеннолетних граждан. Эмансипация. Случаи и условия ограничения дееспособности граждан. Признание гражданина недееспособным.
- Предпринимательская деятельность граждан. Несостоятельность (банкротство) индивидуального предпринимателя.
- Понятие и признаки юридического лица. Классификация юридических лиц.
- Правосубъектность юридических лиц (возникновение, прекращение, виды и способы реализации правоспособности). Образование (создание, учреждение) юридического лица: способы, порядок, государственная регистрация. Учредительные документы юридических лиц. Ответственность юридических лиц.
- Понятие, содержание и особенности гражданской правосубъектности публично-правовых образований. Случаи и порядок участия публично-правовых образований в вещных, обязательственных и иных гражданских правоотношениях.
- Объекты гражданских прав: понятие, виды, оборотоспособность. Охраняемые результаты творческой деятельности и приравненные к ним средства индивидуализации (интеллектуальная собственность). Личные неимущественные блага как нематериальные объекты гражданских правоотношений.
- Понятие и виды сделок. Условия действительности сделок. Государственная регистрация некоторых видов сделок и ее гражданско-правовое значение. Нотариальное удостоверение сделок.
- Недействительность сделок. Основания недействительности сделок. Оспоримые и ничтожные сделки. Недействительность части сделки. Правовые последствия недействительности сделок.
- Осуществление гражданских прав и исполнение гражданско-правовых обязанностей через представителя. Понятие и значение представительства. Полномочие. Виды представительства. Представительство без полномочия.
- Понятие и гражданско-правовое значение сроков. Виды сроков в гражданском праве, их классификация. Исчисление сроков в гражданском праве. Понятие и значение исковой давности. Виды сроков исковой давности. Применение и исчисление сроков исковой давности. Требования, на которые исковая давность не распространяется.
- Понятие, принципы, способы и пределы осуществления гражданских прав. Защита гражданских прав: понятие, порядок и способы.
- Понятие, особенности, функции и виды гражданско-правовой ответственности. Основания и условия гражданско-правовой ответственности. Размер и формы гражданско-правовой ответственности.
- Понятие и признаки вещного права. Объекты и виды вещных прав. Понятие права собственности. Право собственности как институт гражданского права. Право собственности как вещное право. Содержание права собственности. Определение права собственности.
- Классификация и общая характеристика способов прекращения права собственности. Приватизация (понятие, правовое регулирование, способы приватизации). Случаи и порядок принудительного изъятия имущества у собственника.
- Право собственности юридических лиц. Право государственной и муниципальной собственности: специфические черты, субъекты, объекты, осуществление.
- Понятие, основания возникновения и виды права общей собственности.
- Понятие и признаки ограниченных вещных прав. Ограниченные вещные права и право собственности. Виды и объекты ограниченных вещных прав. Ограниченные вещные права на земельные участки.
- Понятие и виды гражданско-правовых способов защиты вещных прав. Условия и различия применения вещно-правовых и обязательственно-правовых способов защиты вещных прав. Защита прав владельца, не являющегося собственником.
- Понятие и значение наследования. Наследственное преемство и его виды. Основания наследования. Отказ от наследства, его оформление и правовые последствия. Охрана наследственного имущества и управление им.
- Понятие интеллектуальной деятельности. Гражданско-правовой режим результата интеллектуальной деятельности (интеллектуальной собственности). Средства индивидуализации товаров и их производителей, особенности их гражданско-правового режима. Понятие и соотношение интеллектуальной и промышленной собственности.
- Понятие интеллектуальных прав, их отличие от вещных и других гражданских прав. Исключительные права и другие виды интеллектуальных прав. Гражданско-правовая защита интеллектуальных прав. Особенности защиты личных неимущественных и исключительных прав.
- Понятие авторского права, его основные функции. Источники авторского права. Объекты авторского права. Критерии охраноспособности объектов авторского права. Взаимосвязь авторских и смежных прав.
- Понятие патентного права. Источники патентного права. Понятие и условия патентоспособности изобретения. Объекты изобретения. Понятие и условия патентоспособности полезной модели. Понятие и условия патентоспособности промышленного образца. Оформление прав на изобретение, полезную модель и промышленный образец.
- Право на секрет производства (ноу-хау). Понятие и правовой режим секрета производства (ноу-хау). Исключительное право на секрет производства, пределы его действия. Особенности правового режима служебного секрета производства, а также секрета производства, полученного при выполнении работ по договору. Ответственность за нарушение исключительного права на секрет производства.
- Право на товарный знак и знак обслуживания. Понятие и виды товарных знаков и знаков обслуживания. Оформление прав на товарный знак (знак обслуживания). Особенности гражданско-правовой охраны общеизвестных товарных знаков. Коллективный товарный знак.
- Понятие и содержание права на защиту чести, достоинства и деловой репутации граждан и юридических лиц и правовые особенности их гражданско-правовой защиты.
- Понятие обязательственного права. Обязательственное право как подотрасль гражданского права. Понятие обязательства. Обязательство как гражданское правоотношение. Содержание и определение обязательства. Основания возникновения обязательств. Виды обязательств.
- Исполнение обязательства. Принципы исполнения обязательств. Условия и способы исполнения обязательства. Понятие и виды способов обеспечения надлежащего исполнения обязательств.
- Прекращение обязательств. Понятие и основания прекращения обязательств. Прекращение обязательства сделкой. Прекращение обязательства по иным основаниям.
- Сущность и значение гражданско-правового договора. Понятие договора. Свобода договора и ее ограничения. Содержание договора. Существенные условия договора. Иные условия договора. Толкование договора.
- Заключение договора. Порядок и стадии заключения договора. Изменение и расторжение договора. Последствия изменения или расторжения договора.
- Публичный договор. Договор присоединения. Абонентский договор. Рамочный договор. Опцион на заключение договора и опционный договор.
- Понятие и основные элементы договорного обязательства по купле-продаже. Виды договора купли-продажи, их особенности.
- Договор дарения: понятие, правовое регулирование, содержание, ответственность. Пожертвование как особая разновидность дарения.
- Договор аренды, его основные элементы и содержание. Виды договора аренды, их особенности.
- Понятие, элементы и содержание договора подряда. Виды договора подряда, их особенности.
- Понятие и содержание договора возмездного оказания услуг. Виды договора возмездного оказания услуг.
- Договор перевозки пассажира: понятие и содержание.
- Обязательства из договора перевозки грузов, особенности их оформления. Особенности ответственности перевозчика за нарушение обязательств из договора перевозки груза.
- Понятие и содержание договора хранения. Виды договора хранения, их особенности.
- Договор поручения, комиссии, агентирования.
- Договор страхования: понятие и виды.
- Договор займа. Кредитный договор.
- Понятие и виды обязательств из односторонних сделок. Обязательства из публичного обещания награды. Обязательства из публичного конкурса. Понятие, условия возникновения действий в чужом интересе и виды действий в чужом интересе.
- Обязательства из проведения игр и пари. Обязательства, возникающие при проведении лотерей, тотализаторов и иных игр публично-правовыми образованиями или по их разрешению.
- Понятие и основные признаки внедоговорных обязательств и их отличие от договорных обязательств. Виды внедоговорных обязательств.
- Понятие и юридическая природа обязательств, возникающих вследствие причинения вреда (деликтных обязательств). Основание и условия возникновения деликтных обязательств. Принцип генерального деликта. Содержание обязательства, возникающего вследствие причинения вреда. Способы возмещения вреда.
- Понятие обязательств, возникающих вследствие неосновательного обогащения (кондикционного обязательства). Условия возникновения обязательств из неосновательного обогащения. Содержание обязательств из неосновательного обогащения. Неосновательное обогащение, не подлежащее возврату.
Гражданский процесс
- Формы защиты прав и законных интересов. Право на судебную защиту. Сущность, основные черты и значение гражданской процессуальной формы.
- Понятие гражданского процессуального права, его предмет и система.
- Метод гражданского процессуального права.
- Источники гражданского процессуального права.
- Виды и стадии гражданского судопроизводства (процесса).
- Понятие и система принципов гражданского процессуального права.
- Принципы состязательности и диспозитивности в гражданском судопроизводстве.
- Сочетание единоличного и коллегиального порядка рассмотрения дел в гражданском процессе.
- Понятие и основания возникновения гражданских процессуальных правоотношений.
- Субъекты гражданских процессуальных правоотношений и их классификация.
- Гражданская процессуальная правоспособность и дееспособность.
- Понятие стороны в гражданском процессе. Порядок замены ненадлежащего ответчика. Процессуальное соучастие.
- Процессуальное правопреемство.
- Третьи лица в гражданском процессе: понятие и виды.
- Понятие и виды представительства в суде. Оформление полномочий судебных представителей.
- Понятие подведомственности и ее критерии. Виды подведомственности.
- Понятие и виды подсудности.
- Понятие и виды судебных расходов. Распределение судебных расходов между сторонами. Государственная пошлина.
- Понятие, сущность и признаки искового производства.
- Упрощенное производство в гражданском процессе.
- Понятие и правовая природа иска. Элементы иска. Виды исков. Право на иск и право на предъявление иска. Встречный иск и порядок его предъявления.
- Мировое соглашение: понятие, правовая природа, порядок заключения.
- Обеспечение иска. Меры по обеспечению иска.
- Понятие и стадии судебного доказывания. Понятие судебных доказательств и их классификация. Правила исследования и оценки доказательств.
- Предмет доказывания. Факты, не подлежащие доказыванию.
- Распределение между сторонами обязанностей по доказыванию. Доказательственные презумпции: понятие и значение.
- Исковое заявление: форма и содержание. Правовые последствия возбуждения гражданского дела.
- Сущность, значение и задачи подготовки дела к судебному разбирательству. Процессуальные действия по подготовке дела к судебному разбирательству.
- Приостановление производства по делу.
- Предварительное судебное заседание.
- Понятие, значение и составные части судебного разбирательства. Протокол судебного заседания.
- Сущность и значение судебного решения. Требования, предъявляемые к судебным решениям. Устранение недостатков судебного решения вынесшим его судом.
- Законная сила судебного решения.
- Виды судебных актов. Решение суда. Виды определений суда первой инстанции. Судебный приказ: понятие и значение.
- Заочное производство: понятие и значение.
- Особое производство в гражданском процессе. Производство по делам об установлении фактов, имеющих юридическое значение.
- Формы окончания гражданского дела без вынесения решения. Прекращение производства по делу. Оставление заявления без рассмотрения.
- Понятие и виды апелляции. Право апелляционного обжалования судебных постановлений. Порядок и сроки апелляционного обжалования. Процессуальный порядок рассмотрения дела судом апелляционной инстанции.
- Полномочия суда апелляционной инстанции. Основания к отмене судебных решений судом второй инстанции.
- Порядок обжалования определений суда первой инстанции.
- Сущность и значение стадии кассационного производства. Возбуждение кассационного производства. Рассмотрение дела судом кассационной инстанции. Полномочия суда кассационной инстанции. Основания к отмене судебных решений судом кассационной инстанции.
- Сущность и значение стадии пересмотра судебных решений, определений и постановлений в порядке судебного надзора. Возбуждение надзорного производства.
- Полномочия суда надзорной инстанции и основания к отмене решений, определений и постановлений в порядке надзора.
- Понятие и основания пересмотра гражданских дел по вновь открывшимся и новым обстоятельствам.
- Процессуальный порядок пересмотра решений, определений и постановлений по вновь открывшимся и новым обстоятельствам.
Демоверсия экзаменационного варианта
|
СПИСОК ЛИТЕРАТУРЫ
- Гражданское право и процесс. Избранные труды / Е. А. Крашенинников [и др.] ; ответственный редактор Ю. В. Байгушева. — Москва : Издательство Юрайт, 2020. — 1125 с. — (Антология мысли). — ISBN 978-5-534-12428-6. — Текст : электронный // ЭБС Юрайт [сайт]. — URL: https://urait.ru/bcode/447474.
- Белов, В. А. Гражданское право в 2 т. Том 1. Общая часть : учебник для вузов / В. А. Белов. — Москва : Издательство Юрайт, 2025. — 451 с. — (Высшее образование). — ISBN 978-5-534-00327-7. — Текст : электронный // Образовательная платформа Юрайт [сайт]. — URL: https://urait.ru/bcode/561537.
- Михайленко, Е. М. Гражданское право. Общая часть : учебник и практикум для вузов / Е. М. Михайленко. — 3-е изд., перераб. и доп. — Москва : Издательство Юрайт, 2025. — 390 с. — (Высшее образование). — ISBN 978-5-534-07853-4. — Текст : электронный // Образовательная платформа Юрайт [сайт]. — URL: https://urait.ru/bcode/560133.
- Лебедев, М. Ю. Гражданский процесс : учебник для вузов / М. Ю. Лебедев. — 12-е изд., перераб. и доп. — Москва : Издательство Юрайт, 2023. — 442 с. — (Высшее образование). — ISBN 978-5-534-15859-5. — Текст : электронный // Образовательная платформа Юрайт [сайт]. — URL: https://urait.ru/bcode/509886.
- Гражданский процесс : учебник и практикум для вузов / М. Ю. Лебедев [и др.] ; под редакцией М. Ю. Лебедева. — 4-е изд., перераб. и доп. — Москва : Издательство Юрайт, 2020. — 446 с. — (Высшее образование). — ISBN 978-5-534-12016-5. — Текст : электронный // ЭБС Юрайт [сайт]. — URL: https://urait.ru/bcode/450539.
Право и государство
ПРОГРАММА
вступительного испытания
для поступающих в магистратуру по направлению подготовки
40.04.01 «Юриспруденция»
программы (профили)
«Юрист в правоохранительной деятельности»,
«Правовое обеспечение государственной и муниципальной власти в РФ»
ОБЩИЕ ПОЛОЖЕНИЯ
Вступительные испытания предназначены для определения практической и теоретической подготовленности поступающего в магистратуру и проводятся с целью определения соответствия знаний умений и навыков требованиям обучения магистратуры по направлению подготовки 40.04.01 «Юриспруденция» (магистратура).
Программа составлена в соответствии с требованиями федерального государственного образовательного стандарта высшего профессионального образования.
Вступительные испытания в магистратуру проводят экзаменационные комиссии, назначенные председателем приёмной комиссии УУНиТ.
ПРОЦЕДУРА ВСТУПИТЕЛЬНОГО ИСПЫТАНИЯ
Дата и время проведения вступительного испытания и консультации определяются расписанием вступительных испытаний, которое утверждается председателем приемной комиссии.
Перед вступительным испытанием для поступающих проводится консультация по содержанию программы испытания, критериям оценки, предъявляемым требованиям, правилам поведения на испытании.
Форма вступительного испытания (в соответствии с Положением о вступительных испытаниях УУНИТ): устно-письменная.
Вступительные испытания в виде устно-письменного экзамена проводятся в соответствии с программами вступительных испытаний, утверждаемых председателем приемной комиссии.
Экзаменационные билеты включают два или три вопроса по направлению подготовки (по специальности).
Абитуриенту предоставляется право готовиться к ответу в течение 30 минут.
Абитуриенту предоставляется право ответа на экзаменационные вопросы в течение 20-25 минут.
В процессе сдачи вступительного испытания абитуриенту могут быть заданы дополнительные вопросы, как по содержанию экзаменационного билета, так и по любым разделам предмета в пределах программы вступительного испытания.
Абитуриент, не согласный с оценкой, полученной на ВИ и (или) в связи с нарушением процедуры проведения ВИ имеет право подать апелляцию. Процедура подачи и рассмотрения апелляции регламентируется Положением об апелляционной комиссии УУНиТ.
КРИТЕРИИ ОЦЕНИВАНИЯ ОТВЕТА
Критериями оценки экзаменационного ответа поступающего в магистратуру являются полнота, логичность, доказательность, прочность, осознанность знаний и теоретическая обоснованность суждений, самостоятельность в интерпретации информации, практическая направленность, уровень овладения профессиональными умениями менеджера и др. В случае тестирования является правильные ответы на тестовые задания.
Результаты вступительного испытания определяются по 100-балльной шкале, разброс баллов представлен ниже в таблице:
|
№ |
Критерии оценивания |
Оценка |
|---|---|---|
|
1 |
Дан полный развернутый ответ на теоретический вопрос:
|
85-100 баллов «отлично» |
|
2 |
Дан в целом правильный ответ на теоретический вопрос:
|
67-84 балла «хорошо» |
|
3 |
Дан в основном правильный ответ на теоретический вопрос:
|
50-66 баллов «удовлетворительно» |
|
4 |
Дан фрагментарный ответ или неправильный ответ на теоретический вопрос из предложенного тематического раздела:
|
0-49 баллов «неудовлетворительно» |
СОДЕРЖАНИЕ РАЗДЕЛОВ И ТЕМ ПРОГРАММЫ
ВСТУПИТЕЛЬНОГО ИСПЫТАНИЯ
Государственная власть как особая разновидность социальной власти.
Признаки государственной власти, легитимность и легальность государственной власти.
Признаки государства: политическая публичная власть, налоги, территория, население, легализованное государственное принуждение, неразрывная связь с правом, наличие государственного аппарата, государственная символика.
Понятие и элементы формы государства. Соотношение сущности, содержания и формы государства. Соотношение типа и формы государства. Факторы, влияющие на многообразие форм государства.
Формы государственного правления: понятия, виды. Общая характеристика монархий и республик.
Формы национально-государственного и административно-территориального устройства: понятия, виды.
Политический и государственный режим: понятие и виды.
Классификация функций государства. Характеристика основных внутренних и внешних функций современного Российского государства.
Понятие механизма государства. Его роль в осуществлении функций и задач государства. Соотношение механизма государства и его аппарата. Структура механизма государства. Понятия и признаки государственных органов. Их классификация.
Понятие и признаки права. Основные теории происхождения права. Правовые нормы. Структура нормы права. Соотношение права и закона. Причины возникновения права. Переход от «мононорм» присваивающей экономики первобытного общества к правовым и моральным нормам производящей экономики. Классовое и общесоциальное содержание в праве раннеклассовых обществ. Признаки, отличающие право от социальных норм первобытнообщинного строя. Пути формирования правовых норм.
Понятие и виды юридической ответственности. Понятие правонарушения. Состав правонарушения.
Понятие и основание уголовной ответственности. Состав преступления. Множественность и рецидив преступления. Понятие и виды уголовных наказаний. Соучастие. Амнистия. Помилование. Судимость. Уголовное наказание в отношении несовершеннолетних.
- Основы конституционного строя России.
Россия – демократическое государство. Концепции содержания конституционно-правовой категории «демократия». Проблемы определения демократии как власти. Народный суверенитет.
Понятие и соотношение непосредственной и представительной демократии.
Россия – суверенное государство.
Понятие и виды форм правления.
Принцип разделения властей – один из основополагающих принципов демократической организации государства, важнейшая предпосылка верховного права и обеспечения свободного развития человека.
Россия – социальное государство.
Россия – правовое государство.
Принципы рыночной экономики. Единство экономического пространства. Свободное перемещение товаров, услуг и финансовых средств. Поддержка конкуренции. Свобода экономической деятельности.
Россия – светское государство.
- Основы правового статуса человека и гражданина: понятие, структура, принципы.
Соотношение понятий: человек, гражданин, личность. Понятие конституционного статуса личности и основ конституционного статуса личности. Принципы конституционного статуса личности: свобода личности, принадлежность человеку основных прав и свобод от рождения и их неотчуждаемость, международно-правовой базис прав и свобод человека и гражданина, равенство прав и равенство обязанностей, сочетание общественных и личных интересов.
Конституционно-правовая природа гражданства. Единое гражданство. Двойное гражданство. Основания приобретения гражданства РФ. Приобретение гражданства РФ по рождению. Прекращение гражданства РФ. Основания прекращения гражданства РФ. Выход из гражданства РФ. Основания отказа в выходе из гражданства. Выбор иного гражданства (оптация) при изменении государственной границы РФ.
Личные права и свободы. Политические права и свободы
Экономические и социально-культурные права и свободы.
Общие гарантии прав человека. Президент России - гарант прав и свобод человека в Российской Федерации. Роль законодательных и исполнительных органов в обеспечении прав и свобод человека и гражданина. Функции федеральных и региональных органов государственной власти, местного самоуправления, прокуратуры в охране прав и свобод человека и гражданина.
Институт парламентского Уполномоченного по правам человека.
Обязанности личности.
Законодательство о правовом положении иностранных граждан в Российской Федерации. Временное пребывание иностранных граждан в Российской Федерации. Временное проживание иностранных граждан в Российской Федерации. Постоянное проживание иностранных граждан в Российской Федерации.
Правовой статус беженцев и вынужденных переселенцев Признание лица беженцем. Права и обязанности лица, признанного беженцем. Признание лица вынужденным переселенцем. Права и обязанности вынужденного переселенца. Утрата и лишение статуса вынужденного переселенца.
- Принципы федеративного устройства РФ.
Конституционно-правовые признаки России как федеративного государства. Суверенитет РФ. Территория РФ. Государственная граница РФ. Единое гражданство в РФ. Федеральная конституционно-правовая система. Федеральные органы государственной власти.
Конституционные основы разграничения предметов ведения РФ и ее субъектов. Правовая основа разграничения компетенции РФ и ее субъектов.
Конституционно-правовые признаки субъектов РФ. Виды субъектов РФ. Понятие и основные элементы конституционно-правового статуса субъектов РФ.
Законодательство Российской Федерации о принятии в Российскую Федерацию и об образовании в ее составе нового субъекта Основные требования к принятию в Российскую Федерацию и образованию в ее составе нового субъекта. Условия принятия в Российскую Федерацию нового субъекта и образования в составе Российской Федерации нового субъекта. Порядок образования в составе Российской Федерации нового субъекта.
- Президент РФ.
Положение Президента РФ в системе органов государственной власти.
Выборы и вступление в должность Президента РФ. Общие условия избрания Президента. Президент РФ – гарант Конституции РФ. Обеспечение Президентом согласованного функционирования всех органов государственной власти. Полномочия Президента в области обороны страны и обеспечения ее безопасности. Полномочия Президента в области правового статуса личности. Полномочия Президента РФ в условиях военного и чрезвычайного положения.
Взаимодействие Президента РФ со всеми ветвями власти на федеральном уровне. Президент и органы государственной власти субъектов РФ. Правовые акты Президента РФ. Контрольные полномочия Президента РФ.
Органы, обеспечивающие деятельность Президента РФ. Организация работы Президента РФ.
- Федеральное Собрание РФ.
Понятие парламента и парламентаризма, его признаки и тенденции.
Государственная Дума: состав, порядок выборов депутатов. Полномочия Государственной Думы. Структура и органы Государственной Думы. Совет Государственной Думы. Аппарат Государственной Думы. Регламент Государственной Думы. Порядок работы Государственной Думы. Роспуск Государственной Думы.
Совет Федерации. Состав и формирование Совета Федерации. Органы и должностные лица Совета Федерации. Совет палаты. Аппарат Совета Федерации. Полномочия Совета Федерации. Регламент Совета Федерации. Порядок проведения сессий и заседаний Совета Федерации. «Правительственный час». Парламентский запрос Совета Федерации. Парламентские слушания.
- Законодательный процесс.
Понятие, значение, основные стадии. Понятие законодательной инициативы, ее субъекты.
Порядок обсуждения законопроектов Государственной Думой. Порядок голосования по законопроектам. Принятие закона. Рассмотрение Советом Федерации законов, принятых Государственной Думой. Порядок разрешения разногласий между палатами в законодательном процессе. Вопросы, подлежащие обязательному рассмотрению Советом Федерации. Отклонение федерального закона. Повторное рассмотрение Государственной Думой законов, отклоненных Советом Федерации. Особенности принятия федеральных конституционных законов. Порядок принятия поправок к Конституции РФ. Подписание и обнародование закона Президентом РФ.
- Правительство РФ: конституционный статус, порядок формирования, компетенция, прекращение полномочий.
Правительство Российской Федерации – высший исполнительный орган государственной власти. Место Правительства Российской Федерации в системе органов государственной власти. Порядок формирования, состав и срок полномочий Правительства Российской Федерации. Полномочия Правительства Российской Федерации. Акты Правительства Российской Федерации. Организация и порядок деятельности Правительства. Ответственность Правительства Российской Федерации. Отставка Правительства Российской Федерации: основания и порядок.
- Конституционные основы судебной системы РФ.
Судебная власть в системе разделения властей. Взаимоотношения судов с органами законодательной и исполнительной власти. Судейское сообщество и его органы.
Судебные органы, их социальное назначение и конституционно-правовой статус при различных моделях организации власти. Виды судебных органов, их полномочия.
Судебная система Российской Федерации. Особенности судебной системы Российской Федерации. Порядок создания и управления судов. Требования к кандидатам на должность судьи. Порядок наделения полномочиями и прекращение полномочий судей, председателей судов общей юрисдикции и арбитражных судов. Срок полномочий судей.
Конституционные принципы правосудия.
Судебный контроль.
- Конституционный Суд: понятие, компетенция, состав, порядок образования, срок полномочий, принципы деятельности.
Конституционный Суд РФ. Место Конституционного Суда РФ в судебной системе РФ.
Компетенция и структура Конституционного Суда РФ.
Состав, порядок формирования Конституционного суда РФ. Конституционно-правовой статус судьи Конституционного суда РФ. Аппарат Конституционного Суда РФ. Участники процесса. Основные принципы конституционного судопроизводства.
Стадии конституционного судопроизводства и общие правила рассмотрения дел в Конституционном Суде Российской Федерации. Решения Конституционного Суда Российской Федерации, их виды и юридическая сила.
- Прокуратура РФ: понятие, функции и структура органов прокуратуры.
Прокуратура Российской Федерации: понятие и природа. Функции органов прокуратуры. Осуществление надзора за соблюдением Конституции Российской Федерации и исполнением законов. Уголовное преследование. Координация работы правоохранительных органов. Участие прокуратуры в правотворческой деятельности. Международное сотрудничество.
Система и структура органов прокуратуры Российской Федерации. Порядок их формирования. Акты прокурорского реагирования на нарушения закона. Виды прокурорского надзора.
- Органы государственной власти в Республике Башкортостан.
Формирование Государственного Собрания Республики Башкортостан. Полномочия Государственного Собрания Республики Башкортостан. Правомочность Государственного Собрания.
Акты Государственного Собрания Республики Башкортостан и порядок их принятия. Законодательная процедура. .
Принципы, порядок избрания и вступления в должность, полномочия и акты Главы Республики Башкортостан. Правовые и социальные гарантии деятельности Главы Республики Башкортостан. Основания и порядок прекращения его полномочий.
Порядок формирования, срок полномочий, полномочия, структура Правительства Республики Башкортостан. Порядок деятельности Правительства Республики Башкортостан. Регламент Правительства Республики Башкортостан. Акты Правительства Республики Башкортостан.
Виды республиканских органов исполнительной власти.
- Государственная служба.
Понятие и виды службы и служащих. Понятие и принципы государственной службы. Правовое регулирование государственной службы. Управление государственной службой.
Понятие государственной должности. Замещение должностей в государственных органах. Типы государственной службы, виды служащих. Особенности правового положения должностных лиц.
Прохождение государственной гражданской службы и ее стадии. Поступление (прием) на службу, аттестация, квалификационные экзамены и квалификационные разряды, прекращение службы. Меры поощрения. Основы дисциплинарной ответственности служащих.
Основания прекращения служебных отношений.
- Понятие административной ответственности.
Основные признаки административной ответственности, ее цели. Нормативное, фактическое и процессуальное основания ответственности. Нормативно-правовая основа административной ответственности. Фактическое основание ответственности. Административное правонарушение. Понятие и признаки административного правонарушения. Объективно-противоправные действия.
Понятие состава административного проступка. Структура состава. Виды составов. Виды признаков составов.
Отличие административного проступка от преступления и дисциплинарного проступка. Обстоятельства, исключающие административную ответственность (крайняя необходимость, малозначительность и др.)
Система административных взысканий. Цели, виды взысканий. Принципы наложения административных взысканий. Сроки давности наложения, погашения и исполнения административных взысканий. Обстоятельства, смягчающие и отягчающие административную ответственность.
- Антикоррупционное законодательство.
Административно-правовая ответственность за коррупционные правонарушения. Антикоррупционная политика: понятие, содержание, виды. Антикоррурпционное законодательство: понятие, содержание, структура. Антикоррупционная экспертиза НПА: сущность и субъекты проведения. Дисциплинарно-правовая ответственность за коррупционные правонарушения. Международное сотрудничество по противодействию коррупции: понятие, виды и результаты. Международно-правовые и европейские стандарты правовых средств предупреждения и пресечения коррупции. Основные виды коррупционного поведения. Основные направления деятельности государственных органов по повышению эффективности противодействия коррупции. Основные принципы противодействия коррупции.
Признаки коррупции.
Перечень примерных вопросов
1.Антикоррупционная политика: понятие, содержание, виды.
2.Антикоррупционная экспертиза НПА: сущность и субъекты проведения 3.Антикоррурпционное законодательство: понятие, содержание, структура.
4.Аттестация государственных, гражданских служащих. Квалификационный экзамен. Классные чины государственного гражданского служащего.
5.Вменяемость. Понятие невменяемости, ее критерии и виды. Ограниченная вменяемость.
6. Глава РБ: понятие, порядок наделения полномочиями, компетенция, акты.
7. Государственное Собрание РБ: понятие, порядок выборов, компетенция, структура организации деятельности
8. Государственный орган: понятие, характеристика, признаки.
9. Гражданство РФ: принципы, порядок приобретения и прекращения
10. Законодательный процесс в РФ. Стадии.
11. Классификация органов государства.
12. Классификация преступлений: понятие, виды, значение. Категории преступлений.
13. Классификация функций. Внешние и внутренние функции современного государства и их взаимосвязь.
14. Конституционные гарантии основных прав и свобод человека и гражданина РФ. Конституционные обязанности человека и гражданина.
15. Конституция: понятие, сущность, предмет конституционного регулирования, юридические свойства
16. Конфликт интересов.
17. Место Верховного Суда РФ в судебной системе.
18. Мировые судьи субъектов РФ. Требования, предъявляемые к кандидатам на должность мирового судьи, порядок назначения.
19. Неосторожность и ее виды. Отличие неосторожности от казуса (случая).
20. Органы, обеспечивающие деятельность Президента РФ.
21. Основные виды коррупционного поведения.
22. Основные теории (концепции) происхождения государства.
23. Основы конституционного строя РФ
24. Понятие апелляционной и кассационной инстанций.
25. Понятие звена судебной системы.
26. Понятие и виды административных взысканий.
27. Понятие и виды государственной службы. Принципы государственной службы
28. Понятие и виды юридической ответственности.
29. Понятие и признаки государства.
30. Понятие и признаки права.
31. Понятие и признаки соучастия в преступлении.
32. Понятие и структура правовой нормы.
33. Понятие механизма государства. Его составные части.
34. Понятие надзорной инстанции.
35. Понятие национальной безопасности. Система органов обеспечения национальной безопасности России.
36. Понятие правосудия и его признаки.
37. Понятие формы государства. Соотношение типа и формы государства. Краткая характеристика элементов формы государства.
38. Порядок образования Конституционного Суда РФ.
39. Порядок поступления на государственную службу. Основания прекращения служебных отношений.
40. Права человека.
41. Правительство РБ: состав, порядок формирования, компетенция.
42. Правительство РФ: конституционный статус, порядок формирования, компетенция, прекращение полномочий.
43. Правовое содержание административной ответственности и ее отличие от других видов ответственности.
44. Президент РФ: порядок выборов, компетенция, акты, прекращение полномочий.
45. Принцип осуществления правосудия только судом.
46. Прокуратура РФ: понятие, функции и структура органов прокуратуры.
47. Разделение властей в РФ. Горизонтальное и вертикальное разделение властей.
48. Россия – демократическое государство. Формы представительной и непосредственной демократии. Идеологический и политический плюрализм.
49. Россия – светское государство. Принципы взаимоотношений религиозных объединений и государства.
50. Россия – федеративное государство. Принципы федеративного устройства РФ.
51. Система арбитражных судов, ее место в судебной системе РФ
52. Система и классификация уголовных наказаний. Основные и дополнительные наказания. 53. Система и общая характеристика судов общей юрисдикции.
54. Соотношение судебной, законодательной и исполнительной власти в РФ. Принцип разделения властей.
55. Состав правонарушения.
56. Структура и компетенция Государственной Думы Федерального Собрания РФ.
57. Структура и компетенция Совета Федерации Федерального Собрания РФ. Статус сенаторов.
58. Судебная система РФ. Единство судебной системы.
59. Федеральное Собрание РФ: понятие, порядок формирования палат Федерального Собрания РФ.
60. Экономические основы конституционного строя России.
Демоверсия экзаменационного варианта
Экзаменационный билет № 1
- Аттестация государственных, гражданских служащих. Квалификационный экзамен. Классные чины государственного гражданского служащего.
- Взаимодействие между государственными и муниципальными органами. Порядок наделения органов местного самоуправления отдельными государственными полномочиями.
- Глава муниципального образования: понятие, полномочия, порядок образования
СПИСОК ЛИТЕРАТУРЫ
- Нормативно-правовые акты
- Конституция Российской Федерации
- Конституция Республики Башкортостан
- Кодекс Российской Федерации об административных правонарушениях.
- Уголовный кодекс РФ
- ФКЗ «О правительстве РФ»
- ФЗ «О противодействии коррупции» от 25.12.2008 N 273-ФЗ
- ФЗ «Об антикоррупционной экспертизе нормативных правовых актов и проектов нормативных правовых актов» от 17.07.2009 N 172-ФЗ
- ФЗ «Об общих принципах организации местного самоуправления в Российской Федерации»
- ФЗ «О муниципальной службе в Российской Федерации»
- ФЗ «О системе государственной службы Российской Федерации»
- ФЗ «О государственной гражданской службе Российской Федерации»
- ФЗ «О прокуратуре Российской Федерации»
- Закон РФ «О статусе судей в Российской Федерации»
- Федеральный закон от 8 декабря 2020 г. N 394-ФЗ «О Государственном Совете Российской Федерации»
- Федеральный закон от 21.12.2021 N 414-ФЗ «Об общих принципах организации публичной власти в субъектах Российской Федерации»
II. Учебная литература
- Общая теория государства и права : учебник / под ред. С.Ю. Наумова, А.С. Мордовца, Т.В. Касаевой. – Саратов : Саратовский социально-экономический институт (филиал) РЭУ им. Г.В. Плеханова, 2021. – 392 с
- Мигачев, Ю. И. Административное право Российской Федерации : учебник для академического бакалавриата / Ю. И. Мигачев, Л. Л. Попов, С. В. Тихомиров ; под ред. Л. Л. Попова. — 4-е изд., пер. и доп. — М. : Издательство Юрайт, 2020. — 396 с.
- Государственная и муниципальная служба : учебник для СПО / Ю. Н. Туганов [и др.] ; под ред. Ю. Н. Туганова, С. И. Журавлева, В. И. Петрова. — 3-е изд., пер. и доп. — М. : Издательство Юрайт, 2022. — 286 с.
- Суд и правоохранительные органы Российской Федерации в 2 ч. Часть 1 : учебник для академического бакалавриата / В. В. Ершов [и др.] ; отв. ред. В. В. Ершов, Г. И. Загорский, В. И. Качалов. — 3-е изд., пер. и доп. — М. : Издательство Юрайт, 2021. — 338 с.
- Конституционное право России [Электронный ресурс]: учебник для студентов вузов, обучающихся по направлению подготовки «Юриспруденция»/ В.О. Лучин [и др.].— Электрон. текстовые данные.— М.: ЮНИТИ-ДАНА, 2021.— 672 c.
Педагогика и образование
ПРОГРАММА
вступительного испытания
для поступающих в магистратуру по направлению подготовки
44.04.01 «Педагогическое образование»
программа (профиль)
«Современный образовательный менеджмент»
ОБЩИЕ ПОЛОЖЕНИЯ
Вступительные испытания предназначены для определения практической и теоретической подготовленности поступающего в магистратуру и проводятся с целью определения соответствия знаний умений и навыков требованиям обучения магистратуры по направлению подготовки 44.04.01 «Педагогическое образование». Программа составлена в соответствии с требованиями федерального государственного образовательного стандарта высшего профессионального образования.
Вступительные испытания в магистратуру проводят экзаменационные комиссии, назначенные председателем приёмной комиссии УУНиТ.
ПРОЦЕДУРА ВСТУПИТЕЛЬНОГО ИСПЫТАНИЯ
Дата и время проведения вступительного испытания и консультации определяются расписанием вступительных испытаний, которое утверждается председателем приемной комиссии.
Перед вступительным испытанием для поступающих проводится консультация по содержанию программы испытания, критериям оценки, предъявляемым требованиям, правилам поведения на испытании.
Форма вступительного испытания (в соответствии Положением о вступительных испытаниях УУНиТ): устно-письменная.
Вступительные испытания в виде устного, устно-письменного, проводятся в соответствии с программами вступительных испытаний, утверждаемых председателем приемной комиссии.
Экзаменационные билеты включает в себя два или три вопроса по направлению подготовки.
В аудитории, где проводится вступительное испытание в устной форме, не может находиться одновременно более 6 человек. Нахождение в аудитории посторонних лиц не допускается.
Абитуриенту предоставляется право готовиться к ответу в течение 30 минут.
Абитуриенту предоставляется право ответа на экзаменационные вопросы в течение 20-25 минут.
В процессе сдачи вступительного испытания абитуриенту могут быть заданы дополнительные вопросы как по содержанию экзаменационного билета, так и по любым разделам предмета в пределах программы вступительного испытания.
Абитуриент, не согласный с оценкой, полученной на ВИ и (или) в связи с нарушением процедуры проведения ВИ имеет право подать апелляцию. Процедура подачи и рассмотрения апелляции регламентируется Положением об апелляционной комиссии УУНиТ.
КРИТЕРИИ ОЦЕНИВАНИЯ ОТВЕТА
Критериями оценки экзаменационного ответа, поступающего в магистратуру являются полнота, логичность, доказательность, прочность, осознанность знаний и теоретическая обоснованность суждений, самостоятельность в интерпретации информации, практическая направленность, уровень овладения профессиональными умениями менеджера и др. В случае тестирования является правильные ответы на тестовые задания.
Результаты вступительного испытания определяются по 100-балльной шкале, разброс баллов представлен ниже в таблице:
|
№ |
Критерии оценивания |
Оценка |
|
1 |
Дан полный развернутый ответ на теоретический вопрос:
|
85-100 баллов «отлично» |
|
2 |
Дан в целом правильный ответ на теоретический вопрос:
|
67-84 балла «хорошо» |
|
3 |
Дан в основном правильный ответ на теоретический вопрос:
|
50-66 баллов «удовлетворительно» |
|
4 |
Дан фрагментарный ответ или неправильный ответ на теоретический вопрос из предложенного тематического раздела:
|
0-49 баллов «неудовлетворительно» |
СОДЕРЖАНИЕ РАЗДЕЛОВ И ТЕМ ПРОГРАММЫ
ВСТУПИТЕЛЬНОГО ИСПЫТАНИЯ
Педагогика
1. Теоретико-методологические основы философии и развитии образования.
Философия и развитие образования, статус и круг изучаемых проблем. Основные проблемы изучения: определение философии и развития образования, их специфика. Междисциплинарная природа философии образования. Перспективы дальнейшего развития. Образование как общение, познание, творчество.
2. Философско-методологический подход в образовании.
Системный характер образования. Традиционная система образования. Деятельностный аспект философии образования. Практико-ориентированные концепции образовательной деятельности. Практика как критерий истины в философии образования.
3. Общие закономерности развития научного знания. Современные проблемы науки.
Понятие науки. Наука и ее роль в развитии общества. Наука как система знания, наука как деятельность. Общие закономерности развития науки. Критерии научности знания. Современная классификация наук и ее отражение в образовании. Педагогика как наука. Связь педагогики с другими науками. Объект и предмет педагогики. Категориальный аппарат педагогики. Основные понятия педагогики – образование, воспитание, обучение – в контексте различных культурно-исторических моделей общественного развития. Междисциплинарный контекст понятия «образование». Методология педагогики. Методологические принципы (подходы) педагогики (системный, личностный, деятельностный, полисубъектный, культурологический, этнопедагогический, антропологический) как основания для вычленения ее действительных проблем и определения.
4. Смена научных парадигм – закон развития науки.
Преемственность научных теорий, преемственность педагогического знания. Направленность развития научных теорий. Роль идеи в научном поиске. Система «цель – идея – целеполагание» в педагогике и психологии. Идея образования. Отраслевая структура психолого-педагогических знаний и наук. Практика деятельности образовательного учреждения как важнейший критерий истинности педагогического знания.
5. Интеграция отечественной системы образования с мировым образовательным пространством.
Новые формы обучения в контексте интеграции с мировым образовательным пространством. Особенности управления образовательными системами в контексте интеграции с мировым образовательным пространством. Идеи непрерывного образования: зарубежный и отечественный подход.
6. Базовые основы построения теории обучения.
Принципы оценки эффективности практического применения теории обучения. Психолого-педагогические основы построения классических и современных теорий обучения.
7. Специфика обучения взрослых и детей.
Специфика задач, процесса и результатов обучения взрослых; сравнительное своеобразие подходов к проектированию и построению процессов обучения взрослых и детей; сопоставление основополагающих теоретических и методических моментов андрагогики и педагогики.
Правоведение
1. Законодательство Российской Федерации об образовании.
Понятие и общая характеристика российского образовательного законодательства. Конституционные основы законодательства об образовании. Федеративный характер российского законодательства об образовании.
Региональное, муниципальное и локальное образовательное нормотворчество: образовательное законодательство субъектов Российской Федерации; образовательное правотворчество.
2. Общая характеристика образовательной сферы в Российской Федерации.
Право на образование: понятие, природа, место в системе естественных и конституционных прав и свобод. Содержание права на образование. Современная государственная политика Российской Федерации в области образования. Соотношение понятий «право на образование» и «образовательное право». Основные понятия в сфере правового регулирования образования
Менеджмент
1. Теоретические основы педагогического менеджмента.
Менеджмент как наука. Управление образовательным процессом как системой деятельности педагога и обучающихся. Тенденции развития современного образования Понятие системы образования. Принципы научной организации управленческого труда, принципы аналитической деятельности менеджера образования.
2. Функционально-ролевой репертуар менеджера образования.
Организационные отношения в системе менеджмента в образовании. Организация деятельности коллектива, методы управления коллективом. Формы управления школьным коллективом с учетом уровней общения, творчества, социального опыта. Предупреждение и преодоление формализма в образовательном процессе. Руководитель, педагог как лидер, основные составляющие. Управление качеством образования. Контроль в педагогическом менеджменте. Информационные технологии менеджмента в системе образования.
3. Управленческая культура как системное понятие: сущность, структура, тенденции изменения.
Тезисы понятия «культура». Управленческая культура образовательного труда. Психолого-педагогические основы имиджа как составной части общей культуры руководителя, преподавателя, воспитателя. Слагаемые организационной культуры: базовая цель, общая политика, кодекс поведения. Профессиональная культура, слагаемые профессиональной культуры руководителя, преподавателя, воспитателя.
4. Межличностные отношения, как основа делового общения в коллективе и их формирование.
Коллектив и его структура. Педагогический коллектив школы, особенности его жизнедеятельности. Эффективные и неэффективные коллективы. Роль членов коллектива. Взаимодействие и взаимоотношения в коллективе. Руководство и лидерство в коллективе.
5. Основы управления персоналом.
Концепция управления персонала, цели, функции, закономерности, принципы и методы управления персоналом. Методы построения системы управления персоналом. Кадровый менеджмент: от управления персоналом к управлению человеческими ресурсами. Кадровый менеджмент XXI в. Основные профессиональные роли менеджера по персоналу.
6. Управление межличностными отношениями в коллективе
Понятие межличностных отношений. Виды межличностных отношений (деловые, приятельские, товарищеские, личные и семейные). Межличностные отношения в зависимости от формы взаимодействия (формальные и неформальные). Взаимопонимание как основа межличностных отношений. Структура межличностных отношений (взаимодействие, взаимопонимание и взаимовосприятие). Чувства как психологическая основа межличностных отношений (симпатия и антипатия). Конструктивные и деконструктивные межличностные отношения.
7. Методы формирования и управления кадровой службы.
Стадия формирования организации. Формирование кадровой службы. Проектирование структуры организации. Оценка потребности в персонале. Должностные инструкции. Привлечение кандидатов на работу в организацию. Оценка кандидатов при приеме на работу. Конкурсный набор персонала на работу. Адаптация персонала.
Психология
1. Психология как структурный компонент профессиональной педагогической деятельности.
Общая характеристика педагогической деятельности. Структура и функции педагогической деятельности. Педагог как субъект педагогической деятельности. Психологические модели педагогической деятельности. Мотивация педагогической деятельности и удовлетворенность педагога своей профессией. Педагогические способности и умения.
2. Психология педагогического общения и влияния.
Психологическая характеристика педагогического общения (цели, мотивы, функции, содержание, средства, структура). Многоуровневый характер педагогического общения. Уровни педагогического общения. Особенности профессиональной позиции педагога в ситуациях общения с детьми. Психологические особенности возникновения и способы разрешения конфликтных ситуаций в педагогическом процессе.
3. Профессионально-личностный рост педагога в условиях профессиональной деятельности.
Профессионально-личностные качества современных педагогов, работающих в разных видах образовательных учреждений – воспитателей дошкольных образовательных учреждений, учителей начальных классов, педагогов в работе с подростками, учителей старших классов, преподавателей высших учебных заведений, социальных педагогов образовательных учреждений для детей с отклонением в развитии или социальном поведении, учителей в работе с одаренными детьми. Психологические механизмы профессионально-личностного роста современного педагога. Типология педагога современной образовательной организации. Синдром профессионального выгорания педагога. Психологическая характеристика стрессоустойчивости педагога. Психологические основы педагогического творчества и мастерства.
4. Социальная психология как наука.
Предмет социально-психологической теории, её значение и место в психологической науке. Объект, предмет, система социальной психологии. История развития социальной психологии. Методы социальной психологии. Общая характеристика социально-психологического общения и его функции. Характеристика трех сторон общения: коммуникативной, перцептивной и интерактивной. Социальная психология малых группа. Характеристика групповых процессов. Развитие малой группы.
5. Психология управления.
Объект и предмет психологии управления. Связь психологии управления с общей психологией, социальной психологией, теорией управления и другими науками. Основные задачи психологии управления. Личность как объект управления. Влияние темперамента на выполнение профессиональной деятельности и взаимодействие. Психология управления групповыми процессами. Групповая сплоченность. Социально-психологические характеристики личности руководителя.
Профессиональная этика
1. Основы педагогической этики. Нравственная культура педагога.
Специфика педагогической деятельности. Предмет педагогического труда и проблема ответственности педагога. Моральные нормы отношения педагога к своему труду. Проблема соответствия педагога требованиям современной школы. Нравственные идеалы и ценности педагога. Факторы и барьеры, закономерности и принципы саморазвития нравственной культуры педагога.
2. Этика отношений в системе образования.
Нормы и требования к поведению и общению педагога в его отношениях с учащимися. Открытые проблемы в системе отношений педагог – ребенок. Специфика этики и взаимоотношений в педагогическом коллективе (педагог – педагог). Специфика этики и взаимоотношений педагога с родителями (педагог – родители). Виды профессионально-нравственной деформации личности педагога. Причины профессионально-нравственной деформации личности педагога.
3. Этикет в профессиональной культуре педагога.
Понятие и предназначение этикета. Этикет: исторические корни и современный смысл. Этикет как внешнее проявление внутренней культуры личности. Общие принципы и нормы этикетной культуры. Правила этикета в конкретных ситуациях (приветствия, обращение, знакомство). Манеры, жесты, мимика, позы. Культура речи и речевой этикет. Этикет делового общения. Этикет официальных и неофициальных мероприятий в образовательной организации.
Инклюзивное образование
1. Научно-методологические основы инклюзивного образования.
Инклюзивное образование как феномен общего и специального образования. Цели и задачи инклюзивного обучения детей с проблемами в развитии совместно с детьми физиологической нормы. Возможности социализации детей при оптимальных условиях инклюзивного обучения. Основные положения концепции инклюзивного обучения. Инклюзивное образование в России и за рубежом. Принципы и содержание образования лиц с особыми образовательными потребностями.
2. Современные проблемы инклюзивного образования.
Условия и модели инклюзивного образования. Внедрение инклюзивного образования детей с ОВЗ в массовые общеобразовательные учреждения: перспективы и проблемы. Модель инклюзивного образовательного учреждения.
3. Содержание инклюзивного образовательного процесса.
Организация доступной среды для инвалидов и лиц с ОВЗ. Психолого-педагогическое сопровождение субъектов инклюзивного образования. Профессиональная компетентность педагога инклюзивного образования. Система профессиональных ценностей педагога в условиях инклюзивной образовательной среды. Требования к личностным качествам педагога инклюзивного образовательного процесса.
Демоверсия экзаменационного варианта
Примерные вопросы
- Теоретико-методологические основы философии и развитии образования.
- Психология управления.
- Современные проблемы инклюзивного образования.
СПИСОК ЛИТЕРАТУРЫ
- Боброва И.И. Информационные технологии в образовании: практический курс / И.И. Боброва, Е.Г. Трофимов. – 2-е изд., стер. – Москва: Издательство «Флинта», 2014. – 196 с.
- Борозинец Н.М. Педагогический менеджмент в специальном образовании: учебное пособие / Н.М. Борозинец, А.Л. Коблева. – Ставрополь: СКФУ, 2014. – 167 с.
- Введенская Л.А. Русский язык. Культура речи. Деловое общение / Л.А. Введенская, Л.Г. Павлова, Е.Ю. Кашаева. – Москва: КноРус, 2014. – 424 с.
- Голованова Н.Ф. Педагогика: учебник и практикум для вузов / Н.Ф. Голованова. – 2-е изд., перераб. и доп. – Москва: Издательство Юрайт, 2023. – 372 с. – (Высшее образование).
- Деловое общение: учеб. пособ. для студ. высш. проф. образ., обуч. по спец. «Антикризисное управление» и др. спец. напр. «Менеджмент»: 080507 «Менеджмент организации», 080105 «Финансы и кредит» и др. / С.И. Самыгин, А.М. Руденко. – Москва: КНОРУС, 2010. – 436 с.
- Инновационные педагогические технологии. Активное обучение: учеб. пособ. для студ. учрежд. высшего проф. образов. / А.П. Панфилова. – 3-е изд., испр. – Москва: Академия, 2012. – 192 с.
- Информационно-педагогические технологии: ключевые понятия: учеб. пособие / Е.В. Ширшов. – Ростов-на-Дону: Феникс, 2006. – 253 с. – (Высшее образование).
- История и философия науки: учеб. пособ. / Н.Ф. Бучило, И.А. Исаев; Мос. гос. юрид. академ. им. О.Е. Кутафина. – Москва: Проспект, 2011. – 427 с.
- История педагогики и образования: учебник для вузов / А.И. Пискунов [и др.]; под общей редакцией А.И. Пискунова. – 4-е изд., перераб. и доп. – Москва: Издательство Юрайт, 2024. – 452 с. – (Высшее образование).
- Канке В.А. История, философия и методология педагогики и психологии: учебное пособие для магистров / В.А. Канке, М.Н. Берулава; под ред. М.Н. Берулавы. – М.: Издательство Юрайт, 2019. – 487 с.
- Коджаспирова Г.М. Педагогика: учебник для вузов / Г.М. Коджаспирова. – 4-е изд., перераб. и доп. – Москва: Издательство Юрайт, 2024. – 711 с. – (Высшее образование).
- Конфликтология: учеб. пособие для вузов / Б.С. Волков, Н.В. Волкова. – Москва: Мир: Академический проект, 2007. – 399 с.
- Корытченкова Н.И. Психология и педагогика профессиональной деятельности: учебное пособие / Н.И. Корытченкова, Т.И. Кувшинова. – Кемерово: Кемеровский государственный университет, 2012. – 172 с.
- Красильникова В.А. Использование информационных и коммуникационных технологий в образовании: учебное пособие / В.А. Красильникова. – Москва: Директ-Медиа, 2013. – 292 с.: ил., табл., схем.
- Лебедева Л.В. Социальная психология: учеб. пособие / Л.В. Лебедева. – Санкт-Петербург: Флинта, 2013. – 229 с.
- Михайлова В.П. Психолого-педагогические аспекты профессиональной деятельности (для будущих учителей, менеджеров, инженеров): учебное пособие / В.П. Михайлова, Т.К. Градусова. – Кемерово: Кемеровский государственный университет, 2010. – 180 с.
- Морева Н.А. Основы педагогического мастерства. Практикум: учеб. пособие для вузов / Н.А. Морева. – Москва: Просвещение, 2006. – 192 с.
- Нормативно-правовое обеспечение образования. Правовое регулирование системы образования: учеб. пособ. для студ. вузов, обуч. по пед. спец. (ОПД.Ф.02-Педагогика). – Москва: ВЛАДОС-ПРЕСС, 2008. – 399 с. – (Учебник для вузов).
- Образовательное право: учебник для академ. бакалавр. / А.И. Рожков [и др.]; Мос. гор. пед. ун-т; под общ. ред. А.И. Рожкова. – 2-е изд., испр. – Москва: Юрайт, 2017. – 324 с.
- Основы менеджмента в образовании: Учеб. пособ. для студ. вузов / М.А. Гончаров. – 2-е изд., стер. – Москва: КНОРУС, 2008. – 476 с.
- Панфилова А.П. Взаимодействие участников образовательного процесса: учебник для бакалавров / А.П. Панфилова, А.В. Долматов; под ред. А. П. Панфиловой. – Москва: Издательство Юрайт, 2014. – 487с.
- Педагогика: Учебник для вузов. Стандарт третьего поколения / Под ред. А.П. Тряпицыной. – Санкт-Петербург: Питер, 2013. – С. 14-57.
- Педагогика: учеб. пособие для бакалавров [под ред. П.И. Пидкасистого. – 3-е изд., испр. и доп. – Москва: Издательство Юрайт, 2012. – 511 с.
- Педагогика и психология инклюзивного образования: учебное пособие / Д.З. Ахметова, З.Г. Нигматов, Т.А. Челнокова и др.; под ред. Д.З. Ахметовой. – Казань: Познание, 2013. – 204 с.
- Педагогическая инноватика: учеб. пособ. для студ. вузов, обуч. по пед. спец. / А.В. Хуторской. – Москва: Академия, 2008. – 255 с.
- Педагогическая этика: желаемое и действительное: учеб. -метод. пособ. / Д.А. Белухин; РАО, МПСИ. – М.: МПСИ, 2007. – 124 с.
- Педагогическая этика: инновационный курс для нравственного саморазвития / В.И. Андреев. – Казань: Центр инновационных технологий, 2012. – 272 с.
- Педагогические технологии: учеб. пособие для студ. пед. спец. / авт.-сост. М.В. Буланова-Топоркова, А.В. Духавнева, В.С. Кукушин и др.; под общ ред. В.С. Кукушина. – 3-е изд., испр. и доп. – Ростов-на-Дону: МарТ, 2006. – 333 с.
- Педагогический менеджмент: учеб. пособие для студ. Вузов / Ф.В. Шарипов. – Москва: Университетская книга, 2014. – 480 с.
- Петрова Е.В. Человек в информационной среде: социокультурный аспект / Е.В. Петрова; Российская академия наук, Институт философии. – Москва: Институт философии РАН, 2014. – 138 с.
- Профессиональная этика: учеб. для для студ. учреждений ВПО, обуч. по напр. подг. «Психология» / О.В. Одинцова. – 3-е изд., стер. – Москва: Академия, 2014. – 143 с.
- Психология делового общения: учеб. пособ. для студ., обуч. по спец. «Социология управления», «Управление персоналом», «Менеджмент оганизации», «Государственное и муниципальное управление» / В.А. Макеев; под ред. Ф.И. Шаркова. – Москва: URSS: Книжный дом «Либроком», 2011. – 269 с.
- Психология и этика делового общения: учебник / В.Ю. Дорошенко, Л.И. Зотова, В.Н. Лавриненко и др. – 5-е изд., перераб. и доп. – Москва: Юнити-Дана, 2015. – 415 с.
- Психология личности: Социализация. Поведение. Общение: Современ. учебно-практич. пособие / А.А. Реан. – Москва; Санкт-Петербург: АСТ: Прайм-ЕВРОЗНАК, 2007. – 407 с.
- Психология управления: Учеб. пособие для студ. вузов / Л.Д. Столяренко. – 4-е изд. – Ростов-на-Дону: Феникс, 2007. – 507 с. – (Высшее образование).
- Психолого-педагогический практикум: учеб. пособие для студ. учреждений высш. проф. образования / Л.С. Подымова, Л.И. Духова, Е.А. Ларина, О.А. Шиян; под ред. В.А. Сластёнина. – 6-е изд., стер. – Москва: Издательский центр «Академия», 2011. – 224 с.
- Психология профессионального развития: учеб. пособ. для студ. вузов, обуч. по напр. подг. бакалавра и магистра «Психология» и псих. спец. / Э.Ф. Зеер. – 3-е изд., стер. – Москва: Академия, 2009. – 240 с.
- Сальникова О.А. Совершенствование коммуникативной компетенции учителя: Конспекты лекций. Тренинги: учебное пособие / О.А. Сальникова. – 3-е изд., стереотип. – Москва: Издательство «Флинта», 2016. – 86 с.
- Социальная психология образования: учеб. пособ. для студ. магистратуры, обучающихся по напр. «Психолого-педагогическое образование» и «Психология» / под ред. О.Б. Крушельницкой, М.Е. Сачковой, Л.Б. Шнейдер. – Москва: Вузовский учебник: ИНФРА-М, 2015. – 320 с.
- Социальная психология: учеб. пособие для студ. вузов, обуч. по направ. и спец. психологии / А.Л. Журавлев, В.А. Соснин, М.А. Красников. – Москва: Форум-Инфра-М, 2006. – 414 с. – (Высшее образование).
- Управление персоналом: учебник / В.К. Потемкин. – Санкт-Петербург: Питер, 2010. – 426 c.
- Философия и история образования: учеб. для студ. вузов, обуч. по напр. подг. 051000 Проф. обуч. (по отраслям) квалиф. «бакалавр» / Н.К. Чапаев, И.П. Верещагина. – Москва: Академиия, 2013. – 287 с.
- Философия науки: общ. проблемы: учебник для системы после вуза. проф. образ. / В.С. Степин. – Москва: Гардарики, 2007. – 383 с. – (История и философия науки).
- Философия науки: учеб.пособ. для аспирантов и соискателей уч. степени / Т.Г. Лешкевич. – Москва: Инфра-М, 2010. – 271 с. — (Высшее образование).
- Цибульникова В.Е. Педагогические технологии. Здоровьесберегающие технологии в общем образовании: учебное пособие (с практикумом) для студентов педагогических вузов / В.Е. Цибульникова, Е.А. Леванова; под общ. ред. Е.А. Левановой. – Москва: МПГУ, 2017. – 148 с.
Приборостроение, фотоника и биотехнические системы
ПРОГРАММА
вступительных испытаний
для поступающих в магистратуру по направлениям подготовки
12.04.01 «Приборостроение»
программа (профиль)
«Измерительные информационные технологии»
12.04.03 «Фотоника и оптоинформатика»
программа (профиль)
«Фотоника и оптические информационные технологии»
12.04.04 «Биотехнические системы и технологии»
программа (профиль)
«Биомедицинский инжиниринг»
ОБЩИЕ ПОЛОЖЕНИЯ
Вступительные испытания предназначены для определения практической и теоретической подготовленности поступающего в магистратуру и проводятся с целью определения соответствия знаний умений и навыков требованиям обучения магистратуры по направлениям подготовки 12.04.01 «Приборостроение», 12.04.03 «Фотоника и оптоинформатика», 12.04.04 «Биотехнические системы и технологии» (магистратура). Программа составлена в соответствии с требованиями федерального государственного образовательного стандарта высшего профессионального образования.
Вступительные испытания в магистратуру проводят экзаменационные комиссии, назначенные председателем приёмной комиссии УУНиТ.
ПРОЦЕДУРА ВСТУПИТЕЛЬНОГО ИСПЫТАНИЯ
Дата и время проведения вступительного испытания и консультации определяются расписанием вступительных испытаний, которое утверждается председателем приемной комиссии.
Перед вступительным испытанием для поступающих проводится консультация по содержанию программы испытания, критериям оценки, предъявляемым требованиям, правилам поведения на испытании.
Форма вступительного испытания (в соответствии Положением о вступительных испытаниях УУНИТ): тестирование.
Вступительные испытания в виде электронного тестирования проводятся в соответствии с программами вступительных испытаний, утверждаемых председателем предметной комиссии.
Вступительные испытания в форме тестирования включают вопросы как закрытого, так и открытого типа, а также задания в аудио- и видеоформатах.
Составление вариантов экзаменационных заданий в форме электронных тестов осуществляется ответственным секретарем приемной комиссии университета.
Из вариантов экзаменационных заданий формируются комплекты вопросов-тестов.
Компоновку комплектов вопросов-тестов ответственный секретарь, заместитель ответственного секретаря производят до вступительных испытаний.
Тест содержит 40 тестовых вопросов.
Результаты испытаний оцениваются по 100 бальной шкале.
Абитуриент, не согласный с оценкой, полученной на ВИ и (или) в связи с нарушением процедуры проведения ВИ имеет право подать апелляцию. Процедура подачи и рассмотрения апелляции регламентируется Положением об апелляционной комиссии УУНиТ.
КРИТЕРИИ ОЦЕНИВАНИЯ ОТВЕТА
Критериями оценки экзаменационного ответа, поступающего в магистратуру являются полнота, логичность, доказательность, прочность, осознанность знаний и теоретическая обоснованность суждений, самостоятельность в интерпретации информации, практическая направленность, уровень овладения профессиональными умениями менеджера и др. В случае тестирования является правильные ответы на тестовые задания.
При проверке количество первичных баллов переводится в итоговую 100 балльную шкалу через информационную платформу университета.
СОДЕРЖАНИЕ РАЗДЕЛОВ И ТЕМ ПРОГРАММЫ ВСТУПИТЕЛЬНОГО ИСПЫТАНИЯ ПО НАПРАВЛЕНИЮ 12.04.01 «ПРИБОРОСТРОЕНИЕ»
Теоретические основы электротехники
- Основные законы и элементы электрических цепей
- Анализ цепей синусоидального тока, включая
А) трехфазные цепи
Б) резонансные режимы
В) явление взаимной индукции
3. Переходные процессы
4. Четырехполюсники и электрические фильтры
5. Нелинейные цепи
Физические основы получения информации
- Общие вопросы измерений.
Понятие физической величины (ФВ), единицы ФВ. Система СИ. Понятие средства измерений, измерительного преобразователя, датчика, чувствительного элемента.
- Методы измерений линейных и угловых размеров.
- Методы измерений механических напряжений, сил, моментов и давлений.
- Методы измерений параметров движения твердого тела.
- Методы измерений параметров движения жидких и газообразных веществ.
- Методы измерений температуры.
- Методы измерений концентрации вещества.
- Методы измерений параметров магнитных полей.
Электроника
1. УСИЛИТЕЛИ ЭЛЕКТРИЧЕСКИХ СИГНАЛОВ14: Основные схемы включения ОУ; Широкополосные измерительные усилители.
2. АКТИВНЫЕ ЭЛЕКТРИЧЕСКИЕ ФИЛЬТРЫ на операционных усилителях: Назначение и типы фильтров; Активные фильтры низких частот; Схемы активных фильтров низких частот; Схемы активных фильтров высоких частот; Схемы Полосно-пропускающих фильтров; Схемы полосно-заграждающих фильтров.
3. ИНТЕГРАТОРЫ И ДИФФЕРЕНЦИАТОРЫ: Интеграторы; Интегрирующие усилители на основе ИМС; Дифференциаторы.
4. ПРЕОБРАЗОВАТЕЛИ ТОКА В НАПРЯЖЕНИЕ И НАПРЯЖЕНИЯ В ТОК: Преобразователь тока в напряжение на одном операционном усилителе; Преобразователь напряжения в ток на одном операционном усилителе.
5. КОМПАРАТОРЫ НАПРЯЖЕНИЯ: Основные понятия.
Преобразования измерительных сигналов
1. Информационный сигнал, основные модели. Классификация детерминированных сигналов.
2. Основы метрологии сигналов. Норма, скалярное произведение, энергия, коэффициент корреляции сигналов.
3. Спектральный анализ сигналов. Виды спектров.
4. Виды преобразований сигналов: дискретизация, квантование.
5. Основы теории модуляции сигналов. Виды модуляции. Основные параметры процесса модуляции.
6. Основы цифровой фильтрации.
Микроконтроллеры
- Организация и функционирование микроконтроллеров, варианты архитектуры
- Отечественные микроконтроллеры - организация и функционирование
- Таймеры и сторожевые таймеры микроконтроллеров - организация и функционирование
- Типы микросхем памяти, функционирование и характеристики
- Программно-аппаратные системы Arduino - организация и функционирование
- Организация подключения к микроконтроллеру модуля клавиатуры
- Организация подключения к микроконтроллеру модуля дисплея
Информационно-измерительные управляющие системы
- Структура ИИС
- Получение и передача измерительной информации
- Интерфейсы ИИС
СОДЕРЖАНИЕ РАЗДЕЛОВ И ТЕМ ПРОГРАММЫ ВСТУПИТЕЛЬНОГО ИСПЫТАНИЯ ПО НАПРАВЛЕНИЮ 12.04.03 «ФОТОНИКА И ОПТОИНФОРМАТИКА»
Линейная алгебра и аналитическая геометрия
- Матрицы и действия над ними. Определители, их свойства и вычисление. Обратная матрица. Методы решения систем линейных алгебраических уравнений: матричный метод, метод Крамера, метод Гаусса.
- Векторы и операции над ними. Понятие коллинеарности и компланарности векторов. Скалярное, векторное и смешанное произведения векторов.
Математический анализ и теория вероятностей
- Производная функции, ее геометрический и механический смысл. Производная суммы, произведения и частного (обзор теорем школьного курса). Производная сложной функции.
- Комплексные числа и арифметические действия над ними. Тригонометрическая
и показательная форма комплексного числа. Понятие функции комплексного переменного.
- Геометрические приложения определенного интеграла (вычисление площади фигур в декартовых и полярных координатах, длин кривых, объемов, площадей поверхностей).
- Преобразование Фурье. Разложение в ряд Фурье.
- Дискретные и непрерывные случайные величины. Функция распределения и ее свойства. Закон распределения дискретной случайной величины. Примеры дискретных законов распределения.
- Непрерывные случайные величины, плотность распределения.
Дифференциальные уравнения
- Уравнения 1-го порядка. Понятие особого решения.
- Уравнения с разделяющимися переменными, однородные линейные уравнения и уравнения Бернулли. Уравнения в полных дифференциалах.
- Дифференциальные уравнения высших порядков. Задача Коши. Понятие о краевых задачах для дифференциальных уравнений.
- Понятие общего и частного решения.
- Линейные однородные дифференциальные уравнения. Свойства их решений.
- Линейные неоднородные дифференциальные уравнения n-го порядка.
Физика
- Электромагнитное поле как одна из форм материи. Макроскопические и квантовые свойства поля. Электродинамика и современная радиотехника.
- Основные уравнения Максвелла.
- Векторы электромагнитного поля. Свойства и классификация сред.
- Вектор Пойнтинга.
- Постоянный электрический ток: постоянный электрический ток и его характеристики, закон Ома для однородного участка цепи, сопротивление проводников, работа и мощность тока.
- Интерференция света: понятие о когерентности.
- Дифракция света.
- Взаимодействие электромагнитных волн с веществом: дисперсия света, затухание света
Электроника и электротехника
- Классификация четырехполюсников. Способы описания четырехполюсников в матричной форме.
- Виды полупроводников, кристаллические решетки.
- Энергетические уровни и зоны твердого тела. Разрешенные и запрещенные зоны. Легирование полупроводников. Уровень Ферми.
- Виды электрических переходов. Вентильные свойства р-п перехода.
- Полевые и биполярные транзисторы. Принцип действия и назначение.
Проектирование и эксплуатация средств связи
- Волоконно-оптические линии передачи. Оптические волокона
Технологии уплотнения оптических сигналов. WDM.
СОДЕРЖАНИЕ РАЗДЕЛОВ И ТЕМ ПРОГРАММЫ ВСТУПИТЕЛЬНОГО ИСПЫТАНИЯ ПО НАПРАВЛЕНИЮ 12.04.04 «БИОТЕХНИЧЕСКИЕ СИСТЕМЫ И ТЕХНОЛОГИИ»
Технические средства в системе здравоохранения
- Техническое обеспечение лечебно-диагностического процесса
- Классификация медицинских электронных приборов, аппаратов, систем и комплексов
- Организация диагностических исследований и терапевтических воздействий в типовых ЛПУ
- Правовые аспекты в сфере оборота медицинских изделий
Методология изучения общественного здоровья и деятельности системы здравоохранения
- Методология изучения общественного здоровья и деятельности системы здравоохранения
- Разработка дизайна исследования
- Сбор информации и формирование баз данных, обработка, анализ и визуализация данных
- Выработка управленческих решений, внедрение их в практику и оценка эффективности
Конструирование и проектирование медицинских приборов и систем
- Современная аналоговая элементная база
- Современная цифровая элементная база
- Методы построения схем электрических структурных и функциональных
- Методы расчета электронных узлов и общие сведения о способах подключения элементов в цепь
- Современное автоматизированное рабочее место медицинского персонала
- Перспективы развития современной медицинской техники, этапы проектирования и конструирования медицинских изделий.
Демоверсия экзаменационного варианта ПО НАПРАВЛЕНИЮ 12.04.01 «ПРИБОРОСТРОЕНИЕ»
1.В каких единицах измеряется теплоемкость тел?
1) Дж
2) Дж/К
3) Дж/(кг·К)
4) Дж/кг
5) К
2. Какой из методов измерения температуры наиболее применим для измерения сверхнизких температур (0..4 К)?
1) пирометрический
2) термоэлектрический
3) терморезистивный
4) термомагнитный
5) термочастотный
3. Каков типичный диапазон изменения термоЭДС термопар?
1) 0..200 мВ
2) 0..5 В
3) 0..3,3 В
4) 0..10 мкВ
5) 0..10 нВ
Демоверсия экзаменационного варианта ПО НАПРАВЛЕНИЮ 12.04.03 «ФОТОНИКА И ОПТОИНФОРМАТИКА»
- Какое из следующих утверждений верно для собственных значений матрицы?
a) Все собственные значения квадратной матрицы всегда положительны.
b) Собственные значения определяются только для квадратных матриц.
c) Собственные значения всегда равны нулю.
d) Собственные значения могут быть найдены только для симметричных матриц.
- Как вычисляется дисперсия случайной величины X?
a) Среднее значение X минус его стандартное отклонение.
b) Среднее значение X в квадрате минус квадрат среднего значения X.
c) Среднее значение X плюс его стандартное отклонение.
d) Квадрат суммы всех возможных значений X.
- Как называется процесс преобразования аналогового сигнала в цифровой?
a) Квантование
b) Дискретизация
c) Модуляция
d) Демодуляция
- Какой параметр характеризует скорость затухания сигнала в среде?
a) Дисперсия
b) Коэффициент затухания
c) Импеданс
d) Добротность
- Что измеряет ковариация двух случайных величин?
a) Среднее значение
b) Степень линейной связи
c) Дисперсию
d) Энтропию
- Чему равен коэффициент отражения в линии передачи, если волновое сопротивление равно сопротивлению нагрузки?
a) 1
b) 0
c) -1
d) 0,5
- Какой фильтр используется для подавления низкочастотных помех?
a) Полосовой
b) Режекторный
c) Низкочастотный
d) Высокочастотный
Демоверсия экзаменационного варианта ПО НАПРАВЛЕНИЮ 12.04.04 «БИОТЕХНИЧЕСКИЕ СИСТЕМЫ И ТЕХНОЛОГИИ»
- Наиболее информативная часть ЭКГ занимает полосу частот:
а)0...5 Гц;
б)0...25 Гц;
в)0,05...69 Гц;
г)0,05...120 Гц;
д)50... 1000 Гц.
- Укажите соответствие номера разряда классификатора медицинской техники его значению
|
№ |
Порядковый номер цифр |
Описание |
|
1 |
первые два |
порядковый номер врачебной специальности |
|
2 |
третий |
номер раздела классификатора мед. услуг |
|
3 |
четвертый |
раздел оборудования |
|
4 |
пятый |
подраздел оборудования |
|
5 |
три последних |
порядковый номер изделия |
|
|
|
|
- Вставьте название недостающего элемента (впишите ответ в им. п.): «Аппаратно-программный комплекс «МИЦАР-ЭЭГ» содержит следующие основные блоки: электродную систему; многоканальный усилитель напряжения; … АЦП; многоконтроллер; фотостимулятор; гальваническую развязку; преобразователь уровней; персональный компьютер; источник питания».
- Вставьте название недостающего элемента (впишите ответ в виде общепринятого сокращения заглавными буквами): «Автономный монитор нервно-мышечной блокады состоит из следующих (последовательно соединенных) блоков: однокристальной ЭВМ с дисплеем; стимулятора, подключенного через пациента к датчику вызванных мышечных ответов; усилителя …; аналогово-цифрового преобразователя, подключенного к однокристальной ЭВМ».
- Допишите предложение (впишите ответ в им. п.): «В денситометрах бумажной хроматографии основными узлами оптической схемы являются: источник излучения; протяжный механизм; объектив; усилитель с самописцем;…»
- Что используют в схемах дефибрилляторов в качестве элемента накопления энергии?
СПИСОК ЛИТЕРАТУРЫ
Теоретические основы электротехники
- Атабеков Г. И. Теоретические основы электротехники. Линейные электрические цепи. СПб.: Лань, 2009. 592 с.
- Бессонов Л. А. Теоретические основы электротехники. Электри-ческие цепи: учебник для студентов вузов. 12-е изд., испр.
и доп. М.: Юрайт, 2014. 701 с. - Теоретические основы электротехники. Справочные материалы: справочник / И. Е. Чечулина и др.; Уфимск. гос. авиац. техн.
ун-т. Уфа: РИК УГАТУ, 2019. 83 с. - Чечулина И. Е., Фатхиев А. Р., Лукманов В. С. Анализ линейных электрических цепей в установившихся режимах: практикум/ Уфимск. гос. авиац. техн. ун-т. – Уфа : РИК УГАТУ, 2020. 181 с.
- Теоретические основы электротехники: тестовые задания: учеб. пособие/ В. С. Лукманов и др.; Уфимск. гос. авиац. техн. ун-т. Уфа: РИК УГАТУ, 2017. 201 с.
Физические основы получения информации
1. Тюрин Н.И. Введение в метрологию. 2-е изд. М.: Издательство стандартов, 1976.
2. Спектор С.А. Электрические измерения физических величин: Методы измерений. Л.: Энергоиздат,1987.
Электроника
- Мирина Т. В., Мирин Н. В. Функциональные электронные узлы измерительных и диагностических систем: учебное пособие / Т. В. Мирина, Н. В. Мирин; Уфимск. гос. авиац. техн. унт. – Уфа, 2011. – 303 с.
Преобразования измерительных сигналов
- Каганов, В. И. Основы радиоэлектроники и связи : учебное пособие / В. И. Каганов, В. К. Битюков. — 2-е изд., стер. — Москва : Горячая линия-Телеком, 2018. — 542 с. — ISBN 978-5-9912-0252-7. — Текст : электронный // Лань : электронно-библиотечная система. — URL: https://e.lanbook.com/book/111059
- Гимпилевич, Ю. Б. Радиотехнические цепи и сигналы : учебное пособие / Ю. Б. Гимпилевич. — Севастополь : СевГУ, 2020. — 211 с. — Текст : электронный // Лань : электронно-библиотечная система. — URL: https://e.lanbook.com/book/164926
- Порфирьев, Л. Ф. Основы теории преобразования сигналов в оптико-электронных системах : учебник / Л. Ф. Порфирьев. — 2-е изд., стер. — Санкт-Петербург : Лань, 2021. — 400 с. — ISBN 978-5-8114-1512-0. — Текст : электронный // Лань : электронно-библиотечная система. — URL: https://e.lanbook.com/book/168547 Садовский Г.А.
Микроконтроллеры
- Водовозов, А. М. Микроконтроллеры для систем автоматики : учебное пособие / А. М. Водовозов. — 2-е изд., испр. и доп. — Вологда : Инфра-Инженерия, 2022. — 168 с. — ISBN 978-5-9729-1071-7. — Текст : электронный // Лань : электронно-библиотечная система. — URL: https://e.lanbook.com/book/281222 (дата обращения: 09.04.2025).
- Смирнов, Ю. А. Основы микроэлектроники и микропроцессорной техники : учебное пособие / Ю. А. Смирнов, С. В. Соколов, Е. В. Титов. — 2-е изд., испр. — Санкт-Петербург : Лань, 2022. — 496 с. — ISBN 978-5-8114-1379-9. — Текст : электронный // Лань : электронно-библиотечная система. — URL: https://e.lanbook.com/book/211292 (дата обращения: 09.04.2025).
- Сухатерин, А. Б. Архитектура микроконтроллеров ARM серии Cortex-M : учебное пособие / А. Б. Сухатерин. — Москва : РТУ МИРЭА, 2023. — 114 с. — ISBN 978-5-7339-1731-3. — Текст : электронный // Лань : электронно-библиотечная система. — URL: https://e.lanbook.com/book/331628 (дата обращения: 09.04.2025).
- https://ic.milandr.ru/products/mikrokontrollery_i_protsessory/ Микроконтроллеры и процессоры компании Миландр (дата обращения: 09.04.2025).
Информационно-измерительные управляющие системы
-
- Раскин, Д. Интерфейс: новые направления в проектировании компьютерных систем / Джеф Раскин; пер. с англ. Ю. Асотова. – Санкт-Петербург; Москва: Символ-Плюс, 2010. – 272 с.
- Авдеев, В. А. Периферийные устройства: интерфейсы, схемотехника, программирование [Электронный ресурс]: учебное пособие для вузов / В. А. Авдеев. – Москва: ДМК Пресс, 2009. – 848 с.
- Раннев, Г. Г. Методы и средства измерений: [учебник для студентов вузов, обучающихся по направлению подготовки дипломированных специалистов 653700 "Приборостроение" специальности 190900 "Информационно-измерительная техника и технологии"] / Г. Г. Раннев, А. П. Тарасенко .– 4-е изд., стер. – Москва: Академия, 2008.– 336 с.: ил.; 21 см.– (Высшее профессиональное образование, Приборостроение).
- Клаассен, К. Б. Основы измерений. Электронные методы и приборы в измерительной технике / К. Б. Клаассен; пер. с англ. Е. В. Воронова, А. Л. Ларина; предисл. В. Т. Долгополовой.— Москва: Постмаркет, 2000.— 352 с.
Направление 12.04.03 «Фотоника и оптоинформатика»
- Беклемишев Д.В. Курс аналитической геометрии и линейной алгебры. СПб.: Лань, 2019. URL: https://e.lanbook.com/book/126146
- Беклемишева Л. А. Сборник задач по аналитической геометрии и линейной алгебре [Электронный ресурс]: учебное пособие / Беклемишева Л. А., Беклемишев Д. В., Петрович А. Ю., Чубаров И. А. - Санкт-Петербург: Лань, 2019 - 496 с. URL: https://e.lanbook.com/book/122183
- Клетеник Д. В. Сборник задач по аналитической геометрии [Электронный ресурс]: учебное пособие / Клетеник Д. В. - Санкт-Петербург: Лань, 2019 - 224 с. URL: https://e.lanbook.com/book/114702
- Берман Г. Н. Сборник задач по курсу математического анализа [Электронный ресурс]: учебное пособие / Берман Г. Н. - Санкт-Петербург: Лань, 2019. URL: https://e.lanbook.com/book/1111993.
- Фихтенгольц Г.М. Курс дифференциального и интегрального исчисления. СПб [и др.]: Лань. 2019.
- Демидович Б. П. Дифференциальные уравнения [Электронный ресурс]: учебное пособие /Демидович Б. П., Моденов В. П. - Санкт-Петербург: Лань, 2019. URL: https://e.lanbook.com/book/115196
- Савельев И.В. Курс общей физики [Электронный ресурс]:[учебное пособие для студентов вузов, обучающихся по техническим направлениям и специальностям]:В 5-ти т./И.В.Савельев-Санкт-Петербург [и др.]: Лань, 2011-Т.1: Механика [Электронный ресурс] - 352 с. http://e.lanbook.com/books/element.php?pl_25&pl1_id=704
- Бессонов Л.А. Теоретические основы электротехники. Электромагнитное поле: Учебник для электротехн., энерг., приборостроит. спец. вузов. — 8-е изд., перераб. и доп. — М.: Высш. шк., 1986. — 263 с.:
- Гмурман, В. Е. Теория вероятностей и математическая статистика : [учебник для студентов высших учебных заведений всех направлений и специальностей] / В. Е. Гмурман .— 12-е изд. — Москва : Юрайт, 2018 .— 479 с. ; 21 см .— (Бакалавр. Прикладной курс) .— ISBN 978-5-534-00211-9
- Степаненко, И. П. Основы микроэлектроники: [учебное пособие для вузов] / И. П. Степаненко .— 2-е изд., перераб и доп. — Москва : Лаборатория Базовых Знаний, 2004 .— 488 с. : ил. ; 21 см .— (Электроника) (Технический университет) .— Библиогр.: с. 488
- Салех, Б., Тейх, М. Оптика и фотоника. Принципы и применения. Пер. с англ.: Учебное пособие. Т. 1 / Долгопрудный: Издательство Дом «Интеллект», 2012. – 760 с.
- Салех, Б., Тейх, М. Оптика и фотоника. Принципы и применения. Пер. с англ.: Учебное пособие. Т. 2 / Долгопрудный: Издательство Дом «Интеллект», 2012. – 784 с.
- Карлов, Н.В. Лекции по квантовой электронике / М: Наука, 1988. – 319 с.
- Звелто, О. Принципы лазеров. Пер. под науч. ред. Т.А. Шмаонова: Учебные пособия для вузов. Специальная литература / 4-е изд. СПб.: Издательство «Лань», 2008. – 720 с.
- Бутиков, Е.И. Оптика: Учебное пособие / 3-е изд. доп. СПб.: Издательство «Лань», 2012. – 608 с.
- Каминский, А.А. Лазерные кристаллы / М.: Наука, 1975. – 256 с.
Направление 12.04.04 «Биотехнические системы и технологии»
- Абдуллин, И. Ш. Медицинские приборы, аппараты, системы и комплексы : учебное пособие / И. Ш. Абдуллин, Е. А. Панкова, Ф. С. Шарифуллин. — Казань : КНИТУ, 2011. — 106 с. — ISBN 978-5-7882-1235-7. — Текст : электронный // Лань : электронно-библиотечная система. — URL: https://e.lanbook.com/book/73300;
2. Алиев, М. Т. Интерфейсы микроконтроллеров : учебное пособие / М. Т. Алиев, Т. С. Буканова. — Йошкар-Ола : ПГТУ, 2019. — 94 с. — ISBN 978-5-8158- 2156-9. — Текст : электронный // Лань : электронно-библиотечная система. — URL: https://e.lanbook.com/book/157464;
3. Алиев, М. Т. Интерфейсы микроконтроллеров : учебное пособие / М. Т. Алиев, Т. С. Буканова. — Йошкар-Ола : ПГТУ, 2019. — 94 с. — ISBN 978-5-8158-2156-9. — Текст : электронный // Лань : электронно-библиотечная система. — URL: https://e.lanbook.com/book/157464;
4. Амлаева, К. Р. Общественное здоровье и здравоохранение : учебное пособие : в 2 томах / под редакцией К. Р. Амлаева. — Ставрополь : СтГМУ, 2020 — Том 1 — 2020. — 228 с. — Текст : электронный // Лань : электронно-библиотечная система. — URL: https://e.lanbook.com/book/195054;
5. Андросова, Т. А. Медицинская электроника : учебное пособие / составители Т. А. Андросова, Е. Е. Юндин. — Ставрополь : СКФУ, 2016. — 117 с. — Текст : электронный // Лань : электронно-библиотечная система. — URL: https://e.lanbook.com/book/155309;
6. Ахмерова, С. Г. Эффективное использование ресурсов. Бережливое здравоохранение : учебное пособие / составители С. Г. Ахмерова [и др.]. — Уфа : БГМУ, 2018. — 81 с. — Текст : электронный // Лань : электронно-библиотечная система. — URL: https://e.lanbook.com/book/155744;
7. Баранов, В. Н. Лазерные и светодиодные медицинские приборы и системы : учебное пособие / В. Н. Баранов, О. Н. Кузяков, М. С. Бочков. — Тюмень : ТюмГНГУ, 2012. — 176 с. — ISBN 978-5-9961-0471-0. — Текст : электронный // Лань : электронно-библиотечная система. — URL: https://e.lanbook.com/book/38916;
8. Баранов, В. Н. Медицинская диагностическая техника : учебное пособие / В. Н. Баранов, М. С. Бочков, В. А. Акмашев. — Тюмень : ТюмГНГУ, 2013. — 144 с. — ISBN 978-5-9961-0738-4. — Текст : электронный // Лань : электронно-библиотечная система. — URL: https://e.lanbook.com/book/55418;
9. Баранов, В. Н. Основы обслуживания и ремонта медицинской техники : учебное пособие / В. Н. Баранов, В. А. Акмашев, М. С. Бочков. — Тюмень : ТюмГНГУ, 2013. — 112 с. — ISBN 978-5-9961-0736-0. — Текст : электронный // Лань : электронно-библиотечная система. — URL: https://e.lanbook.com/book/55420;
10. Бармасова, А. М. Основные понятия медицинской электроники : учебно-методическое пособие / А. М. Бармасова, К. А. Кликунова, А. В. Бармасов, В. И. Прошин. — Санкт-Петербург : СПбГПМУ, 2022. — 36 с. — ISBN 978-5-907565-62-3. — Текст : электронный // Лань : электронно-библиотечная система. — URL: https://e.lanbook.com/book/344123;
11. Белов, Н. В. Электротехника и основы электроники : учебное пособие / Н. В. Белов, Ю. С. Волков. — Санкт-Петербург : Лань, 2022. — 432 с. — ISBN 978-5-8114-1225-9. — Текст : электронный // Лань : электронно-библиотечная система. — URL: https://e.lanbook.com/book/210866;
12. Бражникова, Е. В. Архитектура процессоров и микропроцессоров : учебное пособие / Е. В. Бражникова, Ю. М. Скрябин. — Москва : РТУ МИРЭА, 2023. — 178 с. — ISBN 978-5-7339-1896-9. — Текст : электронный // Лань : электронно-библиотечная система. — URL: https://e.lanbook.com/book/382526;
13. Коваль, Н. С. Технология изготовления медицинской техники : учебное пособие / Н. С. Коваль, В. А. Лебедев, И. Л. Вяликов. — Ростов-на-Дону : Донской ГТУ, 2021. — 241 с. — ISBN 978-5-7890-1894-1. — Текст : электронный // Лань : электронно-библиотечная система. — URL: https://e.lanbook.com/book/237776;
14. Козырев, В. Г. Программирование микроконтроллеров : учебное пособие / В. Г. Козырев. — Севастополь : СевГУ, 2023. — 244 с. — Текст : электронный // Лань : электронно-библиотечная система. — URL: https://e.lanbook.com/book/369236;
15. Максименко, Е. В. Аппаратные и программные средства обработки медицинской информации : учебно-методическое пособие / Е. В. Максименко, А. А. Хрипунова. — Ставрополь : СтГМУ, 2020. — 104 с. — Текст : электронный // Лань : электронно-библиотечная система. — URL: https://e.lanbook.com/book/259103;
16. Петрова, Н. Г. Основы экономической теории. Экономика и управление здравоохранением : учебное пособие / Н. Г. Петрова, И. В. Додонова, М. В. Полюкова. — Санкт-Петербург : СпецЛит, 2015. — 204 с. — ISBN 978-5-299-00677-3. — Текст : электронный // Лань : электронно-библиотечная система. — URL: https://e.lanbook.com/book/114892;
17. Пузырёв, И. П. Микроконтроллеры : учебное пособие / И. П. Пузырёв, А. И. Одинец, К. В. Семенов. — Омск : ОмГТУ, 2022. — 116 с. — ISBN 978-5-8149-3533-5. — Текст : электронный // Лань : электронно-библиотечная система. — URL: https://e.lanbook.com/book/343826;
18. Сбродов, Н. Б. Программируемые контроллеры и микроконтроллеры в системах автоматизации : учебное пособие / Н. Б. Сбродов, Е. К. Карпов. — Курган : КГУ, 2019. — 110 с. —ISBN 978-5-4217-0478-2. — Текст : электронный // Лань : электронно-библиотечная система. — URL: https://e.lanbook.com/book/177895;
19. Сунгурова, Е. А. Экономика организации в здравоохранении : учебно-методическое пособие / Е. А. Сунгурова, Б. А. Петров, М. Е. Мормышева. — Киров : Кировский ГМУ, 2020. — 78 с. — Текст : электронный // Лань : электронно-библиотечная система. — URL: https://e.lanbook.com/book/194787;
20. Сушкова, Л. Т. Узлы и элементы медицинской техники: усилительные каскады : учеб. пособие / Л. Т. Сушкова ; Владим. гос. ун-т им. А. Г. и Н. Г. Столетовых. ‒ Владимир : Изд-во ВлГУ, 2013. ‒ 110 с. ISBN 978-5-9984-0414-6;
21. Хурцилава, О. Г. Правовые основы медицинской деятельности : учебное пособие / О. Г. Хурцилава, Л. А. Рожавский, В. Н. Филатов. — Санкт-Петербург : СЗГМУ им. И.И. Мечникова, 2022. — 80 с. — ISBN 978-5-89588-395-2. — Текст : электронный // Лань : электронно-библиотечная система. — URL: https://e.lanbook.com/book/327707;
22. Чернецкий, В. Ю. Менеджмент в здравоохранении : учебное пособие / В. Ю. Чернецкий. — Донецк : ДОНАУИГС, 2019. — 205 с. — Текст : электронный // Лань : электронно-библиотечная система. — URL: https://e.lanbook.com/book/225887;
23. Шкарин, В. В. Общественное здоровье и здравоохранение : руководство / В. В. Шкарин, Н. Г. Чепурина, В. В. Ивашева [и др.]. — Волгоград : ВолгГМУ, 2020. — 60 с. — Текст : электронный // Лань : электронно-библиотечная система. — URL: https://e.lanbook.com/book/179557;
24. Шурдумова, Э. Г. Экономика, право и менеджмент в здравоохранении : методические рекомендации / Э. Г. Шурдумова, А. Х. Шидов, А. А. Кумыкова [и др.]. — Нальчик : КБГУ, 2023. — 62 с. — Текст : электронный // Лань : электронно-библиотечная система. — URL: https://e.lanbook.com/book/379010
Статистика
ПРОГРАММА
вступительных испытаний
для поступающих в магистратуру по направлениям подготовки
01.04.05 «Статистика»
программа (профиль)
«Технологии анализа данных»
38.04.05 «Бизнес-информатика»
программа (профиль)
«Информационная бизнес-аналитика»
ОБЩИЕ ПОЛОЖЕНИЯ
Вступительные испытания предназначены для определения практической и теоретической подготовленности поступающего в магистратуру и проводятся с целью определения соответствия знаний умений и навыков требованиям обучения магистратуры по направлениям подготовки 01.04.05 «Статистика» программа (профиль) «Технологии анализа данных» (магистратура), 38.04.05 «Бизнес-информатика» программа (профиль) «Информационная бизнес-аналитика» (магистратура). Программа составлена в соответствии с требованиями федерального государственного образовательного стандарта высшего профессионального образования.
Вступительные испытания в магистратуру проводят экзаменационные комиссии, назначенные председателем приёмной комиссии УУНиТ.
ПРОЦЕДУРА ВСТУПИТЕЛЬНОГО ИСПЫТАНИЯ
Дата и время проведения вступительного испытания и консультации определяются расписанием вступительных испытаний, которое утверждается председателем приемной комиссии.
Перед вступительным испытанием для поступающих проводится консультация по содержанию программы испытания, критериям оценки, предъявляемым требованиям, правилам поведения на испытании.
Форма вступительного испытания (в соответствии Положением о вступительных испытаниях УУНИТ): тестирование.
Вступительные испытания в виде электронного тестирования проводятся в соответствии с программами вступительных испытаний, утверждаемых председателем предметной комиссии.
Вступительные испытания в форме тестирования включают вопросы как закрытого, так и открытого типа, а также задания в аудио- и видеоформатах.
Составление вариантов экзаменационных заданий в форме электронных тестов осуществляется ответственным секретарем приемной комиссии университета.
Из вариантов экзаменационных заданий формируются комплекты вопросов-тестов.
Компоновку комплектов вопросов-тестов ответственный секретарь, заместитель ответственного секретаря производят до вступительных испытаний.
Тест содержит 40 тестовых вопросов.
Результаты испытаний оцениваются по 100 бальной шкале.
Абитуриент, не согласный с оценкой, полученной на ВИ и (или) в связи с нарушением процедуры проведения ВИ имеет право подать апелляцию. Процедура подачи и рассмотрения апелляции регламентируется Положением об апелляционной комиссии УУНиТ.
КРИТЕРИИ ОЦЕНИВАНИЯ ОТВЕТА
Критериями оценки экзаменационного ответа, поступающего в магистратуру являются полнота, логичность, доказательность, прочность, осознанность знаний и теоретическая обоснованность суждений, самостоятельность в интерпретации информации, практическая направленность, уровень овладения профессиональными умениями менеджера и др. В случае тестирования является правильные ответы на тестовые задания.
При проверке количество первичных баллов переводится в итоговую 100 балльную шкалу через информационную платформу университета.
СОДЕРЖАНИЕ РАЗДЕЛОВ И ТЕМ ПРОГРАММЫ ВСТУПИТЕЛЬНОГО ИСПЫТАНИЯ
1 Экономика
1.1 Микроэкономика
Рыночная экономика. Экономические основы бизнеса и предпринимательства. Фирма как единица бизнеса - виды и формы, цели. Экономика фирмы, постоянные и переменные издержки Налогообложение коммерческих организаций. Конкуренция.
1.2 Макроэкономика
Национальная экономика. Основные макроэкономические показатели. ВВП, ВНД. Инфляция и безработица (понятие, виды, уровни, факторы и причины возникновения, социально-экономические последствия). Темпы макроэкономического роста, инфляции и безработицы. Антиинфляционная политика государства. Экономический цикл и его фазы. Финансовая система и бюджетно-налоговая политика государства. Госбюджет, его доходы и расходы. Государственный долг, последствия накопления, методы управления. Банковская система, ЦБ. Кредитно-денежная политика. Рынок ценных бумаг (первичный, вторичный рынок ценных бумаг, эмиссия, виды ценных бумаг).
1.3 Финансовая грамотность
Финансовая грамотность. Основы личного финансового планирования.
2 Информационные технологии
2.1 Цифровые технологии в экономике и управлении
Понятие информационной системы и информационной технологии. MS Excel (абсолютные и относительные ссылки, форматирование и выравнивание содержимого ячеек, сортировка и фильтр, математические функции, функции для работы с датой и временем). MS Word (форматирование текста и абзацев, составление оглавления).
2.2 Основы алгоритмизации и программирования
Понятие алгоритма и его характеристики. Блок-схема алгоритма. Основные конструкции (объекты, линейная структура, операторы ветвления и цикла). Псевдокод. Алгебра логики. Типы данных. Основы разработки программ.
3. Математические методы в экономике
3.1 Теория вероятностей и математическая статистика
Случайные события: Понятие элементарных событий и операции над ними. Алгебра событий. Определение вероятности (классическое, статистическое, геометрическое). Определение зависимых и независимых случайных событий. Основные теоремы о вероятности. Понятие полной группы событий, теорема о полной вероятности. Формула Байеса. Основные формулы комбинаторики (перестановки, размещения, сочетания и связь между ними). События с повторениями: формула Бернулли, интегральная и локальная теорема Лапласа.
Случайные величины. Понятие случайной величины (СВ) (дискретные и непрерывные СВ). Законы распределения дискретной СВ (биноминальный, Пуассона, геометрический). Понятие функции распределение и плотности распределения вероятностей непрерывной СВ. Основные характеристики дискретных и непрерывных случайных величин (математическое ожидание, дисперсия, среднее квадратичное отклонение). Законы распределения непрерывных случайных величин (равномерное, нормальное, χ распределение, Фишера, Стьюдента, показательное).
Элементы математической статистики. Понятие Выборочной и генеральной совокупности. Определение вариационного ряда. Эмпирическая функция распределения признака. Построение гистограмм и полигонов. Понятие статистической оценки свойства достоверности оценок (состоятельность, эффективность и несмещенность). Основные описательные статистики выборки (дисперсия, мода, среднее значение, медиана, коэффициенты асимметрии и эксцесса). Проверка гипотез: понятие статистической гипотезы и статистического критерия, уровня значимости гипотезы и ошибок первого и второго рода. Точность и надежность оценок. Понятие доверительной вероятности и доверительного интервала. Определение доверительного интервала: для оценки математического ожидания при известном и неизвестном (СКО), для оценки среднего квадратического отклонения (СКО) и дисперсии.
3.2 Эконометрика
Показатели связи. Коэффициенты корреляции, ассоциации, контингенции, сопряженности Чупрова и Пирсона.
Регрессионный анализ Определение оценок параметров регрессии. Метод наименьших квадратов. Виды переменных. Линейная множественная и однофакторная регрессия, проверка качества регрессионных уравнений, проверка достоверности оцененных параметров регрессии (несмещенность, состоятельность; эффективность). Критерии Фишера и Стьюдента. Коэффициент детерминации. Тесты Уайта, Дарбина-Уотсона, Шапиро-Уилка.
3.3 Экономическая статистика
Общая теория статистики. Система национальных счетов. Социально-экономическая статистика. Индексы цен. Общий индекс физического объема продукции. Индекс переменного состава. Индекс фиксированного состава. Индекс структурных сдвигов. Общий индекс товарооборота.
Демоверсия экзаменационного варианта
- Что такое фирма?
a) Единица производства товаров и услуг
b) Группа людей, работающих вместе ради общей цели
c) Государственное учреждение, занимающееся регулированием экономики
d) Организационная структура, целью которой является получение прибыли
- Начальный государственный долг страны составлял 1200 млрд. долларов. За три года бюджет имел следующие показатели:
- 1-й год: дефицит 80 млрд долларов,
- 2-й год: профицит 50 млрд долларов,
- 3-й год: дефицит 100 млрд долларов.
Размер госдолга после трёх лет будет равен _____ млрд. долларов?
- Соотнесите термины с их определениями:
Термины:
- Акция
- Облигация
- Эмиссия
- Биржа
- Дивиденд
Определения:
- Процесс выпуска новых ценных бумаг
- Организация, обеспечивающая торговлю ценными бумагами
- Долговой инструмент, выпускаемый государством или корпорациями
- Доля в капитале компании, дающая право на участие в прибылях
- Периодическая выплата части прибыли акционерам
- Случайные величины X и Y по результатам трех наблюдений приняли следующие значения:

Рассчитайте значение выборочного коэффициента линейной корреляции Пирсона.
СПИСОК ЛИТЕРАТУРЫ
- Микроэкономика: анализ конкурентных рынков: учебное пособие / Н. П. Боголюбова, А. М. Валей, А. В. Дьячкова; под общ. ред. А. В. Дьячковой; Министерство науки и высшего образования Российской Федерации, Уральский федеральный университет. – Екатеринбург: Изд-во Урал. ун-та, 2021. – 187 с. [Электронный ресурс] — URL: https://elar.urfu.ru/bitstream/10995/105466/1/978-5-7996-3293-9_2021.pdf
- Пиндайк Р., Рабинфельд Д. П32 Микроэкономика. / Пер. с англ. — СПб.: Питер, 2002. — 608 с: ил. (Серия «Учебники для вузов»). — URL: http://old.math.isu.ru/ru/chairs/me/files/books/pindayk_mikroec.pdf
- Микроэкономика. Часть I: Базовые экономические понятия. Рыночное равновесие в условиях совершенной конкуренции. Потребительский выбор: учебно-методическое пособие для преподавателей и студентов. — М.: Экономический факультет МГУ имени М.В. Ломоносова, 2020. — 119 с. [Электронный ресурс] — URL: https://www.econ.msu.ru/sys/ raw.php?o=65356&p=attachment
- Гражданский кодекс Российской Федерации (ГК РФ) от 30 ноября 1994 года N 51-ФЗ. Глава 4. Юридические лица [Электронный ресурс] — URL: https://www.consultant.ru/document/cons_doc_LAW_5142/ 00bae34650696e16e03651b9b4c97e814bd53b53/
- Налогообложение в Российской Федерации [Электронный ресурс] — URL: https://www.nalog.gov.ru/rn77/taxation/?ysclid=m96t59sgjz281305334
- Налог на прибыль организаций [Электронный ресурс] — URL: https://www.nalog.gov.ru/rn77/taxation/taxes/profitul/?ysclid=m96s07q7xb556861952
- Лукичёв, П. М. Макроэкономика: учебное пособие. 2-е изд., расшир. и доп. / П. М. Лукичёв, О. П. Чекмарев, А. Д. Шматко. – Санкт-Петербург: Изд-во БГТУ «ВОЕНМЕХ» им. Д. Ф. Устинова, 2024. – 208 с. [Электронный ресурс] — URL: https://motivtrud.ru/PCost/umk/umkekt/makro2024.pdf
- Рыбакова И. В. Макроэкономика: Учебное пособие для студентов направления подготовки «Экономика» / Рубцовский индустриальный институт. – Рубцовск, 2017. – 127 с. [Электронный ресурс] — URL: https://edu.rubinst.ru/resources/books/Rybakova_I.V._Makroyekonomika_(UP)_2017.pdf
- Макроэкономика: учеб. пособие / Р.М. Кундакчян, И.Ф. Гоцуляк, О.А. Игнатьева, И.И. Абдуллин. Казань: Изд-во Казанского ун-та, 2015. – 276 с. [Электронный ресурс] — URL: https://kpfu.ru/portal/docs/F2095063372/ makroekonomika.konspekt.lekcij.pdf
- Деньги и денежно-кредитная система: учебное пособие / Н.Н. Мокеева, А. Е. Заборовская, В. Э. Фрайс; [под общей редакцией Н.Н. Мокеевой]; Мин-во науки и высшего образования Российской Федерации; Урал. федерал. ун-т им. первого Президента России Б. Н. Ельцина.— Екатеринбург: Изд-во Урал. ун-та, 2019.— 148 с. [Электронный ресурс] — URL: https://elar.urfu.ru/bitstream/10995/77400/1/978-5-7996-2697-6_2019.pdf
- Финансовая грамотность: учебное пособие / Т. В. Александрова Г. Г. Модорская; Пермский государственный национальный исследовательский университет. – Электронные данные. – Пермь, 2022. – 191 с. [Электронный ресурс] — URL: http://www.psu.ru/files/docs/science/books/uchebnie-posobiya/aleksandrova-modorskaja-finansovaya-gramotnos.pdf
- Финансовая грамотность [Электронный ресурс] — URL: https://minfin.gov.ru/ru/fingram/
- Рынок ценных бумаг: учебно-метод. пособие / В.А. Одиноков; Моск. ун-т им. С.Ю. Витте.; ф-л Моск. ун-та им. С.Ю. Витте в г. Н. Новгороде [Электронное издание]. –М.: изд. «МУ им. С.Ю. Витте», 2016. – 1,59 Mб. — URL: https://online.muiv.ru/lib/pdf/112128.pdf
- Ульянова, Н. Д. Основные принципы алгоритмизации : учебно-методическое пособие / Н. Д. Ульянова. — Брянск : Брянский ГАУ, 2020. — 56 с. — Текст : электронный // Лань : электронно-библиотечная система. — URL: https://e.lanbook.com/book/172114
- Кривцов, А. Н. Алгоритмизация и программирование. Основы программирования на С/С++ : учебное пособие / А. Н. Кривцов, С. В. Хорошенко. — Санкт-Петербург : СПбГУТ им. М.А. Бонч-Бруевича, 2020. — 202 с. — Текст : электронный // Лань : электронно-библиотечная система. — URL: https://e.lanbook.com/book/180057
- Зюзьков В. М. З-981 Математическая логика и теория алгоритмов : учебное пособие / В. М. Зюзьков. — Томск : Эль Контент, 2015. — 236 с. — [Электронный ресурс] — URL: http://math.tsu.ru/sites/default/files/mmf2/e-resources/math%20logika% 20i%20teoriya%20algoritmov.pdf
- Алгебра логики. Основные логические операции и их таблицы истинности. Основные законы алгебры логики [Электронный ресурс] — URL: https://wiki.livid.pp.ru/students/cs/lectures/6.html
- Информатика. Российская электронная школа [Электронный ресурс] — URL: https://resh.edu.ru/subject/19/
- Ляшева, С. А. Теория вероятностей и математическая статтистика : учебное пособие / С. А. Ляшева, О. В. Ильина. — Казань : КНИТУ-КАИ, 2024. — 164 с. — ISBN 978-5-7579-2703-9. — Текст : электронный // Лань : электронно-библиотечная система. — URL: https://e.lanbook.com/book/453305
- Гмурман В. Е. Руководство к решению задач по теории вероятностей и математической статистике. М., 1975; 1979;1997.
- Вентцелъ Е. С., Овчаров Л. А. Теория вероятностей (задачи и упражнения). М., 1969.
- Эконометрика. Учебник для бакалавров / под ред. И.И. Елисеевой. – М.: Финансы и статистика, 2014. – 288 с.
- Практикум по эконометрике: Учебное пособие / под ред. И.И. Елисеевой. – 2-е изд., перераб. и доп. – М.: Финансы и статистика, 2007.
- Эконометрика : учебник / К.В. Балдин, В.Н. Башлыков, Н.А. Брызгалов и др. ; под ред. В.Б. Уткина. - 2-е изд. - Москва : Издательско-торговая корпорация «Дашков и К », 2017. - 562 с. : ил. - Библиогр.: с. 473-477. - ISBN 978-5-394-02145-9; [Электронный ресурс]. – URL: http://biblioclub.ru/index.php?page=book&id=452991
- Бычкова, С. Г. Социально-экономическая статистика : учебник и практикум для вузов / С. Г. Бычкова, Л. С. Паршинцева ; под общей редакцией С. Г. Бычковой. — Москва : Издательство Юрайт, 2025. — 488 с. — (Высшее образование). — ISBN 978-5-534-14952-4. — Текст : электронный // Образовательная платформа Юрайт [сайт]. — URL: https://urait.ru/bcode/567798
- Пастушенко, С. Б. Национальное счетоводство : учебное пособие / канд.экон.наук, доц. С. Б. Пастушенко; д-р экон. наук, доц. В. В. Реймер. – Благовещенск : Изд-во Дальневосточного ГАУ, 2017. – 141 с.
- Сингизов, И.Ю. Статистика (раздел “Общая теория статистики”): учебное пособие / И.Ю. Сингизов, Г.И. Япарова-Абдулхаликова; Башкирский государственный университет. — Уфа: РИЦ БашГУ, 2020. — Электронная версия печатной публикации. — Доступ возможен через Электронную библиотеку УУНиТ. — <URL:https://elib.bashedu.ru/dl/ corp/Singizov_Yaparova-Abdulkhalikova_Statistika razdel OTS_up_2020.pdf>.
- Сингизов, И.Ю. Статистика (раздел “Социально-экономическая статистика”): учебное пособие / И.Ю. Сингизов , Г.И. Япарова-Абдулхаликова; Башкирский государственный университет. — Уфа: РИЦ УУНиТ, 2020. — Электронная версия печатной публикации. — Доступ возможен через Электронную библиотеку БашГУ. — <URL:https://elib.bashedu.ru/dl/corp/Singizov_Yaparova-Abdulkhalikova_Statistika razdel SES_up_2020.pdf>.
- Система национальных счетов и межотраслевой баланс. Практикум : учебное пособие / А. П. Зинченко, О. Б. Тарасова, Ю. Н. Романцева [и др.]. — Санкт-Петербург : Лань, 2020. — 84 с. — ISBN 978-5-8114-4605-6. — Текст : электронный // Лань : электронно-библиотечная система. — URL: https://e.lanbook.com/book/147111
- Статистика: учебник и практикум для вузов / под редакцией И. И. Елисеевой. — 4-е изд., перераб. и доп. — Москва : Издательство Юрайт, 2025. — 380 с. — (Высшее образование). — ISBN 978-5-534-19581-1. — Текст: электронный // Образовательная платформа Юрайт [сайт]. — URL: https://urait.ru/bcode/559668
- Статистика : учебное пособие для вузов / К. Н. Горпинченко, Е. В. Кремянская, А. М. Ляховецкий [и др.]. — 2-е изд., стер. — Санкт-Петербург : Лань, 2024. — 156 с. — ISBN 978-5-507-47762-3. — Текст: электронный // Лань: электронно-библиотечная система. — URL: https://e.lanbook.com/book/415379
Информационная бизнес-аналитика
ПРОГРАММА
вступительных испытаний
для поступающих в магистратуру по направлениям подготовки
01.04.05 «Статистика»
программа (профиль)
«Технологии анализа данных»
38.04.05 «Бизнес-информатика»
программа (профиль)
«Информационная бизнес-аналитика»
ОБЩИЕ ПОЛОЖЕНИЯ
Вступительные испытания предназначены для определения практической и теоретической подготовленности поступающего в магистратуру и проводятся с целью определения соответствия знаний умений и навыков требованиям обучения магистратуры по направлениям подготовки 01.04.05 «Статистика» программа (профиль) «Технологии анализа данных» (магистратура), 38.04.05 «Бизнес-информатика» программа (профиль) «Информационная бизнес-аналитика» (магистратура). Программа составлена в соответствии с требованиями федерального государственного образовательного стандарта высшего профессионального образования.
Вступительные испытания в магистратуру проводят экзаменационные комиссии, назначенные председателем приёмной комиссии УУНиТ.
ПРОЦЕДУРА ВСТУПИТЕЛЬНОГО ИСПЫТАНИЯ
Дата и время проведения вступительного испытания и консультации определяются расписанием вступительных испытаний, которое утверждается председателем приемной комиссии.
Перед вступительным испытанием для поступающих проводится консультация по содержанию программы испытания, критериям оценки, предъявляемым требованиям, правилам поведения на испытании.
Форма вступительного испытания (в соответствии Положением о вступительных испытаниях УУНИТ): тестирование.
Вступительные испытания в виде электронного тестирования проводятся в соответствии с программами вступительных испытаний, утверждаемых председателем предметной комиссии.
Вступительные испытания в форме тестирования включают вопросы как закрытого, так и открытого типа, а также задания в аудио- и видеоформатах.
Составление вариантов экзаменационных заданий в форме электронных тестов осуществляется ответственным секретарем приемной комиссии университета.
Из вариантов экзаменационных заданий формируются комплекты вопросов-тестов.
Компоновку комплектов вопросов-тестов ответственный секретарь, заместитель ответственного секретаря производят до вступительных испытаний.
Тест содержит 40 тестовых вопросов.
Результаты испытаний оцениваются по 100 бальной шкале.
Абитуриент, не согласный с оценкой, полученной на ВИ и (или) в связи с нарушением процедуры проведения ВИ имеет право подать апелляцию. Процедура подачи и рассмотрения апелляции регламентируется Положением об апелляционной комиссии УУНиТ.
КРИТЕРИИ ОЦЕНИВАНИЯ ОТВЕТА
Критериями оценки экзаменационного ответа, поступающего в магистратуру являются полнота, логичность, доказательность, прочность, осознанность знаний и теоретическая обоснованность суждений, самостоятельность в интерпретации информации, практическая направленность, уровень овладения профессиональными умениями менеджера и др. В случае тестирования является правильные ответы на тестовые задания.
При проверке количество первичных баллов переводится в итоговую 100 балльную шкалу через информационную платформу университета.
СОДЕРЖАНИЕ РАЗДЕЛОВ И ТЕМ ПРОГРАММЫ ВСТУПИТЕЛЬНОГО ИСПЫТАНИЯ
1 Экономика
1.1 Микроэкономика
Рыночная экономика. Экономические основы бизнеса и предпринимательства. Фирма как единица бизнеса - виды и формы, цели. Экономика фирмы, постоянные и переменные издержки Налогообложение коммерческих организаций. Конкуренция.
1.2 Макроэкономика
Национальная экономика. Основные макроэкономические показатели. ВВП, ВНД. Инфляция и безработица (понятие, виды, уровни, факторы и причины возникновения, социально-экономические последствия). Темпы макроэкономического роста, инфляции и безработицы. Антиинфляционная политика государства. Экономический цикл и его фазы. Финансовая система и бюджетно-налоговая политика государства. Госбюджет, его доходы и расходы. Государственный долг, последствия накопления, методы управления. Банковская система, ЦБ. Кредитно-денежная политика. Рынок ценных бумаг (первичный, вторичный рынок ценных бумаг, эмиссия, виды ценных бумаг).
1.3 Финансовая грамотность
Финансовая грамотность. Основы личного финансового планирования.
2 Информационные технологии
2.1 Цифровые технологии в экономике и управлении
Понятие информационной системы и информационной технологии. MS Excel (абсолютные и относительные ссылки, форматирование и выравнивание содержимого ячеек, сортировка и фильтр, математические функции, функции для работы с датой и временем). MS Word (форматирование текста и абзацев, составление оглавления).
2.2 Основы алгоритмизации и программирования
Понятие алгоритма и его характеристики. Блок-схема алгоритма. Основные конструкции (объекты, линейная структура, операторы ветвления и цикла). Псевдокод. Алгебра логики. Типы данных. Основы разработки программ.
3. Математические методы в экономике
3.1 Теория вероятностей и математическая статистика
Случайные события: Понятие элементарных событий и операции над ними. Алгебра событий. Определение вероятности (классическое, статистическое, геометрическое). Определение зависимых и независимых случайных событий. Основные теоремы о вероятности. Понятие полной группы событий, теорема о полной вероятности. Формула Байеса. Основные формулы комбинаторики (перестановки, размещения, сочетания и связь между ними). События с повторениями: формула Бернулли, интегральная и локальная теорема Лапласа.
Случайные величины. Понятие случайной величины (СВ) (дискретные и непрерывные СВ). Законы распределения дискретной СВ (биноминальный, Пуассона, геометрический). Понятие функции распределение и плотности распределения вероятностей непрерывной СВ. Основные характеристики дискретных и непрерывных случайных величин (математическое ожидание, дисперсия, среднее квадратичное отклонение). Законы распределения непрерывных случайных величин (равномерное, нормальное, χ распределение, Фишера, Стьюдента, показательное).
Элементы математической статистики. Понятие Выборочной и генеральной совокупности. Определение вариационного ряда. Эмпирическая функция распределения признака. Построение гистограмм и полигонов. Понятие статистической оценки свойства достоверности оценок (состоятельность, эффективность и несмещенность). Основные описательные статистики выборки (дисперсия, мода, среднее значение, медиана, коэффициенты асимметрии и эксцесса). Проверка гипотез: понятие статистической гипотезы и статистического критерия, уровня значимости гипотезы и ошибок первого и второго рода. Точность и надежность оценок. Понятие доверительной вероятности и доверительного интервала. Определение доверительного интервала: для оценки математического ожидания при известном и неизвестном (СКО), для оценки среднего квадратического отклонения (СКО) и дисперсии.
3.2 Эконометрика
Показатели связи. Коэффициенты корреляции, ассоциации, контингенции, сопряженности Чупрова и Пирсона.
Регрессионный анализ Определение оценок параметров регрессии. Метод наименьших квадратов. Виды переменных. Линейная множественная и однофакторная регрессия, проверка качества регрессионных уравнений, проверка достоверности оцененных параметров регрессии (несмещенность, состоятельность; эффективность). Критерии Фишера и Стьюдента. Коэффициент детерминации. Тесты Уайта, Дарбина-Уотсона, Шапиро-Уилка.
3.3 Экономическая статистика
Общая теория статистики. Система национальных счетов. Социально-экономическая статистика. Индексы цен. Общий индекс физического объема продукции. Индекс переменного состава. Индекс фиксированного состава. Индекс структурных сдвигов. Общий индекс товарооборота.
Демоверсия экзаменационного варианта
- Что такое фирма?
a) Единица производства товаров и услуг
b) Группа людей, работающих вместе ради общей цели
c) Государственное учреждение, занимающееся регулированием экономики
d) Организационная структура, целью которой является получение прибыли
- Начальный государственный долг страны составлял 1200 млрд. долларов. За три года бюджет имел следующие показатели:
- 1-й год: дефицит 80 млрд долларов,
- 2-й год: профицит 50 млрд долларов,
- 3-й год: дефицит 100 млрд долларов.
Размер госдолга после трёх лет будет равен _____ млрд. долларов?
- Соотнесите термины с их определениями:
Термины:
- Акция
- Облигация
- Эмиссия
- Биржа
- Дивиденд
Определения:
- Процесс выпуска новых ценных бумаг
- Организация, обеспечивающая торговлю ценными бумагами
- Долговой инструмент, выпускаемый государством или корпорациями
- Доля в капитале компании, дающая право на участие в прибылях
- Периодическая выплата части прибыли акционерам
- Случайные величины X и Y по результатам трех наблюдений приняли следующие значения:
Рассчитайте значение выборочного коэффициента линейной корреляции Пирсона.
СПИСОК ЛИТЕРАТУРЫ
- Микроэкономика: анализ конкурентных рынков: учебное пособие / Н. П. Боголюбова, А. М. Валей, А. В. Дьячкова; под общ. ред. А. В. Дьячковой; Министерство науки и высшего образования Российской Федерации, Уральский федеральный университет. – Екатеринбург: Изд-во Урал. ун-та, 2021. – 187 с. [Электронный ресурс] — URL: https://elar.urfu.ru/bitstream/10995/105466/1/978-5-7996-3293-9_2021.pdf
- Пиндайк Р., Рабинфельд Д. П32 Микроэкономика. / Пер. с англ. — СПб.: Питер, 2002. — 608 с: ил. (Серия «Учебники для вузов»). — URL: http://old.math.isu.ru/ru/chairs/me/files/books/pindayk_mikroec.pdf
- Микроэкономика. Часть I: Базовые экономические понятия. Рыночное равновесие в условиях совершенной конкуренции. Потребительский выбор: учебно-методическое пособие для преподавателей и студентов. — М.: Экономический факультет МГУ имени М.В. Ломоносова, 2020. — 119 с. [Электронный ресурс] — URL: https://www.econ.msu.ru/sys/ raw.php?o=65356&p=attachment
- Гражданский кодекс Российской Федерации (ГК РФ) от 30 ноября 1994 года N 51-ФЗ. Глава 4. Юридические лица [Электронный ресурс] — URL: https://www.consultant.ru/document/cons_doc_LAW_5142/ 00bae34650696e16e03651b9b4c97e814bd53b53/
- Налогообложение в Российской Федерации [Электронный ресурс] — URL: https://www.nalog.gov.ru/rn77/taxation/?ysclid=m96t59sgjz281305334
- Налог на прибыль организаций [Электронный ресурс] — URL: https://www.nalog.gov.ru/rn77/taxation/taxes/profitul/?ysclid=m96s07q7xb556861952
- Лукичёв, П. М. Макроэкономика: учебное пособие. 2-е изд., расшир. и доп. / П. М. Лукичёв, О. П. Чекмарев, А. Д. Шматко. – Санкт-Петербург: Изд-во БГТУ «ВОЕНМЕХ» им. Д. Ф. Устинова, 2024. – 208 с. [Электронный ресурс] — URL: https://motivtrud.ru/PCost/umk/umkekt/makro2024.pdf
- Рыбакова И. В. Макроэкономика: Учебное пособие для студентов направления подготовки «Экономика» / Рубцовский индустриальный институт. – Рубцовск, 2017. – 127 с. [Электронный ресурс] — URL: https://edu.rubinst.ru/resources/books/Rybakova_I.V._Makroyekonomika_(UP)_2017.pdf
- Макроэкономика: учеб. пособие / Р.М. Кундакчян, И.Ф. Гоцуляк, О.А. Игнатьева, И.И. Абдуллин. Казань: Изд-во Казанского ун-та, 2015. – 276 с. [Электронный ресурс] — URL: https://kpfu.ru/portal/docs/F2095063372/ makroekonomika.konspekt.lekcij.pdf
- Деньги и денежно-кредитная система: учебное пособие / Н.Н. Мокеева, А. Е. Заборовская, В. Э. Фрайс; [под общей редакцией Н.Н. Мокеевой]; Мин-во науки и высшего образования Российской Федерации; Урал. федерал. ун-т им. первого Президента России Б. Н. Ельцина.— Екатеринбург: Изд-во Урал. ун-та, 2019.— 148 с. [Электронный ресурс] — URL: https://elar.urfu.ru/bitstream/10995/77400/1/978-5-7996-2697-6_2019.pdf
- Финансовая грамотность: учебное пособие / Т. В. Александрова Г. Г. Модорская; Пермский государственный национальный исследовательский университет. – Электронные данные. – Пермь, 2022. – 191 с. [Электронный ресурс] — URL: http://www.psu.ru/files/docs/science/books/uchebnie-posobiya/aleksandrova-modorskaja-finansovaya-gramotnos.pdf
- Финансовая грамотность [Электронный ресурс] — URL: https://minfin.gov.ru/ru/fingram/
- Рынок ценных бумаг: учебно-метод. пособие / В.А. Одиноков; Моск. ун-т им. С.Ю. Витте.; ф-л Моск. ун-та им. С.Ю. Витте в г. Н. Новгороде [Электронное издание]. –М.: изд. «МУ им. С.Ю. Витте», 2016. – 1,59 Mб. — URL: https://online.muiv.ru/lib/pdf/112128.pdf
- Ульянова, Н. Д. Основные принципы алгоритмизации : учебно-методическое пособие / Н. Д. Ульянова. — Брянск : Брянский ГАУ, 2020. — 56 с. — Текст : электронный // Лань : электронно-библиотечная система. — URL: https://e.lanbook.com/book/172114
- Кривцов, А. Н. Алгоритмизация и программирование. Основы программирования на С/С++ : учебное пособие / А. Н. Кривцов, С. В. Хорошенко. — Санкт-Петербург : СПбГУТ им. М.А. Бонч-Бруевича, 2020. — 202 с. — Текст : электронный // Лань : электронно-библиотечная система. — URL: https://e.lanbook.com/book/180057
- Зюзьков В. М. З-981 Математическая логика и теория алгоритмов : учебное пособие / В. М. Зюзьков. — Томск : Эль Контент, 2015. — 236 с. — [Электронный ресурс] — URL: http://math.tsu.ru/sites/default/files/mmf2/e-resources/math%20logika% 20i%20teoriya%20algoritmov.pdf
- Алгебра логики. Основные логические операции и их таблицы истинности. Основные законы алгебры логики [Электронный ресурс] — URL: https://wiki.livid.pp.ru/students/cs/lectures/6.html
- Информатика. Российская электронная школа [Электронный ресурс] — URL: https://resh.edu.ru/subject/19/
- Ляшева, С. А. Теория вероятностей и математическая статтистика : учебное пособие / С. А. Ляшева, О. В. Ильина. — Казань : КНИТУ-КАИ, 2024. — 164 с. — ISBN 978-5-7579-2703-9. — Текст : электронный // Лань : электронно-библиотечная система. — URL: https://e.lanbook.com/book/453305
- Гмурман В. Е. Руководство к решению задач по теории вероятностей и математической статистике. М., 1975; 1979;1997.
- Вентцелъ Е. С., Овчаров Л. А. Теория вероятностей (задачи и упражнения). М., 1969.
- Эконометрика. Учебник для бакалавров / под ред. И.И. Елисеевой. – М.: Финансы и статистика, 2014. – 288 с.
- Практикум по эконометрике: Учебное пособие / под ред. И.И. Елисеевой. – 2-е изд., перераб. и доп. – М.: Финансы и статистика, 2007.
- Эконометрика : учебник / К.В. Балдин, В.Н. Башлыков, Н.А. Брызгалов и др. ; под ред. В.Б. Уткина. - 2-е изд. - Москва : Издательско-торговая корпорация «Дашков и К », 2017. - 562 с. : ил. - Библиогр.: с. 473-477. - ISBN 978-5-394-02145-9; [Электронный ресурс]. – URL: http://biblioclub.ru/index.php?page=book&id=452991
- Бычкова, С. Г. Социально-экономическая статистика : учебник и практикум для вузов / С. Г. Бычкова, Л. С. Паршинцева ; под общей редакцией С. Г. Бычковой. — Москва : Издательство Юрайт, 2025. — 488 с. — (Высшее образование). — ISBN 978-5-534-14952-4. — Текст : электронный // Образовательная платформа Юрайт [сайт]. — URL: https://urait.ru/bcode/567798
- Пастушенко, С. Б. Национальное счетоводство : учебное пособие / канд.экон.наук, доц. С. Б. Пастушенко; д-р экон. наук, доц. В. В. Реймер. – Благовещенск : Изд-во Дальневосточного ГАУ, 2017. – 141 с.
- Сингизов, И.Ю. Статистика (раздел “Общая теория статистики”): учебное пособие / И.Ю. Сингизов, Г.И. Япарова-Абдулхаликова; Башкирский государственный университет. — Уфа: РИЦ БашГУ, 2020. — Электронная версия печатной публикации. — Доступ возможен через Электронную библиотеку УУНиТ. — <URL:https://elib.bashedu.ru/dl/ corp/Singizov_Yaparova-Abdulkhalikova_Statistika razdel OTS_up_2020.pdf>.
- Сингизов, И.Ю. Статистика (раздел “Социально-экономическая статистика”): учебное пособие / И.Ю. Сингизов , Г.И. Япарова-Абдулхаликова; Башкирский государственный университет. — Уфа: РИЦ УУНиТ, 2020. — Электронная версия печатной публикации. — Доступ возможен через Электронную библиотеку БашГУ. — <URL:https://elib.bashedu.ru/dl/corp/Singizov_Yaparova-Abdulkhalikova_Statistika razdel SES_up_2020.pdf>.
- Система национальных счетов и межотраслевой баланс. Практикум : учебное пособие / А. П. Зинченко, О. Б. Тарасова, Ю. Н. Романцева [и др.]. — Санкт-Петербург : Лань, 2020. — 84 с. — ISBN 978-5-8114-4605-6. — Текст : электронный // Лань : электронно-библиотечная система. — URL: https://e.lanbook.com/book/147111
- Статистика: учебник и практикум для вузов / под редакцией И. И. Елисеевой. — 4-е изд., перераб. и доп. — Москва : Издательство Юрайт, 2025. — 380 с. — (Высшее образование). — ISBN 978-5-534-19581-1. — Текст: электронный // Образовательная платформа Юрайт [сайт]. — URL: https://urait.ru/bcode/559668
- Статистика : учебное пособие для вузов / К. Н. Горпинченко, Е. В. Кремянская, А. М. Ляховецкий [и др.]. — 2-е изд., стер. — Санкт-Петербург : Лань, 2024. — 156 с. — ISBN 978-5-507-47762-3. — Текст: электронный // Лань: электронно-библиотечная система. — URL: https://e.lanbook.com/book/415379
Государственное управление и местное самоуправление
ПРОГРАММА
вступительного испытания
для поступающих в магистратуру по направлению подготовки
38.04.04 «Государственное и муниципальное управление»
программа (профиль)
«Государственное управление и местное самоуправление»
ОБЩИЕ ПОЛОЖЕНИЯ
Вступительные испытания предназначены для определения практической и теоретической подготовленности поступающего в магистратуру и проводятся с целью определения соответствия знаний умений и навыков требованиям обучения магистратуры по направлению подготовки 38.04.04 «Государственное и муниципальное управление» (магистратура). Программа составлена в соответствии с требованиями федерального государственного образовательного стандарта высшего профессионального образования.
Вступительные испытания в магистратуру проводят экзаменационные комиссии, назначенные председателем приёмной комиссии УУНиТ.
ПРОЦЕДУРА ВСТУПИТЕЛЬНОГО ИСПЫТАНИЯ
Дата и время проведения вступительного испытания и консультации определяются расписанием вступительных испытаний, которое утверждается председателем приемной комиссии.
Перед вступительным испытанием для поступающих проводится консультация по содержанию программы испытания, критериям оценки, предъявляемым требованиям, правилам поведения на испытании.
Форма вступительного испытания (в соответствии Положением о вступительных испытаниях УУНИТ): тестирование.
Вступительные испытания в виде электронного тестирования проводятся в соответствии с программами вступительных испытаний, утверждаемых председателем предметной комиссии.
Вступительные испытания в форме тестирования включают вопросы как закрытого, так и открытого типа, а также задания в аудио- и видеоформатах.
Составление вариантов экзаменационных заданий в форме электронных тестов осуществляется ответственным секретарем приемной комиссии университета.
Из вариантов экзаменационных заданий формируются комплекты вопросов-тестов.
Компоновку комплектов вопросов-тестов ответственный секретарь, заместитель ответственного секретаря производят до вступительных испытаний.
Тест содержит 40 тестовых вопросов.
Результаты испытаний оцениваются по 100 бальной шкале.
Абитуриент, не согласный с оценкой, полученной на ВИ и (или) в связи с нарушением процедуры проведения ВИ имеет право подать апелляцию. Процедура подачи и рассмотрения апелляции регламентируется Положением об апелляционной комиссии УУНиТ.
КРИТЕРИИ ОЦЕНИВАНИЯ ОТВЕТА
Критериями оценки экзаменационного ответа, поступающего в магистратуру являются полнота, логичность, доказательность, прочность, осознанность знаний и теоретическая обоснованность суждений, самостоятельность в интерпретации информации, практическая направленность, уровень овладения профессиональными умениями менеджера и др. В случае тестирования является правильные ответы на тестовые задания.
При проверке количество первичных баллов переводится в итоговую 100 балльную шкалу через информационную платформу университета.
СОДЕРЖАНИЕ РАЗДЕЛОВ И ТЕМ ПРОГРАММЫ ВСТУПИТЕЛЬНОГО ИСПЫТАНИЯ
- Государственное управление как социальное явление, управляющая система и сфера деятельности
- общественные институты, процессы, институты государственного управления
- общие принципы государственного управления
- основные характеристики государственного управления
- основные модели государственного управления
- функции и формы государства
- система разделения властей в государственном управлении
- теоретические основы государственного регулирования экономики
- структура органов государственного управления
- государственная гражданская служба
- антикоррупционная борьба
- Местное самоуправление в системе публичного управления
- организационные основы муниципального управления
- принципы местного самоуправление и муниципального управления
- органы местного самоуправления (представительные, исполнительные)
- муниципальная служба
Демоверсия экзаменационного варианта
1.На какие три самостоятельные ветви делится власть?
1. Государственная, муниципальная, частная
2. Исполнительная, законодательная, судебная
3. Автономная, областная, краевая
4. Уголовная, административная, гражданская
2. Что является признаком демократических выборов?
1. Граждане, находящиеся под следствием, имеют право участвовать в выборах
2. Кандидаты назначаются властным методом
3. Молодежь не может голосовать свободно
4. На выборы выдвигается одно лицо
3. Какая главная цель правового государства?
1. Обеспечение безопасности страны
2. Обеспечение прав человека и гражданина
3.Рапределение полномочий среди государственных органов власти
4. Поддержка предпринимательства
4. На какие формы подразделяется государственное устройство?
1. Унитарное и федеративное
2. Монархия и республика
3. Демократия и федерация
4. Конфедерация и монархия
5. Основной задачей местного самоуправления является:
1. Обеспечение национальной безопасности
2. Решение вопросов местного значения
3. Регулирование международных отношений
4. Контроль над региональными властями
6.Какая форма управления характерна для муниципальных образований?
1. Директивное управление сверху вниз
2. Самоуправление с участием населения
3. Полное подчинение региональным властям
4. Управление через федеральные органы
7. Какой орган власти в РФ отвечает за принятие федеральных законов?
1. Государственная Дума
2. Совет Федерации
3. Президент РФ
4. Правительство РФ
8. Что такое государственный долг?
1. Сумма всех доходов государства
2. Сумма всех непогашенных государственных займов
3. Сумма всех налоговых поступлений
4. Сумма всех государственных расходов
9. Какой из перечисленных факторов оказывает наибольшее влияние на экономический рост?
1. Рост численности населения
2. Увеличение государственных расходов
3. Технологический прогресс
4. Инфляция
10.Какие из данных налогов являются местными?
1. Земельный налог;
2. Налог на имущество юридического лица
3 Налог на имущество физического лица
4. Налог на доходы физического лица
5. Местные лицензионные сборы;
СПИСОК ЛИТЕРАТУРЫ
- Васильев, В. П. Государственное и муниципальное управление : учебник и практикум для вузов / В. П. Васильев, Н. Г. Деханова, Ю. А. Холоденко. — 5-е изд., перераб. и доп. — Москва : Издательство Юрайт, 2025. — 314 с.
- Баталова, Ю. В. Государственное и муниципальное управление : учебник для вузов / Ю. В. Баталова ; под общей редакцией Н. А. Омельченко. — 2-е изд., перераб. и доп. — Москва : Издательство Юрайт, 2025. — 389 с.
- Купряшин, Г. Л. Основы государственного и муниципального управления : учебник для вузов / Г. Л. Купряшин. — 4-е изд., перераб. и доп. — Москва : Издательство Юрайт, 2025. — 582 с.
- Основы государственного и муниципального управления: учебник и практикум для вузов /под редакцией Г. А. Меньшиковой, Н. А. Пруеля. — Москва : Издательство Юрайт, 2025. — 340 с.
- Система государственного и муниципального управления : учебник и практикум для вузов / под редакцией С. Г. Еремина, Н. Н. Мусиновой, О. В. Паниной, С. Е. Прокофьева. — 3-е изд., перераб. и доп. — Москва : Издательство Юрайт, 2025. — 545 с.
- Прокофьев, С. Е. Теория и механизмы современного государственного и муниципального управления : учебник для вузов / С. Е. Прокофьев, С. Г. Еремин, А. И. Галкин. — 3-е изд., перераб. и доп. — Москва : Издательство Юрайт, 2025. — 692 с.
- Прокофьев, С. Е. Основы современного государственного и муниципального управления : учебник для среднего профессионального образования / С. Е. Прокофьев, С. Г. Еремин, А. И. Галкин. — 3-е изд., перераб. и доп. — Москва : Издательство Юрайт, 2025. — 692 с.
Картография и геоинформатика
ПРОГРАММА
вступительного испытания
для поступающих в магистратуру по направлению подготовки
05.04.03 «Картография и геоинформатика»
программа (профиль)
«Геоинформационные системы и технологии»
ОБЩИЕ ПОЛОЖЕНИЯ
Вступительные испытания предназначены для определения практической и теоретической подготовленности, поступающего в магистратуру, и проводятся с целью определения соответствия знаний умений и навыков требованиям обучения магистратуры по направлению подготовки 05.04.03 «Картография и геоинформатика» (магистратура). Программа составлена в соответствии с требованиями федерального государственного образовательного стандарта высшего профессионального образования.
Вступительные испытания в магистратуру проводят экзаменационные комиссии, назначенные председателем приёмной комиссии УУНиТ.
ПРОЦЕДУРА ВСТУПИТЕЛЬНОГО ИСПЫТАНИЯ
Дата и время проведения вступительного испытания и консультации определяются расписанием вступительных испытаний, которое утверждается председателем приемной комиссии.
Перед вступительным испытанием для поступающих проводится консультация по содержанию программы испытания, критериям оценки, предъявляемым требованиям, правилам поведения на испытании.
Форма вступительного испытания (в соответствии Положением о вступительных испытаниях УУНИТ): тестирование.
Вступительные испытания в виде электронного тестирования проводятся в соответствии с программами вступительных испытаний, утверждаемых председателем предметной комиссии.
Вступительные испытания в форме тестирования включают вопросы как закрытого, так и открытого типа, а также задания в аудио- и видеоформатах.
Составление вариантов экзаменационных заданий в форме электронных тестов осуществляется ответственным секретарем приемной комиссии университета.
Из вариантов экзаменационных заданий формируются комплекты вопросов-тестов.
Компоновку комплектов вопросов-тестов ответственный секретарь, заместитель ответственного секретаря производят до вступительных испытаний.
Тест содержит 40 тестовых вопросов.
Результаты испытаний оцениваются по 100 бальной шкале.
Абитуриент, не согласный с оценкой, полученной на ВИ и (или) в связи с нарушением процедуры проведения ВИ имеет право подать апелляцию. Процедура подачи и рассмотрения апелляции регламентируется Положением об апелляционной комиссии УУНиТ.
КРИТЕРИИ ОЦЕНИВАНИЯ ОТВЕТА
Критериями оценки экзаменационного ответа, поступающего в магистратуру, являются полнота, логичность, доказательность, прочность, осознанность знаний и теоретическая обоснованность суждений, самостоятельность в интерпретации информации, практическая направленность, уровень овладения профессиональными умениями менеджера и др. В случае тестирования является правильные ответы на тестовые задания.
При проверке количество первичных баллов переводится в итоговую 100 балльную шкалу через информационную платформу университета.
СОДЕРЖАНИЕ РАЗДЕЛОВ И ТЕМ ПРОГРАММЫ ВСТУПИТЕЛЬНОГО ИСПЫТАНИЯ
Картоведение
1. История возникновения и развития картографии
2. Структура, классификация и типология карт
3. Математическая основа карт
4. Картографические способы изображения карт
5. Составление и применение карт
Топография с основами геодезии и топочерчения
1. Топографические карты и планы: структура, классификация, содержание, способы изображения
2. Системы координат и ориентирных углов
3. Разграфка и номенклатура топографических карт и планов
4. Топокартометрия
5. Топосъемка местности: сущность, виды, способы
Общая геодезия
1. Основы геодезии: предмет и задачи, история развития и роль геодезии
2. Определение положения точек на земной поверхности
3. Геодезические измерения и их точность
4. Геодезические съемки: виды и их классификация, этапы проведения полевых работ
5. Специальные геодезические работы
Инженерная геодезия
1. Технология разбивочных работ
2. Способы разбивочных работ
3. Инженерно-геодезические изыскания
4. Геодезические работы в строительстве
5. Инженерно-геодезические опорные сети
Методы полевого картографирования
1. Работа с топокартами для предварительного дешифрировании ПТК. Содержание метода поконтурного изображения рельефа
2. Работа с аэрофото-, космическими материалами и отраслевыми картами
3. Заполнение полевой документации. Рекогносцировка и выбор участков для детальных исследований. Работа на точках наблюдений на маршрутах
4. Заполнение полевой документации. Рекогносцировка и выбор участков для детальных исследований. Работа на точках наблюдений на маршрутах
5. Ключевые участки, пробные площадки, почвенные шурфы. Ландшафтное профилирование. Комплексное физико-географическое описание
Компьютерный практикум по картографии
1. Разработка тематической карты
2. Преобразование графической информации в цифровую
3. Операции со слоями
4. Формирование изображения создаваемой карты
5. Работа в векторном графическом редакторе с цветовой палитрой
Введение в геоинформационное картографирование
1. Роль геоинформационных систем в структуре современного общества.
2. Составные части геоинформационных систем
3. Геоинформационное картографирование
4. Элементы ГИС
5. Введение в геоинформационную систему QGIS
Геодезическо-картографическое инструментоведение
1. История развития геодезических инструментов и приборов
2. Стандартизация и классификация геодезических приборов
3. Устройство теодолитов
4. Устройство нивелиров
5. Современное геодезическое оборудование
Проектирование, составление, редактирование и оформление тематических карт
- Проектирование и редактирование карт
- Методы построения картографических знаков. Картографическая семиотика
- Картографические шрифты и надписи на картах.
- Внешнее оформление картографических произведений.
- Цветовое оформление карт.
Дешифрирование аэрокосмических снимков
1. Факторы, влияющие на дешифровочные свойства
2. Аэрокосмическая съемка
3. Дешифровочные признаки
4. Визуальное дешифрирование
5. Автоматизированное дешифрирование
Основы спутникового позиционирования
1. Общие вопросы и область применения спутникового позиционирования
2. Системы координат и отчета времени в спутниковых технологиях
3. Режимы измерений и измеряемые величины в спутниковых системах
4. Спутниковые методы определения координат и измерений на местности
5. Технология проведения работ. Совместное использование ГЛОНАСС и GPS
Аэрокосмическое зондирование и фотограмметрия
1. История развития фотограмметрии
2. Аэрофотосъемка местности
3. Теория стереопары
4. Измерительные приборы
5. Использование результатов аэрофотосъемки местности
Математическая картография
1. Геодезическая основа карт
2. Математическая основа карт
3. Искажения в картографических проекциях
4. Картографические проекции: виды, способы получения
5. Преобразование и распознавание картографических проекций
Использование карт
1. Использование карт: исторический аспект
2. Анализ географических карт как итог их использования
3. Язык карты как основа для ее чтения и использования
4. Использование карт при изучении рельефа
5. Использование карт в школе
Цифровая картография
1. Содержание и назначение
2. Создание и редактирование цифровых карт
3. Способы хранения и передачи данных
4. Программное обеспечение
5. Применение цифровых карт
Общегеографические карты
1. Классификация общегеографических карт
2. Элементы содержания общегеографических карт
3. Изображение побережья, гидрографической сети, рельефа, растительности и грунтов, населенных пунктов, дорожной сети и водных путей, социально-экономических объектов на общегеографических картах
4. Редактирование общегеографических карт
5. Применение общегеографических карт
Карты природы
1. История и общие методологические принципы создания карт природы
2. Содержание карт природы: картографическое изображение, легенда, способы изображения
3. Этапы создания и редактирования карт природы
4. Технологические приемы составления карт природы
5. Редакционные документы
Применение данных дистанционного зондирования в тематическом и геоинформационном картографировании
1. Основы дистанционного зондирования
2. Виды и технологии аэрокосмической съемки
3. Методы и приемы обработки космических снимков
4. Дешифрирование снимков
5. Составление и редактирование карт
Специализированный ГИС практикум по картографии
1. Основные положения и задачи геоинформационного картографирования
2. Введение в геоинформационную систему MapInfo
3. Введение в геоинформационную систему Аксиома ГИС
4. Проектирование и составление карт в QGIS
5. Проектирование и составление карт в MapInfo и Аксиома ГИС
Геоинформационное обеспечение работ муниципального и государственного уровня
1. Основные цели и задачи геоинформационного обеспечения территорий
2. Геоинформационное обеспечение территорий на основе ГИС-технологий
3. Муниципальная геоинформационная система: задачи, архитектура и описание
4. Основные модули муниципальной геоинформационной системы
5. Технология создания и ведения муниципальной геоинформационной системы
Оформление компьютерных и электронных карт
1. Оформление карт
2. Цветовое оформление карт
3. Внешнее оформление картографических произведений
4. Освоение методики компьютерного оформления штрихового оригинала тематической карты
5. Проектирование и составление карт в CorelDraw
Атласная картография
1. История развития атласной картографии
2. Классификация атласов
3. Общегеографические атласы
4. Тематические атласы
5. Проектирование атласа
Геоинформационное картографирование
1. Общие положения геоинформационного картографирования
2. Географические основы геоинформационного картографирования
3. Оперативное геоинформационное картографирование
4. Программное обеспечение геоинформационного картографирования
5. Составление и редактирование геоинформационных карт
Проектирование картографических баз данных
1. Представление и организация географической информации в базах данных ГИС
2. Классификация моделей пространственных объектов и данных
3. Проектирование географических баз данных
4. Представление пространственных объектов в базах данных
5. Система управления базами данных
Картографическое обеспечение кадастровых и проектных работ
1. Картографо-геодезическое обеспечение кадастра
2. Исходная геодезическая основа для выполнения кадастровых работ
3. Технология и организация кадастровых работ
4. Картографический материал, используемый при создании документации кадастра недвижимости
5. Установление границ земельного участка и межевание земель
Автоматизация геодезических работ
1. Автоматизация инженерно-геодезических измерений
2. Автоматизированное составление топографических планов
3. ГИС в геодезии
4. Программный комплекс nanoCAD
5. Создание топографических планов
Картографическая информация
1. Картографическая информация: сущность и виды
2. Картографические условные знаки и образы как носители информации
3. Получение картографической информации
4. Первичные документы и источники картографической информации
5. Цифровая картографическая информация
Полевое комплексное картографирование
1. Физико-географические методы исследования. Картографический метод. Полевые методы исследования
2. Комплексные полевые исследования территории. Экспедиционные исследования. Описание точек. Построение профилей
3. Основные картографические произведения
4. Новые направления и методы картографирования
5. Карты почвообразующих пород. Почвенные карты. Ландшафтные карты
Геоботаническое и зоогеографическое картографирование
1. История развития, предмет, задачи роль геоботанического и зоогеографического картографирования
2. Фитоценотические классификации и картографирование растительности
3. Виды геоботанических карт
4. Виды зоогеографических карт
5. Полевые исследования для построения геоботанических карт
Геологическое и геоморфологическое картографирование
1. Геологическое картографирование. Особенности составления и оформления. Изображение и обобщение различных форм залегания горных пород
2. Тектоническое и неотектоническое картографирование. Принципы картографирования. Виды карт, их значение
3. Геоморфологическое картографирование. Направления геоморфологического картографирования. Типы и содержание карт.
4. Составление геоморфологической карты административного района. Разработка редакционных указаний по составлению географической основы.
5. Составление геологической карты административного района. Разработка редакционных указаний по составлению географической основы
Координатная привязка и трансформирование геоизображений
1. Пространственная привязка данных и преобразование проекций
2. Алгоритмы трансформирования геоизображений
3. Определение координат контрольных точек
4. Оценка ошибок трансформирования
5. Операция с данными в векторном формате
Социально-экономическое картографирование
1. Социально-экономическое картографирование:история формирования, типизация социально-экономических карт
2. Источники для составления социально-экономических карт
3. Методы проектирования и составления социально-экономических карт
4. Картографирование населения и социальной инфраструктуры
5. Карты промышленности и строительства
Почвенно-геохимическое картографирование
1. Почвенно-геохимическое картографирование: история формирования, типизация почвенно-геохимических карт
2. Методология мелкомасштабного почвенно-геохимического картографирования
3. Базовые почвенно-геохимические карты
4. Прикладные почвенно-геохимические карты
5. Почвенно-геохимические карты: итоги сравнительного анализа и главные элементы методологии картографирования
Экологическое картографирование
1. Современные концепции экологического картографирования
2. Классификация экологических карт
3. Источники информации в экологическом картографировании
4. Методология экологического картографирования
5. Картографирование атмосферных проблем, загрязнения вод суши, геолого-геоморфологического загрязнения, загрязнения почв, физического загрязнения, биоэкологическое картографирование, комплексное экологическое картографирование
Экономика и организация картографического производства
1. Развитие и задачи картографического производства
2. Организационная структура управления картографическим производством
3. Организация, нормирование и производительность труда
4. Производственные фонды картографических предприятий
5. Хозяйственный расчет предприятий: себестоимость, прибыль и рентабельность
Нормативно-техническая документация в области картографии и геоинформатики
1. Нормативно-техническая документация в области картографии и геоинформатики. Общие положения
2. Стандарты в области картографии и геоинформатики.
3. Геодезические, картографические инструкции, нормы и правила
4. Инструкции о государственном геодезическом надзоре. Руководства. Приказы. Письма.
5. Государственное управление в области картографии и геоинформатики
Агроклиматическое и гидрологическое картографирование
1. Содержание и назначение агроклиматических карт
2. Содержание, виды и назначение гидрологических карт
3. Источники и методика создания агроклиматических карт
4. Источники и методика создания гидрологических карт
5. Основные картографические произведения по климату
Автоматизированная обработка аэрокосмической информации для картографирования геопространственных данных
1. Основные свойства космических снимков
2. Классификация космических снимков по пространственному разрешению
3. Краткие сведения о спутниковых данных среднего и высокого пространственного разрешения
4. Тематическое дешифрирование объектов, процессов и явлений по снимкам среднего и высокого разрешения
5. Данные спутников серии Landsat и SENTINEL-2
Демоверсия экзаменационного варианта
Пробный тест
1. Вершиной античной картографии является:
1. «Руководство по географии» К. Птоломея
2. «Географическая доска» Анаксимандра
3. глобус Кратеса
4. «География» Эратосфена
2. Какие из нижеуказанных слов использовались для обозначения картографических произведений до появления термина «карта»:
1. tabula
2. terker
3. descriptionis
4. map
3. Установите соответствие между формами передачи иноязычных названий и вариантами написания столицы Франции на русскоязычных картах:
1. Пари А. официальная форма
2. Париж Б. транслитерация
3. Парис В. традиционная форма
4. Paris Г. фонетическая форма
Варианты ответов: 1) 1-Г, 2-В, 3-Б, 4-А; 2) 1-В, 2-Г, 3-Д, 4-А; 3) 1-Д, 2-В, 3-А, 4-Б; 4) 1-Б, 2-В, 3-Г, 4-А
4. Наиболее удобным способом изображения типов почв на почвенной карте является?
5. Примерно к какому российскому масштабу соответствует полудюймовая британская карта?
СПИСОК ЛИТЕРАТУРЫ
- Андросова Н.К. Геолого - экологические исследования и картографирование. - М.: Изд-во РУДН, 2000. - 97с.
- Берлянт А.М. Картография. 2-е издание, исправленное и дополненное. М.: КДУ, 2010.-328 с.
- Билич Ю.С., Васмут А.С. Проектирование и составление карт: учебник для вузов, М.: Недра, 1984. – 364 с.
- Богданова М.Д. Мелкомасштабное почвенно-геохимическое картографирование / под ред. чл.-корр. РАН Н.С. Касимова // Географический факультет МГУ. - М.: АПР, 2008. - 168 с.
- Бойков А. А. Компьютерная графика в оформлении карт: часть первая. МИРЭА - Российский технологический университет. 2021. – 79 с.
- Гарманова В.В. Географические информационные системы: учебное пособие. Санкт-Петербургский государственный аграрный университет (СПбГАУ), 2022. - 172 стр.
- Геоботаническое картографирование /Санкт-Петербург: Издательство ЛЭТИ, 2013. - 153 с. - ISBN 978-5-7629-1380-6; то же [Электронный ресурс]. - URL: http://biblioclub.ru/index.php?page=book&id=467593
- Географическое картографирование: карты природы/уч. пособие под ред. Е.А. Божилиной. - М.: КДУ, 2010.- 316 с.
- Геодезия и топография: учебник / Г. Д. Курошев, Л. Е. Смирнов. - 3-е изд., стер. — М.: Академия, 2009. — 176 с
- Гизатшина Г.М., Усманова А.Р. Картографическая информация: учебное пособие / Г.М. Гизатшина, А.Р. Усманова. – Уфа: РИЦ БашГУ, 2019. – 132 с.
- Гиниятуллина О.Л., Хорошева Т.А. Геоинформационные системы. Уч. пособие. Изд - во: Кемеровский государственный университет, 2018. - 122с.
- Гиниятуллина О.Л., Хорошева Т.А. Геоинформационные системы: учебное пособие. Кемеровский государственный университет, 2018. 122 с.
- Дегтярев, Владимир Михайлович. Инженерная и компьютерная графика: учебник / В. М. Дегтярев, В. П. Затыльникова. - 4-е изд., стереотип. — Москва: Академия, 2013.— 240 с. (аб-2: 27 экз)
- Дешифрирование аэрокосмических снимков: учебник, [электронное издание сетевого распространения] / Е.А. Балдина, И.А. Лабутина. – 2-е изд., переработанное и дополненное. – М.: «КДУ», «Добросвет», 2021. – 269 с.
- Елшина Т. Е. Общегеографическое картографирование: учебно-методическое пособие / Т. Е. Елшина, Е. С. Утробина. - Новосибирск: СГУГиТ, 2022. - 82 с.
- Карпик А.П. Методологические и технологические основы геоинформационного обеспечения территорий: Монография. – Новосибирск: СГГА, 2004.
- Карпова Т.С. Базы данных: модели, разработка, реализация: уч. пособие. Изд - во: Национальный Открытый университет «ИНТУИТ», 2016. - 241 с.
- Картоведение /под. ред. Берлянт А.М/ М.: Аспект Пресс, 2003.- 447 с.
- Картографирование природных процессов и явлений: учебное пособие / Г.М. Галиахметова; И.Ф. Адельмурзина; Э.В. Бакиева; Р.Р. Сулейманов; Уфимский университет науки и технологий. - Уфа: РИЦ УУНиТ, 2022. - Электрон. версия печ. публикации.
- Картографическое и геодезическое обеспечение при ведении кадастровых работ: учебное пособие / Д.А. Шевченко, А.В. Лошаков, С.В. Одинцов и др.; Министерство сельского хозяйства Российской Федерации, Федеральное государственное бюджетное образовательное учреждение высшего образования «Ставропольский государственный аграрный университет», Кафедра землеустройства и кадастра. – Ставрополь: Ставропольский государственный аграрный университет, 2017. – 116 с.
- Комплексная физико-географическая практика [Электронный ресурс]: методические указания для студентов 1 и 2 курсов, обучающихся по направлениям подготовки 05.03.02 «География», 05.03.03 «Картография и геоинформатика» / Уфимский университет науки и технологий; сост. И.М. Япаров; И.Р. Вильданов; Р.А. Хамидуллин; Э.В. Бакиева; Р.Р. Сулейманов. - Уфа: РИЦ БашГУ, 2018. - Электрон. версия печ. публикации.
- Кочуров Б.И. Геоэкологическое картографирование: учеб. пособие для студ. высш. учеб. заведений. - М.: «Академия», 2009. - 192 с.
- Лощинин В., Галянина Н. Структурная геология и геологическое картирование: к лабораторному практикуму по структурной геологии и геологическому картированию: учебное пособие. - Оренбург: ОГУ, 2013. - 94 с. http://biblioclub.ru/
- Лурье И.К. Геоинформационное картографирование. Методы геоинформатики и цифровой обработки космических снимков. М: КДУ, 2010. - 424 с.
- Максудова Л.Г., Иванова В.А., Прасолов В.Н. Экономика картографического производства. - М.: Недра, 1991.–136 с.
- Матушкин А.С. Картографирование и анализ пространственных данных с использованием геоинформационной системы QGIS: Учебное пособие. Вятский государственный университет. 2018. – 100 с.
- Михайлов К.К. Возможности и перспективы развития российского программного обеспечения в области геоинформационных технологий. Российский государственный педагогический университет им. А.И. Герцена. 2023. – 75 с
- Назаров А.С. Фотограмметрия: учеб.пособие для студентов вузов. – Мн.: Тетра Системс, 2006. – 368 с.
- Петрова Е. Ю. Методы географических исследований. Практикум. Томский государственный педагогический университет. 2019. - 40 с.
- Приймак, Е. В. Основы технического регулирования: учебник: [16+] / Е. В. Приймак, В.Ф. Сопин; Казанский национальный исследовательский технологический университет. – Казань: Казанский научно-исследовательский технологический университет (КНИТУ), 2018. – 359 с.: ил., табл., схем – Режим доступа: по подписке. – URL: https://biblioclub.ru/index.php?page=book&id=612715
- Сайфуллин, И.Ю. Геодезия [Электронный ресурс]: учеб. пособие / И.Ю. Сайфуллин, Р.Р. Сулейманов, И.Р. Вильданов; Башкирский государственный университет. — Уфа: РИЦ БашГУ, 2016.
- Салищев К.А. Картоведение. 3-е издание, исправленное и дополненное. М.: МГУ, 1990.-400 с.
- Салищев К.А. Картография. 3-е издание, исправленное и дополненное. М.: Высшяя школа, 1987.-272 с.
- Сваткова Т.Г., Алексеенко Н.А. Географическое картографирование: общегеографические карты: Учебно-методическое пособие. - М.: Географический факультет МГУ, 2008. - 150с.
- Серапинас Б.Б. Глобальные системы позиционирования: учеб издание – М.: ИКФ «Каталог», 2002. – 106 с.
- Серапинас Б.Б. Математическая картография: учебник для вузов /Балис Балио Серапинас. - М.: Издательский центр “Академия”, 2005. - 336 с.
- Справочно-правовая база КонсультантПлюс. Режим доступа: – URL: http://www.consultant.ru.
- Стружкин Н.П. Базы данных: проектирование: учебник для вузов. - М.: Изд-во Юрайт, 2023. - 477 с.
- Стурман В.И. Экологическое картографирование: учеб. пособие. - М.: Аспект Пресс, 2003. - 251 с.
- Уваров, А. И. Инженерно-геодезические изыскания: учебное пособие / А. И. Уваров, Н. А. Пархоменко, Л. А. Пронина. — Омск: Омский ГАУ, 2023. — 99 с.
- Шихов А.Н., Герасимов А.П., Пономарчук А.И., Перминова Е.С. Тематическое дешифрирование и интерпретация космических снимков среднего и высокого пространственного разрешения [Электронный ресурс]: учебное пособие. Пермь, 2020. 191 с. http://www.psu.ru/files/docs/science/books/uchebnie-posobiya/shikhov-gerasimov-ponomarchuk-perminova-tematicheskoe-deshifrovanie-i-interpretaciya-kosmicheskih-snimkov.pdf
Маркетинговое управление
ПРОГРАММА
вступительного испытания
для поступающих в магистратуру по направлению подготовки
38.04.02 «Менеджмент»
программа (профиль)
«Маркетинговое управление»
ОБЩИЕ ПОЛОЖЕНИЯ
Вступительные испытания предназначены для определения практической и теоретической подготовленности поступающего в магистратуру и проводятся с целью определения соответствия знаний умений и навыков требованиям обучения магистратуры по направлению подготовки 38.04.02 «Менеджмент» (магистратура). Программа составлена в соответствии с требованиями федерального государственного образовательного стандарта высшего профессионального образования.
Вступительные испытания в магистратуру проводят экзаменационные комиссии, назначенные председателем приёмной комиссии УУНиТ.
ПРОЦЕДУРА ВСТУПИТЕЛЬНОГО ИСПЫТАНИЯ
Дата и время проведения вступительного испытания и консультации определяются расписанием вступительных испытаний, которое утверждается председателем приемной комиссии.
Перед вступительным испытанием для поступающих проводится консультация по содержанию программы испытания, критериям оценки, предъявляемым требованиям, правилам поведения на испытании.
Форма вступительного испытания (в соответствии Положением о вступительных испытаниях УУНИТ): тестирование.
Вступительные испытания в виде электронного тестирования проводятся в соответствии с программами вступительных испытаний, утверждаемых председателем предметной комиссии.
Вступительные испытания в форме тестирования включают вопросы как закрытого, так и открытого типа, а также задания в аудио- и видеоформатах.
Составление вариантов экзаменационных заданий в форме электронных тестов осуществляется ответственным секретарем приемной комиссии университета.
Из вариантов экзаменационных заданий формируются комплекты вопросов-тестов.
Компоновку комплектов вопросов-тестов ответственный секретарь, заместитель ответственного секретаря производят до вступительных испытаний.
Тест содержит 40 тестовых вопросов.
Результаты испытаний оцениваются по 100 бальной шкале.
Абитуриент, не согласный с оценкой, полученной на ВИ и (или) в связи с нарушением процедуры проведения ВИ имеет право подать апелляцию. Процедура подачи и рассмотрения апелляции регламентируется Положением об апелляционной комиссии УУНиТ.
КРИТЕРИИ ОЦЕНИВАНИЯ ОТВЕТА
Критериями оценки экзаменационного ответа, поступающего в магистратуру являются полнота, логичность, доказательность, прочность, осознанность знаний и теоретическая обоснованность суждений, самостоятельность в интерпретации информации, практическая направленность, уровень овладения профессиональными умениями менеджера и др. В случае тестирования является правильные ответы на тестовые задания.
При проверке количество первичных баллов переводится в итоговую 100 балльную шкалу через информационную платформу университета.
СОДЕРЖАНИЕ РАЗДЕЛОВ И ТЕМ ПРОГРАММЫ ВСТУПИТЕЛЬНОГО ИСПЫТАНИЯ
Теория менеджмента
1. Сущность менеджмента. Виды и уровни менеджмента в организационной структуре.
2. Функции менеджмента в современной компании.
3. Школа научного управления: основные представители, вклад в науку управления.
4. Классическая (административная) школа управления: основные представители, вклад в науку управления.
5. Школа человеческих отношений: основные представители, вклад в науку управления.
6. Вопросы применения системного, ситуационного и оперативного подхода в менеджменте.
Теория организации
1. Организация и ее основные признаки. Характеристика организации как системы.
2. Внутренняя и внешняя среда организации.
3. Классификация видов организаций. Законы жизнедеятельности организации.
4. Цели в управлении организацией. Классификация целей. Установление целей и их ранжирование.
5. Понятие и сущность организационной структуры фирмы. Принципы и факторы, влияющие на формирование организационной структуры.
6. Типы организационных структур управления.
Стратегический менеджмент и разработка управленческих решений
1. Стратегия организации и ее виды.
2. Планирование как функция менеджмента: цели, задачи и принципы. Перспективное, среднесрочное и текущее планирование. Виды планов.
3. Процесс стратегического планирования. SWOT – анализ.
4. Понятие и сущность организационного управленческого решения. Типы управленческих решений.
5. Подходы к принятию управленческих решений.
6. Процесс принятия управленческих решений: основные стадии процесса.
Мотивация и организационная культура
1. Сущность мотивации. Взаимосвязь мотивации и потребностей, мотивации и вознаграждения.
2. Содержательные теории мотивации: основные представители, идеи.
3. Процессуальные теории мотивации: представители, основные идеи.
4. Понятие и содержание организационной культуры. Функции организационной культуры.
5. Формирование, поддержание и изменение организационной культуры.
6. Групповая динамика организации и формирование команды.
Лидерство и управление коммуникациями
1. Личность менеджера. Специфика деятельности менеджеров высшего, среднего и низшего звена.
2 Феномен власти в менеджменте. Типология власти. Власть и авторитет менеджера.
3. Менеджер и лидер. Понятие лидерства. Традиционные концепции лидерства.
4. Ситуационный подход к феномену лидерства в менеджменте.
5. Сущность коммуникации. Процесс коммуникации: обратная связь. Шумы в коммуникации.
6. Межличностные и организационные коммуникации.
Маркетинг
1. Сущность, содержание и виды маркетинга.
2. Маркетинговая среда и маркетинговая система организации.
3. Понятие и структура маркетинговых исследований.
4. Виды и методы маркетинговых исследований.
5. Понятие и критерии рыночной сегментации.
6. Понятие и классификации товаров в маркетинге. Позиционирование товаров.
7. Понятие и стадии разработки товара рыночной новизны. Жизненный цикл товара.
8. Ассортимент, упаковка товара и торговая марка в товарной политике.
9. Ценовая политика в маркетинге: сущность и составные элементы.
10. Понятие, функции и содержание сбытовой политики в маркетинге.
11. Совокупность средств продвижения товаров на рынок.
12. Реклама: функции и разновидности.
13. Виды организационных структур служб маркетинга.
14. Планирование маркетинговой деятельности.
Демоверсия экзаменационного варианта
1. «Множественный выбор».
Основными составными частями комплекса маркетинга являются
а) цена, продвижение, сбыт, товар;
б) товар, стимулирование сбыта, реклама;
в) сбыт товара, ценообразование, продвижение;
г) планирование продукции, определение цены, использование товарных знаков.
2. «На соответствие».
Сопоставьте функции менеджмента и их определения (представлено верное соответствие)
|
организация |
процесс формирования структуры управления и создания определенного порядка в работе |
|
мотивация |
процесс приобщения рабочих до высокопроизводительного труда |
|
координация |
процесс установления пропорций и согласование действий в системе управления |
|
контроль |
система наблюдения и проверки функционирования предприятия |
3. «Короткий ответ» / «Числовой».
Процесс деления рынка на отдельные группы покупателей с похожими потребностями или характеристиками, которые будут реагировать на маркетинговые усилия одинаково.
Ответ: сегментация.
СПИСОК ЛИТЕРАТУРЫ
Нормативно-правовые акты:
1. Закон РФ «О защите прав потребителей» от 07.02.1992 N 2300-1 (ред. от 08.08.2024).
2. Федеральный закон «О рекламе» от 13.03.2006 N 38-ФЗ (ред. от 26.12.2024).
3. Федеральный закон «О конкуренции» от 26.07.2006 N 135-ФЗ (ред. от 14.10.2024).
Основная литература:
1. Абрамов В. С., Абрамов С. В. Стратегический менеджмент. – М.: Юрайт. 2024. – 435 с.
2. Абчук В. А., Трапицын С. Ю., Тимченко В. В. Прикладные аспекты менеджмента. – М.: Юрайт. 2023. – 348 с.
3. Абчук В. А., Трапицын С. Ю., Тимченко В. В. Теоретические основы менеджмента. – М.: Юрайт. 2023. – 321 с.
4. Астахова Н. И., Москвитин Г. И. Менеджмент. – М.: Юрайт. 2023. – 423 с.
5. Веснин В. Р. Менеджмент. 4-е изд. – М.: Проспект. 2024. – 616 с.
6. Голубкова Е. Н. Интегрированные маркетинговые коммуникации: учебник и практикум для вузов / Е. Н. Голубкова. – 3-е изд., перераб. и доп. – М: Юрайт, 2023. – 363 с.
7. Григорьев М. Н. Маркетинг: учебник для вузов / М. Н. Григорьев. – 6-е изд., перераб. и доп. – М: Юрайт, 2024. – 479 с.
8. Егоров Ю. Н. Управление маркетингом: учебник / Ю.Н. Егоров. – М: ИНФРА-М, 2022. – 238 с.
9. Зуб А. Т. Стратегический менеджмент. – М.: Юрайт. 2024. – 376 с.
10. Иванова И. А., Сергеев А. М. Менеджмент. – М.: Юрайт. 2024. – 328 с.
11. Иванова Т. Ю., Коротков Э. М., Приходько В. И. Теория менеджмента. Синергетический менеджмент. – М.: Юрайт. 2024. – 332 с.
12. Инновационный маркетинг: учебник для вузов / С. В. Карпова [и др.] ; под общей редакцией С. В. Карповой. – 2-е изд., перераб. и доп. – М: Юрайт, 2024. – 474 с.
13. Калюжнова Н. Я. Современные модели маркетинга: учебное пособие для вузов / Н. Я. Калюжнова, Ю. Е. Кошурникова; под общей редакцией Н. Я. Калюжновой. – 2-е изд., испр. и доп. – М: Юрайт, 2024. – 170 с.
14. Карасев А. П. Маркетинговые исследования и ситуационный анализ: учебник и практикум для вузов / А. П. Карасев. – 3-е изд., перераб. и доп. – М: Юрайт, 2025. – 286 с.
15. Карпова С. В. Маркетинг: теория и практика: учебное пособие для бакалавров / С. В. Карпова. – М: Юрайт, 2025. – 383 с.
16. Коргова М. А. Менеджмент организации. – М.: Юрайт. 2024. – 207 с.
17. Коротков Э. М. Менеджмент. – М.: Юрайт. 2024. – 567 с.
18. Малюк В. И. Современные проблемы менеджмента. – М.: Юрайт. 2024. – 196 с.
19. Мардас А. Н., Гуляева О. А. Основы менеджмента. Практический курс. – М.: Юрайт. 2024. – 176 с.
20. Титов В. Н., Суханова Г. Н. Теория и история менеджмента. – М.: Юрайт. 2024. – 488 с.
Дополнительная литература
1. Григорян Е. С. Маркетинговые коммуникации: учебник / Е. С. Григорян. – М: ИНФРА-М, 2023. – 294 с.
2. Егоров Ю. Н. Основы маркетинга: учебник / Ю.Н. Егоров. – 2-е изд., перераб. и доп. – М: ИНФРА-М, 2021. – 292 с.
3. Карпова С. В. Маркетинговый анализ. Теория и практика: учебное пособие для вузов / С. В. Карпова, С. В. Мхитарян, В. Н. Русин ; под общей редакцией С. В. Карповой. – М: Юрайт, 2025. – 181 с.
4. Коноваленко, В. А. Основы интегрированных коммуникаций: учебник и практикум для академического бакалавриата / В. А. Коноваленко, М. Ю. Коноваленко, Н. Г. Швед. – М: Юрайт, 2025. – 479 с.
5. Коргова М. А., Салогуб А. М. Менеджмент. История менеджмента. – М.: Юрайт. 2023. – 168 с.
6. Мардас А. Н., Гуляева О. А. Теория менеджмента. – М.: Юрайт. 2024. – 294 с.
7. Маркетинг-менеджмент. Учебник и практикум / под ред. И. В. Липсица, О. К. Ойнера. – М.: Юрайт. 2024. – 380 с.
8. Менеджмент / под ред. И. Н. Шапкина. – М.: Юрайт. 2023. – 590 с.
9. Менеджмент / под ред. Ю. В. Кузнецовой. – М.: Юрайт. 2024. – 596 с.
10. Менеджмент: методы принятия управленческих решений / под ред. П. В. Иванова. – М.: Юрайт. 2023. 3 – 51 с.
11. Михалева Е. П. Менеджмент. – М.: Юрайт. 2023. – 192 с.
12. Попов С. А. Стратегический менеджмент: актуальный курс. – М.: Юрайт. 2023. – 482 с.
13. Пушкарева Г. В. Менеджмент. – М.: Юрайт. 2023. – 327 с.
14. Староверова К. О. Менеджмент. Эффективность управления. – М.: Юрайт. 2024. – 270 с.
15. Тебекин А. В. Стратегический менеджмент. – М.: Юрайт. 2024. – 334 с.
16. Трофимова Л. А., Трофимов В. В. Менеджмент. Методы принятия управленческих решений. – М.: Юрайт. 2023. – 313 с.
17. Шарапова Т. В. Основы менеджмента. – М.: Юрайт. 2023. – 209 с.
18. Шифрин М. Б. Стратегический менеджмент. – М.: Юрайт. 2024. – 296 с.
Периодические издания (интернет-ресурсы):
1. Официальный сайт «Реклама в России» – Режим доступа: https://www.rwr.ru/.
2. Официальный сайт «Энциклопедия маркетинга» – Режим доступа: https://www.marketing.spb.ru/.
3. Официальный сайт «Новости и аналитические статьи о рекламе, маркетинге и PR» – Режим доступа: http://www.advertology.ru/.
4. Официальный сайт «Гильдия маркетологов» – Режим доступа: https://www.marketologi.ru/.
5. Журнал «Проблемы теории и практики управления» – Режим доступа: https://ptpu.pro.
6. Журнал «Менеджмент в России и за рубежом» – Режим доступа: http://www.mevriz.ru.
7. Журнал «Маркетинг в России и за рубежом» – Режим доступа: https://www.cfin.ru/press/marketing/.
8. Журнал «Управление компанией» – Режим доступа: http://www.zhuk.net/.
9. Маркетинг и маркетинговые исследования – Режим доступа: https://grebennikon.ru/journal/3/.
10. Журнал «Маркетолог» – Режим доступа: https://www.marketolog.ru.
Русская литература
ПРОГРАММА
вступительного испытания
для поступающих в магистратуру по направлению подготовки
44.04.01 «Педагогическое образование»
программа (профиль)
«Русский язык и литература в поликультурном мире»
ОБЩИЕ ПОЛОЖЕНИЯ
Вступительные испытания предназначены для определения практической и теоретической подготовленности поступающего в магистратуру и проводятся с целью определения соответствия знаний умений и навыков требованиям обучения магистратуры по направлению подготовки 44.04.01 «Педагогическое образование». Программа составлена в соответствии с требованиями федерального государственного образовательного стандарта высшего профессионального образования.
Вступительные испытания в магистратуру проводят экзаменационные комиссии, назначенные председателем приёмной комиссии УУНиТ.
ПРОЦЕДУРА ВСТУПИТЕЛЬНОГО ИСПЫТАНИЯ
Дата и время проведения вступительного испытания и консультации определяются расписанием вступительных испытаний, которое утверждается председателем приемной комиссии.
Перед вступительным испытанием для поступающих проводится консультация по содержанию программы испытания, критериям оценки, предъявляемым требованиям, правилам поведения на испытании.
Форма вступительного испытания (в соответствии Положением о вступительных испытаниях УУНИТ): устно-письменно
Вступительные испытания проводятся в соответствии с программами вступительных испытаний, утверждаемых председателем приемной комиссии.
Экзаменационные билеты включают два вопроса по направлению подготовки (по специальности).
В аудитории, где проводится вступительное испытание в устной форме, не может находиться одновременно более 6 человек. Нахождение в аудитории посторонних лиц не допускается.
Абитуриенту предоставляется право готовиться к ответу в течение 30 минут.
Абитуриенту предоставляется право ответа на экзаменационные вопросы в течение 20-25 минут.
В процессе сдачи вступительного испытания абитуриенту могут быть заданы дополнительные вопросы по любым разделам предмета в пределах программы вступительного испытания.
Абитуриент, не согласный с оценкой, полученной на ВИ и (или) в связи с нарушением процедуры проведения ВИ имеет право подать апелляцию. Процедура подачи и рассмотрения апелляции регламентируется Положением об апелляционной комиссии УУНиТ.
КРИТЕРИИ ОЦЕНИВАНИЯ ОТВЕТА
Критериями оценки экзаменационного ответа, поступающего в магистратуру являются полнота, логичность, доказательность, прочность, осознанность знаний и теоретическая обоснованность суждений, самостоятельность в интерпретации информации, практическая направленность, уровень овладения профессиональными умениями и др.
Результаты вступительного испытания определяются по 100-балльной шкале, разброс баллов представлен ниже в таблице:
|
№ |
Критерии оценивания |
Оценка |
|
1 |
Дан полный развернутый ответ на теоретический вопрос:
|
85-100 баллов «отлично» |
|
2 |
Дан в целом правильный ответ на теоретический вопрос:
|
67-84 балла «хорошо» |
|
3 |
Дан в основном правильный ответ на теоретический вопрос:
|
50-66 баллов «удовлет-ворительно» |
|
4 |
Дан фрагментарный ответ или неправильный ответ на теоретический вопрос из предложенного тематического раздела:
|
0-49 баллов «неудовлет-ворительно» |
СОДЕРЖАНИЕ РАЗДЕЛОВ И ТЕМ ПРОГРАММЫ
ВСТУПИТЕЛЬНОГО ИСПЫТАНИЯ
- Принципы поликультурного образования. Мультикультурализм
- Культура и язык. Языковая картина мира.
- Культурная идентичность. «Своя» и «чужая» культуры. Реакция на чужую культуру.
- Основные формы коммуникации: вербальная, невербальная, паравербальная.
- Формы и стили вербальной коммуникации.
- Невербальная коммуникация (кинесика, мимика, такесика, сенсорика,
проксемика, хронемика).
- Стереотипы и предрассудки в межкультурной коммуникации.
- Диалог как форма общения. Диалогическая концепция культуры.
- Культурный шок в межкультурной коммуникации.
- Понятие «конфликт». Природа и причины межкультурных конфликтов.
- Русский язык как язык международного общения, государственный язык, язык межнационального общения.
- Лексикология и фразеология русского языка.
- Лексика с точки зрения сферы употребления. Общенародная лексика. Территориально и социально ограниченная лексика.
- Лексика русского языка с точки зрения экспрессивно-стилистических свойств.
- Лексика русского языка с точки зрения сферы употребления. Функции лексики ограниченного употребления в речи.
- Лексика русского языка с точки зрения активного и пассивного запаса.
- Заимствованная лексика.
- Сопоставительная лингвокультурология.
- Лингвокультурема.
- Текст как лингвистическая единица: определение текста, вопрос о языковой и речевой природе текста.
- Понятия «текст» и «дискурс» в современной языковедческой литературе.
- Литература и язык современной эпохи.
- История русской литературы 19 века. Литературные методы и школы, течения и направления.
- Русская литература начала ХХ века.
- Перевод – особый вид межъязыковой и межкультурной коммуникации.
- Преодоление языковых и культурных барьеров в межкультурной коммуникации.
- Толерантность в межкультурной коммуникации.
- Понятие «корпоративная культура».
- Многонациональные корпорации и глобализм.
- Понятие культуры.
- Понятие коммуникации.
- Психологические аспекты коммуникации.
- Аспекты лингвистической прагматики.
- Отличия естественных языков от формальных.
- Прагматика и другие когнитивные системы.
- Прагматика и кооперация.
- Теория речевых актов.
- Стратегии и тактики в речевые общения.
- Язык как средство общения и познания мира.
- Функции языка в обществе.
- Язык как средство общения, хранилище национальной культуры и выражение национального менталитета.
- Языки-посредники, мировые языки и языки межнационального общения.
- Национальные особенности невербальной коммуникации. Воспитание толерантности.
- Понятие родного и чужого (иностранного) языков.
- Столкновение культур и понятие культурного шока, Аккультурация как результат установления межкультурного диалога.
- Понятие национального менталитета. Национальный характер и национальная языковая личность.
- Общечеловеческие и национально своеобразные стереотипы мышления, речи и поведения.
- Культурные концепты. Ключевые концепты русской, башкирской и других культур.
- Трудности в процессе межкультурной коммуникации (социальные, личностные, поведенческие и др.).
- Явление интерференции и интеркаляции как результат взаимовлияния родного и чужого языков.
- Явление межкультурной коммуникации в современной жизни общества: СМИ, художественная переводная литература, TV, индивидуальные и государственные межкультурные контакты.
- Языковая жизнь современного мегаполиса.
ДЕМОВЕРСИЯ ЭКЗАМЕНАЦИОННОГО ВАРИАНТА
пробный билет
МИНИСТЕРСТВО НАУКИ И ВЫСШЕГО ОБРАЗОВАНИЯ
РОССИЙСКОЙ ФЕДЕРАЦИИ
ФЕДЕРАЛЬНОЕ ГОСУДАРСТВЕННОЕ БЮДЖЕТНОЕ ОБРАЗОВАТЕЛЬНОЕ УЧРЕЖДЕНИЕ ВЫСШЕГО ОБРАЗОВАНИЯ
«УФИМСКИЙ УНИВЕРСИТЕТ НАУКИ И ТЕХНОЛОГИЙ»
ФАКУЛЬТЕТ БАШКИРСКОЙ ФИЛОЛОГИИ, ВОСТОКОВЕДЕНИЯ
И ЖУРНАЛИСТИКИ
Вступительные испытания в магистратуру
Экзаменационный билет № 1
- Понятие «межкультурная коммуникация». Предмет и задачи дисциплины.
- Лингвистический анализ текста.
Зав. кафедрой КСЯиЭ Фаткуллина Ф.Г.
СПИСОК ЛИТЕРАТУРЫ
- Акимова Г.Н., Вяткина С.В. и др. Современный русский язык. – СПб.: СПбГУ; М.: 2009. - 346 с.
- Ахманова О. С. Словарь лингвистических терминов. Изд. 2-е, стереотипное. – М., 2004.
- Боголюбова, Н. М. Межкультурная коммуникация : учебник для вузов / Н. М. Боголюбова, Ю. В. Николаева. — Москва : Издательство Юрайт, 2025. — 582 с. — (Высшее образование). — ISBN 978-5-534-16204-2. — Текст : электронный // Образовательная платформа Юрайт [сайт]. — URL: https://urait.ru/bcode/568493
- Грушевицкая Т. Г., Попков В. Д., Садохин А. П. «Основы межкультурной коммуникации»: учебник для вузов. — М.: ЮНИТИ-ДАНА, 2003. – 352 c.
- Гудков Д. «Теория и практика межкультурной коммуникации». — М.: ИТ ДТК, «Гнозис», 2022. – 120 с
- Егоров, В. П. Этика деловых отношений : учеб. пособие / В. П. Егоров. – М. : Юридический институт МИИТа, 2016. – 142 с.
- Ерасов, Б. С. Социальная культурология. Учебник для студентов вузов / Б. С. Ерасов. – М. : Аспект Пресс, 2000. – 591 с.
- Красных, В. В. Этнопсихология и лингвокультурология / В. В. Красных. – М. :Гнозис, 2002. – 284 с.
- Персикова Т. Н. «Межкультурная коммуникация и корпоративная культура»: учебное пособие. — М.: Логос, 2011.
- Зинченко В. Г., Зусман В. Г., Кирнозе З. И. «Межкультурная коммуникация: от системного подхода к синергетической парадигме»: учебное пособие. — М.: ФЛИНТА, 2021.
- Ларина Т. В. «Основы межкультурной коммуникации»: учебник. — М.: Академия, 2017.
- Манн Ю.В. История русской литературы 19 века. Эпоха романтизма. М., 2001.
- Попова З.Д., Стернин И.А. Язык и национальная картина мира. – Воронеж, 2002.
- Романовская Е. А. «Теория и практика межкультурной коммуникации»: учебное пособие для иностранных студентов учреждений высшего образования. — Минск: МГЛУ, 2023.
- Русская литература XX в. в 2-х т. / Под ред. Л. Кременцова. Т.2. 1940 – 1990-е гг. – М., 2002.
- Садохин А.П. Введение в теорию межкультурной коммуникации. М.:Высш. школа, 2005.
- Таратухина Ю.В., Безус С.Н. и др. Теория межкультурной коммуникации. М.: Юрайт, 2016
- Тер-Минасова С. Г. «Язык и межкультурная коммуникация». — М.: МГУ, 2008.
- Языкознание. Большой энциклопедический словарь / Гл. ред. В. Н. Ярцева. 2-е изд. – М., 1998.
Интернет-ресурсы
1. Российский гуманитарный интернет-университет. Библиотека учебной и научной литературы: http://www.i-u.ru/biblio
2. Электронная гуманитарная библиотека www.gumfak.ru. Раздел «Русская литература»: http://www.gumfak.ru
3. Библиотека русского филологического портала Philology.ru: http://www.philology.ru/literature1.htm
Межкультурная грамотность
ПРОГРАММА
вступительного испытания
для поступающих в магистратуру по направлению подготовки
45.04.01 «Филология»
программа (профиль)
«Межъязыковые и межкультурные коммуникации:
Восток и тюркский мир»
ОБЩИЕ ПОЛОЖЕНИЯ
Вступительные испытания предназначены для определения практической и теоретической подготовленности поступающего в магистратуру и проводятся с целью определения соответствия знаний умений и навыков требованиям обучения магистратуры по направлению подготовки 45.04.01 «Филология» (магистратура). Программа составлена в соответствии с требованиями федерального государственного образовательного стандарта высшего профессионального образования.
Вступительные испытания в магистратуру проводят экзаменационные комиссии, назначенные председателем приёмной комиссии УУНиТ.
ПРОЦЕДУРА ВСТУПИТЕЛЬНОГО ИСПЫТАНИЯ
Дата и время проведения вступительного испытания и консультации определяются расписанием вступительных испытаний, которое утверждается председателем приемной комиссии.
Перед вступительным испытанием для поступающих проводится консультация по содержанию программы испытания, критериям оценки, предъявляемым требованиям, правилам поведения на испытании.
Форма вступительного испытания (в соответствии Положением о вступительных испытаниях УУНИТ): устно-письменно.
Вступительные испытания проводятся в соответствии с программами вступительных испытаний, утверждаемых председателем приемной комиссии.
Экзаменационные билеты включают два вопроса по направлению подготовки (по специальности).
В аудитории, где проводится вступительное испытание в устной форме, не может находиться одновременно более 6 человек. Нахождение в аудитории посторонних лиц не допускается.
Абитуриенту предоставляется право готовиться к ответу в течение 30 минут.
Абитуриенту предоставляется право ответа на экзаменационные вопросы в течение 20-25 минут.
В процессе сдачи вступительного испытания абитуриенту могут быть заданы дополнительные вопросы по любым разделам предмета в пределах программы вступительного испытания.
Абитуриент, не согласный с оценкой, полученной на ВИ и (или) в связи с нарушением процедуры проведения ВИ имеет право подать апелляцию. Процедура подачи и рассмотрения апелляции регламентируется Положением об апелляционной комиссии УУНиТ.
КРИТЕРИИ ОЦЕНИВАНИЯ ОТВЕТА
Критериями оценки экзаменационного ответа, поступающего в магистратуру являются полнота, логичность, доказательность, прочность, осознанность знаний и теоретическая обоснованность суждений, самостоятельность в интерпретации информации, практическая направленность, уровень овладения профессиональными умениями и др.
Результаты вступительного испытания определяются по 100-балльной шкале, разброс баллов представлен ниже в таблице:
|
№ |
Критерии оценивания |
Оценка |
|
1 |
Дан полный развернутый ответ на теоретический вопрос:
|
85-100 баллов «отлично» |
|
2 |
Дан в целом правильный ответ на теоретический вопрос:
|
67-84 балла «хорошо» |
|
3 |
Дан в основном правильный ответ на теоретический вопрос:
|
50-66 баллов «удовлет-ворительно» |
|
4 |
Дан фрагментарный ответ или неправильный ответ на теоретический вопрос из предложенного тематического раздела:
|
0-49 баллов «неудовлет-ворительно» |
СОДЕРЖАНИЕ РАЗДЕЛОВ И ТЕМ ПРОГРАММЫ
ВСТУПИТЕЛЬНОГО ИСПЫТАНИЯ
- Лингвистика как комплексная научная дисциплина.
- Лингвистика в цифровую эпоху.
- Лингвокультурология.
- Этнолингвистика.
- Социолингвистика.
- История развития тюркских языков.
- Основные этапы развития тюркских языков.
- Тюркские народы и их языки.
- Общая характеристика тюркской семьи языков.
- Территория распространения тюркских языков и краткая характеристика.
- Локализация тюркских языков и основные представители.
- Махмуд Кашгари и его “Дивану лугат ит-турк”.
- Выдающиеся тюркологи мира (В.В. Радлов, Г. Дерфер, А.Н. Кононов, Э.Р. Тенишев, Дж.Г.Киекбаев, А.А.Самойлович и др.)
- Принципы и варианты генетической классификации тюркских языков.
- Современные тюркские языки.
- Освоение тюркскими языками заимствованной лексики.
- Типы лингвистических словарей тюркских языков.
- Язык и общество. Функции языка.
- Слово как основная единица языка.
- Язык и речь, речевая деятельность. зык и другие средства коммуникации.
- Язык и мышление. Язык как средство формирования и выражения мысли.
- Язык – основа культуры. Связь языка и культуры.
- Культура и национальные языковые особенности.
- Структурные элементы и функции культуры.
- Искусство как культурное явление. Содержание и форма в искусстве. Виды искусства.
- Наука – важнейший элемент культуры. Основные этапы развития науки.
- Культурогенез. Культура и цивилизация, их взаимосвязь.
- Лингвистический анализ текста.
- Гуманитарные науки в цифровую эпоху.
- Техника создания "цифрового текста".
- Цифровые технологии в профессиональной деятельности.
- Использование цифровых технологий в обучении лингвистике.
- Теория и практика создания онлайн-курсов.
- Введение в компьютерную лингвистику. Компьютерная лингвистика.
- Ключевые понятия компьютерной лингвистики.
- Модели и методы автоматической обработки текстов.
- Технологии создания и использования корпусов текстов.
- Использование цифровых технологий в обучении филологическим дисциплинам.
- Организация лингвистических исследований.
- Теория и практика создания онлайн-курсов.
- Востоковедение в ряду других гуманитарных и общественных наук.
- Языкознание в современном востоковедении.
- Прикладное востоковедение.
- Культура и искусство стран Востока.
- Международная деятельность в евразийском пространстве.
- Культура и международная профессиональная коммуникация.
- Современные международные отношения.
- Виды межкультурной коммуникации.
- Перевод – особый вид межъязыковой и межкультурной коммуникации.
- Преодоление языковых и культурных барьеров в межкультурной коммуникации.
ДЕМОВЕРСИЯ ЭКЗАМЕНАЦИОННОГО ВАРИАНТА
пробный билет
МИНИСТЕРСТВО НАУКИ И ВЫСШЕГО ОБРАЗОВАНИЯ
РОССИЙСКОЙ ФЕДЕРАЦИИ
ФЕДЕРАЛЬНОЕ ГОСУДАРСТВЕННОЕ БЮДЖЕТНОЕ ОБРАЗОВАТЕЛЬНОЕ УЧРЕЖДЕНИЕ ВЫСШЕГО ОБРАЗОВАНИЯ
«УФИМСКИЙ УНИВЕРСИТЕТ НАУКИ И ТЕХНОЛОГИЙ»
ФАКУЛЬТЕТ БАШКИРСКОЙ ФИЛОЛОГИИ, ВОСТОКОВЕДЕНИЯ
И ЖУРНАЛИСТИКИ
Вступительные испытания в магистратуру
Экзаменационный билет № 1
- Современные международные отношения.
- Лингвистический анализ текста.
Зав. кафедрой ВиБЯ Абдуллина Г.Р.
СПИСОК ЛИТЕРАТУРЫ
- Баскаков Н.А. Введение в изучение тюркских языков: учебник. – М.: Высшая школа, 1962. – 332 с.
- Виноградов В.В. История лингвистических учений. – М., 1978.
- Зубов А.А. Информационные технологии в лингвистике: учеб. пособие для вузов. – М.: Академия, 2004. – 208 с.
- Информационные технологии в науке и образовании: Учебное пособие / Е.Л. Федотова, А.А. Федотов. - М.: ИД ФОРУМ: НИЦ ИНФРА-М, 2015. - 336 с. http://znanium.com/bookread2.php?book=487293
- Киекбаев Дж.Г. Введение в урало-алтайское языкознание. – Уфа, 1972.
- Киекбаев Дж.Г. Основы исторической грамматики урало-алтайских языков. – Уфа, 1996.
- Кононов А.Н. История изучения тюркских языков в России: дооктябрьский период. – Изд. 2-е, доп. и испр. – Ленинград: Наука, 1982. – 360 с.
- Коноплёва, И.А. Информационные технологии: учеб. пособие [для студентов вузов] / И.А. Коноплёва, О.А. Хохлова, А.В. Денисов; [под. ред. И.А. Коноплёвой]. – 2-е изд., перераб. и доп. – М.: Проспект, 2015. – 328 с.
- Маслова В.А. Современные направления в лингвистике. – М., 2008.
- Общее языкознание. Методы лингвистических исследований / Под ред. Б.А.Серебренникова. – М.: Наука, 1973.
- Попова З.Д., Стернин И.А. Язык и национальная картина мира. – Воронеж, 2002.
- Принципы и методы когнитивных исследований языка. Статьи научных трудов. – Тамбов, 2008.
- Тикеев Ф.С. Дж.Г. Киекбаев и гипотеза о родстве урало-алтайских и башкирского языков // Дж.Г. Киекбаев и проблемы башкирского языкознания. – Уфа, 2015, с. 39-46.
- Федотова Е.Л. Информационные технологии и системы: учеб. пособие для студентов вузов. – М.: ФОРУМ: ИНФРА-М, 2012. – 352
- Хлебников А.А. Информационные технологии: учебник для студентов вузов. – М.: КНОРУС, 2014. – 472 с.
- Щербак А.М. Введение в сравнительное изучение тюркских языков. – СПб.: Наука, 1994. – 191 с.
- Щипицина Л.Ю. Информационные технологии в лингвистике: учеб. пособие [для студентов фил. фак. вузов]. – М.: ФЛИНТА, 2013. – 128 с.
- Языки мира. Тюркские языки. – Бишкек, 1997.
- Введение в востоковедение: Общий курс [Электронный ресурс]: монография / под ред. Е.И. Зеленева, В.Б. Касевича. – Электрон. дан. – Санкт-Петербург: КАРО, 2017. – 584 с. – Режим доступа: https://e.lanbook.com/book/114223.
- Концепции современного востоковедения / Н.В. Алферова, А.Д. Богатуров, В.В. Бочаров, Н.Н. Дьяков; под ред. Е.И. Зеленева, В.Б. Касевич. – СПб.: КАРО, 2013. – 464 с. – URL: http://biblioclub.ru/index.php?page=book&id=462135.
Управление человеческими ресурсами и социальными процессами
ПРОГРАММА
вступительного испытания
для поступающих в магистратуру по направлению подготовки
38.04.03 «Управление персоналом»
программа (профиль)
«Управление человеческими ресурсами и социальными процессами»
ОБЩИЕ ПОЛОЖЕНИЯ
Вступительные испытания предназначены для определения практической и теоретической подготовленности поступающего в магистратуру и проводятся с целью определения соответствия знаний умений и навыков требованиям обучения магистратуры по направлению подготовки 38.04.03 «Управление персоналом» (магистратура). Программа составлена в соответствии с требованиями федерального государственного образовательного стандарта высшего профессионального образования.
Вступительные испытания в магистратуру проводят экзаменационные комиссии, назначенные председателем приёмной комиссии УУНиТ.
ПРОЦЕДУРА ВСТУПИТЕЛЬНОГО ИСПЫТАНИЯ
Дата и время проведения вступительного испытания и консультации определяются расписанием вступительных испытаний, которое утверждается председателем приемной комиссии.
Перед вступительным испытанием для поступающих проводится консультация по содержанию программы испытания, критериям оценки, предъявляемым требованиям, правилам поведения на испытании.
Форма вступительного испытания (в соответствии Положением о вступительных испытаниях УУНИТ): тестирование.
Вступительные испытания в виде электронного тестирования проводятся в соответствии с программами вступительных испытаний, утверждаемых председателем предметной комиссии.
Вступительные испытания в форме тестирования включают вопросы как закрытого, так и открытого типа, а также задания в аудио- и видеоформатах.
Составление вариантов экзаменационных заданий в форме электронных тестов осуществляется ответственным секретарем приемной комиссии университета.
Из вариантов экзаменационных заданий формируются комплекты вопросов-тестов.
Компоновку комплектов вопросов-тестов ответственный секретарь, заместитель ответственного секретаря производят до вступительных испытаний.
Тест содержит 40 тестовых вопросов.
Результаты испытаний оцениваются по 100 бальной шкале.
Абитуриент, не согласный с оценкой, полученной на ВИ и (или) в связи с нарушением процедуры проведения ВИ имеет право подать апелляцию. Процедура подачи и рассмотрения апелляции регламентируется Положением об апелляционной комиссии УУНиТ.
КРИТЕРИИ ОЦЕНИВАНИЯ ОТВЕТА
Критериями оценки экзаменационного ответа, поступающего в магистратуру, являются полнота, логичность, доказательность, прочность, осознанность знаний и теоретическая обоснованность суждений, самостоятельность в интерпретации информации, практическая направленность, уровень овладения профессиональными умениями менеджера и др. В случае тестирования является правильные ответы на тестовые задания.
При проверке количество первичных баллов переводится в итоговую 100 балльную шкалу через информационную платформу университета.
СОДЕРЖАНИЕ РАЗДЕЛОВ И ТЕМ ПРОГРАММЫ ВСТУПИТЕЛЬНОГО ИСПЫТАНИЯ
- Социальные институты и их роль в обществе
- Права и свободы человека
Менеджмент
- Основы менеджмента
- Методы управления
Управление персоналом
- Процесс набора и подбора персонала
- Мотивация и оценка эффективности работы сотрудников
- Развитие и обучение персонала в организации
Экономика
- Микроэкономика
- Макроэкономика
Демоверсия экзаменационного варианта
1. Какой признак отличает правовое государство?
a) Наличие армии
b) Верховенство закона
c) Большая территория
d) Развитая промышленность
2. Что из перечисленного относится к экономическим ресурсам?
a) Труд
b) Религиозные убеждения
c) Политические партии
d) Социальные сети
3. Установите соответствие между видами норм и их примерами:
|
Вид норм |
Пример |
|
1. Правовые |
b) Уголовный кодекс |
|
2. Моральные |
a) Обычай здороваться |
|
3. Религиозные |
c) Заповеди |
4. Что относится к функциям менеджмента по Анри Файолю?
a) Планирование, организация, мотивация, контроль
b) Продажи, маркетинг, финансы, HR
c) Анализ, синтез, прогнозирование, делегирование
d) Лидерство, переговоры, конфликтология
5. Какой метод управления персоналом основан на поощрении и наказании?
a) Партисипативный
b) Авторитарный
c) Коучинг
d) Тимбилдинг
6. Как называется процесс планирования, организации, мотивации и контроля в организации? (1 слово)
Ответ: Менеджмент (управление)
7. Назовите стиль управления, при котором сотрудники участвуют в принятии решений (1 слово)
Ответ: демократический
8. Какое понятие описывает разделение обязанностей среди работников? (1 слово)
Ответ: Делегирование
СПИСОК ЛИТЕРАТУРЫ
- Трудовой кодекс Российской Федерации – Федеральный закон от 30 декабря 2001 г. № 197-ФЗ. — Москва: Финансы и статистика, 2002. — 280 с.
- Волченкова, А. С. Основы управления персоналом. Практикум: учебное пособие / А. С. Волченкова, Т. И. Грудкина. — Орел: ОрелГАУ, 2024. — 58 с.
- Козырева, Н. О. Общий менеджмент: учебное пособие / Н. О. Козырева. — Москва: Дело РАНХиГС, 2024. — 148 с.
- Котова, О. А. Обществознание: базовый уровень: учебник / О. А. Котова, Т. Е. Лискова. — Москва: Просвещение, 2024. — 303 с.
- Москвитина, Н. В. Управление персоналом: учебное пособие / Н.В. Москвитина. — Иркутск: ИГУ, 2021. — 135 с.
- Набоков, В. И. Менеджмент: учебник / В. И. Набоков. — Москва: Дашков и К, 2023. — 186 с.
- Пономарев, С. В. Микроэкономика и макроэкономика (базовый уровень). Модуль «Микроэкономика»: учебное пособие / С. В. Пономарев, Д. П. Куприянов. — Хабаровск: ДВГУПС, 2021. — 141 с.
Электроника и наноэлектроника
ПРОГРАММА
вступительного испытания
для поступающих в магистратуру по направлению подготовки
11.04.04 «Электроника и наноэлектроника»
программа (профиль)
«Промышленная электроника»
ОБЩИЕ ПОЛОЖЕНИЯ
Вступительные испытания предназначены для определения практической и теоретической подготовленности поступающего в магистратуру и проводятся с целью определения соответствия знаний умений и навыков требованиям обучения магистратуры по направлению подготовки 11.04.04 «Электроника и наноэлектроника» (магистратура). Программа составлена в соответствии с требованиями федерального государственного образовательного стандарта высшего профессионального образования.
Вступительные испытания в магистратуру проводят экзаменационные комиссии, назначенные председателем приёмной комиссии УУНиТ.
ПРОЦЕДУРА ВСТУПИТЕЛЬНОГО ИСПЫТАНИЯ
Дата и время проведения вступительного испытания и консультации определяются расписанием вступительных испытаний, которое утверждается председателем приемной комиссии.
Перед вступительным испытанием для поступающих проводится консультация по содержанию программы испытания, критериям оценки, предъявляемым требованиям, правилам поведения на испытании.
Форма вступительного испытания (в соответствии Положением о вступительных испытаниях УУНИТ): тестирование.
Вступительные испытания в виде электронного тестирования проводятся в соответствии с программами вступительных испытаний, утверждаемых председателем предметной комиссии.
Вступительные испытания в форме тестирования включают вопросы как закрытого, так и открытого типа, а также задания в аудио- и видеоформатах.
Составление вариантов экзаменационных заданий в форме электронных тестов осуществляется ответственным секретарем приемной комиссии университета.
Из вариантов экзаменационных заданий формируются комплекты вопросов-тестов.
Компоновку комплектов вопросов-тестов ответственный секретарь, заместитель ответственного секретаря производят до вступительных испытаний.
Тест содержит 30 тестовых вопросов.
Результаты испытаний оцениваются по 100 бальной шкале.
Абитуриент, не согласный с оценкой, полученной на ВИ и (или) в связи с нарушением процедуры проведения ВИ имеет право подать апелляцию. Процедура подачи и рассмотрения апелляции регламентируется Положением об апелляционной комиссии УУНиТ.
КРИТЕРИИ ОЦЕНИВАНИЯ ОТВЕТА
Критериями оценки экзаменационного ответа, поступающего в магистратуру являются полнота, логичность, доказательность, прочность, осознанность знаний и теоретическая обоснованность суждений, самостоятельность в интерпретации информации, практическая направленность, уровень овладения профессиональными умениями менеджера и др. В случае тестирования является правильные ответы на тестовые задания.
При проверке количество первичных баллов переводится в итоговую 100 балльную шкалу через информационную платформу университета.
СОДЕРЖАНИЕ РАЗДЕЛОВ И ТЕМ ПРОГРАММЫ ВСТУПИТЕЛЬНОГО ИСПЫТАНИЯ
- Физика конденсированного состояния
- Материалы электронной техники
Демоверсия экзаменационного варианта
1. Укажите энергетическую диаграмму примесного полупроводника п-типа. 2

2. Определить вероятность заполнения электронами энергетического уровня, расположенного на 8 к/Т выше уровня Ферми.
3. Как называются диэлектрики с высокими значениями диэлектрической проницаемости?
1) пьезоэлектрики; 2) электреты; 3) сегнетоэлектрики; 4) пироэлектрики;
4. При поглощении света твердыми телами энергия фотонов превращается в другие виды энергии. Она может идти на изменение энергетического состояния свободных или связанных с атомами электронов, а также на изменение колебательной энергии атомов. Поглощение обусловлено, в основном, действием следующих механизмов:
Выберите один ответ:
- межзонных электронных переходов из валентной зоны в зону проводимости. Связанное с этим механизмом поглощение получило название собственного или фундаментального;
- переходов, связанных с участием экситонных состояний (экситонное поглощение);
- все перечисленное;
- переходов электронов или дырок внутри соответствующих разрешенных зон, т. е. переходов, связанных с наличием свободных носителей заряда. Данное поглощение называют поглощением свободными носителями заряда;
5.Число каких фононов, оптических или акустических, увеличивается при уменьшении температуры
Выберите один ответ:
- акустических;
- оптических;
- и тех, и других.
6.Ширина энергетической щели –…
Выберите один ответ:
- запрещенная зона - равна сумме между наиболее высокой точкой зоны проводимости и наиболее низкой точкой валентной зоны.
- запрещенная зона - равна разности между наиболее низкой точкой зоны проводимости и наиболее высокой точкой валентной зоны.
- запрещенная зона - равна сумме между наиболее низкой точкой зоны проводимости и наиболее высокой точкой валентной зоны.
- запрещенная зона - равна разности между наиболее высокой точкой зоны проводимости и наиболее низкой точкой валентной зоны.
7. Найти удельную электропроводность полупроводника, если концентрация электронов проводимости в нем равна 5·1021 м-3, а подвижность 0,8 м2/(В·с)
8. К графитовому стержню длиной 0,2 м приложено напряжение 6 В. Определить плотность тока в стержне в первый момент после подачи напряжения, если удельное сопротивление графита равно 4·10-4 Ом·м. Как и почему меняется плотность тока в стрежне со временем?
9. Найти количество теплоты, которое выделяется ежесекундно в единице объема медного провода при плотности тока 10 А/м2. Удельное сопротивление меди 17 нОм·м
10. В кубическом кристалле определить индексы Миллера для плоскости, на которой лежит треугольник

- (123)
- (132)
- (213)
- (231)
- (321)
- (312)
11. Определить дрейфовую скорость дырок при 300 К кремния р-типа с концентрацией акцепторов 1023 м3, если плотность тока через образец 1 кА/м2
12. Полупроводниковому стержню, длиной 1 см, приложено напряжение 1 В. Определить дрейфовую скорость электронов (эффективную массу считать равной массе покоя), а время релаксации составляет 1 пс
13. Вычислить период идентичности вдоль прямой [1 1 1] алюминия, если период решетки 404 пм
14. Укажите, какой коэффициент усиления по напряжению в децибелах имеет двухкаскадный усилитель, если Кu1 = 200 и Кu2 = 40, где Кu1 и Кu2 – коэффициенты усиления первого и второго каскадов?
a) 25 дБ
b) 63 дБ
c) 78 дБ
d) 82 дБ
15. Определить концентрацию свободных электронов в калии, плотность которого 856 кг/ м3. Молярную массу считать равной 39 г/моль.
- : 7,6·1022 см-3
- : 9,8·1022 см-3
- : 4,4·1023 см-3
- : 1,3·1022 см-3
- : 2,2·1022 см-3
СПИСОК ЛИТЕРАТУРЫ
- Сушков Вакуумная электроника: Физико-технические основы.— СПб. [и др.]: Лань, 2004 .— 462 с [В библ. БашГУ имеется 5 экз.]
- Добрецов Л.Н., Гомоюнова М.В. Эмиссионная электроника. – М.:Наука, 1966. – 564с.
- Протасова, Ю. С., Чувашев, С. Н. Основы плазменной электроники.— М.: Изд-во МГТУ им. Н. Э. Баумана, 2006 .— 632 с.
Дополнительная литература:
- Светцов В.И. Вакуумная и плазменная электроника.— Иваново, 2003 .— 171с.
- Гусев, В. Г., Гусев, Ю. М. Электроника .— М.: Высш. шк., 1982 .— 496 с.
- Светцов, В. И., Рыбкин, В. В., Титов, В. А. и др. Физическая электроника и электрон- ные приборы. Лабораторный практикум. Иваново, 2001.— 234 с
Химия
ПРОГРАММА
вступительных испытаний
для поступающих в магистратуру по направлениям подготовки
04.04.01 «Химия»
программы (профиль)
«Медицинская и фармацевтическая химия»,
«Новые материалы в нефтехимии и других отраслях»
04.04.02 «Химия, физика и механика материалов»
программа (профиль)
«Современные материалы для техники и медицины»
18.04.01 «Химическая технология»
программа (профиль)
«Технология лекарственных препаратов»
ОБЩИЕ ПОЛОЖЕНИЯ
Вступительные испытания предназначены для определения практической и теоретической подготовленности поступающего в магистратуру и проводятся с целью определения соответствия знаний умений и навыков требованиям обучения магистратуры по направлениям подготовки 04.04.01 «Химия», 04.04.02 «Химия, физика и механика материалов», 18.04.01 «Химическая технология» (магистратура). Программа составлена в соответствии с требованиями федерального государственного образовательного стандарта высшего профессионального образования.
Вступительные испытания в магистратуру проводят экзаменационные комиссии, назначенные председателем приёмной комиссии УУНиТ.
ПРОЦЕДУРА ВСТУПИТЕЛЬНОГО ИСПЫТАНИЯ
Дата и время проведения вступительного испытания и консультации определяются расписанием вступительных испытаний, которое утверждается председателем приемной комиссии.
Перед вступительным испытанием для поступающих проводится консультация по содержанию программы испытания, критериям оценки, предъявляемым требованиям, правилам поведения на испытании.
Форма вступительного испытания (в соответствии Положением о вступительных испытаниях УУНИТ): тестирование.
Вступительные испытания в виде электронного тестирования проводятся в соответствии с программами вступительных испытаний, утверждаемых председателем предметной комиссии.
Вступительные испытания в форме тестирования включают вопросы как закрытого, так и открытого типа, а также задания в аудио- и видеоформатах.
Составление вариантов экзаменационных заданий в форме электронных тестов осуществляется ответственным секретарем приемной комиссии университета.
Из вариантов экзаменационных заданий формируются комплекты вопросов-тестов.
Компоновку комплектов вопросов-тестов ответственный секретарь, заместитель ответственного секретаря производят до вступительных испытаний.
Тест содержит 40 тестовых вопросов.
Результаты испытаний оцениваются по 100 бальной шкале.
Абитуриент, не согласный с оценкой, полученной на ВИ и (или) в связи с нарушением процедуры проведения ВИ имеет право подать апелляцию. Процедура подачи и рассмотрения апелляции регламентируется Положением об апелляционной комиссии УУНиТ.
КРИТЕРИИ ОЦЕНИВАНИЯ ОТВЕТА
Критериями оценки экзаменационного ответа, поступающего в магистратуру являются полнота, логичность, доказательность, прочность, осознанность знаний и теоретическая обоснованность суждений, самостоятельность в интерпретации информации, практическая направленность, уровень овладения профессиональными умениями менеджера и др. В случае тестирования является правильные ответы на тестовые задания.
При проверке количество первичных баллов переводится в итоговую 100 балльную шкалу через информационную платформу университета.
СОДЕРЖАНИЕ РАЗДЕЛОВ И ТЕМ ПРОГРАММЫ ВСТУПИТЕЛЬНОГО ИСПЫТАНИЯ
Общая и неорганическая химия
Модуль 1. «Химия как наука. Строение вещества» (Основные понятия и законы химии. Строение атома. Периодический закон и периодическая система химических элементов. Химическая связь и строение молекул. Межмолекулярные взаимодействия)
Модуль 2. «Основные физико-химические закономерности протекания химических процессов» (Основы химической термодинамики. Основы химической кинетики. Химическое равновесие) Модуль 3. «Основы химии растворов» (Общие свойства растворов. Растворы неэлектролитов. Растворы электролитов. Теории кислот и оснований. Кислотно-основные и окислительно-восстановительные процессы в растворах)
Модуль 4. «Основы координационной химии»
Модуль 5. «Строение и свойства соединений p-элементов» (Подгруппа гелия (s 2 p 6 - элементы). Водород. Галогены (s 2 p 5 -элементы). Халькогены (s 2 p 4 -элементы). Подгруппа азота (s 2 p 3 -элементы). Подгруппа углерода (s 2 p 2 -элементы). Подгруппа бора (s 2 p 1 - элементы). Модуль 6 «Строение и свойства соединений s-, d- и f-элементов». Щелочные и щелочноземельные металлы (s 1 и s 2 -элементы). Строение и свойства соединений d-элементов. Строение и свойства соединений f-элементов.
Модуль 7. «Методы исследования и тенденции развития современной неорганической химии»
Органическая химия
Модуль 1 «Теоретические основы органической химии» (Основные понятия органической химии. Строение атома углерода в органических соединениях. Теория строения органических соединений (ОС). Классификация органических реакций. Стереохимия. Электронные эффекты заместителей.) Модуль 2. «Строение и свойства углеводородов» (Алканы, циклоалканы, алкены, алкадиены, алкины и ароматические углеводороды: строение методы получения химический свойства)
Модуль 3. «Строение и свойства монофункциональных производных углеводородов» (Галогенпроизводные углеводородов, кислород-, азот,-серосодержащие органические соединения. Металло- и элементоорганические соединения. Гетероциклическе соединения. Особенности строения и свойств. Методы получения)
Модуль 4. «Строение и свойства би- и поли-функциональных производных углеводородов» (Окси-, альдегидо- и кетокарбоновые кислоты и их производные. Органические производные угольной кислоты. Углеводы. Аминокислоты и полипептиды. Нуклеиновые кислоты).
Модуль 5. «Спектральные и другие инструментальные методы исследования органических соединений» (Электронная, инфракрасная, ЯМР спектроскопия, масс-спектрометрия в исследовании органических соединений. Хроматография. Основы физической органической химии. Ретросинтетический анализ).
Аналитическая химия
Модуль 1 Аналитическая химия, ее место в системе наук, связь с практикой
Модуль 2 «Гетерогенные равновесия». Произведение растворимости. ПР концентрационное, термодинамическое, условное. Условия растворения и выпадения осадков. Влияние разных факторов на растворимость малорастворимого соединения и ПР. Осадительное титрование. Расчет кривых титрования в методах аргентометрии, тиоцианатометрии, меркурометрии. Условия применения методов. Гравиметрический метод анализа. Условия осаждения кристаллических и аморфных осадков. Гомогенное осаждение. Разделение ионов при контролируемой величине рН раствора; разделение ионов с помощью реакции комплексообразования; применение органических осадителей. Расчеты в гравиметрическом анализе.
Модуль 3 «Равновесия в растворах координационных соединений». (Основные характеристики комплексных соединений. Типы координационных соединений. Количественные характеристики координационных соединений. Условные константы устойчивости. Факторы, влияющие на комплексообразование: строение центрального атома и лиганда, концентрация компонентов, рН, ионная сила раствора, температура. Применение комплексных соединений в качественном анализе для обнаружения, маскирования ионов, растворения осадков; изменения кислотно-основных и окислительно-восстановительных свойств. Комплексонометрическое титрование. Условные константы устойчивости. Факторы, влияющие на величину скачка титрования в комплексонометрии: концентрация дополнительного лиганда и рН раствора. Расчет результатов титрования. Меркуриметрия.
Модуль 4. «Реакции окисления-восстановления». Уравнения окислительно-восстановительных реакций. Окислительно-восстановительные потенциалы. Уравнение Нернста. Стандартные, формальные потенциалы. Связь константы равновесия со стандартными потенциалами. Направление реакции окисления-восстановления. Влияние кислотно-основного взаимодействия, комплексообразования, образования малорастворимых соединений на редокс-потенциал. Окислительно-восстановительные свойства воды. Редоксиметрия. Факторы, влияющие на величину скачка титрования в редоксиметрии. Перманганатометрия. Хроматометрия. Иодометрия. Броматометрия. Приготовление и стандартизация титрантов. Условия титрования. Индикаторы. Примеры определений.
Модуль 5. «Электрохимические методы анализа». Основные узлы приборов для электрохимических методов анализа: ячейки, измерительные устройства, внешние источники тока. Электроды металлические и мембранные, их типы и назначение. Индифферентный электролит и его функции. Методы нахождения концентрации анализируемого вещества-прямые и косвенные; основные приемы и расчет результатов. Кондуктометрический анализ. Потенциометрический анализ. Вольтамперометрия. Полярографический анализ. Амперометрическое и биамперометрическое титрование. Электроанализ. Законы Фарадея. Кулонометрия прямая и косвенная.
Модуль 6. «Спектральные методы анализа». Общая характеристика и классификация спектральных методов анализа. Атомные и молекулярные спектры, их происхождение, вид и основные характеристики. Абсорбционная спектроскопия: сущность и особенности наиболее распространенных в аналитической практике методов. Фотометрический анализ. Основной закон светопоглощения, оптическая плотность, пропускание, молярный коэффициент светопоглощения. Аддитивность светопоглощения. Условия соблюдения закона Бугера-Ламберта-Бера. Приборы для фотометрии и спектрофотометрии.
Модуль 7. «Спектральные методы анализа» Происхождение атомных спектров излучения и их вид. Особенности аппаратуры. Теоретические основы качественного и количественного эмиссионного спектрального анализа. Пламенная эмиссионная спектроскопия. Области применения спектральных эмиссионных методов, их аналитические характеристики: чувствительность, точность, селективность. Атомно-абсорбционный анализ. Теоретические основы, особенности аппаратуры. Люминесцентный анализ, его сущность, особенности аппаратуры. Рентгеноспектральные методы. Рентгенофлуоресцентный анализ. Теоретические основы, аппаратура, применение метода).
Модуль 8. «Хроматографические методы анализа». (Теоретические основы и классификация хроматографических методов анализа. Молекулярная адсорбционная хроматография. Газовая хроматография. Распределительная жидкостная хроматография. Особенности методов, аппаратура, применение. Другие виды хроматографических методов: бумажная, тонкослойная, ионообменная, их аналитическое применение).
Физическая химия
Модуль 1. Общие положения химической термодинамики, основные термодинамические законы. Анализ I, II, III законов термодинамики. Понятие критериев направленности химических реакций, методы их расчета применительно к равновесию, анализ фундаментальных уравнений термодинамики для химических реакций, понятия характеристических функций и химического потенциала.
Модуль 2. Термодинамика растворов и фазовых превращений. Рассмотрение отличий свойств идеальных и неидеальных растворов, понятия парциальных мольных величин и методы их расчета. Термодинамическое обоснование закона действующих масс, способы выражения константы равновесия для различных стандартных состояний. Соотношения между константами равновесия.
Анализ уравнений изобары и изотермы химической реакции. Расчет числа пробегов и равновесной степени превращения веществ в химической реакции и состава равновесных газовых смесей. Факторы, влияющие на выход продуктов. Расчеты равновесия сложных реакций. Понятия летучести компонента в газовом растворе и коэффициент летучести, рассмотрение расчета этих величин по опытным данным, активность компонента в жидком растворе, рациональная и практическая активности, физический смысл коэффициентов летучести и активности. Расчет химического равновесия в смеси реальных газов и химического равновесия в неидеальных жидких растворах. Основные принципы аналитического и графического описания фазовых равновесий. Анализ различных видов одно-, двух- и многокомпонентных систем, их теоретическое построение и практическое назначение. Рассмотрение вопросов, касающихся особенностей межчастичных взаимодействий в растворах электролитов. Причины электролитической диссоциации. Способы выражения активностей сильных электролитов. Средние активности, коэффициенты активности ионов, расчет коэффициентов активности при средних и высоких концентрациях электролитов. Современные модели растворов сильных электролитов. Термодинамика электрохимических систем. Основные типы и устройство гальванических элементов и электродов, их практическое назначение.
Модуль 3. Спектрохимия. Рассмотрение основных видов молекулярных спектров. Анализ и практическое назначение спектральных методов анализа. Освоение навыков обработки спектральных данных и расчета основных молекулярных постоянных.
Модуль 4. Статистическая термодинамика. Основные понятия статистической термодинамики. Фазовые µ и Г – пространства. Пути расчета термодинамических свойств реальных газов и конденсированных систем методами статистической термодинамики. Суммы по состояниям молекулы и системы.
Модуль 5. Кинетика и катализ. Задачи химической кинетики. Стехиометрический и интимный механизмы реакций. Прямая и обратная задача кинетики. Формальная кинетика простых реакций. Сложные химические реакции. Моделирование кинетики сложных реакций с применением расчетных программ на IBM. Методы квазистационарных и квазиравновесных концентраций. Сущность метода и границы применимости. Теории химической кинетики и их значение. Сущность катализа. Основные понятия, используемые при описании гомогенного и гетерогенного катализа. Механизмы каталитических реакций. Особенности и стадии гетерогенно-каталитических реакций и подходы к их описанию.
Высокомолекулярные соединения
Модуль 1. Введение. Предмет науки о высокомолекулярных соединениях. Место науки о полимерах в ряду других химических дисциплин. Краткая историческая справка. Основные понятия и определения. Принципы классификации полимеров.
Модуль 2. Характеристики изолированных макромолекул. Первичная химическая структура. Стереохимия макромолекул. Средняя длина цепи (ср. степень полимеризации, ср. молекулярные массы, молекулярно-массовые распределения). Конформации макромолекул. Гибкость макромолекул. Модельные представления. Конформационная статистика. Количественные характеристики гибкости. Понятие о статистическом сегменте. Связь гибкости с химическим строением цепей.
Модуль 3. Растворы полимеров. Особенности растворов полимеров. Конформации макромолекул в растворе. Степень набухания клубка. Концентрационные режимы растворов. Фазовые равновесия в растворах полимеров. Гидродинамика растворов полимеров. Практическое использование вискозиметрии.
Модуль 4. Полимерные тела. Агрегатные и фазовые состояния полимеров. Надмолекулярная структура аморфных и кристаллических полимеров. Ориентированное состояние. Физические состояния аморфных полимеров. Термомеханический метод исследования. Релаксационные явления в деформационном поведении полимеров.
Модуль 5. Принципы синтеза полимеров. Полимеризация: термодинамика и механизмы процессов.
Радикальная полимеризация. Вывод кинетического уравнения для скорости процесса и степени полимеризации. Радикальная сополимеризация. Вывод уравнения состава. Ионная полимеризация. Виды ионной полимеризации. Катионная, анионная полимеризация. Кинетика и макрокинетика процессов. Принципы синтеза стереорегулярных полимеров. Поликонденсация. Классификация процессов поликонденсации. Термодинамика поликонденсации. Обратимая и необратимая поликонденсация. Молекулярные массы и ММР в процессах поликонденсации.
Химическая технология
Модуль 1. Теоретические основы химико-технологических процессов.
Введение. Роль и масштабы использования химических процессов в различных сферах материального производства. Сырьевая и энергетическая база химических производств. Тенденции развития техносферы и возрастающее значение проблем ресурсо- и энергосбережения, обеспечения безопасности химических производств, защиты окружающей среды.
Основные направления использования воды в химической промышленности. Рациональное использование водных ресурсов в химической промышленности. Виды природных вод. Показатели качества воды. Жёсткость воды и методы её уменьшения. Ионообменная очистка воды. Промышленная водоподготовка.
Модуль 2. Структура химико-технологических систем. Химическое производство как сложная система. Основные этапы создания химико-технологических систем (ХТС); принципы и общая стратегия системного подхода. Структурная иерархия технологических систем: молекулярные процессы – макрокинетика – аппараты – производства – глобальные проблемы развития техносферы.
Основные показатели химико-технологического процесса Классификация процессов химической технологии. Фундаментальные критерии эффективности использования сырья и энергоресурсов в ХТП. Показатели расхода различных видов сырья; относительный выход продукта. Критерии интенсивности ХТП. Понятия: степень превращения, конверсия, селективность. Производительность и интенсивность.
Модуль 3. Процессы и аппараты химической технологии. Гидростатика Гидравлика. Гидростатика. Понятие давления. Принцип статики. Вывод дифференциальных уравнений равновесия Эйлера на основе принципа статики. Основное уравнение гидростатики, физический смысл входящих в него величин. Закон Паскаля. Принцип сообщающихся сосудов. Применение закона Паскаля и следствия из него: манометры, пьезометры, водомерные стёкла. Гидропрессы.
Гидродинамика. Понятия расход и скорость движения жидкости, их размерность. Дифференциальные уравнения движения Эйлера, их вывод на основе принципа динамики. Вывод закона Бернулли на основе интегрирования дифференциальных уравнений движения Эйлера. Физический смысл входящих в уравнение Бернулли величин. Уравнение сплошности струи.
Режимы движения жидкости и критерий Рейнольдса. Ламинарное движение жидкости. Выражение скорости любого самопроизвольного процесса и его применение для расчета скорости движения отдельных слоев жидкости. Распределение скоростей по сечению потока при ламинарном движении. График распределения скоростей потока при ламинарном и турбулентном движении, средняя скорость потока.
Измерение скорости движения потока и расхода жидкости с помощью гидродинамических труб.
Типы сужающих устройств: мерная диафрагма, сопло, труба Вентури. Определение напора до и после сужающего устройства с помощью дифманометра. Определение скорости потока с помощью мерной диафрагмы.
Тепловые процессы. Теплообмен. Движущая сила теплообмена. Температурный градиент. Тепловые балансы. Основное уравнение теплопередачи. Физический смысл общего коэффициента теплопередачи. Коэффициент теплоотдачи. Теплопередача через плоскую металлическую стенку при постоянной температуре теплоносителей. Средний температурный напор при прямотоке и противотоке. Три элементарных способа распространения тепла: теплопроводность, конвекция, тепловое излучение.
Аппаратура для теплообмена. Нагревающие и охлаждающие агенты, их теплофизические свойства. Теплообменники, их типы, устройство, преимущества и недостатки. Способы компенсации неравномерного расширения трубного и межтрубного пространства теплообменников.
Массообменные процессы. Массообменные процессы, виды процессов массопередачи. Правило фаз. Фазовое равновесие. Линия равновесия. Материальный баланс. Рабочая линия. Направление массопередачи. Движущая сила массопередачи, средняя движущая сила массопередачи. Понятие теоретической тарелки, определение числа теоретических ступеней графическим методом.
Перегонка жидкостей. Простая перегонка, определение. Перегонка бинарной смеси на диаграмме: «температура - состав пара – состав – жидкости» и на диаграмме: «состав жидкости - состав пара». Равновесие между фазами. Недостатки простой перегонки. Перегонка под вакуумом, с водяным паром, с инертным газом, какие условия при этом изменяются.
Ректификация, её сущность. Сходства и различия с простой перегонкой. Принципиальная схема установки ректификации непрерывного действия. Материальный баланс колонны ректификации и вывод уравнения рабочей линии укрепляющей и исчерпывающей части колонны непрерывного действия. Построение рабочих линий на диаграмме «у-х» и нахождение числа теоретических тарелок колонны. Флегмовое число. Расчет минимального и рабочего флегмового числа.
Периодическая ректификация. Режимы работы колонны: а) при постоянном флегмовом числе; б) при постоянном составе дистиллята.
Устройство различных типов колонн: насадочных, тарельчатых (ситчатого, колпачкового и клапанного типа). Преимущества и недостатки различных типов колонн.
Основы ректификации многокомпонентных смесей.
Абсорбция. Равновесие при абсорбции. Материальный баланс процесса абсорбции. Скорость абсорбции. Связь коэффициента массопередачи с коэффициентами массоотдачи. Устройство различных типов абсорберов: поверхностные, пленочные, насадочные, тарельчатые, распыливающие.
Области применения различных методов разделения смесей веществ.
Модуль 4. Физико-химические закономерности в химической технологии
Физико-химические закономерности в химической технологии
Химические реакторы. Основные типы химических реакторов; основные требования, предъявляемые к ним, примеры их использования в технологии важнейших химических продуктов. Реакторы с различными режимами движения: реактор периодического и непрерывного действия, реакторы идеального смешения и полного вытеснения. Реакторы с различным тепловым движением. Принципы построения многоуровневых математических моделей процессов в гетерогенных каталитических реакторах. Кинетические модели химических реакций. Диффузионно-кинетические режимы протекания реакции в пористой грануле катализатора. Изменение наблюдаемого кинетического порядка реакции. Факторы, определяющие эффективность использования катализатора. Явление множественности стационарных режимов, области их притяжения и устойчивость (области "зажигания" и "гашения" реакции) на примере экзотермической каталитической реакции. Моделирование проточных реакторов с неподвижным слоем катализатора и реакторов идеального перемешивания. Способы сопряжения химического превращения с процессами разделения продуктов реакции.
Схемы производства. Операционная и технологическая схемы производства, открытая и циркуляционная схемы. Условные обозначения аппаратов и машин.
Демоверсия экзаменационного варианта
1. Атомно-абсорбционный анализ…
а) основан на исследовании спектров поглощения;
б) основан на исследовании спектров испускания;
в) требует применения специальных ламп, катод которых сделан из металла, концентрацию которого определяют;
г) не требует перевода вещества в атомарное состояние с помощью пламени.
2. Атомно-абсорбционный анализ используют для анализа…
а) лёгких металлов;
б) тяжёлых металлов;
в) активных неметаллов;
г) неактивных неметаллов.
3. Какое из названий соответствует приведенной формуле:

2-пропил-4-метилпентан
4,6,6-триметилгексан
1,1,3-триметилгексан
2,4-диметилгептан
4. Основными органическими продуктами реакции являются:

а)
б)
в)
г)
СПИСОК ЛИТЕРАТУРЫ
Общая и неорганическая химия:
- Ахметов Н.С. Общая и неорганическая химия. 3-е изд. М.: Высш. шк., 1998.
- Карапетьянц М.Х., Дракин С.И. Общая и неорганическая химия. М.: Химия, 2001.
- Коттон Ф., Уилкинсон Дж. Современная неорганическая химия. Т. 1—3. М.: Мир, 1969.
- Суворов А.В., Никольский А.Б. Общая химия. М.: Мир, 1997.
- Неорганическая химия / Ю.Д. Третьяков, Л.И. Мартыненко, А.Н. Григорьев, А.Ю. Цивадзе. Т. 1, 2. М.: Химия, 2001.
Органическая химия:
- Терней А. Современная органическая химия. Т. 1,2. М., "Мир" 1981 год.
- Робертс Дж., Кассерио М. Основы органической химии. Т.1,2. М. "Мир", 1978 год.
- Органикум. Т. 1,2. М. "Мир", 1992 год.
- Моррисон Р., Бойд Р. Органическая химия. М., "Мир", 1974 год.
- Несмеянов А.Н., Несмеянов А.Н. Начала органической химии. Т. 1,2, М., "Мир", 1974 год
Аналитическая химия:
- Основы аналитической химии / под ред. Ю. А. Золотова. — М.: Высшая школа, 1996. Кн. 1: Общие вопросы. Методы разделения. —1996.—384 с. http://ecatalog.bashlib.ru/cgi-bin/zgate.exe?present+6024+default+5+1+F+1.2.840.10003.5.102+rus
- Основы аналитической химии / под ред. Ю. А. Золотова. — М.: Высшая школа. Кн. 2: Методы химического анализа.—1996.—460 с. http://ecatalog.bashlib.ru/cgi-bin/zgate.exe?present+6024+default+6+1+F+1.2.840.10003.5.102+rus
- Золотов, Ю.А. Введение в аналитическую химию [Электронный ресурс]: учебное пособие / Ю.А. Золотов. — Электрон. дан. — Москва: Издательство "Лаборатория знаний", 2016. — 266 с. — Режим доступа: https://e.lanbook.com/book/84079
Физическая химия
- Стромберг А. Г., Семченко Д.П. Физическая химия: Учебник для химических специальностей вузов . М.: Высшая школа, 2009. 527 с.
- Физическая химия (Под редакцией Краснова К.С.). В 2 кн. Кн.1. Строение вещества. Термодинамика. Изд-е 3-е. М.: Высш. шк., 2001. 687 с.
- Е.Т.Денисов. Химическая кинетика. М.: Химия: 2000. 566 с.
- Эмануэль Н.М., Кнорре Д.Г. Курс химической кинетики. Изд. 4-е. М.: Высшая школа, 1984. 391 c
- Физическая химия (Под редакцией Краснова К.С.). В 2 кн. Кн2. Электрохимия. Химическая кинетика и катализ. М.: Высш. шк., 2001. 319 с.
Высокомолекулярные соединения
- Семчиков Юрий Денисович. Высокомолекулярные соединения: учебник для вузов / Ю. Д. Семчиков.— М.: Академия, 2003 (либо 2005).— 368 с.: ил. — (Высшее образование).— Допущ. МО РФ в качестве учебника для студ. вузов, обучающихся по спец. "Химия".— ISBN 5769514329.
- Тагер Анна Александровна. Физико-химия полимеров / А. А. Тагер ; под ред. А.А. Аскадского .— 4-е изд., перераб. и доп. — М. : Научный мир, 2007 .— 576 с. — Библиогр. в конце гл. — ISBN 978-589-176-437-8
Методические указания
1. Глазырин А.Б. Реологические свойства полимеров и их растворов: метод. указание / А.Б.Глазырин Э.Р. Каримова; Башкирский государственный университет.— Уфа: РИЦ БашГУ, 2018.— 31 с.
2. Глазырин А.Б. Закономерности реакции поликонденсации: метод. указание / А.Б.Глазырин Э.Р. Каримова; Башкирский государственный университет.— Уфа: РИЦ БашГУ, 2014.— 29 с.
3. Глазырин А.Б. Растворы полимеров. Закономерности процесса растворения: метод. указание / А.Б.Глазырин Э.Р. Каримова; Башкирский государственный университет.— Уфа: РИЦ БашГУ, 2016.— 17 с.
4. Глазырин А.Б. Методы определения молекулярных масс и полидисперсности полимеров: метод. указание / А.Б.Глазырин Э.Р. Каримова; Башкирский государственный университет.— Уфа: РИЦ БашГУ, 2014.— 32 с.
Теоретические основы химии
ПРОГРАММА
вступительного испытания
для поступающих в магистратуру по направлению подготовки
04.04.01 «Химия»
программы (профиль)
«Химия окружающей среды, химическая экспертиза и экологическая безопасность»,
«Квантовые технологии, компьютерный наноинжиниринг,
физикохимия и экспертиза материалов»
ОБЩИЕ ПОЛОЖЕНИЯ
Вступительные испытания предназначены для определения практической и теоретической подготовленности поступающего в магистратуру и проводятся с целью определения соответствия знаний умений и навыков требованиям обучения магистратуры по направлению подготовки 04.04.01 «Химия» (магистратура). Программа составлена в соответствии с требованиями федерального государственного образовательного стандарта высшего профессионального образования.
Вступительные испытания в магистратуру проводят экзаменационные комиссии, назначенные председателем приёмной комиссии УУНиТ.
ПРОЦЕДУРА ВСТУПИТЕЛЬНОГО ИСПЫТАНИЯ
Дата и время проведения вступительного испытания и консультации определяются расписанием вступительных испытаний, которое утверждается председателем приемной комиссии.
Перед вступительным испытанием для поступающих проводится консультация по содержанию программы испытания, критериям оценки, предъявляемым требованиям, правилам поведения на испытании.
Форма вступительного испытания (в соответствии Положением о вступительных испытаниях УУНИТ): устно-письменная.
Вступительные испытания в виде устно-письменного проводятся в соответствии с программами вступительных испытаний, утверждаемых председателем приемной комиссии.
Экзаменационные билеты включают два вопроса по направлению подготовки (по специальности).
В аудитории, где проводится вступительное испытание в устной форме, не может находиться одновременно более 6 человек. Нахождение в аудитории посторонних лиц не допускается.
Абитуриенту предоставляется право готовиться к ответу в течение 30 минут.
Абитуриенту предоставляется право ответа на экзаменационные вопросы в течение 20-25 минут.
В процессе сдачи вступительного испытания абитуриенту могут быть заданы дополнительные вопросы как по содержанию экзаменационного билета, так и по любым разделам предмета в пределах программы вступительного испытания.
Абитуриент, не согласный с оценкой, полученной на ВИ и (или) в связи с нарушением процедуры проведения ВИ имеет право подать апелляцию. Процедура подачи и рассмотрения апелляции регламентируется Положением об апелляционной комиссии УУНиТ.
КРИТЕРИИ ОЦЕНИВАНИЯ ОТВЕТА
Критериями оценки экзаменационного ответа, поступающего в магистратуру являются полнота, логичность, доказательность, прочность, осознанность знаний и теоретическая обоснованность суждений, самостоятельность в интерпретации информации, практическая направленность, уровень овладения профессиональными умениями менеджера и др. В случае тестирования является правильные ответы на тестовые задания.
Результаты вступительного испытания определяются по 100-балльной шкале, разброс баллов представлен ниже в таблице:
|
№ |
Критерии оценивания |
Оценка |
|
1 |
Дан полный развернутый ответ на теоретический вопрос:
|
85-100 баллов «отлично» |
|
2 |
Дан в целом правильный ответ на теоретический вопрос:
|
67-84 балла «хорошо» |
|
3 |
Дан в основном правильный ответ на теоретический вопрос:
|
50-66 баллов «удовлетворительно» |
|
4 |
Дан фрагментарный ответ или неправильный ответ на теоретический вопрос из предложенного тематического раздела:
|
0-49 баллов «неудовлетворительно» |
СОДЕРЖАНИЕ РАЗДЕЛОВ И ТЕМ ПРОГРАММЫ ВСТУПИТЕЛЬНОГО ИСПЫТАНИЯ
РАЗДЕЛ 1. Общая химия
- Периодический закон Д.И.Менделеева и Периодическая Система элементов Д.И. Менделеева. Строение электронных оболочек атомов. Электронные конфигурации.
- Потенциалы ионизации атомов, сродство к электрону, эффективные атомные и ионные радиусы, электроотрицательность. Степени окисления. Валентные возможности атомов.
- Химическая связь. Виды химической связи. Структурные формулы, граничные структуры, мезомерные формулы, формальные заряды на атомах. Делокализация π-связей. Метод молекулярных орбиталей. Построение простейших корреляционных диаграмм двухатомных молекул.
- Зависимость химических свойств от химического строения. Кислотно-основный характер гидроксидов. Сила бескислородных и кислородсодержащих кислот.
- Энтальпии образования веществ. Закон Гесса. Энтальпийные диаграммы. Цикл Борна-Габера. Понятие об энтропии. Два фактора самопроизвольности химического процесса. Энергия Гиббса.
- Химическое равновесие. Константа химического равновесия.. Смещение химического равновесия.
- Способы количественного выражения состава раствора: концентрация (молярная, моляльная, массовая) и доля (массовая, объемная, мольная). Растворимость. Насыщенные, ненасыщенные и пересыщенные растворы.
- Свойства разбавленных растворов. Растворы электролитов. Теория электролитической диссоциации (Аррениус).
- Теория кислот и оснований Брёнстеда-Лоури. Автопротолиз растворителя.
- Сила кислот и оснований в водных растворах. Протолитические равновесия. Константы протолитических равновесий.
- Окислители и восстановители. Стандартные электродные потенциалы. Зависимость электродных потенциалов от условий. Направление окислительно-восстановительных реакций.
- Классификация комплексных соединений. Номенклатура. Изомерия комплексных соединений. Строение комплексов. Теория кристаллического поля. Спектрохимический ряд лигандов. Электролитическая диссоциация комплексных соединений.
РАЗДЕЛ 2. Неорганическая химия
- Элементы VII группы Атомные и химические свойства элементов. Получение простых веществ. Физические и химические свойства простых веществ. Водородные соединения. Оксиды. Кислородсодержащие кислоты. Межгалогенные соединения.
- Элементы VI группы. Атомные и химические свойства элементов. Водородные соединения. Оксиды. Кислородсодержащие кислоты. Важнейшие соединения.
- Элементы V группы. Атомные и химические свойства элементов. Получение и химические свойства простых веществ. Водородные соединения. Оксиды и кислородсодержащие кислоты. Галогениды.
- Элементы IV группы. Атомные и химические свойства элементов. Получение и химические свойства простых веществ. Водородные соединения. Оксиды и кислородсодержащие кислоты.
- Элементы III группы. Атомные и химические свойства элементов. Получение и химические свойства простых веществ. Водородные соединения. Оксиды и кислородсодержащие кислоты. Соли.
- Элементы II группы. Атомные и химические свойства элементов. Оксиды и гидроксиды. Соли.
- Атомные и химические свойства элементов I группы. Получение и химические свойства простых веществ. Важнейшие соединения. Комплексные соединения меди, серебра, золота.
- Атомные и химические свойства элементов VIII группы. Получение простых веществ. Химические свойства простых веществ. Важнейшие соединения. Комплексные соединения элементов триады железа и платиновых металлов.
РАЗДЕЛ 3. Аналитическая химия
1. Методы разделения и концентрирования веществ в аналитической химии
Некоторые основные понятия (разделение, концентрированно, коэффициент (фактор) концентрирования). Классификация методов разделения и концентрирования (методы испарения, озоление, осаждение, соосаждение, кристаллизация, экстракция, избирательная адсорбция, электрохимические и хроматографические методы).
2. Хроматографические методы анализа.
Хроматография, сущность метода. Классификация хроматографических методов анализа: по механизму разделения веществ, по агрегатному состоянию фаз, по технике эксперимента, по способу относительного перемещения фаз.
Адсорбционная Хроматография. Тонкослойная Хроматография (ТСХ). Сущность метода ТСХ. Коэффициент подвижности, относительный коэффициент подвижности, степень (критерий) разделения, коэффициент разделения. Материалы и растворители, применяемые в методе ТСХ.
Распределительная Хроматография. Хроматография на бумаге (бу- мажная хроматография). Осадочная хроматография. Понятие о ситовой хроматографии. Гель-Хроматография.
3. Подготовка образца к анализу.
Проба. Средняя проба. Отбор средней пробы жидкости, твердого тела (однородного и неоднородного вещества). Масса пробы. Растворение пробы ( в воде, водных растворах кислот, в других растворителях), обработка пробы насыщенными растворами соды, поташа или ее сплавле-ние с этими солями.
4. Качественный химический анализ. Классификация методов качественного анализа (дробный и систематический; макро-, полумикро-, микро-, ультромикроанализ).
Аналитические реакции и реагенты, используемые в качественном анализе (специфические, селективные, групповые).
Аналитическая классификация катионов по группам (сульфидная или сероводородная, аммиачно-фосфатная, кислотно-основная). Ограниченность любой классификации катионов.
Кислотно-основная классификация катионов по группам. Аналитические реакции катионов различных аналитических групп.
Аналитическая классификация анионов (по способности к образованию малорастворимых соединений по окислительно-восстановительным свойствам). Ограниченность любой классификации анионов. Аналитические реакции анионов различных аналитических групп. Методы анализа смесей анионов различных групп.
Анализ смесей катионов и анионов.
Применение физических и физико-химических методов для идентификации веществ в качественном анализе. Понятие о применении оптических. хроматографических, электрохимических методов в качественном анализе.
5. Количественный анализ. Классификация методов количественного анализа (химические, физико-химические, биологические).
Требования, предъявляемые к реакциям в количественном анализе. Роль и значение количественного анализа в фармации.
Статистическая обработка и представление результатов количественного анализа. Расчет метрологических параметров. Среднее значение определяемой величины, случайные отклонения, дисперсия, дисперсия среднего, стандартное отклонение среднего, относительное стандартное отклонение, доверительный интервал, ширина доверительного интервала, доверительная вероятность, коэффициент нормированных отклонений (коэффициент Стьюдента). Исключение грубых промахов. Представление результатов количественного анализа.
6. Гравиметрический анализ.
Основные понятия гравиметрического анализа. Основные этапы гравиметрического определения. Осаждаемая и гравиметрическая формы;
требования, предъявляемые к осадителю, промывной жидкости.
Понятие о теории образования осадков. Условия образования кристаллических и аморфных осадков.
7. Химические титриметрические методы анализа.
Титриметрический анализ (титриметрия). Основные понятия (аликвота, титрант, титрование, точка эквивалентности, конечная точка титрования, индикатор, кривая титрования, степень оттитрованности, уровень титрования). Требования, предъявляемые к реакциям в титриметрии. Реактивы, применяемые в титриметрическом анализе, стандартные вещества, титранты.
Классификация методов титриметрического анализа: кислотно-основное, окислительно-восстановительное, осадительное, комплексиметрическое и комплексонометрическое титрование.
Виды ( приемы) титрования, применяемые в титриметрическом анализе - прямое, обратное, косвенное. Способы определения отдельных навесок, аликвотных частей. Методы установления конечной точки титрования - визуальные, инструментальные.
8. Кислотно-основное титрование
Сущность метода. Основные реакции и титранты метода. Типы кислотно-основного титрования - ацидиметрия, алкалиметрия.
Индикаторы метода кислотно-основного титрования. Кривые кислотно-основного титрования. Расчет, построение и анализ типичных кривых титрования для случаев титрования сильной кислоты щелочью, слабой кислоты щелочью; сильного, слабого основания сильной кислотой. Выбор индикаторов по кривой титрования.
Титрование полипротонных кислот.
9. Окислительно-восстановительное титрование
Сущность метода. Классификация редокс-методов. Условия проведения окислительно-восстановительного титрования. Требования, предъявляемые к реакциям. Виды окислительно-восстановительного титрования (прямое, обратное, заместительное) и расчеты результатов титрования.
Индикаторы окислительно-восстановительного титрования. Классификация индикаторов. Окислительно-восстановительные индикаторы (обратимые и необратимые), интервал изменения окраски индикатора. Кривые окислительно-восстановительного титрования: расчет, построение, анализ. Выбор индикатора на основании анализа кривой титрования. Перманганатометрическое титрование. Сущность метода. Условия проведения титрования. Титрант, его приготовление, стандартизация. Установление конечной точки титрования. Применение перманганатометрии. Дихроматометрическое титрование. Иодометрическое титрование. Броматометрическое титрование.
10. Комплексонометрическое титрование. Понятие о комплексонатах металлов. Равновесия в водных растворах ЭДТА. Состав и устойчивость комплексонатов металлов. Сущность метода комплексонометрического титрования. Кривые титрования, их расчет, построение, анализ. Влияние различных факторов на скачок на кривой титрования - устойчивость комплексонатов, концентрация ионов металла, рН раствора. Индикаторы комплексонометрии (металлохромные индикаторы), принцип их действия; требования, предъявляемые к металлохромным индикаторам.
11. Осадителъное титрование. Сущность метода. Требования, предъявляемые к реакциям в методе осадительного титрования. Классификация методов по природе реагента, взаимодействующего с определяемыми веществами - аргентометрия, тиоцианатометрия, меркурометрия, гексацианоферратометрия, сульфато-метрия, бариметрия. Виды осадительного титрования -прямое, обратное. Кривые осадительного титрования, их расчет, построение, анализ. Влияние различных факторов на скачок титрования (концентрация растворов реагентов, растворимость осадка и др.)
Индикаторы метода осадительного титрования: осадительные. металлохромные, адсорбционные. Условия применения и выбор адсорбционных индикаторов.
12. Оптические методы анализа
Общий принцип метода. Классификация оптических методов анализа ( по изучаемым объектам, по характеру взаимодействия электромагнитного излучения с веществом, по используемой области электромагнитного спектра, по природе энергетических переходов).
13. Молекулярный спектральный анализ в ультрафиолетовой и видимой области спектра. Сущность метода. Основные законы светопоглощения: закон Бугера-Ламберта, закон Бера, объединенный закон светопоглощения Бугера-Ламберта-Бера. Оптическая плотность (А) и светопропускание (Т), связь между ними. Коэффициент поглощения (к) и коэффициент погашения - молярный (Е) и удельный
14. Колориметрия: метод стандартных серий, метод уравнивания окрасок, метод разбавления; их сущность. Фотоколориметрия, фотоэлектроколориметрия: их сущность, достоинства и недостатки, применение. Спектрофотометрия. Сущность метода, достоинства и недостатки, применение. Люминесцентный анализ. Сущность метода. Классификация различных видов люминесценции. Флуоресцентный анализ. Природа флуоресценции. Основные характеристики и закономерности люминесценции: спектр флуоресценции, закон Стокса-Ломмеля, правило зеркальной симметрии Левшина, квантовый выход флуоресценции, закономерность С.И.Вавилова.
15. Ионообменная хроматография. Сущность метода. Иониты. Ионообменное равновесие. Методы ионообменной хроматографии. Применение ионообменной хроматографии.
16. Газовая (газожидкостная и газо-адсорбционная) хроматография. Сущность метода. Понятие о теории метода. Параметры удерживания. Параметры разделения (степень разделения, коэффициент разделения, число-теоретических тарелок). Влияние температуры на разделение. Практика метода, особенности проведения хроматографирования. Методы количественной обработки хроматографии (абсолютной калибровки, внутренней нормализации, внутреннего стандарта).
17. Жидкостная хроматография: высокоэффективная жидкостная хроматография. Сущность метода. Применение высокоэффективной жидкостной хроматографии в фармации.
18. Электрохимические методы анализа.
Общие понятия. Классификация электрохимических методов анализа. Методы без наложения и с наложением внешнего потенциала:
прямые и косвенные электрохимические методы.
19. Потенциометрический анализ (потенциометрия). Принцип метода. Определение концентрации анализируемого вещества в прямой потенциометрии (метод градуировочного графика, метод стандартных добавок). Применение прямой потенциометрии.
Потенциометрическое титрование. Сущность метода. Кривые по-тенциометрического титрования (интегральные, дифференциальные, кривые титрования по методу Грана). Применение потенциометрического титрования.
РАЗДЕЛ 4. Органическая химия
1. Химическая связь и взаимное влияние атомов органических соединений
Химическая связь. Типы химических связей в органических соединениях. Ковалентные σ- и π- связи. Строение двойных и тройных связей; их основные характеристики (длина, энергия, полярность, поляризуемость).
Взаимное влияние атомов в органических молекулах и способы его передачи. Индуктивный эффект. Электронодонорные и электроноакцепторные заместители. π, π- ρ,π- сопряжение. Сопряженные системы с открытой и замкнутой цепью. Энергия сопряжения. Мезомерный эффект.
2. Классификация и номенклатура органических соединений
Функциональная группа и строение углеродного скелета – основные классификационные признаки органических соединений. Основные классы органических соединений.
Основные принципы современной номенклатуры (номенклатура ИЮПАК). Заместительная и радикало-функциональная номенклатура.
3. Пространственное строение органических соединений
Стереоизомерия. Конфигурация. Виды молекулярных моделей. Способы изображения конфигурации: стереохимической формулы, проекционные формулы Фишера.
Конформация как результат вращения вокруг одинарный связи. Факторы, затрудняющие свободное вращение. Конформации соединений с открытой цепью. Изображение конформаций в виде проекционных формул Ньюмена. Виды напряжений (торсионное напряжение, взаимодействие Ван-дер-Ваальса). Энергетическая характеристика заслоненных, скошенных, заторможенных конформаций.
4. Современные физико-химические методы установления строения
Инфракрасная спектроскопия (ИК): типы колебаний атомов в молекуле (валентные, деформационные). Характеристические частоты.
Электронная спектроскопия (УФ и видимая область): типы электронных переходов и их энергия, основные параметры полос поглощения, смещение полос (батохромный и гипсохромный сдвиг) и их причины.
Спектроскопия ядерного магнитного резонанса (ЯМР). Проточный магнитный резонанс: химический сдвиг, спин-спиновое расщепление. Примеры простейших спектров.
Масс-спектрометрия: виды ионов (молекулярные, осколочные, перегруппировочные). Изотопный состав. Установление молекулярной формы. Основные типы фрагментации. Масс-спектральные серии ионов основных классов органических соединений.
Поляриметрия и спектрополяриметрия как методы исследования оптически активных соединений.
5. Алканы. Классификация органических реакций по направлению (присоединение, замещение, отщепление, перегруппировка). Типы реагентов. Понятие о механизмах реакции (радикальные). Электронное строение промежуточных активных частиц (свободные радикалы). Факторы, определяющие их устойчивость. Реакции радикального замещения (SR), механизм. Региоселиктивность радикального замещения. Понятие о цепных процессах. Галогенирование, нитрование. Окисление алканов. Вазелиновое масло, парафины. Методы идентификации алканов. Гомологический ряд. Номенклатура. Структурная изомерия. Способы получения. Природные источники углеводородов.
6. Циклоалканы. Номенклатура. Способы получения. Понятие об электроциклических реакциях и реакциях циклоприсоединения. Малые циклы. Электронное строение циклопропана. Особенности свойств малых циклов (реакции присоединения). Обычные циклы. Реакции замещения. Конформации циклогексана. Энергетическое различие конформаций циклогексана (кресло, ванна, полукресло). Виды напряжений. Инверсия монозамещенных производных циклогексана. Аксиальные и экваториальные связи. 1,3-Диаксиальное взаимодействие как причина инверсии цикла. Циклогексановое кольцо в природных и лекарственных веществах (кверцит, инозит, хинная кислота, стрептидин). Понятие о полициклических системах (адамантан). Адамантан в основе лекарственных средств.
7. Алкены. Номенклатура. Структурная изомерия. π–Диастереометия. Способы получения. Реакция электрофильного присоединения (АЕ), механизм, пространственная направленность присоединения. Галогенирование, гидрогалогенирование, гидратация и роль кислотного катализа. Правило Марковникова, его современная интерпретация. Различные виды окисления алканов (гидроксилирование, озонирование, эпоксилирование). Каталитическое гидрирование. Реакции радикального присоединения. Реакции нуклеофильного присоединения. Полимеризация.
8. Диены. Номенклатура. Сопряженные диены (бутадиен, изопрен). Реакции электрофильного присоединения и их особенности в ряду 1,3-диенов (гидрогалогенирование, присоединение галогенов). Полимеризация 1,3-диенов. Стереорегулярное строение натурального каучука и гуттаперчи. Работы С.В. Лебедева. Синтетические каучуки. Понятие о сополимерах. Реакция циклоприсоединения (диеновый синтез).
9. Алкины. Номенклатура. Способы получения. Реакции электрофильного присоединения. Гидратация ацетилена (реакция М.Г. Кучерова). Сравнение реакционной способности алкинов и алкенов в реакциях электрофильного присоединения. Реакции замещения как следствие СН-кислотных свойств алкинов. Димеризация (винилацетилен) и цикломеризация (бензол) ацетилена.
10. Арены (Ароматические углеводороды). Моноядерные арены. Номенклатура. Электронное строение бензола. Ароматичность. Правало Хюккеля. Способы получения. Реакции электрофильного замещения (SЕ), механизм. π – и σ -комплексы. Необходимость катализа. Галогенирование, нитрование, сульфирование, алкилирование, ацилирование аренов. Влияние электронодонорных и электроноакцепторных заместителей на направление и скорость реакций электрофильного замещения. Ориентанты первого и второго рода. Согласованная и несогласованная ориентация. Взаимопревращение ароматических, алифатических и алициклических углеводородов.
11. Галогенопроизводные. Классификация галогенопроизводных в зависимости от числа и расположения атомов галогена и от природы углеводородного радикала. Номенклатура. Изомерия. Изменение физических свойств в зависимости от атомной массы галогена. Способы получения.
Характеристика связи углерод-галоген (длина, энергия, полярность, поляризуемость). Реакции нуклеофильного замещения (SR2, SR1), механизм. Стериохимический результат этих реакций (правила Ингольда). Гидролиз, алкоголиз, аммонолиз, ацетолиз галогенопроизводных; получение нитрилов, нитропроизводных. Реакции отщепления (элиминирования), механизм. Дигидрогалогенирование, дегалогенирование. Правило А.М. Зайцева. Конкуренция реакций элиминирования и реакций нуклеофильного замещения.
Непредельные галогенопроизводные (алкинилгалогениды). Аллил- и бензилгалогениды, винил- и арилгалогениды, причины различной реакционной способности галогена.
12. Гидроксипроизводные и их тиоаналоги. Классификация по числу гидроксильных групп и характеру углеводородного радикала. Номенклатура.
Одноатомные спирты и фенолы. Изомерия. Способы получения алифатических спиртов. Пути ведения гидроксильной группы в ароматическое ядро (получение фенолов). Кислотно-основные свойства спиртов и фенолов: образование алкоголятов и фенолятов. Нуклеофильные свойства спиртов и фенолов: образование простых и сложных эфиров. Реакции нуклеофильного замещения в спиртах, необходимость кислотного катализа.
Реакция электрофильного замещения в фенолах и нафтолах: нитрование, нитрозирование, сульфирование, галогенирование, алкилирование, ацилирование, гидроксиметилирование. Фенолформальдегидные смолы. Окисление и восстановление фенолов и нафтолов.
Многоатомные спирты и фенолы. Способы получения. Химические свойства. Этиленгликоль, глицерин, пирокатехин, резорцин, гидрохинон.
13. Оксосоединени. Альдегиды и кетоны. Номенклатура. Изомерия. Физические свойства. Способы получения. Пути прямого введения карбонильной группы в ароматическое ядро: ацилирование (реакции Фриделя – Крафтса), формилирование. Строение оксогруппы. Сравнительная характеристика С=О и С=С- связи. Реакции нуклеофильного присоединения (АN), механизм. Присоединение магний- органических соединений. Различие в реакционной способности альдегидов и кетонов. Восстановление, присоединение воды, гидросульфита натрия. Получение полуацеталей и ацеталей; роль кислотного катализа. Реакция окисления- восстановления (диспропорционирования формальдегида, реакция Канницаро), механизм. Влияние оксогруппы на углеводородный радикал. Альдольное присоединение (конденсация) и галоформные реакции как следствие СН- кислотности в α – положении к оксогруппе. Иодоформная проба. Механизм альдольной конденсации в биохимических процессах. Кротоновая конденсация. Реакция серебряного зеркала, реакция с гидроксидом меди (II). Полимеризация альдегидов. Параформ, праральдегид.
14. Гомофункциональные карбоновые кислоты и их функциональные производные
Монокарбоновые (насыщенные: муравьиная, уксусная, пропионовая, масляная, изовалериановая; ароматические – коричная, бензойная.) и дикарбоновая (щавелевая, малоновая, янтарная, глутаровая, малеиновая, фумаровая, фталевая и терефталевая) кислоты. Номенклатура. Способы получения.
Строение карбоксильной группы и карбоксилат- иона, его устойчивость. Кислотные свойства карбоновых кислот. Влияние корбоксильной группы на углеводородный радикал. Повышение СН-кислотности углеродного атома: галогенирование по Геллю- Фольгарду – Зелинскому. Реакции карбоновых кислот с нуклеофильными реагентами; образование сложных эфиров, ангидридов, галогенангидридов и амидов. Присоединение против правила Марковникова в α,β -непредельных кислотах.
Дикарбоновые кислоты, их свойства как бифункциональных соединений. Повышенная Кислотность первых гомологов. Декарбоксилирование карбоновых кислот, повышение склонности к декарбоксилированию с увеличением электроноакцепторного характера радикала. Декабоксилирование щавелевой и малоновой кислот. Малоновый эфир, СН- кислотные свойства, получение карбоновых кислот. Образование циклических ангидридов из дикарбоновых кислот со сближенными в пространстве карбоксильными группами.
Сложные эфиры. Реакция этерификации, необходимость кислотного катализа. Кислотный и щелочной гидролиз сложных эфиров. Ангидриды и галогенангидриды. Циклические ангидриды карбоновых кислот. Амиды. Получение. Строение амидной группы. Дезаминирование азотной кислоты. Нитрилы. Получение. Свойства: гидролиз, восстановление.
15. Гетерофункциональные кислоты. Гидроксикислоты алифатического ряда. Способы получения.
Химические свойства как гетерофункциональных соединений. Отношение гидроксикислот к нагреванию в зависимости от взаимного расположения функциональных групп.
Аминокислоты. Способы получения, ά- аланин, γ- аминомасляная, глутаминовая кислоты. Стереоизомерия аминокислот. Образование хелатных соединений, биполярная структура α- аминокислот. Химические свойства как бифункциональных соединений.
Оксокислоты. Способы получения. Химические свойства как гетерофункциональных соединений. Специфические свойства в зависимости от взаимного расположения функциональных групп. Синтезы карбоновых кислот и кетонов на базе ацетоуксусного эфира.
16: Амины. Классификация. Номенклатура. Способы получения алифатических аминов.
Пути введения аминогруппы в ароматическое кольцо. Реакция Зинина. Кислотно-основные свойства аминов. Зависимость основных свойств аминов от числа и природы углеводных радикалов. Образование солей.
Амины как нуклеофильные реагенты. Алкилирование аммиака и аминов — реакция Гофмана. Ацилирование аминов как способ защиты аминогруппы. Реакции аминов с азотистой кислотой. Образование нитрозаминов из вторичных аминов. Дезаминирование первичных алифатических аминов. Галогенирование, сульфирование, нитрование и нитрозирование ароматических аминов.
Нитросединения. Классификация. Номенклатура. Способы получения. Строение нитрогруппы. Восстановление нитросоединений. Кислотные свойства алифатических нитросоединений.
17: Диазо- и азосоединения.
Номенклатура. Диазотирование первичных ароматических аминов, условия реакции. Строение солей диазония. Реакции солей диазония с выделением азота. Синтетические возможности реакции: замещение диазогруппы на водород, гидроксил, алкоксигруппы, галогены, цианогруппу.
Реакции солей диазония без выделения азота. Азосочетание как реакция электрофильного замещения. Азокрасители (метиловый оранжевый, конго красный), их индикаторные свойства.
18: Физическая химия.
Основное уравнение кинетической теории газов. Кинетическая энергия и температура. Распределение по скоростям Максвелла и Больцмана.
Теплоемкость при постоянном давлении и объеме. Закон Дюлонга и Пти. Принципы подхода к выводу квантовой теплоемкости твердых тел (Эйнштейна).
Первый закон термодинамики. Термохимия. Закон Гесса. Расчет тепловых эффектов химических реакций. Закон Кирхгофа. Расчет энтальпии по зависимости теплоемкости от температуры.
Второй закон термодинамики, его математическое выражение и его анализ. Типы процессов. Постулаты Клаузиуса, Томсена, Оствальда.
Термодинамическая вероятность системы и ее связь с энтропией.
Энтропия как функция состояния системы.
Свободная энергия Гиббса и Гельмгольца, их зависимость от Т, Р и 1/Т . Полезная работа.
Понятие о статистических суммах по состояниям. Связь суммы по состояниям с термодинамическими функциями. Статистический расчет термодинамических функций идеальных газов. Уравнение Закура – Тетроде.
Коллигативные свойства растворов. (Законы Рауля и Генри). Осмотическое давление. Уравнение Вант –Гоффа. Криоскопия и эбуллиоскопия. Испарение и кипение. Уравнение Клапейрона - Клаузиуса. Его вывод. Перегонка бинарных смесей. Законы Коновалова. Уравнение Гиббса – Дюгема. Равновесия конденсированных фаз. Расчет растворимости при постоянной температуре.
Адсорбционные явления. Подходы к описанию адсорбции: метод абсолютных концентраций и метод избытков Гиббса. Термодинамика адсорбционных процессов. Вывод уравнения БЭТ. Основные постулаты теории сильных электролитов Дебая - Хюккеля. Вывод уравнения зависимости ионной атмосферы от различных параметров. Электроды первого рода. Скачок потенциала на границе металл - раствор. Вывод уравнения Нернста. Гальванические элементы (химические и концентрационные). Направленность окислительно - восстановительных реакций (Диаграммы Фроста, Диаграммы Е-рН, Диаграммы Латимера). Связь между изменением свободной энергии Гиббса и константой равновесия.
Порядок химической реакции. Методы определения порядка реакции. Кинетика сложных реакций (Кинетические закономерности последовательных, параллельных и обратимых реакций). Основные принципы составления кинетических уравнений (основной постулат химической кинетики; принцип лимитирующей стадии; принцип независимости протекания реакций; принцип детального равновесия Боденштейна - Семенова). Зависимость скорости реакции от температуры. Уравнение Аррениуса. Методы расчета энергии активации. Вывод кинетических уравнений для необратимых реакций целого порядка. Константы реакций первого и второго порядка; периоды полураспада. Методы определения порядка химической реакции.
Фотохимические реакции (Законы: Гротгуса –Дрепера; Эйнштейна – Штарка; Бугера –Ламберта - Бера). Квантовый выход. Триплетные состояния. Кинетика фотохимических реакций.
Гомогенный катализ. Активность и селективность катализаторов. Кинетический и термодинамический аспекты активации. Основное уравнение кинетики гомогенных каталитических реакций.
Цепные реакции. Основные стадии. Длина цепи. Кинетика неразветвленных и разветвленных реакций. Примеры цепных неразветвленных реакций. Теория активных столкновений. Сечение соударений. Общее число активных столкновений. Стерический множитель.
Теория переходного состояния. Понятие активированного комплекса. Координата реакции. Поверхность потенциальной энергии.
Гетерогенные каталитические реакции. Общая характеристика. Влияние катализатора на энергию активации. Термодинамический аспекты активации. Теория Хоугена - Ватсона. Ферментативный катализ. Уравнение Михаэлеса - Ментен. Вывод уравнения зависимости скорости от концентрации субстрата.
Зависимость удельной и молярной электропроводности от концентрации электролита. Эффекты Фалькенгагена и Вина. Частотная зависимость проводимости. Уравнение Онзагера.
Полярография. Основы количественной полярографии. Потенциал полуволны как качественная характеристика вещества.
Электропроводность (удельная и эквивалентная). Законы Кольрауша и Стокса.
Скорость движения и подвижность ионов. Закон Стокса и правило Вальдена – Писаржевского. Числа переноса и методы их определения.
Демоверсия экзаменационного варианта
Пробный билет
|
МИНИСТЕРСТВО НАУКИ И ВЫСШЕГО ОБРАЗОВАНИЯ РОССИЙСКОЙ ФЕДЕРАЦИИ ФЕДЕРАЛЬНОЕ ГОСУДАРСТВЕННОЕ БЮДЖЕТНОЕ ОБРАЗОВАТЕЛЬНОЕ УЧРЕЖДЕНИЕ ВЫСШЕГО ОБРАЗОВАНИЯ «УФИМСКИЙ УНИВЕРСИТЕТ НАУКИ И ТЕХНОЛОГИЙ» |
|
|
Вступительные испытания: по направлению 04.04.01 Химия |
|
|
Экзаменационный билет № Хроматография, сущность метода. Классификация хроматографических методов анализа. Адсорбционная Хроматография. Тонкослойная хроматография (ТСХ). Сущность метода ТСХ. Коэффициент подвижности, относительный коэффициент подвижности, степень (критерий) разделения, коэффициент разделения. Материалы и растворители, применяемые в методе ТСХ. 2. Алкины. Номенклатура, способы получения. Реакции электрофильного присоединения. Гидратация ацетилена (реакция М.Г. Кучерова). СН-кислотные свойств алкинов. Методы спектроскопии в идентификации алкинов. Экологические аспекты в применении алкинов и продуктов синтеза на их основе. |
|
|
Дата утверждения: __.__.______ |
Заведующий кафедрой ______________________________ |
СПИСОК ЛИТЕРАТУРЫ
- Ахметов Н.С. Неорганическая химия. М.: Высшая школа, 2009.
- Некрасов Б.В. Основы общей химии, т.1-2. Изд. 4-ое. С.-Пб.: Лань, 2005.
- Третьяков Ю.Д., Мартыненко Л.И., Григорьев А.Н. , Цивадзе А.Ю.. Неорганическая химия, т. 1-3. /Под ред. Ю.Д. Третьякова. М.: Изд-во МГУ, 2002-2007.
- Медведев Ю.Н., Петрищева Л.П., Золотов М.А. Избранные главы общей химии. Мичуринск: издат-во МГПИ, 2001.
- Травень В.Ф. Органическая химия. М.; Академкнига, 2004. Т. 1-2. 727 с.
- Терней А. Современная органическая химия. М.; Мир,1981. Т.1-2. 678с.
- Герасимов Я.И. и др. Курс физической химии. – М.: Химия, 1969. Т. 1-2.
- Даниэльс Ф., Олберти Р. Физическая химия – М.: Мир, 1978.
- Еремин Е.Н. Основы химической термодинамики. – М.: Высшая школа, 1978.
- Еремин Е.Н. Основы химической кинетики. – М.: Высшая школа, 1976.
- Основы аналитической химии. В 2-х книгах. Под ред. Ю.А. Золотова. М.: Высшая школа, 2000.
- Основы аналитической химии. Практическое руководство. Под ред. Ю.А. Золотова). М: Высшая школа, 2001 г.
- У. Кунце, Г. Шведт. Основы качественного и количественного анализа. Пер. с нем. М.: Мир, 1997 г.
- А.Т. Пилипенко, И.В. Пятницкий. Аналитическая химия. В 2-х книгах. М.: Химия. 1990 г.
- Г. Юинг. Инструментальные методы химического анализа. Пер. с англ. М.: Мир, 1989 г.
Экология
ПРОГРАММА
вступительного испытания
для поступающих в магистратуру по направлению подготовки
05.04.06 «Экология и природопользование»
программа (профиль)
«Экология и управление природопользованием»
ОБЩИЕ ПОЛОЖЕНИЯ
Вступительные испытания предназначены для определения практической и теоретической подготовленности поступающего в магистратуру и проводятся с целью определения соответствия знаний умений и навыков требованиям обучения магистратуры по направлению подготовки 05.04.06 «Экология и природопользование» (магистратура). Программа составлена в соответствии с требованиями федерального государственного образовательного стандарта высшего профессионального образования.
Вступительные испытания в магистратуру проводят экзаменационные комиссии, назначенные председателем приёмной комиссии УУНиТ.
ПРОЦЕДУРА ВСТУПИТЕЛЬНОГО ИСПЫТАНИЯ
Дата и время проведения вступительного испытания и консультации определяются расписанием вступительных испытаний, которое утверждается председателем приемной комиссии.
Перед вступительным испытанием для поступающих проводится консультация по содержанию программы испытания, критериям оценки, предъявляемым требованиям, правилам поведения на испытании.
Форма вступительного испытания (в соответствии Положением о вступительных испытаниях УУНИТ): тестирование.
Вступительные испытания в виде электронного тестирования проводятся в соответствии с программами вступительных испытаний, утверждаемых председателем предметной комиссии.
Вступительные испытания в форме тестирования включают вопросы как закрытого, так и открытого типа, а также задания в аудио- и видеоформатах.
Составление вариантов экзаменационных заданий в форме электронных тестов осуществляется ответственным секретарем приемной комиссии университета.
Из вариантов экзаменационных заданий формируются комплекты вопросов-тестов.
Компоновку комплектов вопросов-тестов ответственный секретарь, заместитель ответственного секретаря производят до вступительных испытаний.
Тест содержит 40 тестовых вопросов.
Результаты испытаний оцениваются по 100 бальной шкале.
Абитуриент, не согласный с оценкой, полученной на ВИ и (или) в связи с нарушением процедуры проведения ВИ имеет право подать апелляцию. Процедура подачи и рассмотрения апелляции регламентируется Положением об апелляционной комиссии УУНиТ.
КРИТЕРИИ ОЦЕНИВАНИЯ ОТВЕТА
Критериями оценки экзаменационного ответа, поступающего в магистратуру являются полнота, логичность, доказательность, прочность, осознанность знаний и теоретическая обоснованность суждений, самостоятельность в интерпретации информации, практическая направленность, уровень овладения профессиональными умениями менеджера и др. В случае тестирования является правильные ответы на тестовые задания.
При проверке количество первичных баллов переводится в итоговую 100 балльную шкалу через информационную платформу университета.
СОДЕРЖАНИЕ РАЗДЕЛОВ И ТЕМ ПРОГРАММЫ ВСТУПИТЕЛЬНОГО ИСПЫТАНИЯ
Основы природопользования
- Природные системы как объекты воздействия человека.
- Структура и свойства природных ресурсов.
- Классификация природных ресурсов по происхождению
- Классификация природных ресурсов по признаку исчерпаемости.
- Воздействие человека на природные системы.
- Антропогенные изменения природных систем.
- Исторические аспекты взаимоотношений человека с природой
- Классификация природных ресурсов
- Рациональное и иррациональное природопользование
- Истощение природных ресурсов.
- Загрязнение окружающей среды и его влияние на условия жизнедеятельности человека.
- Нарушение структуры и деградация ландшафтов.
- Пути рационального использования природных ресурсов.
- Экологизация технологических процессов.
- Рациональное использование минеральных ресурсов.
- Влияние отраслей промышленности (производств) на окружающую среду
- Особенности влияния горнодобывающего, строительного производств на ОС
- Особенности влияния сельскохозяйственного производства на ОС
- Рекреационное природопользование и его особенность
- Рациональное использование и охрана водных ресурсов.
- Рациональное использование и охрана земельных ресурсов.
- Рациональное использование и охрана биологических ресурсов.
- Рациональное использование природно-антропогенных ландшафтов.
Глобальные проблемы природопользования
- Взгляды Томаса Роберта Мальтуса на демографическую проблему.
- Природные ресурсы, их классификация.
- Природопользование как сфера взаимоотношений общества и природы.
- Роль науки и политики в решении глобальных проблем природопользования.
- Виды минеральных ресурсов, их оценка и учет.
- Законы и принципы природопользования.
- Понятия рационального и нерационального природопользования
- Основные виды антропогенного влияния на биосферу, их классификация.
- Загрязнение окружающей среды: виды, причины и последствия
- Основные группы загрязнителей, пути их миграции, трансформации и накопления в экосистемах.
- Чернобыльская экологическая катастрофа.
- Нарушение геохимического баланса в биосфере.
- Причины истощения озонового слоя.
- Кислотные осадки, их причины и последствия.
- Проблема сохранения земельных ресурсов, структура земельного фонда РФ.
- Современные сельскохозяйственные технологии и проблемы охраны окружающей среды.
- Интенсификация сельского хозяйства. Виды пестицидов.
- «Зеленая революция» в сельском хозяйстве.
- Проблема утраты плодородия почвы. Эрозия почвы.
- Проблема твердых бытовых отходов: современные масштабы, подходы к решению.
- Интенсификация сельского хозяйства. Виды пестицидов.
- Проблемы истощения минерально-сырьевых ресурсов.
- Проблема сохранения земельных ресурсов, структура земельного фонда РФ.
- Проблемы потери биоты Земли.
- Уровни охраны биологического разнообразия.
- Значение биоразнообразия для устойчивости биосферы.
- Основные стратегии сохранения и восстановления биоразнообразия.
- Международно-правовое регулирование использования Мирового океана.
- Экологические проблемы Мирового океана.
- Концепция перехода России к устойчивому развитию и механизм его достижения.
- Юридические и экономические механизмы решения глобальных проблем природопользования.
- Международное сотрудничество в преодолении глобальных проблем природопользования.
- Глобальная демографическая проблема.
- Пути регулирования численности населения.
- Глобальная продовольственная проблема.
- Глобальная энергетическая проблема.
- Достоинства и недостатки тепловых, гидро- и атомных электростанций.
- Воздействие гидроэнергетики на окружающую среду.
- Воздействие тепловой энергетики на окружающую среду.
- Экологические, экономические и социальные последствия потепления климата.
- «Киотский протокол».
- Климатическая конференция ООН в Копенгагене.
- Климатическая конференция ООН в Париже.
- Основные глобальные климатические тенденции.
Оценка воздействия на окружающую среду
- Понятие ОВОС
- Цели ОВОС
- Задачи ОВОС
- История становления процедуры ОВОС
- Аналоги процедуры ОВОС в Советском Союзе
- Начало деятельности по ОВОС в России (Советском Союзе)
- Положение об оценке воздействия на ОС в РФ (1994, 2000 г.)
- Метод определения уровня экологической безопасности принимаемых технических или организационных решений
- Нормативно-правовая база ОВОС
- Место ОВОС в охране окружающей среды
- Результат проведения ОВОС
- Принципы ОВОС.
- Составляющие экологического сопровождения хозяйственной деятельности
- Идентификация (классификация) проектов в РФ и международных кредитных организаций
- Характеристика проектов и их особенности, согласно классификации РФ
- Характеристика проектов и их особенности, согласно классификации стран ЕС
- Виды экспертиз и их характеристики
- Государственная экологическая экспертиза
- Общественная экспертиза
- Перечень документов для разработки проекта ОВОС
- Основные этапы инвестиционного проектирования в РФ
- Декларация (ходатайство) о намерениях инвестирования
- Замысел (инициирование) предлагаемого проекта
- Участники процесса экологической оценки
- Субъекты инвестиционной деятельности
- Процедура проведения экспертизы
- Заключение государственной экологической экспертизы
- Степень ответственности участников процесса экологической оценки
- Обязанности заказчика намечаемой деятельности
- Этапы проведения ОВОС
- Права и обязанности Заказчика
- Права и обязанности исполнителя (проектировщик, изыскатель)
- Права и обязанности заинтересованных сторон (в т. ч. общественности)
- Права и обязанности исполнителя госорганов контроля, экспертов
- Изменения в окружающей среды в результате намечаемой деятельности
- Состав инженерно-экологических изысканий
- Особенности национальной процедуры ОВОС
- Состав и основные разделы проекта
Нормирование и снижение загрязнения окружающей среды
- Нормирование – как цель государственного регулирования хозяйственной деятельности. История вопроса.
- Экологические стандарты, нормы и правила. Санитарные правила и гигиенические нормативы.
- Виды нормирования: санитарно-гигиенические, производственно-хозяйственные, комплексные нормативы.
- Механизмы экологического нормирования. Стандартизация.
- Государственный стандарт природоохранной деятельности (ГОСТ).
- Механизмы экологического нормирования. Сертификация. Экологические требования, предъявляемые к данному виду деятельности.
- Нормативы качества санитарных и защитных зон. Различные уровни и определения санитарно-защитной зоны (СЗЗ).
- Водоохранная зона объекта и зона санитарной охраны предприятия.
- Нормативы качества воздуха, их разработка и списки установленных величин. Справочные источники информации.
- Предельно-допустимая концентрация вредного вещества (ПДК): среднесуточная и максимально-разовая. Особенности воздуха рабочей и санитарно-курортной зоны.
- Эффект селективного действия или эффект суммации загрязняющих веществ. Комплексные оценки загрязнения воздушной среды – индекс загрязнения атмосферы (ИЗА).
- Нормативы качества воды при определении ее пригодности для конкретных видов деятельности.
- Качество воды и питьевая вода в соответствии с Санитарными правилами и нормами.
- Виды водопользования. Лимитирующий признак вредности для различных водных источников.
- Индекс загрязнения воды (ИЗВ). Классы качества вод.
- Водный кодекс. Предельно допустимое вредное воздействие (ПДВВ) на водные объекты.
- Нормативы качества почв. Почвы населенных мест и сельскохозяйственных угодий.
- Показатели оценки санитарного состояния почв населенных мест. ПДК
- почвы – комплексный показатель. Суммарный показатель загрязнения почв.
- Временно допустимые концентрации – ВДК, ориентировочный безопасный уровень воздействия (ОБУВ) и ориентировочно- допустимая концентрация (ОДК) как виды нормирования при недостаточной информации о загрязняющих веществах.
- Нормативы выбросов. Предельно допустимый выброс (ПДВ).
- Источники загрязнения атмосферы. Рассеивание вредных веществ.
- Приземная концентрация. Неравномерность выбросов. Временно согласованные выбросы (ВСВ).
- Нормативы сбросов. Предельно допустимый сброс (ПДС).
- Временно согласованные сбросы (ВСС). Ассимилирующая способность водного объекта.
- Бытовой и производственный шум. Источники шума.
- Уровень шума и период воздействия. Предельно допустимые уровни шумового воздействия для различных видов трудовой деятельности.
- Нормативы электромагнитного загрязнения. Электромагнитный фон. Электромагнитные аномалии.
- Солнечная активность и магнитные бури. Создание искусственных электромагнитных полей (ЭМП).
- Предельно допустимый уровень воздействия и время пребывания в зоне воздействия. Санитарно-защитная зона высоковольтных линий.
- Методы и средства снижения выбросов и сбросов загрязняющих веществ в атмосферный воздух.
- Методы и средства снижения выбросов и сбросов загрязняющих веществ в водные объекты.
- НДТ, основные принципы выбора НДТ из альтернативных вариантов технологии?
- Содержание справочников НДТ 2014-2016 г.г.
- Планируемое введение комплексного экологического разрешения (КЭР) 2019-2025 гг.
- Этапы перехода экономики РФ на принципы НДТ 2019-2025 гг.
- Меры государственной поддержки при внедрении НДТ.
- НДТ в нефтеперерабатывающей промышленности.
Обращение с отходами производства и потребления
- Федеральное законодательство в области обращения с отходами.
- Законодательство субъектов РФ в области обращения с отходами.
- Международные обязательства России в области регулирования деятельности по обращению с отходами.
- Основные требования, предъявляемые к индивидуальным предпринимателям и юридическим лицам, осуществляющим деятельность в области обращения с отходами
- Организация обращения с отходами.
- Транспортировка отходов.
- Лабораторно-аналитическое обеспечение деятельности в области обращения с отходами.
- Нормирование в области обращения с отходами.
- Лицензирование деятельности по сбору, использованию, обезвреживанию, транспортировке, размещению отходов.
- Уменьшение образования, использование, утилизация, обезвреживание, размещение, захоронение и уничтожение отходов
- Организация управления потоками отходов на уровне субъекта Российской Федерации, муниципального образования, промышленного предприятия.
- Система контроля за деятельностью в области обращения с отходами.
- Права и обязанности контролирующих органов.
- Производственный контроль в области обращения с отходами.
- Ответственность за нарушение законодательства Российской Федерации в области обращения с отходами
- Государственный кадастр отходов.
- Федеральный классификационный каталог отходов.
- Государственный реестр объектов размещения отходов.
- Паспортизация отходов.
- Банк данных об отходах и технологиях их использования и обезвреживания.
- Государственная информационная система учета твердых коммунальных отходов.
- Основные принципы экономического регулирования в области обращения с отходами.
- Экономическое стимулирование деятельности в области обращения с отходами.
- Экологический ущерб при обращении с отходами и исковая деятельность.
- Разрешительная документация на право обращения с отходами.
- Техническая и технологическая документация об использовании, обезвреживании образующихся отходов.
- Учет в области обращения с отходами.
- Отчетность в области обращения с отходами.
Демоверсия экзаменационного варианта
пробный тест
Выберите один правильный ответ:
Основные принципы охраны окружающей среды изложены в:
- Декларации окружающей среды
- Законе РФ «Об охране окружающей природной среды»
- Лесном кодексе
- Законе РФ «О земле и недрах»
СПИСОК ЛИТЕРАТУРЫ
- Гаджимусаева, З. Г. Техногенные системы и экологический риск : учебное пособие / З. Г. Гаджимусаева, Т. Н. Ашурбекова. — Махачкала : ДагГАУ имени М.М.Джамбулатова, 2022. — 128 с. — Текст : электронный // Лань : электронно-библиотечная система. — URL: https://e.lanbook.com/book/293759
- Техногенные системы и экологический риск : учебное пособие / В. А. Халикова, Е. Е. Степаненко, Т. Г. Зеленская [и др.]. — Ставрополь : СтГАУ, 2022. — 160 с. — Текст : электронный // Лань : электронно-библиотечная система. — URL: https://e.lanbook.com/book/360161
- Степанов, А. М. Общая экология: Принципы и методы экологического нормирования атмосферных выбросов металлургических производств : учебное пособие / А. М. Степанов, А. З. Разяпов. — Москва : МИСИС, 2001. — 64 с. — Текст : электронный // Лань : электронно-библиотечная система. — URL: https://e.lanbook.com/book/116576
- Ефремов, И. В. Техногенные системы и экологический риск : учебное пособие / И. В. Ефремов, Н. Н. Рахимова. — Оренбург : ОГУ, 2016. — 170 с. — ISBN 978-5-7410-1503-2. — Текст : электронный // Лань : электронно-библиотечная система. — URL: https://e.lanbook.com/book/98095
- Волков, А. М. Правовые основы природопользования и охраны окружающей среды: учебник и практикум для академического бакалавриата — М.: Издательство Юрайт, 2019. — Режим доступа: www.biblio-online.ru/book/9DC7F1E1-9622-412F-8F32-A61170D092DE
- Саркисов, О.Р. Экологическая безопасность и эколого-правовые проблемы в области загрязнения окружающей среды: учебное пособие - Москва : Юнити-Дана, 2015. - URL: http://biblioclub.ru/index.php?page=book&id=118197
- Белик, И. С. Экономика природопользования и управление эколого-экономической безопасностью : учебное пособие / И. С. Белик, С. В. Рачек, Н. В. Стародубец. — Екатеринбург : , 2018. — 136 с. — ISBN 978-5-94614-449-0. — Текст : электронный // Лань : электронно-библиотечная система. — URL: https://e.lanbook.com/book/121377
- Гридэл, Т.Е. Промышленная экология : учебное пособие / Т.Е. Гридэл, Б.Р. Алленби ; пер. С.Э. Шмелев. - Москва : Юнити-Дана, 2015. - URL: http://biblioclub.ru/index.php?page=book&id=117052
- Иванов, А. И. Оценка воздействия на окружающую среду и экологическая экспертиза : учебное пособие / А. И. Иванов, С. А. Сашенкова. — Пенза : ПГАУ, 2016. — 122 с. — Текст : электронный // Лань : электронно-библиотечная система. — URL: https://e.lanbook.com/book/142059
- Козачек, А.В. Теория и практика нормативного расчёта величин загрязнения окружающей среды на автомобильном транспорте и транспортных предприятиях : учебное пособие - Тамбов : Издательство ФГБОУ ВПО «ТГТУ», 2015. - URL: http://biblioclub.ru/index.php?page=book&id=444944
- Ларичев, Т.А. Утилизация, переработка и захоронение промышленных отходов. Опорные конспекты / Т.А. Ларичев. - Кемерово : Кемеровский государственный университет, 2013. - URL: http://biblioclub.ru/index.php?page=book&id=232762
- Москаленко, А. П. Управление природопользованием. Механизмы и методы : учебное пособие / А. П. Москаленко, С. А. Москаленко, Р. В. Ревунов. — Санкт-Петербург : Лань, 2022. — 392 с. — ISBN 978-5-8114-3563-0. — Текст : электронный // Лань : электронно-библиотечная система. — URL: https://e.lanbook.com/book/206855
- Основы природопользования: учебное пособие / Е. Е. Степаненко, С. В. Окрут, Т. Г. Зеленская [и др.]. — Ставрополь : СтГАУ, 2022. — 76 с. — Текст : электронный // Лань : электронно-библиотечная система. — URL: https://e.lanbook.com/book/360089
- Подготовка эколога к деятельности по обращению с отходами производства и потребления : учебное пособие / составитель Т. А. Федорова. — Курган : КГУ, 2021. — 154 с. — ISBN 978-5-4217-0583-3. — Текст : электронный // Лань : электронно-библиотечная система. — URL: https://e.lanbook.com/book/177977
- Промышленная экология : практикум / авт.-сост. О.Г. Ларина. - Ставрополь : СКФУ, 2015. - URL: http://biblioclub.ru/index.php?page=book&id=458275
- Саркисов, О.Р. Экологическая безопасность и эколого-правовые проблемы в области загрязнения окружающей среды: учебное пособие - Москва : Юнити-Дана, 2015. - URL: http://biblioclub.ru/index.php?page=book&id=118197
- Симонян, Л. М. Экологическая экспертиза: оценка воздействия на окружающую среду : учебное пособие / Л. М. Симонян, А. А. Алпатова, Н. В. Демидова. — Москва : МИСИС, 2018. — 74 с. — ISBN 978-5-906953-58-2. — Текст : электронный // Лань : электронно-библиотечная система. — URL: https://e.lanbook.com/book/115298
- Сытник, Н. А. Управление обращением с отходами : учебник / Н. А. Сытник. — Керчь : КГМТУ, 2022. — 132 с. — Текст : электронный // Лань : электронно-библиотечная система. — URL: https://e.lanbook.com/book/261632
- Электронная библиотечная система «ЭБ УУНиТ» - https://elib.bashedu.ru//
- Электронная библиотечная система издательства «Лань» - https://e.lanbook.com/
- Электронная библиотечная система «Университетская библиотека онлайн» - https://biblioclub.ru/
- Научная электронная библиотека - elibrary.ru (доступ к электронным научным журналам) - https://elibrary.ru/projects/subscription/rus_titles_open.asp
- Электронный каталог Библиотеки УУНиТ - http://www.bashlib.ru/catalogi/
- Электронная библиотека диссертаций РГБ -http://diss.rsl.ru/
- Государственная публичная научно-техническая библиотека России. База данных международных индексов научного цитирования SCOPUS - http://www.gpntb.ru.
- Государственная публичная научно-техническая библиотека России. База данных международных индексов научного цитирования WebofScience - http://www.gpntb.ru
Электроэнергетика и автоматизация
ПРОГРАММА
вступительного испытания
для поступающих в магистратуру по направлению подготовки
13.04.02 «Электроэнергетика и электротехника»
программа (профиль)
«Автоматизированные электротехнические комплексы»,
«Электроэнергетика и автоматизация»,
«Управление персоналом в электроэнергетике»
ОБЩИЕ ПОЛОЖЕНИЯ
Вступительные испытания предназначены для определения практической и теоретической подготовленности поступающего в магистратуру и проводятся с целью определения соответствия знаний умений и навыков требованиям обучения магистратуры по направлению подготовки 13.04.02 «Электроэнергетика и электротехника» (магистратура). Программа составлена в соответствии с требованиями федерального государственного образовательного стандарта высшего профессионального образования.
Вступительные испытания в магистратуру проводят экзаменационные комиссии, назначенные председателем приёмной комиссии УУНиТ.
ПРОЦЕДУРА ВСТУПИТЕЛЬНОГО ИСПЫТАНИЯ
Дата и время проведения вступительного испытания и консультации определяются расписанием вступительных испытаний, которое утверждается председателем приемной комиссии.
Перед вступительным испытанием для поступающих проводится консультация по содержанию программы испытания, критериям оценки, предъявляемым требованиям, правилам поведения на испытании.
Форма вступительного испытания (в соответствии Положением о вступительных испытаниях УУНИТ): тестирование.
Вступительные испытания в виде электронного тестирования проводятся в соответствии с программами вступительных испытаний, утверждаемых председателем предметной комиссии.
Вступительные испытания в форме тестирования включают вопросы как закрытого, так и открытого типа, а также задания в аудио- и видеоформатах.
Составление вариантов экзаменационных заданий в форме электронных тестов осуществляется ответственным секретарем приемной комиссии университета.
Из вариантов экзаменационных заданий формируются комплекты вопросов-тестов.
Компоновку комплектов вопросов-тестов ответственный секретарь, заместитель ответственного секретаря производят до вступительных испытаний.
Тест содержит 40 тестовых вопросов.
Результаты испытаний оцениваются по 100 бальной шкале.
Абитуриент, не согласный с оценкой, полученной на ВИ и (или) в связи с нарушением процедуры проведения ВИ имеет право подать апелляцию. Процедура подачи и рассмотрения апелляции регламентируется Положением об апелляционной комиссии УУНиТ.
КРИТЕРИИ ОЦЕНИВАНИЯ ОТВЕТА
Критериями оценки экзаменационного ответа, поступающего в магистратуру являются полнота, логичность, доказательность, прочность, осознанность знаний и теоретическая обоснованность суждений, самостоятельность в интерпретации информации, практическая направленность, уровень овладения профессиональными умениями менеджера и др. В случае тестирования является правильные ответы на тестовые задания.
При проверке количество первичных баллов переводится в итоговую 100 балльную шкалу через информационную платформу университета.
СОДЕРЖАНИЕ РАЗДЕЛОВ И ТЕМ
ПРОГРАММЫ ВСТУПИТЕЛЬНОГО ИСПЫТАНИЯ
Теоретические основы электротехники
- Электрические цепи.
- Методы анализа линейных электрических цепей.
- Теория линейных электрических цепей синусоидального тока.
- Трехфазные цепи.
Электрические машины
- Машины постоянного тока.
- Синхронные машины.
- Асинхронные машины.
- Трансформаторы.
Электрические аппараты
- Основные физические явления и процессы в электрических аппаратах.
- Электромеханические аппараты автоматики.
- Электрические аппараты распределительных устройств низкого напряжения.
- Аппараты высокого напряжения.
Электробезопасность
- Действие электрического тока на организм человека.
- Системы заземления электроустановок постоянного и переменного тока.
- Защитные меры в электроустановках.
- Основные требования по организации безопасной эксплуатации электроустановок.
Демоверсия экзаменационного варианта
1. Обозначение якорной обмотки в коробке выводов:
1) Я1-Д2;
2) Я1-Я2;
3)Я1-С2;
4) Я1-Ш2.
2. Машина называется синхронной, так как в ней:
1) ротор вращается синхронно с магнитным полем статора;
2) поле ротора вращается синхронно с полем статора;
3) ротор при всех нагрузках вращается с неизменной скоростью;
4) ЭДС обмотки статора изменяется синхронно с напряжением сети.
3. Принцип действия трансформатора основан на ____________
1) принципе Ленца;
2) законе Ампера;
3) законе электромагнитной индукции;
4) законе Ома.
4. Что является определением понятия «Защита от прямого прикосновения»?
1) Защита от поражения электрическим током при прикосновении к открытым проводящим частям, оказавшимся под напряжением при повреждении изоляции.
2) Защита людей или животных от электрического контакта с открытыми проводящими частями.
3) Защита для предотвращения прикосновения к токоведущим частям, находящимся под напряжением.
5. Что является определением понятия «Заземление»?
1) Сторонняя проводящая часть, находящаяся в электрическом контакте с землей непосредственно или через промежуточную проводящую среду, используемая для целей заземления.
2) Заземление точек токоведущих частей электроустановки, выполняемое для обеспечения работы электроустановки.
3) Преднамеренное электрическое соединение какой-либо точки сети, электроустановки или оборудования с заземляющим устройством.
6. Какие меры должны быть предусмотрены от прямого прикосновения?
1) Основная изоляция токоведущих частей.
2) Ограждения и оболочки, установка барьеров.
3) Размещение вне зоны досягаемости.
4) Применение сверхнизкого (малого) напряжения.
5) Любая из приведенных мер в отдельности либо в сочетании.
СПИСОК ЛИТЕРАТУРЫ
1. Атабеков, Г.И. Теоретические основы электротехники. Линейные электрические цепи. – СПб.: Лань, 2009.– 592 с. URL: http://e.lanbook.com/book/90
2. Потапов, Л.А. Теоретические основы электротехники: краткий курс. – СПб.: Лань, 2016.– 376 с. URL: http://e.lanbook.com/book/76282
3. Бессонов, Л. А. Теоретические основы электротехники. Электрические цепи / Л. А. Бессонов. – Москва: Юрайт, 2014.– 701 с.
4. Бессонов, Л. А. Теоретические основы электротехники. Электромагнитное поле / Л. А. Бессонов. – Москва: Юрайт, 2014.– 317 с.
5. Вольдек А.И. и др. Электрические машины. – С.П.: , 2007
6. Иванов-Смоленский А.В. Электрические машины. – М.: Изд-во МЭИ, том 1, 2 2006, 653с., 532с.
7. Копылов, И. П. Электрические машины. в 2-х т. Т. 1. – Москва : Юрайт, 2014 .– 268 с.
8. Копылов, И. П. Электрические машины. в 2-х т. Т. 1. – Москва : Юрайт, 2014 .– 408 с.
9. Акимов Е. Г. Основы теории электрических аппаратов. – Москва: Лань, 2015. URL: http://e.lanbook.com/books/element.php?pl1_id=61364
10. Чунихин А. А. Электрические аппараты. Общий курс. – Москва: Альянс, 2013.– 720 с.
11. Электрические и электронные аппараты: в 2 т. Т. 1: Электромеханические аппараты. – Москва: Академия, 2010.– 352 с.
12. Безопасность жизнедеятельности / под ред. С. В. Белова. – М.: Высшая школа, 2004.– 606 с.
13. Сибикин Ю. Д. Охрана труда и электробезопасность. – Москва: РадиоСофт, 2011.– 408 с.
14. Белявин К. Е. Электробезопасность при эксплуатации электроустановок. – Минск: Технопринт, 2004.– 186 с.
Экономика предпринимательства и креативных индустрий
ПРОГРАММА
вступительного испытания
для поступающих в магистратуру по направлению подготовки
38.04.01 «Экономика»
программа
«Экономика предпринимательства и креативных индустрий»
ОБЩИЕ ПОЛОЖЕНИЯ
Вступительные испытания (ВИ) предназначены для определения практической и теоретической подготовленности поступающего в магистратуру и проводятся с целью определения соответствия знаний умений и навыков требованиям обучения в магистратуре по направлению подготовки 38.04.01 «Экономика» (магистратура). Программа составлена в соответствии с требованиями федерального государственного образовательного стандарта высшего образования.
Вступительные испытания в магистратуру проводят экзаменационные комиссии, назначенные председателем приёмной комиссии УУНиТ.
ПРОЦЕДУРА ВСТУПИТЕЛЬНОГО ИСПЫТАНИЯ
Дата и время проведения вступительного испытания и консультации определяются расписанием вступительных испытаний, которое утверждается председателем приемной комиссии.
Перед вступительным испытанием для поступающих проводится консультация по содержанию программы испытания, критериям оценки, предъявляемым требованиям, правилам поведения на испытании.
Форма вступительного испытания (в соответствии Положением о вступительных испытаниях УУНиТ): тестирование.
Вступительные испытания в виде электронного тестирования проводятся в соответствии с программами вступительных испытаний, утверждаемых председателем предметной комиссии.
Вступительные испытания в форме тестирования включают вопросы как закрытого, так и открытого типа, а также задания в аудио- и видеоформатах.
Составление вариантов экзаменационных заданий в форме электронных тестов осуществляется ответственным секретарем приемной комиссии университета.
Из вариантов экзаменационных заданий формируются комплекты вопросов-тестов.
Компоновку комплектов вопросов-тестов ответственный секретарь, заместитель ответственного секретаря производят до вступительных испытаний.
Тест содержит 40 тестовых вопросов.
Результаты испытаний оцениваются по 100 бальной шкале.
Абитуриент, не согласный с оценкой, полученной на ВИ и (или) в связи с нарушением процедуры проведения ВИ имеет право подать апелляцию. Процедура подачи и рассмотрения апелляции регламентируется Положением об апелляционной комиссии УУНиТ.
КРИТЕРИИ ОЦЕНИВАНИЯ ОТВЕТА
Критериями оценки ответов по тестовым вопросам, поступающего в магистратуру являются правильные ответы на тестовые задания.
При проверке количество первичных баллов переводится в итоговую 100 балльную шкалу через информационную платформу университета.
СОДЕРЖАНИЕ РАЗДЕЛОВ И ТЕМ ПРОГРАММЫ ВСТУПИТЕЛЬНОГО ИСПЫТАНИЯ
Раздел 1. Экономика. Креативные индустрии
Тема 1. Базовые экономические понятия.
Тема 2. Спрос и предложение. Эластичность. Рыночное равновесие.
Тема 3. Концепции потребительского поведения.
Тема 4. Теория производства. Издержки производства. Доход и прибыль фирмы.
Тема 5. Типы рыночных структур. Модели поведения фирмы в различных рыночных структурах.
Тема 6. Рынки факторов производства.
Тема 7. Общее экономическое равновесие. Роль государства в экономике.
Тема 8. Креативная экономика и креативные индустрии.
Тема 9. Авторские права и интеллектуальная собственность в креативных отраслях.
Раздел 2. Управление. Организация как объект управления
Тема 1. Понятие управления. Основные школы менеджмента.
Тема 2. Организация как объект управления. Внутренняя среда организации.
Тема 3. Функции управления: планирование, организация, мотивация, контроль.
Тема 4. Принятие управленческих решений. Методы принятия решений.
Тема 5. Стили руководства. Лидерство и власть.
Тема 6. Организационная культура. Коммуникации в управлении.
Тема 7. Управленческий учет и контроль. Бюджетирование.
Тема 8. Стратегический менеджмент. Формирование стратегии развития предприятия. Управление изменениями.
Тема 9. Проектное управление. Жизненный цикл проекта.
Раздел 3. Предпринимательство и бизнес-экономика
Тема 1. Предпринимательство как социально-экономическая категория. Субъекты предпринимательства.
Тема 2. Формы ведения бизнеса. Индивидуальное предприятие, товарищества, общества.
Тема 3. Создание бизнеса и процедура регистрации предприятий. Правовая основа предпринимательства.
Тема 4. Источники финансирования бизнеса. Инвестиции и кредитование. Венчурные инвестиции.
Тема 5. Бизнес-планирование. Составление бизнес-плана.
Тема 6. Маркетинг в предпринимательской деятельности.
Тема 7. Цифровизация бизнеса. Цифровые бизнес-модели.
Тема 8. Анализ и определение рисков предпринимательской деятельности.
Тема 9. Государственная поддержка малого и среднего бизнеса.
Демоверсия экзаменационного варианта
Пробный тест
- Множественный выбор
1.1. Вопросы с выбором единственного ответа
1. Среди указанных ниже факторов отметьте те, которые не вызывают сдвига кривой спроса:
а) вкусы и предложения покупателей;
б) возраст потребителей;
в) падение цен на товарные - субституты.
г) повышение цены на товар;
2. «На соответствие»
1. Установите соответствие между факторами и типами экономического роста к каждой позиции.
Факторы экономического роста:
А) строительство новых предприятий, выпускающих уже имеющийся ассортимент продукции
Б) замена устаревшей техники более современной
В) увеличение численности обслуживающего персонала
Г) переобучение работников
Д) расширение посевных площадей
Типы экономического роста:
1) интенсивный
2) экстенсивный
3. «Короткий ответ» / «Числовой (открытые вопросы)
3.1. «Короткий ответ»
1. Как называется нематериальный актив, дающий исключительное право на изобретение?
3.2. «Числовой»
1. Компания продала товаров на общую сумму 3 млн рублей, включая НДС 20%. Какова стоимость товаров в рублях без учета НДС? (введите только число, без единиц измерения)
СПИСОК ЛИТЕРАТУРЫ
- Абчук, В. А. Менеджмент: прикладные аспекты : учебник и практикум для вузов / В. А. Абчук, С. Ю. Трапицын, В. В. Тимченко. — 3-е изд., испр. и доп. — Москва : Издательство Юрайт, 2025. — 347 с. — (Высшее образование). — ISBN 978-5-534-17081-8. — Текст : электронный // Образовательная платформа Юрайт [сайт]. — URL: https://urait.ru/bcode/562108 (дата обращения: 22.01.2025).
- Боброва, О. С. Основы бизнеса : учебник и практикум для вузов / О. С. Боброва, С. И. Цыбуков, И. А. Бобров. — 3-е изд. — Москва : Издательство Юрайт, 2025. — 369 с. — (Высшее образование). — ISBN 978-5-534-19161-5. — Текст : электронный // Образовательная платформа Юрайт [сайт]. — URL: https://urait.ru/bcode/560173 (дата обращения: 22.01.2025).
- Васильев, В. П. Государственное регулирование экономики : учебник и практикум для вузов / В. П. Васильев. — 6-е изд., перераб. и доп. — Москва : Издательство Юрайт, 2025. — 178 с. — (Высшее образование). — ISBN 978-5-534-18711-3. — Текст : электронный // Образовательная платформа Юрайт [сайт]. — URL: https://urait.ru/bcode/562072 (дата обращения: 22.01.2025).
- Вымятнина, Ю. В. Макроэкономика : учебник для вузов / Ю. В. Вымятнина, К. Ю. Борисов, М. А. Пахнин. — Москва : Издательство Юрайт, 2025. — 480 с. — (Высшее образование). — ISBN 978-5-534-18740-3. — Текст : электронный // Образовательная платформа Юрайт [сайт]. — URL: https://urait.ru/bcode/568507 (дата обращения: 22.01.2025).
- Гумерова, Г. И. Управление интеллектуальной собственностью : учебное пособие для вузов / Г. И. Гумерова, Э. Ш. Шаймиева. — 7-е изд., перераб. и доп. — Москва : Издательство Юрайт, 2025. — 288 с. — (Высшее образование). — ISBN 978-5-534-21121-4. — Текст : электронный // Образовательная платформа Юрайт [сайт]. — URL: https://urait.ru/bcode/559383 (дата обращения: 22.01.2025).
- Деловое администрирование предпринимательства : учебник для вузов / под редакцией Е. М. Белого. — Москва : Издательство Юрайт, 2025. — 182 с. — (Высшее образование). — ISBN 978-5-534-14009-5. — Текст : электронный // Образовательная платформа Юрайт [сайт]. — URL: https://urait.ru/bcode/567707 (дата обращения: 22.01.2025).
- Зверева, Е. А. Авторское право в медиа : учебник для вузов / Е. А. Зверева, О. А. Стрыгина. — Москва : Издательство Юрайт, 2025. — 124 с. — (Высшее образование). — ISBN 978-5-534-19871-3. — Текст : электронный // Образовательная платформа Юрайт [сайт]. — URL: https://urait.ru/bcode/581022 (дата обращения: 22.01.2025).
- Иохин, В. Я. Экономическая теория : учебник для вузов / В. Я. Иохин. — 3-е изд., перераб. и доп. — Москва : Издательство Юрайт, 2025. — 448 с. — (Высшее образование). — ISBN 978-5-534-20323-3. — Текст : электронный // Образовательная платформа Юрайт [сайт]. — URL: https://urait.ru/bcode/559818 (дата обращения: 22.01.2025).
- Конягина, М. Н. Основы цифровой экономики : учебник и практикум для вузов / М. Н. Конягина ; ответственный редактор М. Н. Конягина. — 2-е изд. — Москва : Издательство Юрайт, 2025. — 240 с. — (Высшее образование). — ISBN 978-5-534-21494-9. — Текст : электронный // Образовательная платформа Юрайт [сайт]. — URL: https://urait.ru/bcode/573695 (дата обращения: 22.01.2025).
- Корнейчук, Б. В. Микроэкономика : учебник и практикум для вузов / Б. В. Корнейчук. — 2-е изд., испр. и доп. — Москва : Издательство Юрайт, 2025. — 305 с. — (Высшее образование). — ISBN 978-5-534-07542-7. — Текст : электронный // Образовательная платформа Юрайт [сайт]. — URL: https://urait.ru/bcode/561641 (дата обращения: 22.01.2025).
- Коротков, Э. М. Менеджмент : учебник для вузов / Э. М. Коротков. — 3-е изд., перераб. и доп. — Москва : Издательство Юрайт, 2025. — 543 с. — (Высшее образование). — ISBN 978-5-534-19926-0. — Текст : электронный // Образовательная платформа Юрайт [сайт]. — URL: https://urait.ru/bcode/559692 (дата обращения: 22.01.2025).
- Кузьмина, Е. Е. Организация предпринимательской деятельности : учебник для вузов / Е. Е. Кузьмина. — 5-е изд., перераб. и доп. — Москва : Издательство Юрайт, 2025. — 469 с. — (Высшее образование). — ISBN 978-5-534-16461-9. — Текст : электронный // Образовательная платформа Юрайт [сайт]. — URL: https://urait.ru/bcode/559862 (дата обращения: 22.01.2025).
- Макроэкономика : учебник для вузов / под редакцией С. Ф. Серегиной. — 4-е изд., испр. и доп. — Москва : Издательство Юрайт, 2025. — 477 с. — (Высшее образование). — ISBN 978-5-534-13156-7. — Текст : электронный // Образовательная платформа Юрайт [сайт]. — URL: https://urait.ru/bcode/559720 (дата обращения: 22.01.2025).
- Мурзин, Д. А. Учет и налогообложение на предприятиях малого и среднего бизнеса : учебное пособие для вузов / Д. А. Мурзин, Н. Г. Барышников, Д. Ю. Самыгин. — 2-е изд., перераб. и доп. — Москва : Издательство Юрайт, 2025. — 194 с. — (Высшее образование). — ISBN 978-5-534-21117-7. — Текст : электронный // Образовательная платформа Юрайт [сайт]. — URL: https://urait.ru/bcode/559379 (дата обращения: 22.01.2025).
- Платформенная экономика в России : потенциал развития : аналитический доклад / Национальный исследовательский университет "Высшая школа экономики", Ростелеком; редакторы: Л. М. Гохберг [и др.]. — Москва : Издательство ИСИЭЗ ВШЭ, 2023. — 72 с.: цв. ил.. — Библиогр.: с. 67-69. — ISBN 978-5-7598-3001-6.
- Предпринимательство : учебное пособие / Н. Ю. Никитина, С. М. Корунов, А. А. Яшин, И. Д. Опарин; под общ. ред. Н. Ю. Никитиной ; Министерство науки и высшего образования Российской Федерации, Уральский федеральный университет. – Екатеринбург : Изд-во Урал. ун-та, 2020. – 256 с. : ил. – 100 экз. – ISBN 978-5-7996-3107-9. – Текст : непосредственный. — URL: https://elar.urfu.ru/bitstream/10995/94357/1/978-5-7996-3107-9_2020.pdf
- Розанова, Н. М. Управленческая экономика : учебник для вузов / Н. М. Розанова. — 2-е изд., перераб. и доп. — Москва : Издательство Юрайт, 2025. — 425 с. — (Высшее образование). — ISBN 978-5-534-17940-8. — Текст : электронный // Образовательная платформа Юрайт [сайт]. — URL: https://urait.ru/bcode/568773 (дата обращения: 22.01.2025).
- Розанова, Н. М. Экономика фирмы. Производственный процесс : учебник для вузов / Н. М. Розанова. — Москва : Издательство Юрайт, 2025. — 266 с. — (Высшее образование). — ISBN 978-5-534-18903-2. — Текст : электронный // Образовательная платформа Юрайт [сайт]. — URL: https://urait.ru/bcode/561884 (дата обращения: 22.01.2025).
- Рязанова, О. Е., Креативная экономика : учебное пособие / О. Е. Рязанова, Л. С. Леонтьева, Л. Н. Орлова, В. П. Золотарева. — Москва : КноРус, 2022. — 133 с. — ISBN 978-5-406-09201-9. — URL: https://book.ru/book/943017 (дата обращения: 21.01.2025). — Текст : электронный.
- Савинова, С. Ю. Лидерство в бизнесе : учебник и практикум для вузов / С. Ю. Савинова, Е. Н. Васильева. — 2-е изд., испр. и доп. — Москва : Издательство Юрайт, 2025. — 280 с. — (Высшее образование). — ISBN 978-5-534-11445-4. — Текст : электронный // Образовательная платформа Юрайт [сайт]. — URL: https://urait.ru/bcode/566231 (дата обращения: 22.01.2025).
- Хворостяная, А. С. Стратегический бренд-менеджмент : учебник для вузов / А. С. Хворостяная. — Москва : Издательство Юрайт, 2025. — 121 с. — (Высшее образование). — ISBN 978-5-534-19360-2. — Текст : электронный // Образовательная платформа Юрайт [сайт]. — URL: https://urait.ru/bcode/569111 (дата обращения: 22.01.2025).
- Хокинс, Д. Креативная экономика : как превратить идеи в деньги: пер. с англ. / Д. Хокинс. — Москва : Классика-XXI, 2011. — 256 с.
- Чеберко, Е. Ф. Основы предпринимательской деятельности : учебник и практикум для вузов / Е. Ф. Чеберко. — 2-е изд. — Москва : Издательство Юрайт, 2025. — 241 с. — (Высшее образование). — ISBN 978-5-534-18809-7. — Текст : электронный // Образовательная платформа Юрайт [сайт]. — URL: https://urait.ru/bcode/561496 (дата обращения: 22.01.2025).
Экономика и финансово-кредитные отношения
ПРОГРАММА
вступительного испытания
для поступающих в магистратуру по направлению подготовки
38.04.01 «Экономика»
программа (профиль)
«Экономика и финансово-кредитные отношения»
ОБЩИЕ ПОЛОЖЕНИЯ
Вступительные испытания (ВИ) предназначены для определения практической и теоретической подготовленности поступающего в магистратуру и проводятся с целью определения соответствия знаний умений и навыков требованиям обучения в магистратуре по направлению подготовки 38.04.01 «Экономика» (магистратура). Программа составлена в соответствии с требованиями федерального государственного образовательного стандарта высшего образования.
Вступительные испытания в магистратуру проводят экзаменационные комиссии, назначенные председателем приёмной комиссии УУНиТ.
ПРОЦЕДУРА ВСТУПИТЕЛЬНОГО ИСПЫТАНИЯ
Дата и время проведения вступительного испытания и консультации определяются расписанием вступительных испытаний, которое утверждается председателем приемной комиссии.
Перед вступительным испытанием для поступающих проводится консультация по содержанию программы испытания, критериям оценки, предъявляемым требованиям, правилам поведения на испытании.
Форма вступительного испытания (в соответствии Положением о вступительных испытаниях УУНИТ): тестирование.
Вступительные испытания в виде электронного тестирования проводятся в соответствии с программами вступительных испытаний, утверждаемых председателем предметной комиссии.
Вступительные испытания в форме тестирования включают вопросы как закрытого, так и открытого типа, а также задания в аудио- и видеоформатах.
Составление вариантов экзаменационных заданий в форме электронных тестов осуществляется ответственным секретарем приемной комиссии университета.
Из вариантов экзаменационных заданий формируются комплекты вопросов-тестов.
Компоновку комплектов вопросов-тестов ответственный секретарь, заместитель ответственного секретаря производят до вступительных испытаний.
Тест содержит 40 тестовых вопросов.
Результаты испытаний оцениваются по 100 бальной шкале.
Абитуриент, не согласный с оценкой, полученной на ВИ и (или) в связи с нарушением процедуры проведения ВИ имеет право подать апелляцию. Процедура подачи и рассмотрения апелляции регламентируется Положением об апелляционной комиссии УУНиТ.
КРИТЕРИИ ОЦЕНИВАНИЯ ОТВЕТА
Критериями оценки ответов по тестовым вопросам, поступающего в магистратуру являются правильные ответы на тестовые задания.
При проверке количество первичных баллов переводится в итоговую 100 балльную шкалу через информационную платформу университета.
СОДЕРЖАНИЕ РАЗДЕЛОВ И ТЕМ ПРОГРАММЫ ВСТУПИТЕЛЬНОГО ИСПЫТАНИЯ
Раздел 1. Микроэкономика
Тема 1. Общие основы экономики. Ключевые экономические понятия, категории и законы.
Тема 2. Общая характеристика рыночной экономики. Спрос и предложение. Эластичность. Рыночное равновесие.
Тема 3. Теория потребительского поведения (рациональный выбор потребителя на рынке).
Тема 4. Теория производства.
Тема 5 Теория фирмы в рыночной экономике. Организационно-правовые формы бизнеса. Эффективность деятельности предприятий.
Тема 6. Издержки производства в краткосрочном и долгосрочном периодах. Виды и расчет дохода и прибыли фирмы.
Тема 7. Поведение фирмы в условиях совершенной конкуренции.
Тема 8. Поведение фирмы в условиях несовершенной конкуренции.
Тема 9. Ценообразование на рынках факторов производства.
Тема 10. Общее экономическое равновесие и несостоятельность рынка. Роль государства в рыночной экономике.
Раздел 2. Макроэкономика
Тема 1. Измерение результатов экономической деятельности и уровня цен с помощью макроэкономических показателей
Тема 2. Базовая макроэкономическая модель «AD-AS»
Тема 3. Макроэкономическая нестабильность: инфляция и безработица
Тема 4. Равновесие на рынке благ. Кейнсианская модель. Потребление. Сбережения. Инвестиции.
Тема 5. Налогово-бюджетная система и фискальная политика государства.
Тема 6. Равновесие на денежном рынке. Кредитная (банковская) система и монетарная политика государства.
Тема 7. Теория экономического роста
Тема 8. Международные экономические отношения. Платежный баланс.
Демоверсия ПРОБНОГО ТЕСТА
- Множественный выбор
Вопрос с выбором нескольких вариантов ответов
1. Потребности – это:
а) отношения между потребителем и продавцом;
б) желание, необходимость иметь что-либо;
в) покупательная способность;
г) выражение недостатка в чем-либо необходимом для поддержания жизнедеятельности и развития личности и общества в целом;
2. «На соответствие»
1. Разграничьте экономические и естественные блага:
а) продукты природы (деревья в лесу, уголь в недрах, грибы в лесу);
б) продукты труда (древесина на лесопильном заводе; уголь, поднятый из земных недр; грибы на приемном пункте);
в) результат производственной деятельности (выпеченный хлеб, мебель в магазине).
3.«Короткий ответ» / «Числовой (открытые вопросы)
3.1. «Короткий ответ»
- Определите состояние рынка, при котором для данного уровня цены объем рыночного спроса на благо равен объему предложения этого блага.
3.2. «Числовой»
1. Номинальный ВВП равен 1100 ден. ед., а реальный ВВП – 1000 ден. ед. Чему равен дефлятор ВВП?
СПИСОК ЛИТЕРАТУРЫ
- Аникина Е.А. А67 Экономическая теория: учебник / Е.А. Аникина, Л.И. Гавриленко. – Томск: Изд-во Томского политехнического университета, 2014. – 413 с.
- Бакатин А.Н. Анализ методов оценки конкурентоспособности предприятия / А.Н. Бакатин // Прогрессивная экономика. – 2021. – № 1. – С. 18-30.
- Бурковский, Петр Васильевич. Экономическая теория: учебник / П. В. Бурковский, Н. А. Гончарова, А. В. Яни ; Министерство сельского хозяйства РФ, ФГБОУ ВО "Кубанский государственный аграрный университет имени И. Т. Трубилина". — Краснодар : КубГАУ, 2020. — 302 с. : ил., табл. : 20 см.; ISBN 978-5-00179-062-4.
- Войтов А. Г. Экономическая теория: Учебник для бакалавров / А. Г. Вой тов. — 2-е изд., стер. — М.: Издательско-торговая корпорация «Дашков и К0», 2020. — 390 с.
- Генкин Б. М. Методы повышения производительности и оплаты труда: монография. М.: Норма: ИНФРА-М, 2022. 160 с.
- Грачева Е.С. Экономика организации: Учебник для вузов / Е.С. Грачева. – М.: ГНОМ и Д, 2019. – 309 с.
- Долгов Д.И. Анализ хозяйственной деятельности предприятия. Учебное пособие. / Д.И. Долгов. – М.: Издательство Юрайт, 2019. – 298 с.
- Коротков Э.М. Менеджмент: учебник для вузов / Э.М. Коротков. – 3-е изд., перераб. и доп. – Москва: Издательство Юрайт, 2022. – 566 с.
- Лилимберг С.И. Л 57 Экономическая теория. Учебное пособие по направлению подготовки 38.03.01 Экономика, 38.03.02 Менеджмент. / С.И. Лилимберг – Костанай: Костанайский филиал ФГБОУ ВО «ЧелГУ», 2021. – 150 с.
- Одинцова, М.И. Институциональная экономика: учебник для вузов / М.И.Одинцова.— 4-е изд., перераб. и доп.— Москва: Издательство Юрайт, 2024.— 459 с.— (Высшее образование). — ISBN 978-5-9916-6666-4. — Текст : электронный // Образовательная платформа Юрайт [сайт]. — URL: https://urait.ru/bcode/535837 (дата обращения: 17.03.2025).
- Розанова Н. М. Конкурентные стратегии современной фирмы: учебник и практикум для бакалавриата и магистратуры / Н.М. Розанова. – М.: Издательство Юрайт, 2019. – 343 с.
- Рынок ценных бумаг : учебник / [В. А. Татьянников, Е. А. Разумов ская, Т. В. Решетникова, Ю. В. Куваева, М. И. Львова] ; под общ. ред. В. А. Татьянникова ; М-во науки и высшего обр. Рос. Федерации, Урал. гос. экон. ун-т. – Екатеринбург: Изд-во Урал. ун-та, 2019. – 496 с. ISBN 978-5-7996-2758-4
- Савкина Р.В. Планирование на предприятии: учебник / Р.В. Савкина. – 4-е изд., стер. – Москва: Дашков и К, 2022. – 320 с.
- Сидоров В.А., Кузнецова Е.Л., Болик А.В. Общая экономическая теория: учебник для студентов высших учебных заведений [Электронный ресурс]: электронное учебное издание / В.А. Сидоров, Е.Л. Кузнецова, А.В. Болик [Электрон. дан. (6,2 Мб)]. Майкоп: ООО «ЭлИТ», 2017. – Сист. требования: Adobe Reader; экран 10'. – Режим доступа http://201824.selcdn.ru/elit-050/index.html. Дата размещения 31.08.2017 г. ISBN 978-5-9500479-4-7 (электронное издание)
- Финансовые рынки и институты: учебное пособие / Е. Г. Князева, Е. А. Разумовская, М. И. Львова, Н. Н. Мокеева, О. В. Толмачева; под общ. ред. О. В. Толмачевой; Министерство науки и высшего образования Российской Федерации, Уральский федеральный университет. — Екатеринбург: Изд-во Урал. ун-та, 2020. — 96 с.: ил. — Библиогр.: с. 92–94. 100 экз. — ISBN 978-5-7996-3114-7. — Текст: непосредственный.
- Экономика инноваций: учебник / Под ред. В.Я. Горфинкеля, Т.Г. Попадюк. – 2-е изд. перераб. и доп. –Москва: Вузовский учебник: ИНФРА-М, 2024. -336 с.
- Экономическая теория: учебник для вузов/ под редакцией Е.Н. Лобачевой.— 4-е изд., перераб. и доп.— Москва: Издательство Юрайт, 2025.— 501 с.— (Высшее образование).— ISBN978-5-534-99952-5. — Текст : электронный // Образовательная платформа Юрайт [сайт]. — URL: https://urait.ru/bcode/559572
- Экономическая теория: учебник для вузов / под редакцией С. А. Толкачева.— 4-е изд., перераб. и доп.— Москва: Издательство Юрайт, 2025.— 577 с.— (Высшее образование). — ISBN 978-5-534-19005-2. — Текст : электронный // Образовательная платформа Юрайт [сайт]. — URL: https://urait.ru/bcode/560045 (дата обращения: 15.04.2025).
- Экономическая теория: учебное пособие для высшего про фессионального образования / [И.В. Скоблякова, В.В. Смирнов, Е.М. Родионова и др.]; под ред. д-ра эконом. наук, проф. В.В. Смирнова. – Орел: ФГБОУ ВПО «Госуниверситет - УНПК», 2013. – 266 с.
- Экономическая теория: учебник для вузов / под общей редакцией В. Ф. Максимовой. — 4-е изд., перераб. и доп. — Москва: Издательство Юрайт, 2025. — 538 с. — (Высшее образование). — ISBN 978-5-534-21338-6. — Текст : электронный // Образовательная платформа Юрайт [сайт]. — URL: https://urait.ru/bcode/569733 (дата обращения: 15.04.2025).
Междисциплинарный экзамен
ПРОГРАММА
вступительного испытания
для поступающих в магистратуру по направлению подготовки
44.04.01 «Педагогическое образование»
программа (профиль)
«Инновационные образовательные технологии в филологии»
ОБЩИЕ ПОЛОЖЕНИЯ
Вступительные испытания предназначены для определения практической и теоретической подготовленности поступающего в магистратуру и проводятся с целью определения соответствия знаний умений и навыков требованиям обучения магистратуры по направлению подготовки 44.04.01 «Педагогическое образование» (магистратура). Программа составлена в соответствии с требованиями федерального государственного образовательного стандарта высшего профессионального образования.
Вступительные испытания в магистратуру проводят экзаменационные комиссии, назначенные председателем приёмной комиссии УУНиТ.
ПРОЦЕДУРА ВСТУПИТЕЛЬНОГО ИСПЫТАНИЯ
Дата и время проведения вступительного испытания и консультации определяются расписанием вступительных испытаний, которое утверждается председателем приемной комиссии.
Перед вступительным испытанием для поступающих проводится консультация по содержанию программы испытания, критериям оценки, предъявляемым требованиям, правилам поведения на испытании.
Форма вступительного испытания (в соответствии Положением о вступительных испытаниях УУНИТ): устно-письменная.
Устные вступительные испытания проводятся в соответствии с программами вступительных испытаний, утверждаемых председателем приемной комиссии.
Экзаменационные билеты включают два вопроса по направлению подготовки.
В аудитории, где проводится вступительное испытание в устно-письменной форме, не может находиться одновременно более 6 человек. Нахождение в аудитории посторонних лиц не допускается.
Абитуриенту предоставляется право готовиться к ответу в течение 30 минут.
Абитуриенту предоставляется право ответа на экзаменационные вопросы в течение 20-25 минут.
В процессе сдачи вступительного испытания абитуриенту могут быть заданы дополнительные вопросы как по содержанию экзаменационного билета, так и по любым разделам предмета в пределах программы вступительного испытания.
Абитуриент, не согласный с оценкой, полученной на ВИ и (или) в связи с нарушением процедуры проведения ВИ, имеет право подать апелляцию. Процедура подачи и рассмотрения апелляции регламентируется Положением об апелляционной комиссии УУНиТ.
КРИТЕРИИ ОЦЕНИВАНИЯ ОТВЕТА
Критериями оценки экзаменационного ответа, поступающего в магистратуру, являются полнота, логичность, доказательность, прочность, осознанность знаний и теоретическая обоснованность суждений, самостоятельность в интерпретации информации, практическая направленность, уровень овладения профессиональными умениями и др.
Результаты вступительного испытания определяются по 100-балльной шкале, разброс баллов представлен ниже в таблице:
|
№ |
Критерии оценивания |
Оценка |
|
1 |
Дан полный развернутый ответ на теоретический вопрос:
|
85-100 баллов «отлично» |
|
2 |
Дан в целом правильный ответ на теоретический вопрос:
|
67-84 балла «хорошо» |
|
3 |
Дан в основном правильный ответ на теоретический вопрос:
|
50-66 баллов «удовлетворительно» |
|
4 |
Дан фрагментарный ответ или неправильный ответ на теоретический вопрос из предложенного тематического раздела:
|
0-49 баллов «неудовлетворительно» |
СОДЕРЖАНИЕ РАЗДЕЛОВ И ТЕМ ПРОГРАММЫ
ВСТУПИТЕЛЬНОГО ИСПЫТАНИЯ
Семиотика
1. Понятие знака. Знак как объект семиотических исследований (Ч.Пирс, Ч.Моррис, Р.Карнап и др.). Свойства знака. Особенности языкового знака: материальность формы, идеальность содержания, условный характер связи между формой и содержанием, функционирование в рамках определенной системы.
2. Ф.де Соссюр о языковом знаке и его структуре. История взглядов на язык как систему знаков (грамматика ПорРояля, Л.Якоб, Ф.де Соссюр, Л.Блумфилд, Ч.Огден, А.Ричардс, Л.Ельмслев, Э.Бенвенист).
3. Проблема двусторонности и односторонности языкового знака в трудах отечественных исследователей. Знак и символ.
4. Важнейшие теории символа (Ф.де Соссюр, Ч.Пирс, Дж.Р.Фёрс, К.Юнг, А.Ф.Лосев, Н.Д.Арутюнова, В.Н.Телия и др.)
Структура языка
1. Уровневая организация языка. Языковые уровни.
2. Языковые единицы. Парадигматические и синтагматические отношения языковых единиц.
Проблема происхождения языка
1. Основные гипотезы происхождения языка: гипотеза божественного происхождения языка, звукоподражательная гипотеза, гипотеза социального договора, гипотеза трудовых выкриков, гипотеза происхождения слов из междометий.
2. Диалектический материализм о происхождении языка и человека. Коллективный труд как фактор становления человека и его языка.
3. Основные положения эволюционной гипотезы о происхождении языка.
Законы развития языка
1. Понятия синхронии и диахронии.
2. Причины и типы языковых изменений. Внешние и внутренние законы развития языка.
3. Языковые контакты. Субстрат, суперстрат, адстрат.
4. Дивергенция и конвергенция как основные пути развития языков.
5. Понятие нормы в языке. Норма, ее признаки.
Языковые универсалии
1. Понятие о типе языка.
2. Виды языковых универсалий: абсолютные и статистические; простые и импликативные; семиотические; языковые и речевые; статические и динамические; фонетикофонологические, морфологические, синтаксические, лексические и лексикосемантические; социолингвистические.
3. Лингвистические фреквенталии.
4. Фонологические системы языков мира. Вокалические и консонантные языки. Принципы классификации звуков речи.
5. Супрасегментные характеристики языков. Тонические и атональные языки.
6. Интонационно-ритмическое своеобразие языков.
Лексикология
1. Признаки, значимые для типологии лексических систем: объем словарного фонда; семантико-тематическая структура лексики; наличие и глубина стилистической дифференциации словаря; источники новых обозначений и сравнительная продуктивность разных средств пополнения словарного запаса.
2. Фразеологическое моделирование и типология языков.
Морфологические типы языков
1. Морфологические типы языков: флективные, агглютинирующие, изолирующие, инкорпорирующие.
2. Агглютинация и фузия как важнейшие типы соединения морфем.
3. Изолированность и инкорпорация морфем.
4. Аналитические и синтетические языки.
Синтаксис
1. Синтаксис как объект типологии. Типологические закономерности в синтаксисе.
2. Номинативный (активный), эргативный, пассивный, классный, нейтральный строй языка.
3. Типология порядка слов в языках.
Социолингвистическая классификация языков.
1. Признаки, значимые для социолингвистической классификации языков: 1)коммуникативный ранг языка. Языки мировые, международные, государственные (национальные), региональные, местные. Здоровые, больные, исчезающие, мертвые, возрожденные языки; 2)наличие письменности и продолжительность письменной традиции. Письменные, бесписьменные, младописьменные языки; 3) степень стандартизованности (нормированности) языка; наличие и характер кодификации; тип нормированного (литературного) языка, его взаимодействие с ненормируемыми формами существования языка; 4) правовой статус языка. Государственный, официальный, национальный язык. Дипломатические ранги языков; 5) конфессиональный статус языка; 6) учебно-педагогический статус языка.
2. Понятие языковой ситуации. Типология языковых ситуаций.
3. Вспомогательные международные языки и их типы.
4. Понятие языковой политики. Субъекты и объекты в языковой политике.
Когнитивистика
1. Понятие когнитивистики как совокупности научных дисциплин. Содержание терминов «когниция», «когнитивный».
2. Выделение когнитивной лингвистики в самостоятельную отрасль за рубежом (А.Вежбицкая, Дж.Лакофф, Р.Джекендофф, Ф.Джонсон-Лэрд, Ж.Фоконнье) и в России (Ю.С.Степанов, Ю.Д.Апресян, Е.С.Кубрякова, Н.Д.Арутюнова, В.Н.Телия, В.З.Демьянков и др.).
3. Концепт как центральная фигура когнитивных исследований. Понимание концепта как «кванта знания» и как лингвокультурной сущности.
4. Языковая и концептуальная картина мира. Метод концептуального анализа в современных исследованиях и его разновидности.
5. Школы и направления когнитивной лингвистики.
6. Лингвокультурология как наука, ее истоки, цели, задачи, терминологический аппарат.
Коммуникативная лингвистика
1. Понятие коммуникации и коммуникативной ситуации. Основные понятия и термины коммуникативной лингвистики. Виды и типы коммуникации.
2. Речевые акты. Функции коммуникации и речевого акта.
Психолингвистика
1. Психолингвистика, ее цели, задачи.
2. Основные достижения отечественной и зарубежной психолингвистики.
Социолингвистика
1. Социолингвистика, ее цели, задачи.
2. Социальная стратификация языка.
3. Языковая ситуация. Виды языковых ситуаций.
4. Диглоссия и билингвизм.
Лингвистика текста
1. Лингвистика текста, ее цели, задачи, предмет исследования.
2. Текст как объект лингвистических исследований. Категории текста.
3. Членение текста. Виды текстовой информации.
4. Понятие интертекстуальности. Гипертекст.
5. Понятие дискурса в современной лингвистике. Дискурсивный подход к тексту.
Корпусная лингвистика
1. Корпусная лингвистика, ее цели и задачи.
2. Понятие корпуса. Способы презентации информации в корпусе.
3. Достижения отечественной и зарубежной корпусной лингвистики.
Компьютерная лингвистика
1. Компьютерная лингвистика, ее цели и задачи.
2. Основные направления компьютерной лингвистики: машинный перевод, компьютерная лексикография, дистанционное обучение, моделирование общения
Теория литературного рода. Теория жанров
1. Теория литературного рода. Литературный род.
2. Классификации родов литературы. Развитие литературных родов.
3. Теория жанров.
4. Категории литературного рода. Эпос и его жанры.
5. Лирика и ее жанры.
6. Драма и ее жанры.
7. Смешанные родовые формы литературы.
Литературный процесс
1. Жизнь и развитие литературы определённой страны или эпохи во всей совокупности её явлений и фактов или многовековое развитие литературы в её всемирных масштабах.
2. Закономерности литературного процесса. Стадии литературного процесса.
3. Компоненты модели литературного процесса.
Сравнительное литературоведение (компаративистика)
1. Выявление общих элементов в различных национальных литературах на протяжении длительного промежутка времени.
2. Поиск универсальных мотивов во всех анализируемых литературах и анализ их исторических модификаций.
3. Выявление природы разнородных объектов при помощи сопоставления по определенным параметрам.
4. Основополагающие концепции отечественных и зарубежных компаративистов (А.Н. Веселовский, В.М. Жирмунский, Н.И. Конрад, Д. Дюришин).
1. Передача художественного опыта от одного поколения художников к другому.
2. Абсолютизация традиционализма, ориентация на канон.
3. Традиционные темы, мотивы, образы, жанровые, композиционные особенности.
4. Новые темы, жанровые формы, типы, средства отображения художественной действительности.
5. Мировой и национальный опыт устного и письменного творчества.
6. Сложная взаимосвязь традиции и новаторства.
7. Полифункциональные жанры (интеллектуальная драма, лирическая проза, философская лирика).
Демоверсия экзаменационного варианта
- НАУКИ И ВЫСШЕГО ОБРАЗОВАНИЯ
- ФЕДЕРАЦИИ
- ГОСУДАРСТВЕННОЕ БЮДЖЕТНОЕ
- УЧРЕЖДЕНИЕ ВЫСШЕГО ОБРАЗОВАНИЯ
- УНИВЕРСИТЕТ НАУКИ И ТЕХНОЛОГИЙ»
- ФИЛИАЛ
- БАШКИРСКОЙ И ТЮРКСКОЙ ФИЛОЛОГИИ
|
Вступительный экзамен по направлению 44.04.01 Педагогическое образование, программа «Инновационные образовательные технологии в филологии», 2025-2026 уч. год |
УТВЕРЖДАЮ Директор СФ УУНиТ
___________ И.А.Сыров
|
Экзаменационный билет № 1
1. Понятие знака. Знак как объект семиотических исследований (Ч.Пирс, Ч.Моррис, Р.Карнап и др.). Свойства знака. Особенности языкового знака: материальность формы, идеальность содержания, условный характер связи между формой и содержанием, функционирование в рамках определенной системы.
2. Жизнь и развитие литературы определённой страны или эпохи во всей совокупности её явлений и фактов или многовековое развитие литературы в её всемирных масштабах.
Зав. кафедрой __________________________
СПИСОК ЛИТЕРАТУРЫ
Основная литература
1. Амирова Т.А., Ольховников Б.А., Рождественский Ю.В. История языкознания: учебное пособие. – М., 2006.
2. Антропова В.В. Проблемы изучения языка: современный подход. – Челябинск: Цицеро, 2012.
3. Мечковская Н.Б. Общее языкознание. Структурная и социальная типология языков. – М., 2001.
- Нямцу А. Е., Антофийчук В.И. Проблемы традиции и новаторства в мировой литературе. – Черновцы, 1998.
- Хализев В.Е. Теория литературы. – М., 2000.
Дополнительная литература:
- Абрамович Г.Л. Введение в литературоведение. – М., 1975.
- Аверинцев С.С., Андреев М.Л., Гаспаров М.Л, Михайлов AB Категории поэтики в смене литературных эпох // Историческая поэтика. Литературные эпохи и типы художественного сознания. – М., 1994.
- Алпатов В.М. История лингвистических учений. – М., 1998 и 2001.
- Антоныч Б.-И. Национальное искусство (Попытка идеалистической системы искусства) // Введение в литературоведение: Хрестоматия / Сост. Н.И. Бернадская. – К., 1995.
- Березин Ф.М. История лингвистических учений. – М., 1975. 3.
- Кодухов В.И. Общее языкознание. – М., 2008. 4. Маслова В.А. Современные направления в лингвистике. – М., 2008.
- Литературоведческая энциклопедия: В 2 т. / Автор-составитель Ю.И. Кузнецов. – М., 2007.
- Лексикон общего и сравнительного литературоведения / Руководитель проекта А. Волков. – Черновцы, 2001.
Интернет-ресурсы:
- Научная электронная библиотека eLIBRARY.RU http://elibrary.ru/
- Электронная библиотека РНБ (Российской национальной библиотеки) http://www.nlr.ru/e-res/
- Электронная библиотека Российского государственного педагогического университета им. А.И. Герцена http://portal.gersen.ru/
- Электронно-библиотечная система IQlib.ru http://www.iqlib.ru/
- Библиотека учебной и научной литературы Русского гуманитарного Интернет-университета http://www.i-u.ru/
- Научная библиотека Дальневосточного государственного технического университета http://library.fentu.ru/
Экономическая и социальная география
ПРОГРАММА
вступительного испытания
для поступающих в магистратуру по направлению подготовки
05.04.02 «География»
программы (профиль)
«Геоурбанистика: управление городскими системами»,
«Пространственное развитие территорий: реализация и управление»
ОБЩИЕ ПОЛОЖЕНИЯ
Вступительные испытания (ВИ) предназначены для определения практической и теоретической подготовленности поступающего в магистратуру и проводятся с целью определения соответствия знаний умений и навыков требованиям обучения магистратуры по направлению подготовки 05.04.02 «География» (магистратура). Программа составлена в соответствии с требованиями федерального государственного образовательного стандарта высшего образования.
Вступительные испытания в магистратуру проводят экзаменационные комиссии, назначенные председателем приёмной комиссии УУНиТ.
ПРОЦЕДУРА ВСТУПИТЕЛЬНОГО ИСПЫТАНИЯ
Дата и время проведения вступительного испытания и консультации определяются расписанием вступительных испытаний, которое утверждается председателем приемной комиссии.
Перед вступительным испытанием для поступающих проводится консультация по содержанию программы испытания, критериям оценки, предъявляемым требованиям, правилам поведения на испытании.
Форма вступительного испытания (в соответствии с Положением о вступительных испытаниях УУНиТ): тестирование.
Вступительные испытания в виде электронного тестирования проводятся в соответствии с программами вступительных испытаний, утверждаемых председателем приемной комиссии.
Вступительные испытания в форме тестирования включают вопросы как закрытого, так и открытого типа, а также задания в аудио- и видеоформатах.
Составление вариантов экзаменационных заданий в форме электронных тестов осуществляется ответственным секретарем приемной комиссии университета.
Из вариантов экзаменационных заданий формируются комплекты вопросов-тестов.
Компоновку комплектов вопросов-тестов ответственный секретарь, заместитель ответственного секретаря производят до вступительных испытаний.
Тест содержит 40 тестовых вопросов.
Результаты испытаний оцениваются по 100 бальной шкале.
Абитуриент, не согласный с оценкой, полученной на ВИ и (или) в связи с нарушением процедуры проведения ВИ имеет право подать апелляцию. Процедура подачи и рассмотрения апелляции регламентируется Положением об апелляционной комиссии УУНиТ.
КРИТЕРИИ ОЦЕНИВАНИЯ ОТВЕТА
Критериями оценки экзаменационного ответа, поступающего в магистратуру, являются полнота, логичность, доказательность, прочность, осознанность знаний и теоретическая обоснованность суждений, самостоятельность в интерпретации информации, практическая направленность, уровень овладения профессиональными умениями менеджера и др. В случае тестирования критерием являются правильные ответы на тестовые задания.
При проверке количество первичных баллов переводится в итоговую 100 балльную шкалу через информационную платформу университета.
СОДЕРЖАНИЕ РАЗДЕЛОВ И ТЕМ ПРОГРАММЫ ВСТУПИТЕЛЬНОГО ИСПЫТАНИЯ ПО ПРОГРАММЕ
«ГЕОУРБАНИСТИКА: УПРАВЛЕНИЕ ГОРОДСКИМИ СИСТЕМАМИ»
Геоурбанистика: объект исследования, предмет исследования.
География городов: объект исследования, предмет исследования.
Определение терминов: система, территориальная система, территориальная социально-экономическая система. Определение системы расселения.
Расселение населения, размещение населения: определение, сущность данных процессов. Плотность населения. Факторы расселения населения.
Урбанизированное и неурбанизированное расселение: основные признаки.
Географическое положение города.
Определение города. Критерии отнесения населённого пункта к категории городов. Подсистемы в составе города как территориальной системы. Исторический аспект отнесения населенного пункта к городу в РФ (Указ Президиума Верховного Совета РСФСР «О порядке отнесения населённых пунктов к категории городов, рабочих и курортных посёлков» от 12 сентября 1957 г.). Определение поселка городского типа.
Классификация городов по численности населения в РФ.
Схема А.Фишера (1934 г.) и К.Кларка (1940 г.) для исследования функций города. Основные сектора экономики города. Градообразующие и градообслуживающие отрасли. Тертиаризация и дезиндустриализация как процессы трансформации занятости и формирования функций города.
Типология городов по функциям. Пример функциональной типологии городов в РФ.
Современные функции глобальных городов.
Экологические проблемы городов.
Глобальный город, мировой город: основные критерии, общие и отличительные черты. Основные признаки глобального города. Пример классификации глобальных городов.
Планировочная структура города. Виды планировочных структур городов.
Функциональная структура города. Виды функциональных зон города.
Сравнение преимуществ и недостатков линейной и радиально-кольцевой пространственных структур города.
Сравнение преимуществ и недостатков лепестковой и иррегулярной пространственных структур города. Сравнение преимуществ и недостатков радиально-кольцевой и звездообразной пространственных структур города.
Сравнение преимуществ и недостатков шахматной и лепестковой пространственных структур города.
Функциональные зоны в концентрической модели планировки города Парка и Берджесса.
Определение урбанизации. Географическая сущность урбанизации как современного территориального процесса.
Современные черты урбанизации как пространственного процесса (по Ю.Пивоварову).
Определение урбанистической структуры и территориально-урбанистической структуры.
Определение урбанизированности. Показатели урбанизированности.
Сущность и причины процесса субурбанизации как прострнственного процесса. Сущность и причины процесса рурбанизации как прострнственного процесса.
Сущность и причины процесса джентрификации как пространственного процесса. Гиперурбанизация: сущность, причины, последствия пространственного процесса.
Дезурбанизация: сущность, причины, последствия пространственного процесса. Ложная урбанизация: сущность, причины, последствия пространственного процесса.
Стадии урбанизации Джиббса.
Определение городской агломерации. Виды городских агломераций по количеству ядер.
Маятниковая миграция: определение, взаимосвязь маятниковых миграций и городских агломераций, маятниковых миграций и автомобилизации населения
Механизм формирования городской агломерации «от города». Механизм формирования городской агломерации «от района».
Пространственная структура городской агломерации.
Эволюция форм городского расселения: этапы, определения каждой из форм городского расселения.
Определение опорного каркаса расселения. Элементы опорного каркаса расселения.
Применение правила Ципфа в исследовании городов.
Мегалополис как территориальная структура. Мегалополисы мира.
Урбанизационные процессы в России. Динамика численности городского населения.
Города-миллионники России. География и их социально-экономическая роль.
Поселки городского типа: функции, их роль и география.
Территориальные различия урбанизации в РФ: уровень субъектов страны.
Крупнейшие городские агломерации мира по численности населения: размещение
Монопрофильные города: определение, функции моногорода, критерии отнесения.
Районная планировка: определение, цели и задачи, взаимосвязь районной планировки и территориального планирования.
Урбанизация в Республике Башкортостан. Классификация городов Башкирии. Агломерации. Проблемы развития городов Башкирии. Моногорода.
СОДЕРЖАНИЕ РАЗДЕЛОВ И ТЕМ ПРОГРАММЫ ВСТУПИТЕЛЬНОГО ИСПЫТАНИЯ ПО ПРОГРАММЕ
«ПРОСТРАНСТВЕННОЕ РАЗВИТИЕ ТЕРРИТОРИЙ: РЕАЛИЗАЦИЯ И УПРАВЛЕНИЕ»
Основные теоретические подходы к определению, объекту и предмету исследования общественной (социально-экономической) географии. Общественная география как наука. Сущность общественной географии. Критерии географичности. Определение понятия экономической географии. Система географических наук. Отраслевые и региональные направления общественной географии. Пограничные направления социально-экономической географии, процессы дифференциации и интеграции. Понятие территориальных социально-экономических систем и территориальной организации общества. Содержание и значение экономико-географического исследования. Важнейшие тенденции в развитии современной социально-экономической географии.
Идентификация общественной географии в разных научных школах, методология социально-экономических исследований Зарождение и развитие экономико-географических идей. Ведущие отечественные и западные школы общественной географии. Развитие экономической и социальной географии в СССР и России. Смена географических парадигм и их отражение в общественной географии. Сущность системного подхода в географии. Сложные социально-экономические геосистемы. Методы исследований общественной географии. Становление отечественной районной школы экономической географии. Значение ведущих научных школ (Н.Н. Баранского, Н.Н. Колосовского и В.Э. Дена). Роль школы Н.Н. Баранского ва развитии отечественной экономической географии. Трансформация экономической географии в социально-экономическую, в общественную. Гуманитаризация географической науки. Система понятий и концепций отечественной районной школы.
Учение о географическом разделении труда Категории «территория» и «территориальные ресурсы». Теория территориальная организация общества (ТОО). Основные черты и факторы ТОО в России. Содержание понятия географическое разделение труда. Факторы, влияющие на уровень и характер географического разделения труда. Сущность международного разделения труда. Процессы развития мирового хозяйства. Главные черты и особенности пространственной структуры мирового хозяйства. МГРТ в эпоху НТР: понятие и подсистемы НТР. Внешнеэкономические связи России.
Учение об экономико-географическом положении. Географическое положение и ЭГП. Количественный потенциал ЭГП. Основные подходы к оценке ЭГП и ПГП. Важнейшие компоненты ЭГП.
Экономико-географическое изучение природных условий и ресурсов Глобальная проблема взаимодействия общества и окружающей среды. Концепция географического детерминизма. Природные условия и ресурсы. Классификации природных ресурсов. Взаимосвязь размещения природных ресурсов и общественных элементов производительных сил. Типы освоения природной географической среды.
География населения и социальная география. География населения как общественно-географическая наука. Население – объект географического изучения и условие размещения производства. Расселение населения. Социальная география. Содержание социально-географического исследования.
Исследование пространственных закономерностей в общественной географии. Классические теории и модели размещения хозяйства Значение модели «изолированного государства» И. Тюнена для понимания современных особенностей размещения производства. «Штандорт промышленности» и работы А. Вебера. Сущность теории «центральных мест» В. Кристаллера. Сходство и различие построений А. Леша и В. Кристаллера. Диффузия инноваций в материальном производстве. Понятия «полюс роста», «центр и ось развития». Теория циклического развития экономики. Миросистемный анализ. Концепция «центр - периферия». Региональные исследования.
Отраслевая и территориальная структура хозяйства Понятие об основных структурах хозяйства: отраслевая, территориальная. Современное мировое хозяйство (мировая экономика): состав, субъекты, динамика, факторы размещения, география отраслей. Экономическая интеграция. Международные экономические отношения.
Экономико-географическое районирование и территориально-производственное комплексообразование. Методология экономического районирования. Развитие теории и практики экономического районирования. Основы интегрального и отраслевого социально-экономического районирования. Сущность территориально-производственного комплексообразования.
Политическая география как общественно-географическая наука. Современная политическая карта мира. Сущность политической географии и геополитики. Основные направления современных политико-географических исследований. Этапы формирования современной политической карты мира. Формы организации государства, политический режим. Государственная территория и государственная граница. Классификация и типология стран мира. Геополитические конфликты. Международные организации.
Глобалистика и глобальная география. Глобальные проблемы современности Развитие человечества и возникновение глобальных проблем. Глобалистика и глобализация. Глобальные модели мирового развития. Наиболее острые глобальные проблемы. Устойчивое развитие.
Пространственное развитие территорий: основные задачи, основные понятия пространственной экономики и управления развитием территорий. Связь между теорией, прикладными исследованиями, разработкой и обоснованием региональных и местных экономических политик. Особенности пространственного развития современной экономики. Неравномерность территориального развития: обзор зарубежных и российских данных.
Сущность и виды региональной политики государства, этапы региональной политики в России. Государственное регулирование пространственного развития. Понятие региональной политики (РП) государства. Особенности федеральной региональной политики, региональной политики субъектов федерации, региональных аспектов других направлений государственной политики Российской Федерации (научно-технической, инновационной, и др.).
Методы и инструменты реализации политики развития территорий. Стратегическое территориальное планирование. Методы регулирования территориального развития: прямые и косвенные, административные, правовые и экономические регуляторы (инструменты), применяемые на макро- и микроуровнях. Методы реализации РП. Прогнозирование регионального развития, краткосрочные и среднесрочные прогнозы. Планирование и программирование регионального/местного развития. Инструменты поддержки развития проблемных территорий. Создание территорий с особым экономическим статусом. Общие черты и особенности проблемных территорий. Основные типы проблемных территорий. Отсталые (слаборазвитые) регионы. Депрессивные регионы. Преодоление региональной депрессии путем диверсификации, конверсии, улучшения местного инвестиционного климата и т.д.
Демоверсия экзаменационного варианта
(пробный тест)
МИНИСТЕРСТВО НАУКИ И ВЫСШЕГО ОБРАЗОВАНИЯ РОССИЙСКОЙ ФЕДЕРАЦИИ
ФЕДЕРАЛЬНОЕ ГОСУДАРСТВЕННОЕ БЮДЖЕТНОЕ
ОБРАЗОВАТЕЛЬНОЕ УЧРЕЖДЕНИЕ ВЫСШЕГО ОБРАЗОВАНИЯ
«УФИМСКИЙ УНИВЕРСИТЕТ НАУКИ И ТЕХНОЛОГИЙ»
ИНСТИТУТ ПРИРОДЫ И ЧЕЛОВЕКА
ВСТУПИТЕЛЬНЫЕ ЭКЗАМЕНЫ В МАГИСТРАТУРУ
Направление 05.04.02 География, направленность (профиль)
«Геоурбанистика: управление городскими системами»
Вопрос № 1
1. Удельный вес городского населения в общей численности населения страны называется:
- урбанизированностью
- плотностью
- урбанизацией
- мегаполизацией
Демоверсия экзаменационного варианта
МИНИСТЕРСТВО НАУКИ И ВЫСШЕГО ОБРАЗОВАНИЯ РОССИЙСКОЙ ФЕДЕРАЦИИ
ФЕДЕРАЛЬНОЕ ГОСУДАРСТВЕННОЕ БЮДЖЕТНОЕ
ОБРАЗОВАТЕЛЬНОЕ УЧРЕЖДЕНИЕ ВЫСШЕГО ОБРАЗОВАНИЯ
«УФИМСКИЙ УНИВЕРСИТЕТ НАУКИ И ТЕХНОЛОГИЙ»
ИНСТИТУТ ПРИРОДЫ И ЧЕЛОВЕКА
ВСТУПИТЕЛЬНЫЕ ЭКЗАМЕНЫ В МАГИСТРАТУРУ
Направление 05.04.02 География, направленность (профиль)
«Пространственное развитие территорий: реализация и управление»
Вопрос № 1
1. Часть поверхности суши с определенными границами называется:
- территорией
- акваторией
- населенным пунктом
- административным районом
СПИСОК ЛИТЕРАТУРЫ
- Алексеев А.И., Колосов В.А. Россия: социально-экономическая география: учебное пособие. - М.: Новый хронограф, 2013. – 708 с.
- Анимица Е.Г., Власова Н.Ю. Градоведение: учеб. пособ. - 4-е изд., перераб. и доп. - Екатеринбург: Изд-во Урал.гос.экон.ун-та, 2010. – 433 с.
- Глобальный город: теория и реальность: сб. науч. стат. / Под ред. Н. А. Слуки. – М.: Аванглион, 2007. – 243 с.
- Косарева Н.Б., Полиди Т.Д., Пузанов А.С. Экономическая урбанизация. – М.: Фонд «Институт экономики города», 2018. – 418 с.
- Лаппо Г.М. География городов. – М.: ВЛАДОС, 1997. – 691 с.
- Лаппо Г.М. Города России. Взгляд географа. - М.: Новый хронограф, 2012. - 504 с.
- Максаковский В.П. Географическая картина мира. В двух книгах. Книга I. – М.: Дрофа, 2008. – 495 с.; Книга II - М.: Дрофа, 2009. – 480 с.
- Максаковский В.П. Географическая культура: учеб. пособ. – М.: Владос, 1998. – 416 с.
- Перцик Е.Н. Географическая мысль: история, проблемы, поиск решений. История и методология географической науки, географические аспекты развития городов и урбанизации. – М.: Мастер, 2013. – 428 с.
- Перцик Е.Н. Геоурбанистика: учебник. – 2-е изд., стер. – М.: Юрайт, 2016. – 435 с.
- Пространственное развитие территории Республики Башкортостан: основные направления и проблемы размещения населения и хозяйства: монография / коллектив авторов; / науч. и ответ. редактор И.В. Закиров. - Уфа: РИЦ УУНиТ, 2024. – 171 с.
- Сассен Саския. Когда города значат больше, чем государства // Новое время. – 2003. - № 43.
- Слука Н. А. Градоцентрическая модель мирового хозяйства. - М., Пресс-Соло, 2005. – 168 с.
- Соболева Н.П., Замятина Ю.Л., Барановская Н.В., Жорняк Л.В. Геоурбанистика: учеб. пособ. – Томск: Изд-во Томского политехнического университета, 2012. – 301 с.
- Социально-экономическая география: понятия и термины: Словарь-справочник / Отв. ред. А.П. Горкин. – Смоленск: Ойкумена, 2013. – 328 с.
- Трейвиш А.И. Город, район, страна и мир. Развитие России глазами страноведа. М.: Новый хронограф, 2009. - 372 с.
- Экономическая и социальная география России: учеб. для вузов / А.И. Алексеев, В.Л. Бабурин, Г.И. Гладкевич и др.; Под ред. А.Т. Хрущева. – 3-е изд., перераб. и доп. - М.: Дрофа, 2006. – 607 с.
- Экономическая и социальная география России: учеб. пособ. / сост. Дирин Д.А., Е.В. Мардасова [Электронный ресурс]. – Барнаул: ФГБОУ ВО «Алтайский государственный университет», 2016. – 261 с.
- Алексеев А.И., Колосов В.А. Россия: социально-экономическая география: учебное пособие. - М.: Новый хронограф, 2013. – 708 с.
- Богучарсков В.Т. История географии: учебник. – М.: Академический проект, 2006. – 306 с.
- Горбанев В.А. Общественная география зарубежного мира и России: учебник. – М.: Юнити-Дана, 2018. – 568 с. [Электронный ресурс]. - URL: https://biblioclub.ru/index.php?page=book_red&id=682436.
- Дружинин А.Г., Кузнецова О.В. Стратегия пространственного развития России: векторы обновления // Географический вестник. – 2024. - № 1 (68). – С. 15-26.
- Закиров И.В. Экономическая и социальная география России: учебное пособие. - Уфа: РИЦ БашГУ, 2022. - 80 с.
- Исаченко А.Г. Теория и методология географической науки: учебник. – М.: Академия, 2004. – 400 с.
- Максаковский В.П. Географическая картина мира. В двух книгах. Книга I. – М.: Дрофа, 2008. – 495 с.; Книга II - М.: Дрофа, 2009. – 480 с.
- Максаковский В.П. Географическая культура: учеб. пособ. – М.: Владос, 1998. – 416 с.
- Перцик Е.Н. Геоурбанистика: учебник. – 2-е изд., стер. – М.: Юрайт, 2016. – 435 с.
- Пространственное развитие территории Республики Башкортостан: основные направления и проблемы размещения населения и хозяйства: монография / коллектив авторов; / науч. и ответ. редактор И.В. Закиров. - Уфа: РИЦ УУНиТ, 2024. – 171 с.
- Социально-экономическая география: понятия и термины: словарь-справочник / Отв. ред. А. П. Горкин. – Смоленск: Ойкумена, 2013. – 328 с.
- Стратегирование пространственного развития и инфраструктурного обустройства территорий: монография / Ю.Г. Лаврикова, С.Н. Котлярова, А.В. Суворова, Е.Д. Игнатьева, О.С. Мариев, Н.А. Матушкина, Л.М. Аверина, В.А. Ли, А.Е. Серкова / отв. ред. Ю.Г. Лаврикова. – Екатеринбург: Институт экономики УрО РАН, 2018. – 178 с.
- Устойчивое развитие территории геопарков: монография / М.Л. Аникина, А.Р. Ахунов, Л.Н. Белан, Е.А. Богдан, И.В. Закиров, З.Ф. Ибрагимова, А.Ф. Нигматуллин, Г.А. Саттарова, Ю.В. Фаронова / под ред. Л.Н. Белан, И.В. Закирова. – Уфа: РИЦ УУНиТ, 2023. – 196 с.
- Экономическая и социальная география России: География отраслей народного хозяйства России: учеб. // Под ред. В.Л. Бабурина, М.П. Ратановой. – М.: Либроком, 2013. – 516 с.
- Экономическая и социальная география России: учеб. для вузов / А.И. Алексеев, В.Л. Бабурин, Г.И. Гладкевич и др.; Под ред. А.Т. Хрущева. – 3-е изд., перераб. и доп. - М.: Дрофа, 2006. – 607 с.
- Экономическая и социальная география России: учеб. пособ. / сост. Дирин Д.А., Е.В. Мардасова [Электронный ресурс]. – Барнаул: ФГБОУ ВО «Алтайский государственный университет», 2016. – 261 с.
Экономика
ПРОГРАММА
вступительного испытания
для поступающих в магистратуру по направлениям подготовки
38.04.01 «Экономика»,
38.04.02 «Менеджмент»,
38.04.03 «Государственное и муниципальное управление»
программы (профили):
«Бухгалтерский учет, анализ и аудит»,
«Экономика бизнеса»,
«Менеджмент»,
«Система государственного и муниципального управления»
ОБЩИЕ ПОЛОЖЕНИЯ
Вступительные испытания предназначены для определения практической и теоретической подготовленности поступающего в магистратуру и проводятся с целью определения соответствия знаний умений и навыков требованиям обучения магистратуры по направлениям подготовки: 38.04.01 «Экономика», 38.04.02 «Менеджмент», 38.04.03 «Государственное и муниципальное управление» (магистратура). Программа составлена в соответствии с требованиями федерального государственного образовательного стандарта высшего профессионального образования.
Вступительные испытания в магистратуру проводят экзаменационные комиссии, назначенные председателем приёмной комиссии УУНиТ.
ПРОЦЕДУРА ВСТУПИТЕЛЬНОГО ИСПЫТАНИЯ
Дата и время проведения вступительного испытания и консультации определяются расписанием вступительных испытаний, которое утверждается председателем приемной комиссии.
Перед вступительным испытанием для поступающих проводится консультация по содержанию программы испытания, критериям оценки, предъявляемым требованиям, правилам поведения на испытании.
Форма вступительного испытания (в соответствии Положением о вступительных испытаниях УУНИТ): устно-письменная.
Вступительные испытания в виде устно-письменного экзамена проводятся в соответствии с программами вступительных испытаний, утверждаемых председателем приемной комиссии.
Экзаменационные билеты включают два вопроса по направлению подготовки (по специальности).
В аудитории, где проводится вступительное испытание в устно-письменной форме, не может находиться одновременно более 6 человек. Нахождение в аудитории посторонних лиц не допускается.
Абитуриенту предоставляется право готовиться к ответу в течение 30 минут.
Абитуриенту предоставляется право ответа на экзаменационные вопросы в течение 20-25 минут.
В процессе сдачи вступительного испытания абитуриенту могут быть заданы дополнительные вопросы, как по содержанию экзаменационного билета, так и по любым разделам предмета в пределах программы вступительного испытания.
Абитуриент, не согласный с оценкой, полученной на ВИ и (или) в связи с нарушением процедуры проведения ВИ имеет право подать апелляцию. Процедура подачи и рассмотрения апелляции регламентируется Положением об апелляционной комиссии УУНиТ.
КРИТЕРИИ ОЦЕНИВАНИЯ ОТВЕТА
Критериями оценки экзаменационного ответа, поступающего в магистратуру являются полнота, логичность, доказательность, прочность, осознанность знаний и теоретическая обоснованность суждений, самостоятельность в интерпретации информации, практическая направленность, уровень овладения профессиональными умениями менеджера и др. В случае тестирования является правильные ответы на тестовые задания.
Результаты вступительного испытания определяются по 100-балльной шкале, разброс баллов представлен ниже в таблице:
|
№ |
Критерии оценивания |
Оценка |
|
1 |
Дан полный развернутый ответ на теоретический вопрос:
|
85-100 баллов «отлично» |
|
2 |
Дан в целом правильный ответ на теоретический вопрос:
|
67-84 балла «хорошо» |
|
3 |
Дан в основном правильный ответ на теоретический вопрос:
|
50-66 баллов «удовлетворительно» |
|
4 |
Дан фрагментарный ответ или неправильный ответ на теоретический вопрос из предложенного тематического раздела:
|
0-49 баллов «неудовлетворительно» |
СОДЕРЖАНИЕ РАЗДЕЛОВ И ТЕМ ПРОГРАММЫ
ВСТУПИТЕЛЬНОГО ИСПЫТАНИЯ
МИКРОЭКОНОМИКА
Материальные потребности общества и экономические ресурсы. Проблема выбора в экономике. Кривая производственных возможностей. Закон возрастания вмененных (альтернативных) издержек. Выбор оптимального решения. Координация выбора в различных хозяйственных системах. Традиционные системы. Рыночная экономика. Командная экономика. Смешанные системы. Кругооборот продукта и дохода.
Спрос на товары и услуги. Индивидуальный и рыночный спрос. Влияние на спрос неценовых факторов. Закон предложения и факторы, влияющие на предложение. Рыночное равновесие. Излишки производителя и потребителя. Эластичность спроса и предложения. Формула ценовой эластичности спроса. Связь между эластичностью и выручкой. Факторы ценовой эластичности спроса. Перекрестная эластичность. Эластичность предложения. Вмешательство государства в рыночной механизм: налоги, дотации, фиксированные цены.
Закон убывающей предельной полезности. Потребительский выбор. Правило максимизации полезности. Предельная полезность и кривые спроса. Бюджетная линия и кривые безразличия. Предельная норма замещения. Оптимальный выбор потребителя. Эффект дохода и эффект замещения.
Связь между объемом и факторами производства. Средний и предельный продукт труда. Производственная функция с одним переменным фактором. Закон убывающей отдачи. Изокванта и изокоста, оптимальный выбор факторов производства.
Издержки производства: экономические и бухгалтерские. Издержки фирмы в краткосрочном периоде. Структура издержек: общие постоянные, общие переменные, валовые, предельные издержки. Кривые средних и предельных издержек. Взаимосвязь между предельными издержками и предельной производительностью, средними издержками и средней производительностью. Издержки производства в долгосрочном периоде. Кривая долгосрочных средних издержек, отдача от масштаба производства (снижающаяся, повышающаяся, неизменная).
Основные характеристики четырех моделей рынка. Спрос на продукцию конкурентного продавца. Средний, валовой и предельный доходы. Выручка и прибыль. Принцип максимизации прибыли. Предложение совершенно конкурентной фирмы и отрасли. Совершенная конкуренция и эффективность.
Характерные черты монополии и типы барьеров для вступления в отрасль. Монопольный спрос. Кривая предложения фирмы-монополиста, определение объема производства и цены в условиях монополии. Максимизация прибыли в условиях монополии. Экономические последствия монополии. Ценовая дискриминация. Регулируемая монополия. Монополистическая конкуренция. Характерные черты. Определение цены и объема производства. Недостатки монополистической конкуренции. Неценовая конкуренция. Безубыточность в долгосрочном периоде. Достоинства и недостатки монополистической конкуренции. Олигополия. Признаки, причины, определение олигополии. Ломаная кривая спроса. Тайный сговор. Антимонопольное регулирование.
Спрос на факторы производства. Изменения в спросе на ресурсы. Оптимальное соотношение ресурсов. Правило наименьших издержек, правило максимизации прибыли.
Спрос и предложение на рынке труда. Заработная плата как цена труда. Номинальная и реальная заработная плата.
Конкурентный рынок труда. Предложение труда. Модель монопсонии. Заработная плата и занятость. Роль профсоюзов на рынке труда, модель «двусторонней монопсонии».
Рынок земли. Цена земли. Экономическая рента, дифференциальная и абсолютная рента. Рынок капитала. Основной и оборотный капитал. Ссудный процент, номинальная и реальная ставки процента. Процентная ставка и инвестиции. Чистая дисконтированная стоимость, внутренняя норма доходности, индекс рентабельности, срок окупаемости при определении экономической эффективности инвестиционных проектов. Экономическая эффективность инвестиционных проектов.
МАКРОЭКОНОМИКА
Основные макроэкономические показатели. Понятие валового национального продукта (ВНП); расчет ВНП по расходам. Чистый национальный продукт (ЧНП) и национальный доход. Измерение уровня цен; номинальный и реальный ВНП; расчет индекса потребительских цен, (ИПЦ) и дефлятора ВНП.
Макроэкономический анализ: совокупный спрос и совокупное предложение. Неценовые факторы совокупного спроса. Характеристика участков кривой совокупного предложения. Равновесный уровень цен и равновесный объем национального производства. «Эффект храповика».
Потребление и сбережения. Факторы потребления и сбережений, не связанные с доходом. Инвестиции; кривая спроса на инвестиции. Определение равновесного объема производства в кейнсианской модели. Метод «изъятий и инъекций». Изменение равновесного ЧНП и мультипликатор. Связь мультипликатора с предельными склонностями к потреблению и сбережениям. «Парадокс бережливости».
Экономический цикл и его фазы. Экономический рост: понятие, типы, последствия. Источники, факторы и темпы экономического роста.
Макроэкономическая нестабильность: безработица и инфляция. Виды безработицы; естественный уровень безработицы; расчет уровня безработицы. Закон Оукена.
Инфляция: сущность, причины возникновения и виды. Инфляция и безработица. Кривая Филипса. Экономические и социальные последствия инфляции и безработицы.
Государственный бюджет и его структура. Формирование и использование госбюджета. Бюджетный дефицит и государственный долг. Концепции балансирования бюджета. Экономические последствия государственного долга. Теория налогов и принципы налогообложения. Виды налогов; перекладывание налогового бремени. Кривая Лаффера.
Фискальная политика государства; влияние государственных расходов и налогов на равновесный ЧНП; мультипликатор сбалансированного бюджета. «Встроенные стабилизаторы»; эффект вытеснения и фискальная политика.
Денежная система. Сущность и функции денег; предложение денег; спрос на деньги; равновесие на денежном рынке.
Банковская система. Назначение и функции Центрального Банка. Система коммерческих банков; резервы банка; выдача ссуды коммерческим банком. Денежный мультипликатор.
Цели и инструменты кредитно–денежной политики: операции на открытом рынке, изменение учетной ставки, изменение резервной нормы. Политика дешевых и политика дорогих денег. Влияние кредитно – денежной политики на равновесие в экономике.
ЭКОНОМИКА ПРЕДПРИЯТИЯ
Классификация предприятий. Внутренняя и внешняя среда деятельности предприятия. Взаимосвязь предприятия с другими субъектами экономики. Понятие отраслевой структуры и показатели, применяемые для её оценки. Производственный потенциал предприятия.
Сущность современного предпринимательства. Субъекты и виды предпринимательской деятельности.
Хозяйственные товарищества. Хозяйственные общества, их отличительные черты. Акционерное общество: сущность и особенности функционирования. Производственные кооперативы. Государственные и муниципальные унитарные предприятия. Корпоративные формы предпринимательства. Некоммерческие организации.
Организация производственного процесса: сущность, формы. Характеристика производственного процесса. Производственный цикл, его структура. Методы организации производства.
Сущность и этапы построения организационных структур. Виды организационных структур. Формирование уровней управления. Принципы и методы организации управления предприятием.
Состав и классификация элементов основного капитала предприятия. Оценка основных средств. Воспроизводство основных средств предприятия. Амортизация основных средств. Состояние и использование основных средств. Показатели использования основных средств. Нематериальные активы предприятия. Аренда и лизинг.
Понятие и состав оборотных средств. Оценка оборотных производственных фондов. Показатели использования оборотных средств. Определение потребности предприятия в оборотных средствах. Управление запасами предприятия.
Методы и виды планирования. Маркетинговая деятельность на предприятии. Учетная политика предприятия.
Производственная программа (план продукции):сущность, назначение и последовательность разработки. Натуральные и стоимостные измерители объема продукции. Валовая, товарная и реализованная продукция, их состав и методика расчета. Производственная мощность предприятия. Факторы, определяющие её величину и степень использования. Методы и способы определения величины производственных мощностей предприятия. Классификация видов производственных мощностей. Показатели использования производственных мощностей.
Нормирование труда. Классификация затрат рабочего времени. Методы изучения затрат рабочего времени. Методы нормирования труда.
Понятие, состав и классификация персонала(кадров) предприятия. Категория и структура персонала предприятия. Профессия, специальность и квалификация как характеристики отраслевой принадлежности. Методы определения потребности в персонале. Показатели использования рабочего времени.
Понятие производительности труда. Методы измерения производительности труда. Выработка и трудоемкость как основные показатели оценки эффективности труда. Факторы и резервы роста производительности труда.
Тарифная система оплаты труда и её основные элементы. Формы и системы оплаты труда на предприятии. Бестарифные системы оплаты труда, сфера их применения.
Расходы предприятия. Себестоимость продукции. Классификация и состав затрат на производство и реализацию продукции. Группировка затрат. Калькулирование. Расчет плановых калькуляций себестоимости продукции. Методы учета затрат и калькулирования фактической себестоимости продукции. Разработка сметы затрат на производство.
Понятие и структура доходов предприятия. Прибыль предприятия: сущность, виды, методы планирования. Использование прибыли. Рентабельность продукции, производства, капитала, продаж.
Структура цены, система цен. Виды цен, их классификация. Взаимосвязи цен и издержек предприятия. Ценовая политика предприятия.
Бюджет предприятия. Безубыточность работы предприятия. Точка безубыточности: понятие, методика расчета, применение. Финансовая устойчивость предприятия
ПЕРЕЧЕНЬ ВОПРОСОВ
1. Проблема выбора в экономике. Кривая производственных возможностей.
2. Спрос на товары и услуги. Закон спроса. Влияние на спрос неценовых факторов.
3. Закон предложения и факторы, влияющие на предложение.
4. Издержки производства: экономические и бухгалтерские. Постоянные и переменные издержки.
5. Основные характеристики моделей рынка: совершенная конкуренция, чистая монополия.
6. Характеристика рынка монополистической конкуренции , олигополии.
7. Спрос и предложение на рынке труда. Заработная плата как цена труда. Номинальная и реальная заработная плата.
8. Рынок капитала. Основной и оборотный капитал.
9. Ссудный процент, номинальная и реальная ставка процента.
10. Рыночное равновесие. Излишки производителя и потребителя.
11. Основные макроэкономические показатели: валовой национальный продукт, чистый национальный продукт, национальный доход. Методы их расчета.
12. Совокупный спрос. Неценовые факторы совокупного спроса.
13. Совокупное предложение. Характеристика участков кривой предложения.
14. Экономический цикл и его фазы.
15. Экономический цикл: понятия, типы.
16. Сущность и виды безработицы.
17. Инфляция: сущность и виды.
18. Государственный бюджет и его структура.
19. Бюджетный дефицит и государственный долг.
20. Сущность и функции денег.
21. Банковская система. Цели и инструменты денежно-кредитной политики.
22. Теория налогов и принципы налогообложения.
23. Номинальный и реальный ВНП. Расчет индекса потребительских цен.
24. Спрос и предложение на рынке труда. Заработная плата как цена труда.
25. Номинальная и реальная заработная плата.
Демоверсия экзаменационного варианта
- НАУКИ И ВЫСШЕГО ОБРАЗОВАНИЯ
- ФЕДЕРАЦИИ
- ГОСУДАРСТВЕННОЕ БЮДЖЕТНОЕ
- УЧРЕЖДЕНИЕ ВЫСШЕГО ОБРАЗОВАНИЯ
- УНИВЕРСИТЕТ НАУКИ И ТЕХНОЛОГИЙ»
- ФИЛИАЛ
- ФАКУЛЬТЕТ
|
Вступительный экзамен по направлениям: 38.04.01 Экономика, 38.04.02 Менеджмент, 38.04.04 Государственное и муниципальное управление 2025-2026 уч. год |
УТВЕРЖДАЮ Директор СФ УУНиТ
___________ И.А.Сыров
|
Экзаменационный билет № 1
1.Проблема выбора в экономике. Кривая производственных возможностей.
2. Экономический цикл и его фазы.
Зав. кафедрой ______________________
СПИСОК ЛИТЕРАТУРЫ
- Вымятнина Ю. В. Макроэкономика в 2 ч. Часть 1: учебник и практикум для вузов / Ю. В. Вымятнина, К. Ю. Борисов, М. А. Пахнин. — Москва : Издательство Юрайт, 2020. — 294 с. — (Высшее образование). — ISBN 978-5-534-01728-1.
- Вымятнина Ю. В. Макроэкономика в 2 ч. Часть 2 : учебник и практикум для вузов / Ю. В. Вымятнина, К. Ю. Борисов, М. А. Пахнин. — Москва : Издательство Юрайт, 2020. — 198 с. — (Высшее образование). — ISBN 978-5-534-01844-8.
- Деньгов В. В. Микроэкономика в 2 т. Т. 1. Теория потребительского поведения. Теория фирмы. Теория рынков : учебник для вузов / В. В. Деньгов. — 4-е изд. — Москва : Издательство Юрайт, 2020. — 410 с. — (Высшее образование). — ISBN 978-5-534-04211
- Деньгов В. В. Микроэкономика в 2 т. Т. 2. Рынки факторов производства. Равновесие. Экономика риска : учебник для вузов / В. В. Деньгов. — 4-е изд. — Москва : Издательство Юрайт, 2020. — 384 с. — (Высшее образование). — ISBN 978-5-534-04213-9.
- Дерен В. И. Экономика: экономическая теория и экономическая политика в 2 ч. Часть 1: учебник и практикум для вузов / В. И. Дерен. — 6-е изд., испр. и доп. — 16 Москва : Издательство Юрайт, 2019. — 432 с. — (Высшее образование). — ISBN 978-5-534-11078-4.
- Дерен В. И. Экономика: экономическая теория и экономическая политика в 2 ч. Часть 2: учебник и практикум для вузов / В. И. Дерен. — 6-е изд., испр. и доп. — Москва : Издательство Юрайт, 2019. — 415 с. — (Высшее образование). — ISBN 978-5-534-11110-1.
- Родина Г. А. Макроэкономика: учебник и практикум для бакалавриата, специалитета и магистратуры / [и др.] ; под редакцией Г. А. Родиной. — 2-е изд., перераб. и доп. — Москва : Издательство Юрайт, 2019. — 375 с. — (Бакалавр. Специалист. Магистр). — ISBN 978-5-534-00078-8.
Английский язык в профессиональной сфере
ПРОГРАММА
вступительного испытания
для поступающих в магистратуру по направлениям подготовки
45.04.01 «Филология»
программа (профиль)
«Теория и практика перевода и межкультурная коммуникация»,
«Индоевропейские языки в контексте педагогического дизайне»
45.04.02 «Лингвистика»
программа (профиль)
«Профессионально-ориентированный перевод»
45.04.03 «Фундаментальная и прикладная лингвистика»
программа (профиль)
«Прикладная лингвистика и текстовая аналитика»
ОБЩИЕ ПОЛОЖЕНИЯ
Вступительные испытания предназначены для определения практической и теоретической подготовленности поступающего в магистратуру и проводятся с целью определения соответствия знаний умений и навыков требованиям обучения в магистратуре по направлениям подготовки: 45.04.01 «Филология», профиль «Теория и практика перевода и межкультурная коммуникация», 45.04.01 «Филология», профиль «Индоевропейские языки в контексте педагогического дизайна», 45.04.02 «Лингвистика», профиль «Профессионально-ориентированный перевод», 45.04.03 «Фундаментальная и прикладная лингвистика», профиль «Прикладная лингвистика и текстовая аналитика».
Программа составлена в соответствии с требованиями федерального государственного образовательного стандарта высшего профессионального образования.
Вступительные испытания в магистратуру проводят экзаменационные комиссии, назначенные председателем приёмной комиссии УУНиТ.
ПРОЦЕДУРА ВСТУПИТЕЛЬНОГО ИСПЫТАНИЯ
Дата и время проведения вступительного испытания и консультации определяются расписанием вступительных испытаний, которое утверждается председателем приемной комиссии.
Перед вступительным испытанием для поступающих проводится консультация по содержанию программы испытания, критериям оценки, предъявляемым требованиям, правилам поведения на испытании.
Форма вступительного испытания (в соответствии Положением о вступительных испытаниях УУНИТ): устно-письменная.
Вступительные испытания в виде устного, устно-письменного, устного с элементами тестирования проводятся в соответствии с программами вступительных испытаний, утверждаемых председателем приемной комиссии.
Экзаменационные билеты включают два или три вопроса по направлению подготовки (по специальности).
В аудитории, где проводится вступительное испытание в устной форме, не может находиться одновременно более 6 человек. Нахождение в аудитории посторонних лиц не допускается.
Абитуриенту предоставляется право готовиться к ответу в течение 30 минут.
Абитуриенту предоставляется право ответа на экзаменационные вопросы в течение 20-25 минут.
В процессе сдачи вступительного испытания абитуриенту могут быть заданы дополнительные вопросы как по содержанию экзаменационного билета, так и по любым разделам предмета в пределах программы вступительного испытания. Абитуриент, не согласный с оценкой, полученной на ВИ и (или) в связи с нарушением процедуры проведения ВИ имеет право подать апелляцию. Процедура подачи и рассмотрения апелляции регламентируется Положением об апелляционной комиссии УУНиТ.
КРИТЕРИИ ОЦЕНИВАНИЯ ОТВЕТА
Критериями оценки экзаменационного ответа, поступающего в магистратуру являются соответствие знаний, умений и навыков испытуемого в области языковой компетенции и в теоретическом владении наукой о языке уровню выпускника филологических направлений бакалавриата.
Результаты вступительного испытания определяются по 100-балльной шкале, шкала соответствия баллов представлена ниже в таблице:
|
№ |
Критерии оценивания |
Оценка |
|
1 |
|
85-100 баллов «отлично» |
|
2 |
|
65-84 балла «хорошо» |
|
3 |
|
45-64 баллов «удовлетворительно» |
|
4 |
|
0-44 баллов «неудовлетворительно» |
СОДЕРЖАНИЕ РАЗДЕЛОВ И ТЕМ ПРОГРАММЫ
ВСТУПИТЕЛЬНОГО ИСПЫТАНИЯ
Лексический материал
Объем словаря абитуриента для говорения «должен составлять примерно 2000 слов и выражений. В активный словарь абитуриента должны входить как общеупотребительные слова и выражения. Абитуриент должен узнавать и употреблять слова, образованные от известных корней с помощью суффиксов имен существительных -er, -merit, - tion(sion), -ing, -ness, -ity; имен прилагательных -ful, -less, -able, -y\ числительных -teen, -ty, th; наречий -ly\ префиксов прилагательных -un; глаголов - re; mis; dis. Абитуриент должен также узнавать и употреблять слова, образованные путем словосложения на основе наиболее продуктивных моделей английского языка.
Грамматический материал
Сложносочиненные и сложноподчиненные предложения. Типы придаточных предложений (придаточные определительные, объектные, обстоятельственные). Союзная и бессоюзная связь. Косвенная речь: повествовательные, побудительные и вопросительные предложения в косвенной речи. Инфинитивный, причастный и герундиальный обороты. Сложное дополнение в предложениях типа I want him to help me и в предложениях типа I saw him cross (crossing) the street. Инфинитив после глаголов let и make впредложениях типа Let me help you; She let us use her books; She made him wash the floor. Инфинитивный оборот в конструкции It takes me half an hour to do my morning exercises. Инфинитивный оборот в моделях со сложным подлежащим: He is said to be the brightest student in the group. Имя существительное. Множественное число существительных. Притяжательный падеж. Артикль. Использование определенного, неопределенного артикля или его отсутствие в следующих случаях: с исчисляемыми существительными единственного или множественного числа, когда они употребляются впервые; с существительными единственного и множественного числа, являющимися частью составного именного сказуемого; с существительными после оборотов there is/are ..., it is ..., this is ...; с существительными в роли приложения; перед словами a dozen, a hundred, a thousand, a million, в выражениях a lot of a great many of, с существительными в единственном и множественном числе, когда говорящему ясно, о каком предмете идет речь; с существительным, которое упоминается в контексте не первый раз; с существительными, перед которыми употреблено порядковое числительное, прилагательное в превосходной степени, одно из прилагательных following, next, last, same, only; с исчисляемыми или неисчисляемыми существительными, имеющими при себе уточняющее или ограничительное определение; с существительными, обозначающими предметы единственные в своем роде, например, the sun, the moon, the sky и т.п.; с исчисляемыми существительными при обозначении всего класса однородных предметов, например, The snowdrop is the first spring flower; с названиями водных бассейнов, горных цепей пустынь; с названиями государств; с названиями некоторых исторических зданий, музеев, библиотек, театров, организаций, например, the British Museum, the United Nations и т.п.; с названиями сторон света, с фамилиями для обозначения всей семьи в целом; с существительными в функции обращения; со словами father, mother, uncle и т.п.; с названиями дней недели и месяцев года; с существительными breakfast, dinner, lunch, supper, с существительными school, church, bed, prison', с существительными, определяемыми количественным числительным; в ряде устойчивых словосочетаний, включенных в программу общеобразовательной школы. Имя прилагательное. Степени сравнения прилагательных. Образование степеней сравнения с помощью суффиксов и вспомогательных слов. Супплетивный способ образования степеней сравнения. Глагол. Видовременные формы глагола. Употребление Present Indefmite для выражения обычных действий, происходящих постоянно или регулярно, для выражения серии следующих друг за другом действий, а также для обозначения будущего действия в придаточных времени и условия. Употребление Past Indefinite для выражения действий, завершенных в прошлом и не связанных с настоящим. Употребление Future Indefinite для выражения действий в будущем. Употребление времен группы Continuous: Present Continuous для выражения действия, происходящего в момент речи, а также для выражения запланированного действия в ближайшем будущем, Past Continuous и Future Continuous для обозначения действия, происходящего соответственно в определенный момент в прошлом или будущем. Употребление Present Perfect для выражения завершенных действий, результат которых ощущается в момент говорения. Употребление Past Perfect для выражения действия, совершавшегося до определенного момента в прошлом. Употребление Future Perfect для обозначения действия, которое завершается к определенному моменту в будущем. 6 Основные случаи употребления форм Present Perfect Continuous и Past Perfect Continuous. Основные случаи использования пассивного залога во временах групп Indefinite, Perfect, Continuous. Правила согласования времен. Употребление модальных глаголов can, may, must, should и их заменителей. Неличные формы глагола: простые формы инфинитива, причастия I, причастия II и герундия. Наречие. Образование степеней сравнения наречий при помощи суффиксов и вспомогательных слов. Употребление наречий already, yet, still, always, ever, never, too в утверждениях, отрицаниях и вопросах. Местоимение. Личные местоимения английского языка; именительный и объектный падежи. Притяжательные местоимения в присоединяемой и абсолютной формах. Указательные местоимения this, that, these, those. Возвратные местоимения. Неопределенные и отрицательные местоимения some, any, по, somebody, anybody, nobody, someone, anyone, none, something, anything, nothing, somewhere, anywhere, nowhere. Употребление some и его производных в утвердительных предложениях. Употребление any и его производных в утвердительных, отрицательных и вопросительных предложениях. Употребление nо и его производных в отрицательных предложениях. Употребление местоимений either, neither в отрицательных предложениях. Местоимения оther, another, the other, others, the others. Союз. Употребление союзов and, but, however, so, that, if, whether, when, because, though, as...as, both ... and, either... or, neither ... nor. Морфология (пассивная – для чтения и аудирования). Поступающие должны узнавать и понимать предложения, включающие в свой состав перфектный или длительный инфинитив, а также перфектное причастие. Графика и орфография Начертание строчных и заглавных букв, соединение букв. Правила замены конечной у на iе; правила удвоения согласных; правила сохранения и опускания конечной нечитаемой е при словоизменении и словообразовании. Правописание форм множественного числа существительных, оканчивающихся на -ss, -s, -х, -sh, -ch, -f -fe.
Переводоведение
1. Найти соответствие для слова или словосочетания при переводе с английского языка на русский язык.
2. При отсутствии соответствий, пользоваться наиболее распространенными способами переводческих трансформаций (замена, перестановка, генерализация, конкретизация и пр.)
3. Передавать на русском языке общее содержание текста любого жанра.
Демоверсия экзаменационного варианта
КАФЕДРА ЗАРУБЕЖНОЙ ЛИНГВИСТИКИ
Магистратура 45.04.01 Филология
Профиль «Теория и практика перевода и межкультурная коммуникация»
ЭКЗАМЕНАЦИОННЫЙ БИЛЕТ №1
Задание 1. Перевод художеств. текста: переведите устно приведенный ниже отрывок.
Задание 2. Стилистический анализ: найдите в тексте стилистические приемы и определите их тип.
Демоверсия экзаменационного варианта
КАФЕДРА ЗАРУБЕЖНОЙ ЛИНГВИСТИКИ
Магистратура 45.04.01 Филология
Профиль «Индоевропейские языки в контексте педагогического дизайна»
ЭКЗАМЕНАЦИОННЫЙ БИЛЕТ №1
Задание 1. Перевод художеств. текста: переведите устно приведенный ниже отрывок.
Задание 2. Морфологический анализ: проанализируйте грамматические конструкции.
Демоверсия экзаменационного варианта
КАФЕДРА ЛИНГВОДИДАКТИКИ И ПЕРЕВОДОВЕДЕНИЯ
Магистратура 45.04.02 Лингвистика
Профиль «Профессионально ориентированный перевод»
ЭКЗАМЕНАЦИОННЫЙ БИЛЕТ №1
Задание 1. Перевод художеств. текста: переведите устно приведенный ниже отрывок.
Задание 2. Анализ переводческих трансформаций.
Демоверсия экзаменационного варианта
КАФЕДРА ЗАРУБЕЖНОЙ ЛИНГВИСТИКИ
Магистратура 45.04.03 Фундаментальная и прикладная лингвистика
Профиль «Прикладная лингвистика и текстовая аналитика»
ЭКЗАМЕНАЦИОННЫЙ БИЛЕТ №1
Задание 1. Перевод художеств. текста: переведите устно приведенный ниже отрывок.
Задание 2. Лингвистический анализ: проанализируйте дискурсивные явления в тексте.
Пример текста для перевода:
DAY 1
Contact
1. The Country Of Lost Borders
A man with binoculars. That is how it began: with a man standing by the side of the road, on a crest overlooking a small Arizona town, on a winter night.
Lieutenant Roger Shawn must have found the binoculars difficult. The metal would be cold, and he would be clumsy in his fir parka and heavy gloves. His breath, hissing out into the moonlit air, would have fogged the lenses. He would be forced to pause to wipe them frequently, using a stubby gloved finger.
He could not have known the futility of this action. Binoculars were worthless to see into that town and uncover its secrets. He would have been astonished to learn that the men who finally succeeded used instruments a million times more powerful than binoculars.
There is something sad, foolish, and human in the image of Shawn leading against a boulder, propping his arms on it, and holding the binoculars to his eyes. Though cumbersome, the binoculars would at least feel comfortable and familiar in his hands. It would be one of the last familiar sensations before his death.
We can imagine, and try to reconstruct, what happened from that point on.
Lieutenant Shawn swept over the town slowly and methodically. He could see it was not large, just a half-dozen wooden buildings, set out along a single main street. It was very quiet: no lights, no activity, no sound carried by the gentle wind.
He shifted his attention from the town to the surrounding hills. They were low, dusty, and blunted, with scrubby vegetation and an occasional withered yucca tree crusted in snow. Beyond the hills were more hills, and then the flat expanse of the Mojave Desert, trackless and vast. The Indians called it the Country of Lost Borders.
Lieutenant Shawn found himself shivering in the wind. It was February, the coldest month, and it was after ten. He walked back up the road toward the Ford Econovan, with the large rotating antenna on top. The motor was idling softly; it was the only sound he could hear. He opened the rear doors and climbed into the back, shutting the doors behind him.
He was enveloped in deep-red light: a night light, so that he would not be blinded when he stepped outside. In the red light the banks of instruments and electronic equipment glowed greenly.
Private Lewis Crane, the electronics technician, was there, also wearing a parka. He was hunched over a map, making calculations with occasional reference to the instruments before him.
Shawn asked Crane if he were certain they had arrived at the place, and Crane confirmed that they had. Both men were tired: they had driven all day from Vandenberg in search of the latest Scoop satellite. Neither knew much about the Scoops, except that they were a series of secret capsules intended to analyze the upper atmosphere and then return. Shawn and Crane had the job of finding the capsules once they had landed.
In order to facilitate recovery, the satellites were fitted with electronic beepers that began to transmit signals when they came down to an altitude of five miles.
From M. Crichton’s The Andromeda Strain
СПИСОК ЛИТЕРАТУРЫ
(Теория перевода, стилистический анализ текста)
- Алексеева И.С. Введение в переводоведение: учеб. пособие для студ. филол. и лингв. факультетов высш. учеб. заведений. – СПб.: Филологический факультет СПбГУ; Издательский центр «Академия», 2013. – 352 с.
- Арнольд, И.В. Стилистика современного английского языка (стилистика декодирования): учеб. пособие / И.В. Арнольд. 3-е изд. – М.: Просвещение, 1990. – 300 с.
- Арнольд, И.В. Стилистика. Современный английский язык: учебник для вузов / И.В. Арнольд; науч. ред. П.Е. Бухаркин. – 10-е изд., стер. – М.: Флинта, 2010. – 384 с.
- Гальперин И.Р. Стилистика английского языка: учебник / И.Р. Гальперин. 3-е изд. – М.: Высш. шк., 1981.– 334 с.
- Гуревич, В.В. English Stylistics: Стилистика английского языка: учебное пособие / В.В. Гуревич. – Изд. 5-е. – М.: Флинта, 2011. – 69 с.
- Казакова Т.А.Художественный перевод: теория и практика: учебник. – СПб.: Инъязиздат, 2006. – 544 с.
- Комиссаров В.И. Современное переводоведение · Издательство: М.: Р.Валент; Издание 2-е, испр., 2011, 408 с.
- Комиссаров, В.Н. Теория перевода. Лингвистические аспекты: Учебник для ВУЗов - М.: Альянс, 2013. - 253 c.
- Крылова, М.Н. Средства художественной выразительности. Тропы: учебное пособие / М.Н. Крылова. – М.: Директ-Медиа, 2014. – 101 с.
- Кухаренко В.А. Практикум по стилистике английского языка: учеб. пособие / В.А. Кухаренко. – Изд. 6-е. – Москва: Флинта: Наука, 2012. – 183 с.
- Рецкер, Я. И. Теория перевода и переводческая практика. Очерки лингвистической теории перевода [Текст] / Я. И. Рецкер ; доп. и коммент. Д. И. Ермоловича. – 4-е изд., стер. – М.: Р. Валент, 2010. – 240 с.
- Солганик, Г.Я. Основы лингвистики речи: пособие / Г.Я. Солганик. – М.: МГУ, 2010. – 128 с.
- Стилистические аспекты перевода: учеб. пособие / О.А. Сулейманова и др. – М.: Академия, 2010. – 176 с
- Чанышева З.З. Перевод и переводоведение. – Уфа: РИЦ БашГУ, 2008. – 253 с.
- Швейцер, А.Д. Теория перевода: Статус, проблемы, аспекты / А.Д. Швейцер. - М.: КД Либроком, 2019. - 216 c.
Геология
ПРОГРАММА
вступительного испытания
для поступающих в магистратуру по направлению подготовки
05.04.01 «Геология»
программа (профиль)
«Геология и геохимия полезных ископаемых»
ОБЩИЕ ПОЛОЖЕНИЯ
Вступительные испытания предназначены для определения практической и теоретической подготовленности поступающего в магистратуру и проводятся с целью определения соответствия знаний умений и навыков требованиям обучения магистратуры по направлению подготовки 05.04.01 «Геология» (магистратура).
Программа составлена в соответствии с требованиями федерального государственного образовательного стандарта высшего профессионального образования.
Вступительные испытания в магистратуру проводят экзаменационные комиссии, назначенные председателем приёмной комиссии УУНиТ.
ПРОЦЕДУРА ВСТУПИТЕЛЬНОГО ИСПЫТАНИЯ
Дата и время проведения вступительного испытания и консультации определяются расписанием вступительных испытаний, которое утверждается председателем приемной комиссии.
Перед вступительным испытанием для поступающих проводится консультация по содержанию программы испытания, критериям оценки, предъявляемым требованиям, правилам поведения на испытании.
Форма вступительного испытания (в соответствии Положением о вступительных испытаниях УУНИТ): тестирование.
Вступительные испытания в виде электронного тестирования проводятся в соответствии с программами вступительных испытаний, утверждаемых председателем предметной комиссии.
Вступительные испытания в форме тестирования включают вопросы как закрытого, так и открытого типа, а также задания в аудио- и видеоформатах.
Составление вариантов экзаменационных заданий в форме электронных тестов осуществляется ответственным секретарем приемной комиссии университета.
Из вариантов экзаменационных заданий формируются комплекты вопросов-тестов.
Компоновку комплектов вопросов-тестов ответственный секретарь, заместитель ответственного секретаря производят до вступительных испытаний.
Тест содержит 40 тестовых вопросов.
Результаты испытаний оцениваются по 100 бальной шкале.
Абитуриент, не согласный с оценкой, полученной на ВИ и (или) в связи с нарушением процедуры проведения ВИ имеет право подать апелляцию. Процедура подачи и рассмотрения апелляции регламентируется Положением об апелляционной комиссии УУНиТ.
КРИТЕРИИ ОЦЕНИВАНИЯ ОТВЕТА
Критериями оценки экзаменационного ответа, поступающего в магистратуру являются полнота, логичность, доказательность, прочность, осознанность знаний и теоретическая обоснованность суждений, самостоятельность в интерпретации информации, практическая направленность, уровень овладения профессиональными умениями менеджера и др.
В случае тестирования является правильные ответы на тестовые задания.
При проверке количество первичных баллов переводится в итоговую 100 балльную шкалу через информационную платформу университета.
СОДЕРЖАНИЕ РАЗДЕЛОВ И ТЕМ ПРОГРАММЫ ВСТУПИТЕЛЬНОГО ИСПЫТАНИЯ
- Общая и региональная геология
- Общая геология
- Региональная геология
- Минералогия
- Генетическая минералогия. Химический состав и физические свойства минералов. Минералы как геотермометры, геобарометры, геологические «часы»
- Поисковая минералогия. Шлиховой анализ. Технологическая минералогия.
3)Литология
1. Седиментогенез. Состав и строение осадочных отложений
2. Фациальный анализ континентальных и морских комплексов осадочных отложений.
4) Геотектоника и геодинамика
1. Земная кора: состав и строение различных типов. Глобальные и региональные тектонические структуры, их природа и развитие.
2. Геодинамика литосферы, режимы эволюции континентов и океана
5) Геология полезных ископаемых
1. Генетические типы, состав, структура и моделирование месторождений
2. Глобальная, региональная, специальная минерагения. Базовые принципы прогнозирования минеральных месторождений
6) Геология и геохимия горючих полезных ископаемых
1. Геология, геохимия, генезис, прогноз, оценка и разработка месторождений каустобиолитов угольного ряда.
2. Геология, геохимия, генезис, прогноз, оценка и разработка месторождений каустобиолитов нефтяного ряда.
7) Геохимия
1. Геохимия отдельных элементов, геохимические системы и поля
2. Прикладная геохимия: прогнозно-оценочный и экологический аспекты.
8) Стратиграфия и палеонтология
1. Базовые принципы стратиграфии. Время в геологии, относительный и абсолютный возраст геологических образований. Историческая геология.
2. Задачи и принципы биостратиграфических исследований. Планетарный и региональный геологические аспекты эволюции органической жизни Земли.
9) Геофизика
1. Физические поля Земли, природа, структура, экологическое значение.
2. Поисковая геофизика: задачи, методы и принципы комплексирования
10) Гидрогеология и инженерная геология
1. Гидродинамика, гидрогеохимия, использование и охрана подземных вод.
2) Инженерно-геологические изыскания как основа строительства и инструмент прогнозирования и снижения геоэкологических рисков.
Демоверсия экзаменационного варианта
Пробный тест
ВАРИАНТ №2
Тесты для проведения вступительных испытаний в магистратуру по направлению 05.04.01 «Геология», профилю «Геология и геохимия полезных ископаемых»
(составитель руководитель программы магистратуры доктор геол.-мин. наук, проф. С.К.Мустафин)
|
№ |
Вопрос |
Варианты ответа |
|
|
Структура, в которой контур одного зерна является одновременно контуром соседнего зерна – это |
1. Сфероагрегатная структура; 2. Конформнозернистая структура; 3. Мозаичная структура; 4. Биоморфная структура |
|
|
Размер частиц обломочной породы 0,3 мм. |
1. Крупнозернистым алевролитом; 2. Тонкозернистым песчаником; 3. Мелкозернистым песчаником; 4. Среднезернистым песчаником |
|
|
Размер частиц обломочной породы 0,07 мм. Порода является |
1. Крупнозернистым алевролитом; 2. Тонкозернистым песчаником; 3. Мелкозернистым песчаником; 4. Среднезернистым песчаником |
|
|
Преобладающий размер галек в конгломерате 30 мм – он является
|
1. Гравийным; 2. Мелкогалечным; 3. Среднегалечным; 4. Крупногалечным |
|
|
Соотношение поперечников обломочного зерна 1 : 1,2 : 1,5. Оно относится к
|
1. Удлиненным; 2. Уплощенным; 3. Изометричным; 4. Уплощенно-удлиненным |
|
|
Что является преобладающим классом углеводородных соединений в составе нефтей? |
1. Алканы 2. Цикланы 3. Арены 4. Асфальтены |
|
|
К «сухим» газам относятся природные УВ – газы с содержанием метана |
1. 80% 2. 60% 3. 95% и более 4. 74% и менее |
|
|
С чего начинается образование (УВ) из органического вещества (ОВ) по «сапропелевой» теории И.М. Губкина? |
1. Захоронения органического вещества 2. Биохимического преобразования 3. Литохимического преобразования 4. Динамо-химического преобразования |
|
|
На каких глубинах погружения осадков в разрезе осадочных бассейнов фиксируется главная зона нефтеобразования (ГЗН)? |
1. 5-6 км 2. 7-8 км 3. 1,5-4,5 км 4. 10-12 км |
|
|
Преобразование осадка в осадочную породу в процессе уплотнения и физико-химического превращения и уравновешивания сред – это стадия … |
1. Седиментогенеза 2. Метаморфизма 3. Диагенеза 4. Полигенеза |
|
|
Соотношение поперечников обломочного зерна 1 : 1,2 : 1,9. |
1. Удлиненным; 2. Уплощенным; 3. Изометричным; 4. Уплощенно-удлиненным |
|
|
Порода состоит из окатанных обломков андезитовых туфов, аргиллитов, кварцитов, кварца (перечислены в по-рядке убывания), размером от 20 до 80 мм. Это |
1. Туффит; 2. Туфоконгломерат; 3. Полимиктовый конгломерат; 4. Агломератовый туф
|
|
|
Песчаник состоит из зерен кварца (85%), полевых шпатов (10%) и основ-ной массы эффузивов (5%) – это песчаник |
1. Аркозовый; 2. Граувакковый; 3. Олигомиктовый; 4. Кварцевый |
|
|
Песчаник состоит из зерен кварца (95%), полевых шпатов (3%) и основной массы эффузивов (2%) – это песчаник |
1. Аркозовый; 2. Граувакковый; 3. Олигомиктовый; 4. Кварцевый |
|
|
Вулканический туф, состоящий из обломков вулканического стекла – это
|
1. Витрокластический туф; 2. Витринит; 3. Гиалокластит; 4. Витрен |
|
|
Укажите возраст орогенеза Пайхой-Новоземельской складчатой области
|
1, Байкальский; 2. Каледонский; 3. Киммерийский; 4. Альпийский |
|
|
Укажите какие комплексы формируют большую часть разреза фундамента Камчатской части Корякско-Камчатской складчатой области. |
1. Древняя докембрийская кора; 2. Океаническая кора; 3. Островные дуги; 4. Островная дуга и аккреционная призма.
|
СПИСОК ЛИТЕРАТУРЫ
1)Общая и региональная геология
- Милютин А.Г. Геология. Издание 2. Высшая Школа, Москва, 2008 г., 448 с.
- Гущин А.И., Романовская М.А., Стафеев А.Н. и др. Практическое руководство по общей геологии. Издательский центр «Академия», Москва, 2007 г., 160 стр.
- Гаврилов В.П. Общая и историческая геология. Геология СССР. Недра, Москва, 1989 г., 495 стр.
- Гумерова Н. В., Кныш С. К. и др. Основы структурной, исторической и региональной геологии. Учебное пособие. Издание: Издательство Томского Политехнического Университета, Томск, 2009 г. – 375 с.
2) Минералогия
- Станкеев Е. А. Генетическая минералогия, М.: Недра, 1986. -272 с.
- Гинзбург А. И., Кузьмин В. И., Сидоренко Г. А.. Минералогические исследования в практике геологоразведочных работ, —Издание: Недра, Москва, 1981 г. – 237 с.
- Бакулина Л. П. Поисковая минералогия. Метод. указания для выполнения курсовой работы. Издание: УГТУ, Ухта, 2013 г.- 20 с.
- . Юшкин Н.П. Топоминералогия. Недра, Москва, 1982 г., 288 стр.
3) Литология
1. Япаскурт О. В. Литология. 2-е изд., перераб. и доп., Москва: ИНФРА-М, 2023.
2. Кузнецов В. Г. «Соляные породы, состав, строение, происхождение, методы исследования», М.: РГУ нефти и газа, 2002.
3. Кузнецов В. Г. «Кремнистые породы. Состав, строение, происхождение», , М.: РГУ нефти и газа, 2003.
4. Кузнецов В. Г. «Глинистые породы. Состав, строение, происхождение, методы исследования», М.: РГУ нефти и газа, 2008.
5. Селли Р.Ч. «Древние обстановки осадконакопления» (М.: Недра, 1989) — 294 с.
6. Романовский С.И. «Физическая седиментология. (Л.: Недра, 1988) — 240 с
4) Геотектоника и геодинамика
1. Ломизе М.Г., Хаин В.Е. Геотектоника с основами геодинамики. Издание:КДУ, Москва, 2005 г., 560 стр.,
2. Трегуб А. И., Ненахов В.М., Бондаренко С. В. Геотектоника и геодинамика
Учебник для вузов /— Москва : Издательство Юрайт, 2025. — 208 с.
3. Кузьмин Ю. О., Жуков В. С. Современная геодинамика и вариации физических свойств горных пород»: уч. пособие. Москва: Горная книга,2012.
4. Лобковский Л. И., Никишин А. М., Хаин В. Е. Современные проблемы геотектоники и геодинамики. Москва: Научный мир, 2004. – 610 с.
5) Геология полезных ископаемых
1. Рихтер Я.А. Геология полезных ископаемых. Учебное пособие (курс лекций). Саратовский госуниверситет, 2015. – 121 с.
2. Семинский Ж. В. ,. Мальцева Г. Д и др. Геология и месторождения полезных ископаемых : учебник для вузов - 2-е изд., испр. и доп. — Москва : Издательство Юрайт, 2025. — 347 с.
3. Старостин В.И., Игнатов П.А. Геология полезных ископаемых. М.: МГУ, 2023. – 448 с.
4. Лебедев И.П., Кориш Е.Х. Савко К.А. и др. Геология месторождений полезных ископаемых. Воронеж: ВГУ, 2009. – 114 с.
5. Туртыгина Н. А., Охрименко А. В. Компьютерное моделирование рудных месторождений при планировании горных работ. Учебное пособие,Норильск: НГИИ, 2019. - 142 с.
6. Золоева Г. М., Жемжурова З. Н. и др. Практический курс геологического моделирования. Учебное пособие, М.: Издательский дом «Недра», 2010 г., - 319 с.
6) Геология и геохимия горючих полезных ископаемых
1. Богомолов А. Х., Голицын А. М. и др. Геология и геохимия горючих ископаемых. Часть 2. Твёрдые горючие ископаемые. КДУ, Москва, 2012 г., 236 с.
2. Баженова О. К. , Бурлин Ю. К. , Соколов Б. А. и др.. Геология и геохимия нефти и газа. Учебник. Издательство МГУ, Москва, 2000 г., 384 с.
3. Самойлик В. Г. Физико-химические свойства горючих ископаемых и методы их исследования: учеб. пособие для вузов. – Донецк:ДОННТУ, 2017 – 193 с.
4. Кожевникова Е. Е. Геология и геохимия нефти и газа [Электронный ресурс]: учебное пособие; Пермский национальный исследовательский университет. – Электронные данные. – Пермь, 2020. – 2,25 Мб; 90 с.
5. Тер-Саркисов Р. М., Максимов В. М. и др. Геологическое и гидротермодинамическое моделирование месторождений нефти и газа... Книга из серии «Современные нефтегазовые технологии», издательство «ИКИ», 2012. – 452 с.
7) Геохимия
1. Родыгина В.Г. Курс геохимии: Учебник для вузов. - Томск: 2Изд-во НТЛ,
2006.-288 с.:
2. Яковлев Д.А., Радомская Т. А. Общая геохимия. Уч. пособие. М.: Вологда. Изд-во: Инфра-Инженерия, 2021.- 304 с.
3. Стримжа Т. П., Леонтьев С. И. Прикладная геохимия, Учебное пособие, Красноярск: Сибирский федеральный университет, 2015.
4. Овчинников Л. Н.. Прикладная геохимия, М.: «Недра», 1990.
5. Сает Ю. Е., Ревич Б. А., Янин Е. П. Геохимия окружающей среды. М.: Недра, 1990.
8) Стратиграфия и палеонтология
1. Титоренко Т. Н. , Корольков А. Т. и др. Основы стратиграфии: проблемы и метод» Учебное пособие, Иркутск: Изд-во ИГУ, 2014.
2. Попов А. В. Измерение геологического времени: принципы стратиграфии и закономерности эволюции,. Учебное пособие, СПб.: изд-во С.-Петерб. ун-та, 2003.
3. Прозоровский В. А. Общая стратиграфия. Учебник для студентов учреждений высшего профессионального образования, 2-е изд., переработанное и дополненное, М.: Издательский центр «Академия», 2010.
4. Габдуллин Р. Р. , Копаевич Л. Ф. , Иванов А. В. Секвентная стратиграфия. Учебное пособие, М.: МАКС Пресс, 2008.
5. Михайлова И. А., Бондаренко О. Б. Палеонтология. Серия «Классический университетский учебник». 2-е изд, перераб. и доп. - М.: МГУ, 2006. -592 с.
6. Михайлова И. А., Бондаренко О. Б. Палеонтология. 2 том (определитель беспозвоночных. Издательство Московского университета, Москва, 1997 г., 496 с.
7. Юрина А. Л., Орлова О. А.Палеоботаника. Высшие растения. Издательство Московского университета, Москва, 2010 г., 224 с.
9) Геофизика
1. Костицын В. И., Хмелевской В. К. Геофизика: учебник / В. И. Костицын, В. К. Хмелевской; Перм. гос. нац. исслед. ун-т. – Пермь, 2018 – 428 с.:
2. Балоян Б. М., Рукин М. Д. , Хмелевской В. К. Геофизика для геологов и экологов: учебник и практикум для вузов.— 2-е изд., перераб. и доп. — Москва : Издательство Юрайт, 2025. — 412 с. — (Высшее образование).
3. Рыскин М.И. Геофизика для геологов. Саратовский государственный университет имени Н.Г.Чернышевского, 2012. – 156 с.
4. Хмелевской В.К., Горбачев Ю.И. Геофизические методы исследований. Учебное пособие для геологических специальностей вузов.
Петропавловск-Камчатский: изд-во КГПУ, 2004, 232 с.
5. Аплонов С.В. Титов К.В. Геофизика для геологов: Учебник. СПб.: СПбГУ, 2012. – 248 с.
6. Геофизика. Учебник. /Под редакцией В.К. Хмелевского. – М.: КДУ, 2007. – 320 с.
10) Гидрогеология и инженерная геология
1. Гальперин А. М. , Зайцев В. С. , Мосейкин В. М. и др. Гидрогеология и инженерная геология. Учебник— Москва: МИСИС, 2019.
2. Соловицкий А. Н. Гидрогеология. учебное пособие,— Кемерово: КемГУ, 2019.
3. Леонова А. В. Основы гидрогеологии и инженерной геологии. Учебное пособие.— Томск: Изд-во ТПУ, 2011.
4. Смирнова А.Я., Бабкина О.А. Практическая гидрогеология. Учебное пособие для вузов. Воронеж: ВГУ, 2008. – 44с.
5. Украинский И. С., Каменчуков А. В., Павликов А. Б. Инженерная геология : учебное пособие /; научный редактор С. Н. Томилов. /Тихоокеанский государственный университет. - Хабаровск : Изд-воТихоокеан. гос. ун-та, 2022. – 203 с.
6. Сергеев Е. М. и др. (ред.) «Методическое пособие по инженерно-геологическому изучению горных пород», в 2 томах, М.: Недра, 1984;
7. Трофимов В. Т., Королев В. А. (ред.) «Практикум по грунтоведению», М.: Изд-во МГУ, 1993.
8. Сергеев Е. М. (ред.) «Теоретические основы инженерной геологии. Физико-химические основы», М.: Недра, 1985; 1
9. Сергеев Е. М. (ред.) «Теоретические основы инженерной геологии. Геологические основы», М.: Недра, 1985; 1
10. Сергеев Е. М. (ред.) «Теоретические основы инженерной геологии. Социально-экономические аспекты», М.: Недра, 1985;
11. Королев В. А. «Инженерная и экологическая геодинамика», электронный учебник на СD, М.: 2004;
12. Золотарев Г. С. «Инженерная геодинамика», учебник, М.: Изд-во МГУ, 1983;
13. Иванов И. П., Тржцинский Ю. Б. «Инженерная геодинамика», учебник, СПб.: Наука, 2001;
14. Золотарев Г. С. (ред.) «Учебное пособие по инженерной геологии», М.: Изд-во МГУ, 1989;
14. Бондарик Г. К. «Методика инженерно-геологических исследований», М.: Недра, 1986.
Основы финансового и налогового права
ПРОГРАММА
вступительного испытания
для поступающих в магистратуру по направлению подготовки
40.04.01 «Юриспруденция»
программа (профиль)
«Юрист в сфере финансовой и налоговой деятельности»
ОБЩИЕ ПОЛОЖЕНИЯ
Вступительное испытание предназначено для определения практической и теоретической подготовленности поступающего в магистратуру и проводится с целью определения соответствия знаний умений и навыков требованиям обучения магистратуры по направлению подготовки 40.04.01 «Юриспруденция» профиля «Юрист в сфере финансовой и налоговой деятельности» (магистратура).
Программа составлена в соответствии с требованиями федерального государственного образовательного стандарта высшего профессионального образования.
Вступительные испытания в магистратуру проводят экзаменационные комиссии, назначенные председателем приёмной комиссии УУНиТ.
ПРОЦЕДУРА ВСТУПИТЕЛЬНОГО ИСПЫТАНИЯ
Дата и время проведения вступительного испытания определяются расписанием вступительных испытаний, которое утверждается председателем приемной комиссии.
Перед вступительным испытанием для поступающих проводится консультация по содержанию программы испытания, критериям оценки, предъявляемым требованиям, правилам поведения на испытании.
Форма вступительного испытания (в соответствии Положением о вступительных испытаниях УУНиТ): устно-письменная.
Экзаменационные билеты включают три вопроса по настоящей программе вступительных испытаний.
В аудитории, где проводится вступительное испытание в устно-письменной форме, не может находиться одновременно более 6 человек. Нахождение в аудитории посторонних лиц не допускается.
Вступительное испытание может проводиться с применением дистанционных технологий с использованием ВКС.
В случае проведения вступительного испытания с применением дистанционных технологий с использованием ВКС обязанность обеспечить наличие соответствующей технической возможности (в том числе наличие устройств для ВКС и Интернет-соединения) возлагается на абитуриента.
Абитуриенту предоставляется право готовиться к ответу в течение 30 минут.
Абитуриенту предоставляется право ответа на экзаменационные вопросы в течение 20-25 минут.
В процессе сдачи вступительного испытания абитуриенту могут быть заданы дополнительные вопросы как по содержанию экзаменационного билета, так и по любым разделам предмета в пределах программы вступительного испытания.
Абитуриент, не согласный с оценкой, полученной на ВИ и (или) в связи с нарушением процедуры проведения ВИ имеет право подать апелляцию. Процедура подачи и рассмотрения апелляции регламентируется Положением об апелляционной комиссии УУНиТ.
КРИТЕРИИ ОЦЕНИВАНИЯ ОТВЕТА
Критериями оценки экзаменационного ответа, поступающего в магистратуру являются полнота, логичность, доказательность, прочность, осознанность знаний и теоретическая обоснованность суждений, самостоятельность в интерпретации информации, практическая направленность, уровень овладения профессиональными умениями и др.
Результаты вступительного испытания определяются по 100-балльной шкале, разброс баллов представлен ниже в таблице:
|
№ |
Критерии оценивания |
Оценка |
|---|---|---|
|
1 |
Дан полный развернутый ответ на теоретический вопрос, в том числе грамотно использована научная терминология; четко сформулирована проблема, доказательно аргументированы выдвигаемые тезисы, указаны основные точки зрения, принятые в научной литературе по рассматриваемому вопросу; аргументирована собственная позиция или точка зрения, обозначены наиболее значимые в данной области научно-исследовательские проблемы. |
75-100 баллов «отлично» |
|
2 |
Дан в целом правильный ответ на теоретический вопрос:
|
46-74 балла «хорошо» |
|
3 |
Дан в основном правильный ответ на теоретический вопрос:
|
25-45 баллов «удовлетворительно» |
|
4 |
Дан фрагментарный ответ или неправильный ответ на теоретический вопрос из предложенного тематического раздела, в том числе отмечается наличие существенных пробелов в знаниях; отмечается отсутствие знания терминологии, научных оснований, признаков, характеристик рассматриваемой проблемы;
|
0-24 балла «неудовлетворительно» |
СОДЕРЖАНИЕ РАЗДЕЛОВ И ТЕМ ПРОГРАММЫ ВСТУПИТЕЛЬНОГО ИСПЫТАНИЯ
- Понятие и роль финансов. Финансовая система РФ
- Финансовая деятельность государства и муниципальных образований: понятие, роль, методы
- Понятие финансового права: предмет, методы и система финансового права
- Принципы и источники финансового права
- Понятие и особенности финансово-правовых норм, их характеристика
- Понятие, содержание и особенности финансовых правоотношений. Субъекты финансовых правоотношений
- Понятие, основное содержание, функции и виды финансового контроля
- Понятие и признаки финансово-правовой ответственности как самостоятельного вида юридической ответственности. Финансово-правовые санкции.
- Финансовое правонарушение. Состав финансового правонарушения, его элементы.
- Порядок защиты прав и законных интересов субъектов финансовых правоотношений
- Понятие, роль и правовая форма государственного и местного бюджетов. Понятие и предмет бюджетного права. Принципы бюджетного права.
- Бюджетные правоотношения. Виды бюджетных правоотношений. Субъекты и объекты бюджетных правоотношений.
- Бюджетная система и бюджетное устройство РФ.
- Понятие бюджетного процесса и его принципы. Стадии бюджетного процесса, последовательность их прохождении
- Понятие, классификация и основы правового регулирования целевых государственных и муниципальных фондов
- Понятие и основы правового регулирования государственных и муниципальных доходов
- Государственные расходы как финансово-правовая категория. Понятие и система государственных и муниципальных расходов.
- Налоги, их понятие и роль. Понятие налога как финансово-правовой категории, его публичный характер. Фискальная роль налогов.
- Налоговое право России, его источники. Понятие налогового права. Источники налогового права. Налоговый кодекс Российской Федерации.
- Правовые основы государственного и муниципального кредита.
- Государственный и муниципальный долг как результат функционирования государственного и муниципального кредита. Виды государственного долга. Внутренний и внешний государственный и муниципальный долг.
- Понятие и сущность финансов предприятий. Финансы предприятий как звено финансовой системы. Финансы государственных и муниципальных предприятий, их особенности.
- Понятие страхования как звена финансовой системы государства. Финансово-правовое регулирование страхования.
- Понятие денежной системы. Денежная система РФ: понятие, элементы, правовые основы.
- Понятие и содержание валютного регулирования, особенности регулирования валютных отношений в Российской Федерации в современных условиях.
- Правовые основы валютного контроля. Понятие, цель и функции валютного контроля. Органы и агенты валютного контроля.
- Понятие, задачи и цели бухгалтерского и налогового учета. Правовые основы регулирования бухгалтерского и налогового учета в организациях.
- Аудит и аудиторская деятельность: понятие, его законодательное регулирование. Стандарты аудиторской деятельности.
- Понятие и правовые формы осуществления инвестиционной деятельности. Инвестиционная деятельность государства как объект финансово-правового регулирования.
- Финансово-правовое регулирование таможенных правоотношений.
- Понятие банковской деятельности. Правовые основы банковской деятельности.
- Банковское право, конституционные основы банковского права.
- Банковские правоотношения и их виды. Субъекты и структура банковских правоотношений
- Источники банковского права. Понятие и виды банковско-правовых норм. Особенности банковско-правовой нормы, ее структура
- Понятие и структура банковской системы РФ.
- Правовой статус Центрального банка РФ.
- Банковский надзор.
- Кредитные организации. Регистрация и лицензирование кредитных организаций.
- Виды банков, их характеристика. Филиалы и представительства банков. Коммерческие банки.
- Небанковские кредитные организации.
- Банковская информация и банковская тайна.
- Правовая природа банковского счета.
- Банковские расчетные отношения и межбанковские корреспондентские отношения
- Порядок открытия счетов и форма договора банковского счета.
- Бесспорное списание денег со счета клиента.
- Банковские операции и другие сделки, осуществляемые кредитными организациями. Активные и пассивные операции банков.
- Правовое регулирование организации платежного оборота.
- Правовые основы обращения наличных денег и организации наличных расчетов. Понятие кассовых операций.
- Понятие, принципы и виды банковского кредита. Содержание и форма кредитного договора.
- Особенности обеспечения банковского кредитования.
- Банковская гарантия и проблемы ее применения
- Валютные счета и валютные операции коммерческих банков: понятие, виды.
- Особенности правового статуса уполномоченного банка.
- Правовое положение государственной корпорации «Агентство по страхованию вкладов». Организационно-правовая форма Агентства по страхованию вкладов.
- Правовое регулирование операций кредитных организаций с ценными бумагами.
- Правовой механизм противодействия легализации (отмывания) доходов, полученных преступным путем, в кредитных организациях Российской Федерации
- Национальная платежная система России: понятие, правовая характеристика.
- Цифровая валюта: понятие, правовая характеристика.
Демоверсия экзаменационного варианта
|
|---|
СПИСОК ЛИТЕРАТУРЫ
- Крохина Ю.А. Финансовое право России: учебник /Ю.А. Крохина. – Москва: Норма: Инфра-М, 2023;
- Финансовое право. Ответственные редакторы Н.И. Химичева, Е.В. Покачалова. – М.: Норма, 2023.
- Банковское право : учебник и практикум для вузов / В. Ф. Попондопуло [и др.] ; под редакцией В. Ф. Попондопуло, Д. А. Петрова. — 3-е изд., перераб. и доп. — Москва : Издательство Юрайт, 2023. — 437 с. — (Высшее образование). — ISBN 978-5-534-16301-8. — Текст : электронный // Образовательная платформа Юрайт [сайт]. — URL: https://urait.ru/bcode/530768.
- Ручкина, Г. Ф. Банковское право : учебник и практикум для вузов / Г. Ф. Ручкина, Е. М. Ашмарина, Ф. К. Гизатуллин. — 4-е изд., перераб. и доп. — Москва : Издательство Юрайт, 2023. — 471 с. — (Высшее образование). — ISBN 978-5-534-10956-6. — Текст : электронный // Образовательная платформа Юрайт [сайт]. — URL: https://urait.ru/bcode/510981.
- Тедеев, А. А. Налоговое право России : учебник для вузов / А. А. Тедеев, В. А. Парыгина. — 8-е изд., перераб. и доп. — Москва : Издательство Юрайт, 2023. — 410 с. — (Высшее образование). — ISBN 978-5-534-14606-6. — Текст : электронный // Образовательная платформа Юрайт [сайт]. — URL: https://urait.ru/bcode/510724.
Управление системами образования
ПРОГРАММА
вступительного испытания
для поступающих в магистратуру по направлению подготовки
44.04.01 «Педагогическое образование»
программа (профиль)
«Управление системами образования»
ОБЩИЕ ПОЛОЖЕНИЯ
Вступительные испытания предназначены для определения практической и теоретической подготовленности поступающего в магистратуру и проводятся с целью определения соответствия знаний умений и навыков требованиям обучения магистратуры по направлению подготовки 44.04.01 «Педагогическое образование» (магистратура), Программа составлена в соответствии с требованиями федерального государственного образовательного стандарта высшего профессионального образования.
Вступительные испытания в магистратуру проводят экзаменационные комиссии, назначенные председателем приёмной комиссии УУНиТ.
ПРОЦЕДУРА ВСТУПИТЕЛЬНОГО ИСПЫТАНИЯ
Дата и время проведения вступительного испытания и консультации определяются расписанием вступительных испытаний, которое утверждается председателем приемной комиссии.
Перед вступительным испытанием для поступающих проводится консультация по содержанию программы испытания, критериям оценки, предъявляемым требованиям, правилам поведения на испытании.
Форма вступительного испытания (в соответствии Положением о вступительных испытаниях УУНИТ): устно-письменная.
Вступительные испытания в виде устного, устно-письменного, устного с элементами тестирования проводятся в соответствии с программами вступительных испытаний, утверждаемых председателем приемной комиссии.
Экзаменационные билеты включают два или три вопроса по направлению подготовки (по специальности).
В аудитории, где проводится вступительное испытание в устной форме, не может находиться одновременно более 6 человек. Нахождение в аудитории посторонних лиц не допускается.
Абитуриенту предоставляется право готовиться к ответу в течение 30 минут.
Абитуриенту предоставляется право ответа на экзаменационные вопросы в течение 20-25 минут.
В процессе сдачи вступительного испытания абитуриенту могут быть заданы дополнительные вопросы как по содержанию экзаменационного билета, так и по любым разделам предмета в пределах программы вступительного испытания.
Абитуриент, не согласный с оценкой, полученной на ВИ и (или) в связи с нарушением процедуры проведения ВИ имеет право подать апелляцию. Процедура подачи и рассмотрения апелляции регламентируется Положением об апелляционной комиссии УУНиТ.
КРИТЕРИИ ОЦЕНИВАНИЯ ОТВЕТА
Критериями оценки экзаменационного ответа, поступающего в магистратуру являются полнота, логичность, доказательность, прочность, осознанность знаний и теоретическая обоснованность суждений, самостоятельность в интерпретации информации, практическая направленность, уровень овладения профессиональными умениями менеджера и др. В случае тестирования является правильные ответы на тестовые задания.
Результаты вступительного испытания определяются по 100-балльной шкале, разброс баллов представлен ниже в таблице:
|
№ |
Критерии оценивания |
Оценка |
|
1 |
Дан полный развернутый ответ на теоретический вопрос:
|
85-100 баллов «отлично» |
|
2 |
Дан в целом правильный ответ на теоретический вопрос:
|
67-84 балла «хорошо» |
|
3 |
Дан в основном правильный ответ на теоретический вопрос:
|
50-66 баллов «удовлетворительно» |
|
4 |
Дан фрагментарный ответ или неправильный ответ на теоретический вопрос из предложенного тематического раздела:
|
0-49 баллов «неудовлетворительно» |
СОДЕРЖАНИЕ РАЗДЕЛОВ И ТЕМ ПРОГРАММЫ ВСТУПИТЕЛЬНОГО ИСПЫТАНИЯ
Педагогика как наука
Происхождение и сущность понятия «педагогика». Критерии науки как сферы человеческой деятельности. Объект и предмет педагогики. Основные свойства педагогической науки: гуманность, социальность, открытость. Функции педагогической науки: теоретическая, технологическая. Основные задачи педагогической науки. Педагогика как единство теории и практики обучения и воспитания подрастающего поколения. Нормативно-правовые основы управления образованием.
Основные категории и понятия педагогической науки
Категориально-понятийный аппарат педагогики: воспитание, обучение, образование, педагогический процесс, педагогическая система, педагогическое взаимодействие, социализация. Общенаучные категории: развитие, формирование и их сущность. Понятие «человек» и его ипостаси (индивид, личность, индивидуальность). Значение определения понятий для развития педагогической науки и практики. Современные процессы обновления понятийного аппарата педагогической науки
Структура педагогической науки и связь ее с другими науками
Внутринаучная дифференциация педагогической науки. Развитие самостоятельных отраслей научно-практического педагогического знания. Сущность связи педагогики с философией, психологией, социологией, физиологией и другими науками. Интегративный процесс в педагогической науке и создание новых отраслей гуманитарных знаний. Основные формы и типы связи педагогики с другими науками.
Педагогический процесс, как система и целостное явление
Сущность педагогического процесса. Понятие о педагогической системе. Виды педагогических систем. Цель как стержневой элемент педагогической системы. Содержание как элемент педагогической системы. Процессуальная сторона функционирования педагогической системы. Сущность авторской педагогической системы. Понятие «система образования». Различные типы образовательных учреждений и их цели. Понятие целостности педагогического процесса. Основные аспекты целостности педагогического процесса (содержательный, организационный). Педагогический процесс как способ организации обучения, воспитания и развития личности учащегося. Компоненты педагогического процесса (целевой, содержательный, операционно-деятельностный, оценочно-результативный). Факторы, определяющие эффективность педагогического процесса. Педагогический процесс как целенаправленное взаимодействие педагогов и воспитанников. Педагогическая ситуация как основа педагогического процесса. Педагогическая задача – основная единица педагогического процесса. Движущие силы педагогического процесса. Педагогическое взаимодействие и его виды.
Теории обучения и воспитания
Сущность воспитания в целостном педагогическом процессе. Воспитание как целенаправленный процесс по созданию условий для развития и формирования личности человека. Объективные и субъективные факторы процесса воспитания. Современные концепции воспитания. Гуманистическая концепция воспитания. Цель и задачи гуманистического воспитания. Воспитание как процесс интериоризации общечеловеческих ценностей. Традиционные и инновационные подходы к воспитанию (личностно ориентированный, деятельностный, культурологический, диалогический, антропологический, индивидуально-творческий). «Концепция духовно-нравственного развития и воспитания личности гражданина России» как ориентир современного воспитания. Сущность обучения. Психологическая структура процесса обучения (ощущение, восприятие, осмысление, понимание, обобщение, закрепление и применение). Характеристика дидактики как науки. Категориально - понятийный аппарат дидактики. Предмет, методы и функции дидактических исследований. Характеристика обучения как дидактического процесса. Теоретико-методологические основы обучения. Конкретизация целей в дидактическом процессе, таксономия учебных целей. Сходство и различия между научным познанием и учебной деятельностью. Противоречия и движущие силы процесса обучения. Логика и закономерности процесса обучения. Категория цели в теории обучения. Роль принципов в теории обучения. Сущность понятия «метод обучения». Классификации и выбор методов обучения. Формы организации обучения. Современный урок как основная форма организации обучения.
Компетентностный подход в образовании
Сущность понятий «компетенция» и «компетентность» в образовании. Компетенция как социальное требование (норма) к образовательной подготовке учащихся. Компетентность как овладение учеником соответствующими компетенциями и совокупность личностных качеств ученика, обусловленных опытом его деятельности в определенной социально и личностно-значимой сфере. Сущность компетентностного подхода в построении педагогического процесса. Иерархия компетенций: ключевые, общепредметные, предметные. Ключевые компетенции отечественного образования (ценностно-смысловые, учебно-познавательные, социокультурные, коммуникативные, информационные, здоровьесберегающие и др.). Деятельностная форма представления компетенций как структурная основа построения образовательных стандартов и учебных программ.
Профессиональная деятельность учителя в педагогической системе
Педагогическая деятельность как решение следующих друг за другом профессиональных задач в педагогической системе. Педагогическая система – сложная непрерывно изменяющаяся социальная система управления, в которой профессионально или непрофессионально (к примеру, многие семьи) решаются успешно или неуспешно образовательно – воспитательные задачи. Компоненты педагогической системы: управляющая подсистема; цель системы как социальный заказ; управляемая подсистема; содержание воспитательно – образовательной работы; социально-нравственные и дидактические отношения между членами системы; педагогические средства системы; организационная форма системы; методы обучения и воспитания; продукты деятельности системы в виде знаний, умений, навыков в структуре мировоззрения характерологических качеств воспитуемых, их состояний и поведения. Педагогическая позиция как отношение педагога к смыслу, ценностям и целям обучения, педагогической науке (осмысление своего призвания позиции профессионала); к преподаванию и содержанию процесса обучения (формирование исследовательского опыта, постижение статуса педагога-исследователя); к ученику как субъекту его собственной жизни, как цели и ценности образования (обретение гуманистической позиции педагога); к себе как развивающейся творческой индивидуальности, способной к диалогу с представителями профессионального сообщества (осознание себя сотрудником, со-творцом, стремление воспитать и сохранить в себе интеллигентность).
Демоверсия экзаменационного варианта
УФИМСКИЙ УНИВЕРСИТЕТ НАУКИ И ТЕХНОЛОГИЙ
Экзаменационный билет №1
- Проблема предмета педагогической науки, сущность, значение для образовательной деятельности
- Что такое дидактика? Определение, полная характеристика
- Что такое компетентность? Педагогическая компетентность? Компетентностный подход?
СПИСОК ЛИТЕРАТУРЫ
- Байдасарова С. К. Психология и педагогика: учеб. пособие для вузов / С.К. Байдасарова, С.И. Самыгин, Л.Д. Столяренко. - М.: ИКЦ Март, 2006. – 315 с.
- Вигман С.Л. Педагогика в вопросах и ответах: Учеб. пособие для вузов / С. Л. Вигман. – М.: Проспект, 2006. – 207 с.
- Головнева Е.В. Теория и методика воспитания: учебное пособие для студентов педагогических вузов /Е.В. Головнева. - М.: Высшая школа, 2009. – с. 256 с.
- Гуревич П. С. Психология и педагогика. Учебник и практикум для академического бакалавриата. Учебник. М.: Юрайт, 2019.– 430 с.
- Джуринский А.Н. История педагогики и образования: учебник для вузов. /А.Н. Джуринский. — М.: Гуманит.изд. центр Владос, 2010. – 400 с.
- Дрозд К. В. Актуальные вопросы педагогики и образования. Учебник и практикум для академического бакалавриата. М.: Юрайт, 2019. – 266 с.
- Емельянова И.Н. Теория и методика воспитания / И.Н. Емельянова. - СПб.: Академия, 2008. – 256 с.
- Каменская Е.Н. Педагогика: Учеб. пособие для вуза / Е.Н. Каменская. - М.: Дашков и К, 2006. – 316 с.
- Каптерев П. Ф. История русской педагогики. Учебное пособие для вузов. В 2-х частях. Часть 2. Общественная педагогия. М.: Юрайт, 2019.– 272 с.
- Коджаспирова, Г. М. Педагогика : учебник для вузов / Г. М. Коджаспирова. — 4-е изд., перераб. и доп. — Москва : Издательство Юрайт, 2023. — 711 с.
- Краевский В.В. Общие основы педагогики: учебник для студентов высших педагогических учебных заведений / В.В. Краевский. — М.: Академия, 2008. – 256 с.
- Краевский В.В. Основы обучения. Дидактика и методика: учебник для студентов педагогических учебных заведений / В.В. Краевский, А.В. Хуторской. - М.: Педагогическое общество России, 2008. – 352 с.
- Кузнецов В.В. Введение в профессионально – педагогическую деятельность В.В. Кузнецов. - М.: Academa, 2007. – 189 с.
- Кукушин В.С. Введение в педагогическую деятельность: Учебное пособие для студентов вузов / Учебное пособие для студентов вузов. - Ростов-на Дону: Феникс, Изд-во центр «Март», 2010. – 256 с.
- Лапина О.А.. Введение в педагогическую деятельность: учебное пособие /О.А. Лапина, Н.Н. Пядушкина. - СПб.: Академия, 2008. – 160 с.
- Латышина Д.И. История педагогики, история образования и педагогической мысли: учеб. пособие / Д.И. Латышина. - М.: Гардарики, 2006. – 603 с.
- Марченко, Г. В. История отечественной школы и педагогики: учебное пособие / Г. В. Марченко, К. М. Водопьянова. — Ростов-наДону: Донской государственный технический университет, 2022. — 231 c.
- Никитина Н.Н. Введение в педагогическую деятельность Учеб. пособие для вузов/ Н.Н. Никитина, Н.В. Кислицина. - 3 – изд. стереотип. - М.: Академия, 2007. – 222 с.
- Островский Э.В., Чернышова Л.И. Психология и педагогика: Учеб. пособие для вузов / Под ред. Э. В. Островского. - М.: Вузовский учебник, 2009. — 380 с.
- Педагогика : учебник и практикум для вузов / Л. С. Подымова [и др.]; под общей редакцией Л. С. Подымовой, В. А. Сластенина. — 2-е изд., перераб. и доп. — Москва: Издательство Юрайт, 2023. — 246 с.
- Пидкасистый, П.И. Педагогика / П.И. Пидкасистый, В.И. Беляев, В.А. Межериков, Т.А. Юзефавичус. - СПб.: Академия, 2010. – 512 с.
- Подласый, И. П. Педагогика : учебник для вузов / И. П. Подласый. — 3-е изд., перераб. и доп. — Москва: Издательство Юрайт, 2023. — 575 с.
- Реан А. А. Психология и педагогика: Учеб. пособие для вузов / А.А. Реан , Н.В. Бордовская, С.И. Розум. - СПб.: Питер, 2008. – 432 с.
- Роботова А.С. Введение в педагогическую деятельность: учеб. пособие для вузов / А.С. Роботова, Т.В. Леонтьева, И.Г. Шапошникова [и др]. - 4-изд., стереотип. - М.: Academa, 2007. – 208 с.
- Савенков, А. И. Педагогика. Исследовательский подход в 2 ч. Часть 1: учебник и практикум для вузов / А. И. Савенков. — 2-е изд., испр. и доп. — Москва: Издательство Юрайт, 2023. — 232 с.
- Сластенин В.А. Педагогика / В.А. Сластенин, И.Ф. Исаев, Е.Н. Шиянов. - СПб.: Академия, 2011. – 576 с.
- Торосян В.Г.История образования и педагогической мысли /В.Г. Торосян. - М.: Владос. Пресс, 2006. – 356 с.
- Сластенин В.А. Психология и педагогика: Учебное пособие для студентов вузов /В.А. Сластенин., В.П. Каширин. - М.: Академия, 2010. - 480 с.
- Федорова Н. М. История педагогики и образования. Управление школьным образованием в России в XIX-XX веках. Учебное пособие для академического бакалавриата. М.: Юрайт, 2019. – 268 с.
- Щуркова Н. Е. Педагогика. Воспитательная деятельность педагога. Учебное пособие для бакалавриата и магистратуры. М.: Юрайт, 2019. – 320 с.
Русский язык
ПРОГРАММА
вступительного испытания
для поступающих в магистратуру по направлениям подготовки
44.04.01 «Педагогическое образование»
программа (профиль)
«Русский язык как иностранный: лингвокультурология и лингводидактика»,
«Цифровые технологии в преподавании русского языка и литературы»
45.04.01 «Филология»
программа (профиль)
«Филология (по профилям) ВШОФ:
Русский язык и современная коммуникация в эпоху цифровизации; Нарративный дизайн;
Современные парадигмы изучения русской и зарубежной литературы; Русский язык и литература»,
«Цифровые инструменты в филологическом образовании»,
«Английская филология в свете сравнительно-сопоставительных исследований»
ОБЩИЕ ПОЛОЖЕНИЯ
Вступительные испытания предназначены для определения практической и теоретической подготовленности поступающего в магистратуру и проводятся с целью определения соответствия знаний умений и навыков требованиям обучения магистратуры по направлениям подготовки 44.04.01 «Педагогическое образование» (магистратура), 45.04.01 «Филология» (магистратура). Программа составлена в соответствии с требованиями федерального государственного образовательного стандарта высшего профессионального образования.
Вступительные испытания в магистратуру проводят экзаменационные комиссии, назначенные председателем приёмной комиссии УУНиТ.
ПРОЦЕДУРА ВСТУПИТЕЛЬНОГО ИСПЫТАНИЯ
Дата и время проведения вступительного испытания и консультации определяются расписанием вступительных испытаний, которое утверждается председателем приемной комиссии.
Перед вступительным испытанием для поступающих проводится консультация по содержанию программы испытания, критериям оценки, предъявляемым требованиям, правилам поведения на испытании.
Форма вступительного испытания (в соответствии Положением о вступительных испытаниях УУНиТ): устно-письменная.
Вступительные испытания в виде устного, устно-письменного, устного с элементами тестирования проводятся в соответствии с программами вступительных испытаний, утверждаемых председателем приемной комиссии.
Экзаменационные билеты включают два или три вопроса по направлению подготовки (по специальности).
При проведении вступительного испытания опрос одного поступающего продолжается не более 25 минут, включая время подготовки ответов на вопросы членов предметной комиссии.
В процессе сдачи вступительного испытания абитуриенту могут быть заданы дополнительные вопросы как по содержанию экзаменационного билета, так и по любым разделам предмета в пределах программы вступительного испытания.
Абитуриент, не согласный с оценкой, полученной на ВИ и (или) в связи с нарушением процедуры проведения ВИ имеет право подать апелляцию. Процедура подачи и рассмотрения апелляции регламентируется Положением об апелляционной комиссии УУНиТ.
КРИТЕРИИ ОЦЕНИВАНИЯ ОТВЕТА
Критериями оценки экзаменационного ответа, поступающего в магистратуру являются полнота, логичность, доказательность, прочность, осознанность знаний и теоретическая обоснованность суждений, самостоятельность в интерпретации информации, практическая направленность, уровень овладения профессиональными умениями менеджера и др. В случае тестирования является правильные ответы на тестовые задания.
Результаты вступительного испытания определяются по 100-балльной шкале, разброс баллов представлен ниже в таблице:
|
№ |
Критерии оценивания |
Оценка |
|
1 |
Дан полный развернутый ответ на теоретический вопрос:
|
85-100 баллов «отлично» |
|
2 |
Дан в целом правильный ответ на теоретический вопрос:
|
67-84 балла «хорошо» |
|
3 |
Дан в основном правильный ответ на теоретический вопрос:
|
50-66 баллов «удовлетворительно» |
|
4 |
Дан фрагментарный ответ или неправильный ответ на теоретический вопрос из предложенного тематического раздела:
|
0-49 баллов «неудовлетворительно» |
СОДЕРЖАНИЕ РАЗДЕЛОВ И ТЕМ ПРОГРАММЫ ВСТУПИТЕЛЬНОГО ИСПЫТАНИЯ
Русский язык
1. Особенности фонетической системы современного русского языка: вокализм и консонантизм. Живые фонетические процессы в современном русском языке. Нормы, характеризующие звуковую сторону речи: орфоэпические, акцентологические, просодические и др. Русская интонация. Основные исторические процессы в истории русского языка.
2. Специфика лексико-фразеологической системы языка. Лексическое значение слова как компонентная структура. Полисемия. Парадигматические отношения в лексике (классы слов, лексико-семантические группы, тематические группы, семантические поля). Слово как имя концепта. Типология словарей. Лексика русского языка в историческом становлении.
3. Русская фразеология. Понятие фразеологической единицы. Объем фразеологии и систематизация фразеологического состава русского языка. Национально- культурная специфика фразеологизмов. Фразеологические словари русского языка. Исконная и заимствованная фразеология.
4. Морфемика как раздел словообразования. Понятие морфемы, функции морфем. Классификация морфем. Основа слова, виды основ. Исторические изменения в морфемной структуре слова. Понятие этимологического значения слова. Морфемные и этимологические словари. Исторические процессы на «морфемном шве».
5. Словообразование. Словообразовательное значение, его типы (модификация, транспозиция, мутация, эквивалентность). Комплексные словообразовательные единицы. Словообразовательные словари. Роль и место словообразования в пополнении лексического состава языка. Историческое словообразование русского языка.
6. Морфология как раздел науки о языке. Морфологическое значение, морфологическая форма, морфологические (классифицирующие и словоизменительные) категории. Функционально-семантическая категория как отражение единого содержания средствами разных уровней языка. Основные исторические процессы в русской морфологии (именная и глагольная парадигмы).
7. Части речи как результат логической и языковой категоризации явлений действительности. Классификации частей речи. Границы между частями речи и явления переходности частей речи. Исторический синкретизм частей речи (глагольно-именная корреляция). История частей речи в русском языке.
8. Синтаксис как раздел науки о языке. Базовые синтаксические понятия: синтаксическая связь, синтаксические единицы, синтаксические отношения, синтаксическая структура, синтаксическая функция. Исторический синтаксис русского языка, основные исторические процессы в области устройства конструкций.
9. Простое предложение как многоаспектная синтаксическая единица: структурный, семантический, коммуникативно-динамический аспекты предложения. Особенности простого предложения в древнерусском языке.
10. Осложненное предложение. Осложняющие категории: синтаксическая однородность, синтаксическое обособление, синтаксическое включение; их сопоставительная характеристика. Семантическая, структурная и функциональная характеристика однородности, обособления и включения.
11. Сложное предложение, его форма, значение, функция. Сочинение и подчинение в сложном предложении. Явление асимметрии между формальной и смысловой организацией сложного предложения. Направления семантической зависимости в сложноподчиненном предложении. Особенности сложного предложения в древнерусском языке.
12. Текст, его свойства и основные лингвистические параметры. Текст как синтаксическая единица, принципы ее научного описания. Отношение текст – ССЦ, текст – абзац.
II. Теоретические аспекты современной лингвистики как основа будущей магистерской диссертации.
Литература
По теории литературы от экзаменующегося требуется владение следующими понятиями и терминами:
- Художественный образ;
- Трагическое, героическое, комическое;
- Содержание и форма литературного произведения;
- Тема, идея, проблема, авторская позиция;
- Сатира, юмор, ирония;
- Персонаж, характер, лирический герой; повествователь, образ автора;
- Конфликт и сюжет, композиция, система персонажей;
- Художественная деталь; портрет, пейзаж, интерьер;
- Эпитет, сравнение, метафора, антитеза, гипербола и гротеск; символ и аллегория;
- Роды литературных произведений – эпос, драма, лирика – и их основные жанры;
- Классицизм, романтизм, реализм, модернизм.
Литературные произведения
- Д.И. Фонвизин. «Недоросль».
- В.А. Жуковский. «Море». «Светлана».
- А. С. Грибоедов. «Горе от ума».
- А. С. Пушкин. «К Чаадаеву» («Любви, надежды, тихой славы...»). «Деревня».
- «Погасло дневное светило...». «Узник». «Песнь о вещем Олеге».
- «Свободы сеятель пустынный...». «К морю». «Я помню чудное мгновенье...». «19 октября (1825 г.)».
- «Пророк». «Няне». «Во глубине сибирских руд...». «Поэт». «Анчар».
- «На холмах Грузии...». «Зимнее утро». «Я вас любил...». «Брожу ли я вдоль улиц шумных...».
- «Поэту» («Поэт, не дорожи любовию народной...»). «Бесы».
- «Элегия» («Безумных лет угасшее веселье...»). «Осень». «Туча».
- «Вновь я посетил...». «Я памятник себе воздвиг нерукотворный...». Евгений Онегин. Медный всадник. Капитанская дочка.
- М. Ю. Лермонтов. «Парус». «Смерть поэта». «Бородино».
- «Когда волнуется желтеющая нива...». «Поэт» («Отделкой золотой блистает мой кинжал...»). «Дума». «Три пальмы». «Как часто, пестрою толпою окружен...». «И скучно и грустно...».
- «Есть речи – значенье...». «Завещание» («Наедине с тобою, брат...»). «Родина». «Утес». «Сон» («В полдневный жар в долине Дагестана...»). «Выхожу один я на дорогу...». «Пророк». «Нет, не тебя так пылко я люблю...». «Песня про царя Ивана Васильевича, молодого опричника и удалого купца Калашникова». Мцыри. Герой нашего времени.
- Н. В. Гоголь. Ревизор. Шинель. Мертвые души.
- А. Н. Островский. Гроза.
- И. А. Гончаров. Обломов.
- И. С. Тургенев. Отцы и дети.
- Н. А. Некрасов. «В дороге». «Тройка». «Вчерашний день, часу в шестом...». «Мы с тобой бестолковые люди...». «Поэт и гражданин».
- «Размышления у парадного подъезда». «Элегия» («Пускай нам говорит изменчивая мода...»). «О, Муза! я у двери гроба...». «Кому на Руси жить хорошо».
- Ф. И. Тютчев. «Полдень», «Певучесть есть в морских волнах…». «О чем ты воешь, ветр ночной?..». «Тени сизые смесились...». «О, как убийственно мы любим...». «Последняя любовь». «К. Б.» («Я встретил вас – и все былое...»).
- А. А. Фет. «Заря прощается с зарею…». «Вечер». «Учись у них – у дуба, у березы…». «Это утро, радость эта…». «Шепот. Робкое дыханье...». «Одним толчком согнать ладью живую…».
- М. Е. Салтыков-Щедрин. Повесть о том, как один мужик двух генералов прокормил. Дикий помещик. Премудрый пескарь. История одного города (обзор).
- Л. Н. Толстой. Война и мир.
- Ф. М. Достоевский. Преступление и наказание.
- А. П. Чехов. Смерть чиновника. Хамелеон. Студент. Человек в футляре. Дама с собачкой. Ионыч. Вишневый сад.
- М. Горький. Старуха Изергиль. На дне.
- И. А. Бунин. Господин из Сан-Франциско. Чистый понедельник.
- А. А. Блок. «Мы встречались с тобой на закате...». «Девушка пела в церковном хоре...». «Незнакомка». «О, весна без конца и без краю...». «В ресторане», «На железной дороге», «Ночь, улица, фонарь, аптека...». «О доблестях, о подвигах, о славе...». «О, я хочу безумно жить...». «Фабрика». «Россия». Цикл «На поле Куликовом».
- «Двенадцать».
- В.В. Маяковский. «Послушайте!» «А вы могли бы?».
- «Хорошее отношение к лошадям». «Скрипка и немножко нервно».
- «Лиличка!». «Необычайное приключение…». «О дряни».
- «Прозаседавшиеся». «Письмо Татьяне Яковлевой».
- «Облако в штанах». «Во весь голос».
- С. А. Есенин. «Гой ты, Русь моя родная...». «Не бродить, не мять в кустах багряных...». «Запели тесаные дроги...». «Я последний поэт деревни...». «Не жалею, не зову, не плачу...». Письмо матери.
- «Мы теперь уходим понемногу...». Русь советская». «Отговорила роща золотая...». «Шаганэ ты моя, Шаганэ...». «Спит ковыль. Равнина дорогая...». «Письмо матери». «Русь советская». «О красном вечере задумалась дорога».
- А. А. Ахматова. «Песня последней встречи». «Мне ни к чему одические рати».
- «Сжала руки под темной вуалью...». «Мне голос был. Он звал утешно...». «Не с теми я, кто бросил землю...». «Мужество».
- «Приморский сонет». «Родная земля».
- «Реквием»
- М.И. Цветаева. «Моим стихам, написанным так рано». «Стихи к Блоку». «Кто создан из камня, кто создан из глины». «Тоска по Родине». «Книги в красном переплете». «Бабушке». «Семь холмов, как семь колоколов».
- Б.Л. Пастернак. «Февраль». «Определение поэзии». «Никого не будет в доме».
- «Во всем мне хочется дойти...». «Быть знаменитым некрасиво…».
- «Гамлет». «Зимняя ночь» («Мело, мело по всей земле...»). «Доктор Живаго» (обзор).
- П. Платонов. Одно произведение по выбору.
- М. А. Булгаков. Мастер и Маргарита.
- М. А. Шолохов. Тихий Дон. Судьба человека.
- А. Т. Твардовский. «Вся суть в одном-единственном...».
- «Памяти матери». «Я знаю, никакой моей вины...». «Василий Теркин» (выборочные главы).
- А.И. Солженицын. «Один день Ивана Денисовича». «Матренин двор»
- В. П. Астафьев. «Пастух и пастушка». «Царь-рыба» (обзор)
- В. М. Шукшин. Чудик. Микроскоп. Срезал.
- В. Г. Распутин. Прощание с Матерой.
Демоверсия экзаменационного варианта
УФИМСКИЙ УНИВЕРСИТЕТ НАУКИ И ТЕХНОЛОГИЙ
Экзаменационный билет №1
- Морфология как раздел науки о языке. Морфологическое значение, морфологическая форма, морфологические (классифицирующие и словоизменительные) категории. Функционально-семантическая категория как отражение единого содержания средствами разных уровней языка. Основные исторические процессы в русской морфологии (именная и глагольная парадигма).
- Теоретические аспекты современной лингвистики как основа будущей магистерской диссертации.
ДЕМОВЕРСИЯ ЭКЗАМЕНАЦИОННОГО ВАРИАНТА
УФИМСКИЙ УНИВЕРСИТЕТ НАУКИ И ТЕХНОЛОГИЙ
Экзаменационный билет №1
Вопрос 1.
1. Укажите литературное направление, принципы которого (например, принцип «трех единств») отражены в пьесе Д.И. Фонвизина «Недоросль». Дайте характеристику направлению.
Вопрос 2.
2. Обсуждение произведения с преподавателем.
СПИСОК ЛИТЕРАТУРЫ
Русский язык:
- Валгина Н.С. Активные процессы в современном русском языке: Учебное пособие для студентов вузов. М.: Логос, 2003.
- Гайсина, Р. М. Синтаксис простого предложения в современном русском языке. Теория, схемы и образцы анализа. М.: Высшая школа, 2009.
- Иванов В.В. Историческая грамматика русского языка: Учеб, для студентов пед. ин-тов по спец. Рус. яз. и лит. 3-е изд., перераб. и доп. М.: Просвещение, 1990.
- Колесов, В. В. Историческая грамматика русского языка: учебник для высших учебных заведений Российской Федерации. Учебно- методический комплекс по курсу «Историческая грамматика русского языка». СПб.: СПбГУ, 2013.
- Современный русский язык. Теория. Анализ языковых единиц: Учебник. В 2-х ч./Под ред. Е.И. Дибровой. М., 2008.
- Розенталь Д.Э., Голуб И.Б., Теленкова М.А. Современный русский язык. М., 2014.
- Скобликова Е. С. Современный русский язык. Синтаксис простого предложения (теоретический курс): учеб.пособие. 3-е изд., испр. и доп. М.: Флинта: Наука, 2006. 8.В. В. Бабайцева, Л. Ю. Максимов. Современный русский язык. Учеб. для студентов пед. ин-тов. В 3 ч. Ч. 3. Синтаксис. Пунктуация. 2-е изд., перераб. М.: Просвещение, 2007 (и любое посл.издание).
- Лекант П.А., Диброва Е.И., Касаткин Л.Л. Современный русский язык. М.: Дрофа, 2007.
- Современный русский язык: Учебник / В. А. Белошапкова, В. Н. Белоусов, Е. А. Брызгунова и др. /Под ред. В. А. Белошапковой. 3-е изд., испр. и доп. М.: Азбуковник, 1997 (и любое посл.издание).
Литература:
- Литература : учебник для студ. учреждений сред. проф. образования : в 2 ч. Ч. 1 / [Г.А. Обернихина, А.Г.Антонова, И.Л. Вольнова и др.] ; под ред. Г.А. Обернихиной. — 6-е изд., стер. — М. : Издательский центр «Академия», 2014 — 384 с., илл.
- Черняк, М. А. Отечественная литература XX—XXI вв : учебник для среднего профессионального образования / М. А. Черняк. — 2-е изд., испр. и доп. — Москва : Издательство Юрайт, 2020. — 294 с. — (Профессиональное образование). — ISBN 978-5-534-12335-7. — Текст : электронный // Образовательная платформа Юрайт [сайт]. — URL: https://urait.ru/bcode/455634
Русский язык и литература
ПРОГРАММА
вступительного испытания
для поступающих в магистратуру по направлениям подготовки
44.04.01 «Педагогическое образование»
программа (профиль)
«Русский язык как иностранный: лингвокультурология и лингводидактика»,
«Цифровые технологии в преподавании русского языка и литературы»
45.04.01 «Филология»
программа (профиль)
«Филология (по профилям) ВШОФ:
Русский язык и современная коммуникация в эпоху цифровизации; Нарративный дизайн;
Современные парадигмы изучения русской и зарубежной литературы; Русский язык и литература»,
«Цифровые инструменты в филологическом образовании»,
«Английская филология в свете сравнительно-сопоставительных исследований»
ОБЩИЕ ПОЛОЖЕНИЯ
Вступительные испытания предназначены для определения практической и теоретической подготовленности поступающего в магистратуру и проводятся с целью определения соответствия знаний умений и навыков требованиям обучения магистратуры по направлениям подготовки 44.04.01 «Педагогическое образование» (магистратура), 45.04.01 «Филология» (магистратура). Программа составлена в соответствии с требованиями федерального государственного образовательного стандарта высшего профессионального образования.
Вступительные испытания в магистратуру проводят экзаменационные комиссии, назначенные председателем приёмной комиссии УУНиТ.
ПРОЦЕДУРА ВСТУПИТЕЛЬНОГО ИСПЫТАНИЯ
Дата и время проведения вступительного испытания и консультации определяются расписанием вступительных испытаний, которое утверждается председателем приемной комиссии.
Перед вступительным испытанием для поступающих проводится консультация по содержанию программы испытания, критериям оценки, предъявляемым требованиям, правилам поведения на испытании.
Форма вступительного испытания (в соответствии Положением о вступительных испытаниях УУНиТ): устно-письменная.
Вступительные испытания в виде устного, устно-письменного, устного с элементами тестирования проводятся в соответствии с программами вступительных испытаний, утверждаемых председателем приемной комиссии.
Экзаменационные билеты включают два или три вопроса по направлению подготовки (по специальности).
При проведении вступительного испытания опрос одного поступающего продолжается не более 25 минут, включая время подготовки ответов на вопросы членов предметной комиссии.
В процессе сдачи вступительного испытания абитуриенту могут быть заданы дополнительные вопросы как по содержанию экзаменационного билета, так и по любым разделам предмета в пределах программы вступительного испытания.
Абитуриент, не согласный с оценкой, полученной на ВИ и (или) в связи с нарушением процедуры проведения ВИ имеет право подать апелляцию. Процедура подачи и рассмотрения апелляции регламентируется Положением об апелляционной комиссии УУНиТ.
КРИТЕРИИ ОЦЕНИВАНИЯ ОТВЕТА
Критериями оценки экзаменационного ответа, поступающего в магистратуру являются полнота, логичность, доказательность, прочность, осознанность знаний и теоретическая обоснованность суждений, самостоятельность в интерпретации информации, практическая направленность, уровень овладения профессиональными умениями менеджера и др. В случае тестирования является правильные ответы на тестовые задания.
Результаты вступительного испытания определяются по 100-балльной шкале, разброс баллов представлен ниже в таблице:
|
№ |
Критерии оценивания |
Оценка |
|
1 |
Дан полный развернутый ответ на теоретический вопрос:
|
85-100 баллов «отлично» |
|
2 |
Дан в целом правильный ответ на теоретический вопрос:
|
67-84 балла «хорошо» |
|
3 |
Дан в основном правильный ответ на теоретический вопрос:
|
50-66 баллов «удовлетворительно» |
|
4 |
Дан фрагментарный ответ или неправильный ответ на теоретический вопрос из предложенного тематического раздела:
|
0-49 баллов «неудовлетворительно» |
СОДЕРЖАНИЕ РАЗДЕЛОВ И ТЕМ ПРОГРАММЫ ВСТУПИТЕЛЬНОГО ИСПЫТАНИЯ
Русский язык
1. Особенности фонетической системы современного русского языка: вокализм и консонантизм. Живые фонетические процессы в современном русском языке. Нормы, характеризующие звуковую сторону речи: орфоэпические, акцентологические, просодические и др. Русская интонация. Основные исторические процессы в истории русского языка.
2. Специфика лексико-фразеологической системы языка. Лексическое значение слова как компонентная структура. Полисемия. Парадигматические отношения в лексике (классы слов, лексико-семантические группы, тематические группы, семантические поля). Слово как имя концепта. Типология словарей. Лексика русского языка в историческом становлении.
3. Русская фразеология. Понятие фразеологической единицы. Объем фразеологии и систематизация фразеологического состава русского языка. Национально- культурная специфика фразеологизмов. Фразеологические словари русского языка. Исконная и заимствованная фразеология.
4. Морфемика как раздел словообразования. Понятие морфемы, функции морфем. Классификация морфем. Основа слова, виды основ. Исторические изменения в морфемной структуре слова. Понятие этимологического значения слова. Морфемные и этимологические словари. Исторические процессы на «морфемном шве».
5. Словообразование. Словообразовательное значение, его типы (модификация, транспозиция, мутация, эквивалентность). Комплексные словообразовательные единицы. Словообразовательные словари. Роль и место словообразования в пополнении лексического состава языка. Историческое словообразование русского языка.
6. Морфология как раздел науки о языке. Морфологическое значение, морфологическая форма, морфологические (классифицирующие и словоизменительные) категории. Функционально-семантическая категория как отражение единого содержания средствами разных уровней языка. Основные исторические процессы в русской морфологии (именная и глагольная парадигмы).
7. Части речи как результат логической и языковой категоризации явлений действительности. Классификации частей речи. Границы между частями речи и явления переходности частей речи. Исторический синкретизм частей речи (глагольно-именная корреляция). История частей речи в русском языке.
8. Синтаксис как раздел науки о языке. Базовые синтаксические понятия: синтаксическая связь, синтаксические единицы, синтаксические отношения, синтаксическая структура, синтаксическая функция. Исторический синтаксис русского языка, основные исторические процессы в области устройства конструкций.
9. Простое предложение как многоаспектная синтаксическая единица: структурный, семантический, коммуникативно-динамический аспекты предложения. Особенности простого предложения в древнерусском языке.
10. Осложненное предложение. Осложняющие категории: синтаксическая однородность, синтаксическое обособление, синтаксическое включение; их сопоставительная характеристика. Семантическая, структурная и функциональная характеристика однородности, обособления и включения.
11. Сложное предложение, его форма, значение, функция. Сочинение и подчинение в сложном предложении. Явление асимметрии между формальной и смысловой организацией сложного предложения. Направления семантической зависимости в сложноподчиненном предложении. Особенности сложного предложения в древнерусском языке.
12. Текст, его свойства и основные лингвистические параметры. Текст как синтаксическая единица, принципы ее научного описания. Отношение текст – ССЦ, текст – абзац.
II. Теоретические аспекты современной лингвистики как основа будущей магистерской диссертации.
Литература
По теории литературы от экзаменующегося требуется владение следующими понятиями и терминами:
- Художественный образ;
- Трагическое, героическое, комическое;
- Содержание и форма литературного произведения;
- Тема, идея, проблема, авторская позиция;
- Сатира, юмор, ирония;
- Персонаж, характер, лирический герой; повествователь, образ автора;
- Конфликт и сюжет, композиция, система персонажей;
- Художественная деталь; портрет, пейзаж, интерьер;
- Эпитет, сравнение, метафора, антитеза, гипербола и гротеск; символ и аллегория;
- Роды литературных произведений – эпос, драма, лирика – и их основные жанры;
- Классицизм, романтизм, реализм, модернизм.
Литературные произведения
- Д.И. Фонвизин. «Недоросль».
- В.А. Жуковский. «Море». «Светлана».
- А. С. Грибоедов. «Горе от ума».
- А. С. Пушкин. «К Чаадаеву» («Любви, надежды, тихой славы...»). «Деревня».
- «Погасло дневное светило...». «Узник». «Песнь о вещем Олеге».
- «Свободы сеятель пустынный...». «К морю». «Я помню чудное мгновенье...». «19 октября (1825 г.)».
- «Пророк». «Няне». «Во глубине сибирских руд...». «Поэт». «Анчар».
- «На холмах Грузии...». «Зимнее утро». «Я вас любил...». «Брожу ли я вдоль улиц шумных...».
- «Поэту» («Поэт, не дорожи любовию народной...»). «Бесы».
- «Элегия» («Безумных лет угасшее веселье...»). «Осень». «Туча».
- «Вновь я посетил...». «Я памятник себе воздвиг нерукотворный...». Евгений Онегин. Медный всадник. Капитанская дочка.
- М. Ю. Лермонтов. «Парус». «Смерть поэта». «Бородино».
- «Когда волнуется желтеющая нива...». «Поэт» («Отделкой золотой блистает мой кинжал...»). «Дума». «Три пальмы». «Как часто, пестрою толпою окружен...». «И скучно и грустно...».
- «Есть речи – значенье...». «Завещание» («Наедине с тобою, брат...»). «Родина». «Утес». «Сон» («В полдневный жар в долине Дагестана...»). «Выхожу один я на дорогу...». «Пророк». «Нет, не тебя так пылко я люблю...». «Песня про царя Ивана Васильевича, молодого опричника и удалого купца Калашникова». Мцыри. Герой нашего времени.
- Н. В. Гоголь. Ревизор. Шинель. Мертвые души.
- А. Н. Островский. Гроза.
- И. А. Гончаров. Обломов.
- И. С. Тургенев. Отцы и дети.
- Н. А. Некрасов. «В дороге». «Тройка». «Вчерашний день, часу в шестом...». «Мы с тобой бестолковые люди...». «Поэт и гражданин».
- «Размышления у парадного подъезда». «Элегия» («Пускай нам говорит изменчивая мода...»). «О, Муза! я у двери гроба...». «Кому на Руси жить хорошо».
- Ф. И. Тютчев. «Полдень», «Певучесть есть в морских волнах…». «О чем ты воешь, ветр ночной?..». «Тени сизые смесились...». «О, как убийственно мы любим...». «Последняя любовь». «К. Б.» («Я встретил вас – и все былое...»).
- А. А. Фет. «Заря прощается с зарею…». «Вечер». «Учись у них – у дуба, у березы…». «Это утро, радость эта…». «Шепот. Робкое дыханье...». «Одним толчком согнать ладью живую…».
- М. Е. Салтыков-Щедрин. Повесть о том, как один мужик двух генералов прокормил. Дикий помещик. Премудрый пескарь. История одного города (обзор).
- Л. Н. Толстой. Война и мир.
- Ф. М. Достоевский. Преступление и наказание.
- А. П. Чехов. Смерть чиновника. Хамелеон. Студент. Человек в футляре. Дама с собачкой. Ионыч. Вишневый сад.
- М. Горький. Старуха Изергиль. На дне.
- И. А. Бунин. Господин из Сан-Франциско. Чистый понедельник.
- А. А. Блок. «Мы встречались с тобой на закате...». «Девушка пела в церковном хоре...». «Незнакомка». «О, весна без конца и без краю...». «В ресторане», «На железной дороге», «Ночь, улица, фонарь, аптека...». «О доблестях, о подвигах, о славе...». «О, я хочу безумно жить...». «Фабрика». «Россия». Цикл «На поле Куликовом».
- «Двенадцать».
- В.В. Маяковский. «Послушайте!» «А вы могли бы?».
- «Хорошее отношение к лошадям». «Скрипка и немножко нервно».
- «Лиличка!». «Необычайное приключение…». «О дряни».
- «Прозаседавшиеся». «Письмо Татьяне Яковлевой».
- «Облако в штанах». «Во весь голос».
- С. А. Есенин. «Гой ты, Русь моя родная...». «Не бродить, не мять в кустах багряных...». «Запели тесаные дроги...». «Я последний поэт деревни...». «Не жалею, не зову, не плачу...». Письмо матери.
- «Мы теперь уходим понемногу...». Русь советская». «Отговорила роща золотая...». «Шаганэ ты моя, Шаганэ...». «Спит ковыль. Равнина дорогая...». «Письмо матери». «Русь советская». «О красном вечере задумалась дорога».
- А. А. Ахматова. «Песня последней встречи». «Мне ни к чему одические рати».
- «Сжала руки под темной вуалью...». «Мне голос был. Он звал утешно...». «Не с теми я, кто бросил землю...». «Мужество».
- «Приморский сонет». «Родная земля».
- «Реквием»
- М.И. Цветаева. «Моим стихам, написанным так рано». «Стихи к Блоку». «Кто создан из камня, кто создан из глины». «Тоска по Родине». «Книги в красном переплете». «Бабушке». «Семь холмов, как семь колоколов».
- Б.Л. Пастернак. «Февраль». «Определение поэзии». «Никого не будет в доме».
- «Во всем мне хочется дойти...». «Быть знаменитым некрасиво…».
- «Гамлет». «Зимняя ночь» («Мело, мело по всей земле...»). «Доктор Живаго» (обзор).
- П. Платонов. Одно произведение по выбору.
- М. А. Булгаков. Мастер и Маргарита.
- М. А. Шолохов. Тихий Дон. Судьба человека.
- А. Т. Твардовский. «Вся суть в одном-единственном...».
- «Памяти матери». «Я знаю, никакой моей вины...». «Василий Теркин» (выборочные главы).
- А.И. Солженицын. «Один день Ивана Денисовича». «Матренин двор»
- В. П. Астафьев. «Пастух и пастушка». «Царь-рыба» (обзор)
- В. М. Шукшин. Чудик. Микроскоп. Срезал.
- В. Г. Распутин. Прощание с Матерой.
Демоверсия экзаменационного варианта
УФИМСКИЙ УНИВЕРСИТЕТ НАУКИ И ТЕХНОЛОГИЙ
Экзаменационный билет №1
- Морфология как раздел науки о языке. Морфологическое значение, морфологическая форма, морфологические (классифицирующие и словоизменительные) категории. Функционально-семантическая категория как отражение единого содержания средствами разных уровней языка. Основные исторические процессы в русской морфологии (именная и глагольная парадигма).
- Теоретические аспекты современной лингвистики как основа будущей магистерской диссертации.
ДЕМОВЕРСИЯ ЭКЗАМЕНАЦИОННОГО ВАРИАНТА
УФИМСКИЙ УНИВЕРСИТЕТ НАУКИ И ТЕХНОЛОГИЙ
Экзаменационный билет №1
Вопрос 1.
1. Укажите литературное направление, принципы которого (например, принцип «трех единств») отражены в пьесе Д.И. Фонвизина «Недоросль». Дайте характеристику направлению.
Вопрос 2.
2. Обсуждение произведения с преподавателем.
СПИСОК ЛИТЕРАТУРЫ
Русский язык:
- Валгина Н.С. Активные процессы в современном русском языке: Учебное пособие для студентов вузов. М.: Логос, 2003.
- Гайсина, Р. М. Синтаксис простого предложения в современном русском языке. Теория, схемы и образцы анализа. М.: Высшая школа, 2009.
- Иванов В.В. Историческая грамматика русского языка: Учеб, для студентов пед. ин-тов по спец. Рус. яз. и лит. 3-е изд., перераб. и доп. М.: Просвещение, 1990.
- Колесов, В. В. Историческая грамматика русского языка: учебник для высших учебных заведений Российской Федерации. Учебно- методический комплекс по курсу «Историческая грамматика русского языка». СПб.: СПбГУ, 2013.
- Современный русский язык. Теория. Анализ языковых единиц: Учебник. В 2-х ч./Под ред. Е.И. Дибровой. М., 2008.
- Розенталь Д.Э., Голуб И.Б., Теленкова М.А. Современный русский язык. М., 2014.
- Скобликова Е. С. Современный русский язык. Синтаксис простого предложения (теоретический курс): учеб.пособие. 3-е изд., испр. и доп. М.: Флинта: Наука, 2006. 8.В. В. Бабайцева, Л. Ю. Максимов. Современный русский язык. Учеб. для студентов пед. ин-тов. В 3 ч. Ч. 3. Синтаксис. Пунктуация. 2-е изд., перераб. М.: Просвещение, 2007 (и любое посл.издание).
- Лекант П.А., Диброва Е.И., Касаткин Л.Л. Современный русский язык. М.: Дрофа, 2007.
- Современный русский язык: Учебник / В. А. Белошапкова, В. Н. Белоусов, Е. А. Брызгунова и др. /Под ред. В. А. Белошапковой. 3-е изд., испр. и доп. М.: Азбуковник, 1997 (и любое посл.издание).
Литература:
- Литература : учебник для студ. учреждений сред. проф. образования : в 2 ч. Ч. 1 / [Г.А. Обернихина, А.Г.Антонова, И.Л. Вольнова и др.] ; под ред. Г.А. Обернихиной. — 6-е изд., стер. — М. : Издательский центр «Академия», 2014 — 384 с., илл.
- Черняк, М. А. Отечественная литература XX—XXI вв : учебник для среднего профессионального образования / М. А. Черняк. — 2-е изд., испр. и доп. — Москва : Издательство Юрайт, 2020. — 294 с. — (Профессиональное образование). — ISBN 978-5-534-12335-7. — Текст : электронный // Образовательная платформа Юрайт [сайт]. — URL: https://urait.ru/bcode/455634
Информатика и вычислительная техника
ПРОГРАММА
вступительных испытаний
для поступающих в магистратуру по направлениям подготовки
09.04.01 «Информатика и вычислительная техника»
программа (профиль)
«Информационное и программное обеспечение автоматизированных систем»,
«Компьютерный анализ и интерпретация данных»,
«Алгоритмическая биоинформатика»,
«Цифровые технологии в корпоративных системах»,
«Безопасность и защита информации»,
«Информационные технологии в бизнесе»,
09.04.02 «Информационные системы и технологии»
программа (профиль)
«Информационные системы и технологии (по профилям):
Геоинформационные системы;
Обработка данных с беспилотных систем»,
«Анализ и обработка данных с беспилотных систем»,
09.04.03 «Прикладная информатика»
программа (профиль)
«Реинжиниринг бизнес-процессов»,
«Интеллектуальное управление и компьютерное моделирование»
09.04.04 «Программная инженерия»
программа (профиль)
«Интернет-технологии»,
«Технологии разработки систем искусственного интеллекта»
ОБЩИЕ ПОЛОЖЕНИЯ
Вступительные испытания предназначены для определения практической и теоретической подготовленности поступающего в магистратуру и проводятся с целью определения соответствия знаний умений и навыков требованиям обучения магистратуры по направлениям подготовки 09.04.01 «Информатика и вычислительная техника» (магистратура), 09.04.02 «Информационные системы и технологии» (магистратура), 09.04.03 «Прикладная информатика» (магистратура), 09.04.04 «Программная инженерия» (магистратура). Программа составлена в соответствии с требованиями федерального государственного образовательного стандарта высшего профессионального образования.
Вступительные испытания в магистратуру проводят экзаменационные комиссии, назначенные председателем приёмной комиссии УУНиТ.
ПРОЦЕДУРА ВСТУПИТЕЛЬНОГО ИСПЫТАНИЯ
Дата и время проведения вступительного испытания и консультации определяются расписанием вступительных испытаний, которое утверждается председателем приемной комиссии.
Перед вступительным испытанием для поступающих проводится консультация по содержанию программы испытания, критериям оценки, предъявляемым требованиям, правилам поведения на испытании.
Форма вступительного испытания (в соответствии Положением о вступительных испытаниях УУНИТ): тестирование.
Вступительные испытания в виде электронного тестирования проводятся в соответствии с программами вступительных испытаний, утверждаемых председателем предметной комиссии.
Вступительные испытания в форме тестирования включают вопросы как закрытого, так и открытого типа, а также задания в аудио- и видеоформатах.
Составление вариантов экзаменационных заданий в форме электронных тестов осуществляется ответственным секретарем приемной комиссии университета.
Из вариантов экзаменационных заданий формируются комплекты вопросов-тестов.
Компоновку комплектов вопросов-тестов ответственный секретарь, заместитель ответственного секретаря производят до вступительных испытаний.
Тест содержит 40 тестовых вопросов.
Результаты испытаний оцениваются по 100 бальной шкале.
Абитуриент, не согласный с оценкой, полученной на ВИ и (или) в связи с нарушением процедуры проведения ВИ имеет право подать апелляцию. Процедура подачи и рассмотрения апелляции регламентируется Положением об апелляционной комиссии УУНиТ.
КРИТЕРИИ ОЦЕНИВАНИЯ ОТВЕТА
Критериями оценки экзаменационного ответа, поступающего в магистратуру являются полнота, логичность, доказательность, прочность, осознанность знаний и теоретическая обоснованность суждений, самостоятельность в интерпретации информации, практическая направленность, уровень овладения профессиональными умениями менеджера и др. В случае тестирования является правильные ответы на тестовые задания.
При проверке количество первичных баллов переводится в итоговую 100 балльную шкалу через информационную платформу университета.
СОДЕРЖАНИЕ РАЗДЕЛОВ И ТЕМ ПРОГРАММЫ ВСТУПИТЕЛЬНОГО ИСПЫТАНИЯ
Программа вступительных испытаний для направлений магистратуры включает в себя следующие дисциплины:
- Математика
- Специальные главы математики
- Информатика
Coдержaниe программы по дисциплине «Maтeмaтикa»
-
- Линейная алгебра.
- Матрицы и действия над ними. Сложение матриц, умножение матрицы на число, транспонирование матриц, произведение матриц.
- Определители, их свойства и вычисление.
- Ранг матрицы. Системы линейных алгебраических уравнений и условие их совместности. Теорема Кронекера-Капелли. Использование метода Гаусса для решения систем линейных уравнений.
- Обратная матрица. Решение систем линейных уравнений матричным способом. Формулы Крамера.
-
- Векторная алгебра.
- Векторы. Линейные действия над векторами. Проекция вектора на ось. Вектор в прямоугольной декартовой системе координат.
- Скалярное, векторное и смешанное произведения векторов, их свойства и выражение через координаты сомножителей.
- Векторная алгебра.
-
- Аналитическая геометрия.
- Прямая на плоскости. Общее, каноническое и параметрическое уравнение прямой. Нормальное уравнение прямой. Расстояние от точки до прямой. Взаимное расположение двух прямых. Угол между двумя прямыми.
- Плоскость в пространстве. Общее уравнение плоскости. Нормальное уравнение плоскости. Расстояние от точки до плоскости. Угол между плоскостями.
- Прямая в пространстве. Общие уравнения прямой, канонические уравнения прямой и параметрические уравнения прямой. Угол между прямыми в пространстве.
- Прямая и плоскость в пространстве. Взаимное расположение прямой и плоскости в пространстве. Угол между прямой и плоскостью.
- Эллипс. Гипербола. Парабола. Вывод канонических уравнений.
- Поверхности второго порядка. Эллипсоид, сфера, однополостной гиперболоид, двуполостной гиперболоид, конус, эллиптический параболоид, гиперболический параболоид, эллиптический цилиндр, гиперболический цилиндр, параболический цилиндр.
-
- Математический анализ.
- Непрерывность функции. Точки разрыва функции и их классификация.
- Производная функции, ее геометрический смысл. Основные правила дифференцирования. Уравнение касательной и нормали к плоской кривой. Производная сложной функции.
- Условие возрастания и убывания функций. Точки экстремума. Достаточные признаки максимума и минимума. Отыскание наибольших и наименьших значений непрерывной на отрезке функции. Исследование на максимум и минимум с помощью производных высших порядков. Исследование функций на выпуклость. Точки перегиба. Асимптоты кривой.
- Первообразная. Неопределенный интеграл и его свойства. Замена переменной, интегрирование по частям. Интегрирование рациональных функций. Интегрирование тригонометрических функций. Интегрирование иррациональных функций.
- Определение определенного интеграла. Основные свойства определенного интеграла. Замена переменной и интегрирование по частям в определенном интеграле. Формула Ньютона-Лейбница.
- Несобственные интегралы с бесконечными пределами. Несобственные интегралы от неограниченных функций.
- Функции многих переменных. Частные производные и полный дифференциал функции многих переменных. Дифференцирование сложных функций многих переменных. Касательная плоскость и нормаль к поверхности. Частные производные высших порядков.
- Числовые и функциональные ряды.
1) Понятие числового ряда, его суммы. Сходящиеся и расходящиеся ряды. Необходимое условие сходимости.
- Основные признаки сходимости знакоположительных рядов, признаки сравнения, Даламбера, радикальный признак Коши, интегральный признак Коши.
- Знакопеременные ряды, абсолютная и условная сходимость. Знакочередующиеся ряды. Признак Лейбница для сходимости знакочередующегося ряда.
- Функциональные ряды, область сходимости функциональных рядов. Степенные ряды, лемма Абеля. Ряд Тейлора. Разложение элементарных функций в степенные ряды. Ряд Маклорена.
- Комплексный анализ.
- Комплексные числа. Геометрическая, тригонометрическая и показательная форма комплексного числа. Арифметические действия над комплексными числами, сложение, вычитание, умножение и деление.
- Функции комплексного переменного. Дифференцирование функции комплексного переменного. Условия Коши-Римана.
- Интегрирование функции комплексного переменного. Основные свойства интеграла.
- Теорема Коши и интегральная формула Коши.
- Особые точки аналитических функций. Вычеты, способы их вычисления, основная теорема о вычетах. Применение вычетов для вычисления интегралов.
-
- Дифференциальные уравнения
- Дифференциальные уравнения с разделяющимися переменными. Однородные дифференциальные уравнения. Линейные дифференциальные уравнения 1 порядка. Уравнение Бернулли.
- Линейные однородные дифференциальные уравнения 2 порядка с постоянными коэффициентами. Линейные неоднородные дифференциальные уравнения 2 порядка с постоянными коэффициентами. Метод неопределенных коэффициентов.
-
- Гармонический анализ.
Тригонометрические ряды. Достаточные условия сходимости ряда Фурье. Разложение в ряд Фурье периодических функций. Теорема Дирихле.
Содержание программы по дисциплине «Специальные главы математики (Теория вероятностей, Вычислительная математика)»
- Теория вероятностей
Виды случайных событий. Теоремы сложения и умножения вероятностей, вероятность сумм ы событий, вероятность произведения событий. Независимые события.
Формула полной вероятности и формулы Байеса.
Дискретная случайная величина и ее закон распределения. функция распределения случайной величины. Числовые характеристики дискретных случайных величин.
Непрерывная случайная величина и ее закон распределения. Плотность распределения и функция распределения. Числовые характеристики непрерывных случайных величин.
- Численные методы
Линейное программирование. Транспортная задача. Сетевое планирование и управление. Теория игр: матричные игры.
Численные методы решения алгебраических уравнений. Численные методы анализа. Численные методы решения дифференциальных уравнений.
Численное дифференцирование и интегрирование. Интерполирование функций: интерполяционный многочлен Лагранжа.
Содержание программы по дисциплине «Информатика»
- Основные понятия и методы теории информатики и кодирования.
Общая характеристика процессов сбора, передачи, обработки и накопления информации. Сообщения, данные, сигнал, атрибутивные свойства информации, показатели качества информации, формы представления информации. Системы передачи информации. Меры и единицы количества и объема информации. Позиционные системы счисления. Логические основы ЭВМ.
- Технические средства реализации информационных процессов.
История развития ЭBM. Понятие и основные виды архитектуры ЭВМ. Состав и назначение основных элементов персонального компьютера, их характеристики. Запоминающие устройства: классификация, принцип работы, основные характеристики. Устройства ввода/вывода данных, их разновидности и основные характеристики
- Программные средства реализации информационных процессов.
Понятие системного и служебного (сервисного) программного обеспечения: назначение, возможности, структура. Операционные системы. Файловая структура операционных систем. Операции с файлами. Технологии обработки текстовой информации. Электронные таблицы. Технологии обработки графической информации. Средства электронных презентаций. Системы управления базами данных. Основы баз данных и знаний.
- Алгоритмизация и программирование.
Понятие алгоритма и его свойства. Блок-схема алгоритма. Основные алгоритмические конструкции. Газовые алгоритмы. Программы линейной структуры. Операторы ветвления, операторы цикла.
- Локальные и глобальные сети ЭВМ. Зашита информации в сетях.
Сетевые технологии обработки данных. Основы компьютерной коммуникации. Принципы организации и основные топологии вычислительных сетей. Сетевой сервис и сетевые стандарты. Защита информации в локальных и глобальных компьютерных сетях.
- Технологии программирования. Языки программирования высокого уровня.
Этапы решения задач на компьютерах. Понятие о структурном программировании. Модульный принцип программирования.
Подпрограммы. Принципы проектирования программ сверху-вниз и снизу- вверх. Объектно-ориентированное программирование. Эволюция и классификация языков программирования. Основные понятия языков программирования. Структуры и типы данных языка программирования.
Трансляция, компиляция и интерпретация
Демоверсия экзаменационного варианта
пробный тест
1
Дана матрица
. Тогда матрица
имеет вид…
A)
B)
C)
D) 
2 Даны вершины треугольника А(-3;2), B(1;2), C(-1;-2) и медиана СD. Тогда сумма координат точки D равна …
3 В вычислительной лаборатории имеются шесть клавишных автоматов и четыре полуавтомата. Вероятность того, что за время выполнения некоторого расчета автомат не выйдет из строя, равна 0,95; для полуавтомата эта вероятность равна 0,8. Студент производит расчет на наудачу выбранной машине. Найти вероятность того, что до окончания расчета машина не выйдет из строя.
4 Из генеральной совокупности извлечена выборка:

Найти выборочную среднюю.
5 График функции y=f(x) проходит через точки

Тогда ее интерполяционный многочлен второго порядка равен …
A)
B)
C)
D) 
6 В представленном фрагменте программы
a := 10
b := 40
нц пока b >= a
| b := b – a
кц
тело цикла выполнится ________ раз(а).
A) 4 B) 3 C) 2 D) 1
СПИСОК ЛИТЕРАТУРЫ
- Веклемишев Д. В. Kypc аналитической геометрии и линейной алгебры. М.: Физматлит, 2007.
- Проскуряков Н.В. Сборник задач по линейной алгебре. СПб: Лань, 2008.
- Беклемишева Л.А. Сборник задач по аналитической геометрии и линейной алгебре. М.: Физматлит, 2006.
- Ефимов Н.В. Линейная алгебра и многомерная геометрия. М.: Физматлит, 2004.
- Ильин В.А., Позняк Э.Г. Основы математического анализа. Т. 1, 2. М.:Физматлит, 2009.
- Фихтенгольц Г.М. Kypc дифференциального и интегрального исчисления. Т. 1, 2, 3. М.: Физматлит, 2003, 2007, 2008.
- ,Демидович Б.П. Сборник заqач и упражнений по математическому анализу. М.: Астрель, 2007.
- Кудрявцев ЈІ.Д, Кутасов А.Д., Чехлов В.Н., Шабунин М.Н. Сборник задач по математическому анализу. В 3-x т. М.: Физматлит, 2003.
- Свешников А.Г., Тихонов А.Н. Теория функций комплексной переменной. М.: Физматлит, 2004.
- Волковыский Л.Н., Лунц Г.А., Араманович Н.Г. Сборник задач по теории функций комплексного переменного. М.: Физматлит, 2004.
- Васильев Ф.П. Методы оптимизации. Учебник и практикум для бакалавриата и магистратуры. М:Юрайт, 2016.
- Гмурман В.Е. Теория вероятности и математическая статистика: [учебное пособие для студентов вузов] — М.: Юрайт, 2015. – 479 с.
- Ерзин А.Н. Введение в исследование операций: Учебное пособие/ А.Н. Ерзин. – Новосиб.гос.ун-т. Новосибирск. 2008. 100c.
- Киреев В.Н. Численные методы в примерах и задачах: [учебное пособие для студентов вузов, обучающихся по направлению «Прикладная математика»] / В.Н. Киреев, А.В. Пантелеев — CПб: Лань, 2015 – 448 с.
- Мартынов А.П., Валеева А.Ф., Валеев Р.С. Методы повышения эффективности вычислительных схем в задачах оптимизации //Учебное пособие, Изд-во УГАТУ, 2013. 142 с.
- Срочко В.А. Численные методы: учебное пособие — СПб: Лань, 2016 – 208 с.
- Информатика [Электронный ресурс]: курс лекций / Л. И. Шехтман [и др.]; ГОУ ВПО УГАТУ - Уфа: УГАТУ, 2011
- Информатика. базовый курс: [учебное пособие для студентов высших технических учебных заведений] / под ред. С. В. Симоновича - Санкт-Петербург [и др.]: Питер, 2011 - 637 с.
- Каймин В. А. Информатика: учебник / В. А. Каймин. — Москва: Проспект, 2010. — 270 с.
- Кудинов Ю. Н. Основы современной информатики [Электронный pecypc]: [учебное пособие для студентов высших учебных заведений, обучающихся по специальности «Прикладная информатика»] / Ю. Н. Кудинов, Ф. Ф. Пащенко - Санкт-Петербург [и др.]: Лань, 2011 - 256 с.
- Новожилов, О. П. Информатика : [учебное пособие для студентов высших учебных заведений, обучающихся по специальностям группы "Экономика и управление" и направлению "Информатика и вычислительная техника"] / О. П. Новожилов ; Московский государственный индустриальный университет (MГHУ) .– 2-е изд., испр. и доп. – Москва : Юрайт, 2013 – 564 с.
- Макарова, Н. В. Информатика : [учебник для студентов вузов, обучающихся по направлениям подготовки бакалавров "Системный анализ и управление" и "Экономика и управление"] / Н. В. Макаров, В. Б. Волкова .— Санкт-Петербург [и др.] : Питер, 2013 .— 576 с.
- Кауфман В. Ш. Языки программирования. Концепции и принципы [Электронный ресурс]: [пособие для студентов вузов] / В. 111. Кауфман - Москва: QMK HPECC, 2010 - 464 с.
- Орлов, С. А. Теория и практика языков программирования [учебник по направлению "Информатика и вычислительная техника"] / С. А. Орлов .— Санкт-Петербург [и др.] : Питер , 2013 .— 688 с.
- Хорев, П. Б. Объектно-ориентированное программирование [учебное пособие для студентов, обучающихся по направлению "Информатика и вычислительная техника"] / П. Б. Хорев .— 3-e изд., испр. — Москва : Академия, 2011 .— 446, [2] с.
- Методы и средства проектирования информационных систем и технологий : учебное пособие. — Санкт-Петербург : СПбГЛТУ, 2019. — 248 с. — ISBN 978-5-9239-1113-8. — Текст : электронный // Лань : электронно-библиотечная система. — URL: https://e.lanbook.com/book/120059
- Ланских, Ю. В. Методы и средства проектирования информационных систем и технологий : учебное пособие : в 3 частях / Ю. В. Ланских. — Киров : ВятГУ, 2019 — Часть 1 : Основы моделирования информационных систем — 2019. — 176 с. — Текст : электронный // Лань : электронно-библиотечная система. — URL: https://e.lanbook.com/book/164441
- Маккинни, У. Python и анализ данных / У. Маккензи; перевод с ан-глийского А. А. Слинкина. — 2-ое изд., испр. и доп. — Москва: ДМК Пресс, 2020. — 540 с. — ISBN 978-5-97060-590-5. — Текст: электронный // Лань: электронно-библиотечная система. — URL: https://e.lanbook.com/book/131721.
- Павлов, Л. А. Структуры и алгоритмы обработки данных: учебник для вузов / Л. А. Павлов, Н. В. Первова. — 3-е изд., стер. — Санкт-Петербург: Лань, 2021. — 256 с. — ISBN 978-5-8114-7259-8. — Текст: элек-тронный // Лань: электронно-библиотечная система. — URL: https://e.lanbook.com/book/156929
- Барков, И. А. Объектно-ориентированное программирование : учебник / И. А. Барков. — Санкт-Петербург : Лань, 2022. — 700 с. — ISBN 978-5-8114-3586-9. — Текст : электронный // Лань : электронно-библиотечная система. — URL: https://e.lanbook.com/book/206699
- Абдуллаева, О.С., Информационные технологии : учебник / О.С. Абдуллаева, А.И. Исомиддинов, С.Х. Абдуллаева. — Москва : Русайнс, 2022. — 189 с. — ISBN 978-5-4365-8803-2. — URL:https://book.ru/book/943449
- Управление проектами в области информационных технологий : учебное пособие / И.В. Трифонов, Н.Н. Трифонова, Н.А. Череповская [и др.] ; под ред. А.В. Лукьяновой. — Москва : КноРус, 2022. — 235 с. — ISBN 978-5-406-09161-6. — URL:https://book.ru/book/942673
- Литвин, Ю. И. Проектный менеджмент: теория и практика : учебное пособие / Ю. И. Литвин, Л. И. , Р. Р. Харисова. — Москва : Прометей, 2020. — 240 с. — ISBN 978-5-907166-99-8. — Текст : электронный // Лань : электронно-библиотечная система. — URL: https://e.lanbook.com/book/165992
- Технологии программирования : учебное пособие / А. В. Гайдель, А. В. Благов, В. И. Проценко, А. С. Широканев. — Самара : Самарский университет, 2020. — 108 с. — ISBN 978-5-7883-1554-6. — Текст : электронный // Лань : электронно-библиотечная система. — URL: https://e.lanbook.com/book/189025.
- Волк В. К. Базы данных. Проектирование, программирование, управление и администрирование [Электронный ресурс]: учебник / Волк В. К. - Санкт-Петербург: Лань, 2020 - 244 с. https://e.lanbook.com/book/126933
- Кукарцев, В. В. Проектирование и архитектура информационных систем : учебник / В. В. Кукарцев, Р. Ю. Царев, О. А. Антамошкин. — Красноярск : СФУ, 2019. — 192 с. — ISBN 978-5-7638-3620-2. — Текст : электронный // Лань : электронно-библиотечная система. — URL: https://e.lanbook.com/book/157581
- Прокушев, Я. Е. Базы данных : учебное пособие / Я. Е. Прокушев. — 2-е изд., доп. — Санкт-Петербург : Интермедия, 2022. — 264 с. — ISBN 978-5-4383-0250-6. — Текст : электронный // Лань : электронно-библиотечная система. — URL: https://e.lanbook.com/book/217925
- Орешков, В. И. Хранилища данных и OLAP-технологии : учебное пособие / В. И. Орешков. — Рязань : РГРТУ, 2017. — 64 с. — Текст : электронный // Лань : электронно-библиотечная система. — URL: https://e.lanbook.com/book/167981
- Хабаров, С. П. Представление знаний в информационных системах. Использование среды PIE при проектировании баз данных и знаний : учебное пособие / С. П. Хабаров, Л. Г. Пушкарева ; под редакцией А. М. Заяц. — Санкт-Петербург : СПбГЛТУ, 2019. — 66 с. — ISBN 978-5-9239-1107-7. — Текст : электронный // Лань : электронно-библиотечная система. — URL: https://e.lanbook.com/book/117636
- Гаврилова, И. В. Основы искусственного интеллекта [Электронный ресурс] : учеб. пособие / Гаврилова И. В., Масленникова О. Е. — 3-е изд., стер. — Москва : ФЛИНТА, 2019 .— 283 с. — ISBN 978-5-9765-1602-1 .— URL:https://e.lanbook.com/book/115839
Математика, информатика и информационные технологии
ПРОГРАММА
вступительных испытаний
для поступающих в магистратуру по направлениям подготовки
01.04.02 «Прикладная математика и информатика»,
44.04.01 «Педагогическое образование»
программы (профили)
«Технологии проектирования системного и прикладного программного обеспечения»,
«Программирование и дизайн виртуальной и дополненной реальности»,
«Цифровые технологии в нефтегазовой отрасли»,
«Математика и информатика»
ОБЩИЕ ПОЛОЖЕНИЯ
Вступительные испытания предназначены для определения практической и теоретической подготовленности поступающего в магистратуру и проводятся с целью определения соответствия знаний умений и навыков требованиям обучения магистратуры по направлениям подготовки 01.04.02 «Прикладная математика и информатика» (магистратура), 44.04.01 «Педагогическое образование» (магистратура). Программа составлена в соответствии с требованиями федерального государственного образовательного стандарта высшего профессионального образования.
Вступительные испытания в магистратуру проводят экзаменационные комиссии, назначенные председателем приёмной комиссии УУНиТ.
ПРОЦЕДУРА ВСТУПИТЕЛЬНОГО ИСПЫТАНИЯ
Дата и время проведения вступительного испытания и консультации определяются расписанием вступительных испытаний, которое утверждается председателем приемной комиссии.
Перед вступительным испытанием для поступающих проводится консультация по содержанию программы испытания, критериям оценки, предъявляемым требованиям, правилам поведения на испытании.
Форма вступительного испытания (в соответствии с Положением о вступительных испытаниях УУНИТ): устно-письменная.
Вступительные испытания в виде устно-письменного экзамена проводятся в соответствии с программами вступительных испытаний, утверждаемых председателем приемной комиссии.
Экзаменационные билеты включают 1 теоретический вопрос по направлению подготовки (по специальности) и 1 задачу.
В аудитории, где проводится вступительное испытание в устно-письменной форме, не может находиться одновременно более 6 человек. Нахождение в аудитории посторонних лиц не допускается.
Абитуриенту предоставляется право готовиться к ответу в течение 30 минут.
Абитуриенту предоставляется право ответа на экзаменационные вопросы в течение 20-25 минут.
В процессе сдачи вступительного испытания абитуриенту могут быть заданы дополнительные вопросы, как по содержанию экзаменационного билета, так и по любым разделам предмета в пределах программы вступительного испытания.
Абитуриент, не согласный с оценкой, полученной на ВИ и (или) в связи с нарушением процедуры проведения ВИ имеет право подать апелляцию. Процедура подачи и рассмотрения апелляции регламентируется Положением об апелляционной комиссии УУНиТ.
КРИТЕРИИ ОЦЕНИВАНИЯ ОТВЕТА
Критериями оценки экзаменационного ответа, поступающего в магистратуру являются полнота, логичность, доказательность, прочность, осознанность знаний и теоретическая обоснованность суждений, самостоятельность в интерпретации информации, практическая направленность, уровень овладения профессиональными умениями менеджера и др. В случае тестирования является правильные ответы на тестовые задания.
Результаты вступительного испытания определяются по 100-балльной шкале, разброс баллов представлен ниже в таблице:
|
№ |
Критерии оценивания |
Оценка |
|
1 |
Дан полный развернутый ответ на теоретический вопрос: грамотно использована научная терминология; четко сформулирована проблема, доказательно аргументированы выдвигаемые тезисы; указаны основные точки зрения, принятые в научной литературе по рассматриваемому вопросу;
|
85-100 баллов «отлично» |
|
2 |
применяется научная терминология, но при этом допущена ошибка или неточность в определениях, понятиях; проблема сформулирована, в целом доказательно аргументированы выдвигаемые тезисы; имеются недостатки в аргументации, допущены фактические или терминологические неточности, которые не носят существенного характера;
|
67-84 балла «хорошо» |
|
3 |
Дан в основном правильный ответ на теоретический вопрос: названы и определены лишь некоторые основания, признаки, характеристики рассматриваемой проблемы; допущены существенные фактические и (или) терминологические неточности; собственная точка зрения недостаточно полно аргументирована;
|
50-66 баллов «удовлетворительно» |
|
4 |
Дан фрагментарный ответ или неправильный ответ на теоретический вопрос из предложенного тематического раздела: отмечается отсутствие знания терминологии, научных оснований, признаков, характеристик рассматриваемой проблемы;
|
0-49 баллов «неудовлетворительно» |
СОДЕРЖАНИЕ РАЗДЕЛОВ И ТЕМ ПРОГРАММЫ
ВСТУПИТЕЛЬНОГО ИСПЫТАНИЯ
Математический анализ
1. Функция. Предел функции в точке.
2. Непрерывность функции.
3. Производная и дифференцируемость функции. Правила дифференцирования.
4. Условия монотонности функции на промежутке. Выпуклость функции на промежутке. Точки перегиба функции.
5. Первообразная и неопределенный интеграл функции. Методы интегрирования функций.
6. Определенный интеграл. Интегрируемость непрерывной функции.
Дифференциальные уравнения
1. Основные понятия и определения теории дифференциальных уравнений.
2. Дифференциальные уравнения первого порядка, разрешенные относительно производной.
3. Линейные уравнения первого порядка. Уравнения в полных дифференциалах.
4. Дифференциальные уравнения 1-го порядка неразрешенные относительно производной. Частные виды уравнения, особые решения.
Алгебра
1. Равносильные системы линейных уравнений. Критерий совместности системы линейных уравнений.
2. Решение системы линейных уравнений.
3. Решение системы однородных линейных уравнений.
Информатика и информационные технологии
1. Базы данных.
2. Системы управления базами данных. СУБД MS Access. Таблицы. 3. Структурированный язык запросов SQL.
4. Понятие информации. Виды информации. Измерение информации.
5. Архитектура ЭВМ.
6. История развития вычислительной техники. Основные функциональные узлы ЭВМ.
7. Алгоритм и его свойства. Алгоритмы поиска и сортировки.
8. Реализация ветвлений и циклов в языках программирования.
9. Сети ЭВМ.
10. Системное программное обеспечение.
11. Способы обработки текстовой информации.
12. Обработка табличной информации на ЭВМ.
13. Системы компьютерной графики.
Численные методы
1. Численные методы решения задач на собственные значения и собственные векторы матриц
2. Численные методы решения задачи Коши для обыкновенных дифференциальных уравнений.
3. Численные методы решения краевых задач для обыкновенных дифференциальных уравнений.
Демоверсия экзаменационного варианта
|
Вступительный экзамен по направлению 01.04.02 Прикладная математика и информатика 2025-2026 уч. год |
УТВЕРЖДАЮ Директор СФ УУНиТ
___________ И.А. Сыров |
Экзаменационный билет № 3
- Понятие производной функции в точке. Геометрический и механический смысл производной функции в точке. Дифференцируемость функции в точке. Правила дифференцирования суммы, произведения и частного двух дифференцируемых функций. Дифференцирование сложной и обратной функции. Производные основных элементарных функций (тригонометрических, логарифмической, показательной и степенной функций).
- Методом Гаусса (LU-разложений) решить СЛАУ:
Декан факультета математики
и информационных технологий ________________ Р.Х. Каримов
СПИСОК ЛИТЕРАТУРЫ
- Умнов А.Е. Основы теории обыкновенных дифференциальных уравнений: учебное пособие / А.Е. Умнов, Е.А. Умнов. – М.: МФТИ, 2024. – 326 с. – ISBN 978-5-7417-0618-3.
- Даишев Р.А. Уравнения математической физики: учебное пособие / Р.А. Даишев, В.А. Сочнева. – Казань, КФУ, 2022. – 92 с.
- Тобоев В.А. Теория вероятностей и математическая статистика: учеб. пособие / В.А. Тобоев, С.И. Фролов; Чуваш. гос. ун-т им. И.Н. Ульянова. – Чебоксары, 2023. – 104 с.
- Письменный Д.Т. Конспект лекций по высшей математике / Д.Т. Письменный Д.Т. – М.: Айрис Пресс, 2022. – 608 с. – ISBN 978-5-8112-6472-8.
- Розен Н.Б. Компьютерные сети и интернет-технологии: учебное пособие / Н.Б. Розен; БГАРФ ФГБОУ ВО «КГТУ». – Калининград: Изд-во БГАРФ, 2021. – 39 с.: ил. 16. – Библиограф.: с. 39. – ISBN 978-5-7481-0468-5.
- Титовская Н.В. Введение в информатику (базовый курс). – [Электронный ресурс]: учебное пособие / Н.В. Титовская [и др.]. – Красноярск: Изд-во КГАУ, 2022. – 315 с.
- Глотина И.М. Дискретная математика: учебное пособие / И.М. Глотина. – Пермь: ИПЦ «Прокростъ», 2024. – 155 с. – ISBN 978-5-94279-624-2.
- Кацко И.А. Сборник задач по теории вероятностей и математической статистике. Учебное пособие для вузов / И.А. Кацко [и др.]. – М.: Лань, 2024. – 204 с.
- Игонина Е.В., Численные методы и их программная реализация: учебное пособие / Е.В. Игонина, О.Б. Гладких, О.Н. Прокуратова. – Елец: ЕГУ им. И.А. Бунина, 2022. – 80 с.
- Математическое программирование: теория и методы: учебное пособие / Н.В. Гредасова [и др.]. – Екатеринбург: Изд-во Урал. ун-та, 2020. – 200 с. ISBN 978-5-7996-3093-5.
- Иванова О.А. Дискретная математика и программирование в Wolfram Mathematica / О.А. Иванова, Г.М. Фридман. – Спб: Питер (Айлиб), 2019. – 351 с. ISBN 978-5-4461-0867-1.
Политест 01.02.09.10
ПРОГРАММА
вступительных испытаний
для поступающих в магистратуру по направлениям подготовки
01.04.02 «Прикладная математика и информатика»,
09.04.03 «Прикладная информатика»
программы (профиль)
«Финансово-математическая аналитика»,
«Автоматизация бизнес-процессов в производстве»
ОБЩИЕ ПОЛОЖЕНИЯ
Вступительные испытания предназначены для определения практической и теоретической подготовленности поступающего в магистратуру и проводятся с целью определения соответствия знаний умений и навыков требованиям обучения магистратуры по направлениям подготовки 01.04.02 «Прикладная математика и информатика» (магистратура), 09.04.03 «Прикладная информатика» (магистратура). Программа составлена в соответствии с требованиями федерального государственного образовательного стандарта высшего профессионального образования.
Вступительные испытания в магистратуру проводят экзаменационные комиссии, назначенные председателем приёмной комиссии УУНиТ.
ПРОЦЕДУРА ВСТУПИТЕЛЬНОГО ИСПЫТАНИЯ
Дата и время проведения вступительного испытания и консультации определяются расписанием вступительных испытаний, которое утверждается председателем приемной комиссии.
Перед вступительным испытанием для поступающих проводится консультация по содержанию программы испытания, критериям оценки, предъявляемым требованиям, правилам поведения на испытании.
Форма вступительного испытания (в соответствии Положением о вступительных испытаниях УУНИТ): тестирование.
Вступительные испытания в виде электронного тестирования проводятся в соответствии с программами вступительных испытаний, утверждаемых председателем предметной комиссии.
Вступительные испытания в форме тестирования включают вопросы как закрытого, так и открытого типа, а также задания в аудио- и видеоформатах.
Составление вариантов экзаменационных заданий в форме электронных тестов осуществляется ответственным секретарем приемной комиссии университета.
Из вариантов экзаменационных заданий формируются комплекты вопросов-тестов.
Компоновку комплектов вопросов-тестов ответственный секретарь, заместитель ответственного секретаря производят до вступительных испытаний.
Тест содержит 40 тестовых вопросов.
Результаты испытаний оцениваются по 100 бальной шкале.
Абитуриент, не согласный с оценкой, полученной на ВИ и (или) в связи с нарушением процедуры проведения ВИ имеет право подать апелляцию. Процедура подачи и рассмотрения апелляции регламентируется Положением об апелляционной комиссии УУНиТ.
КРИТЕРИИ ОЦЕНИВАНИЯ ОТВЕТА
Критериями оценки экзаменационного ответа, поступающего в магистратуру являются полнота, логичность, доказательность, прочность, осознанность знаний и теоретическая обоснованность суждений, самостоятельность в интерпретации информации, практическая направленность, уровень овладения профессиональными умениями менеджера и др. В случае тестирования является правильные ответы на тестовые задания.
При проверке количество первичных баллов переводится в итоговую 100 балльную шкалу через информационную платформу университета.
СОДЕРЖАНИЕ РАЗДЕЛОВ И ТЕМ ПРОГРАММЫ ВСТУПИТЕЛЬНОГО ИСПЫТАНИЯ
Содержание программы по дисциплине «Иностранный язык»
1. Лексика
Знать 4000 единиц общей и терминологической лексики по специальности, необходимых для чтения литературы, извлечения информации из оригинального текста по научной специальности.
2. Грамматика
Структура предложения. Части речи и члены предложения. Структура времен (активный/пассивный залоги). Неличные формы глагола: инфинитив, инфинитивные обороты; причастие, причастные обороты. Структура сложноподчиненного предложения. Сослагательное наклонение.
3. Чтение
Ознакомительное чтение с целью определения истинности / ложности утверждения. Поисковое чтение с целью определения наличия или отсутствия в тексте запрашиваемой информации. Изучающее чтение с элементами анализа информации. Изучающее чтение с элементами аннотирования. Изучающее чтение с элементами сопоставления. Изучающее чтение с выделением главных компонентов содержания текста.
4. Речевой этикет
Профессионально-деловая сфера: уметь продемонстрировать адекватную формулу речевого этикета профессионально-деловой сферы. Учебно-социальная сфера: понимать и адекватно подбирать ответную реплику, соответствующую ситуации общения. Социально-деловая сфера: продемонстрировать навыки общения в заданной ситуации, предложенной в рамках ролевой игры.
5. Письмо
Оформление делового письма: размещение адресов отправителя, получателя, стиль обращения; оформление содержательной составляющей письма, заключительные фразы. Оформление конверта: правильное размещение адресов. Оформление резюме: основные пункты, стиль изложения. Оформление письма-заявления, письма-уведомления, письма-запроса, контракта: знание речевых клише, форм обращения. Оформление электронного сообщения, факса, служебной записки, повестки дня: знание правил составления, пунктуации, форм завершения письменной информации.
Содержание программы по дисциплине «Математика»
1. Линейная алгебра.
1) Матрицы и действия над ними. Сложение матриц, умножение матрицы на число, транспонирование матриц, произведение матриц.
2) Определители, их свойства и вычисление.
3) Ранг матрицы. Системы линейных алгебраических уравнений и условие их совместности. Теорема Кронекера-Капелли. Использование метода Гаусса для решения систем линейных уравнений.
4) Обратная матрица. Решение систем линейных уравнений матричным способом. Формулы Крамера.
2. Векторная алгебра.
1) Векторы. Линейные действия над векторами. Проекция вектора на ось. Вектор в прямоугольной декартовой системе координат.
2) Скалярное, векторное и смешанное произведения векторов, их свойства и выражение через координаты сомножителей.
3. Аналитическая геометрия.
1) Прямая на плоскости. Общее, каноническое и параметрическое уравнение прямой. Нормальное уравнение прямой. Расстояние от точки до прямой. Взаимное расположение двух прямых. Угол между двумя прямыми.
2) Плоскость в пространстве. Общее уравнение плоскости. Нормальное уравнение плоскости. Расстояние от точки до плоскости. Угол между плоскостями.
3) Прямая в пространстве. Общие уравнения прямой, канонические уравнения прямой и параметрические уравнения прямой. Угол между прямыми в пространстве.
4) Прямая и плоскость в пространстве. Взаимное расположение прямой и плоскости в пространстве. Угол между прямой и плоскостью.
5) Эллипс. Гипербола. Парабола. Вывод канонических уравнений.
6) Поверхности второго порядка. Эллипсоид, сфера, однополостной гиперболоид, двуполостной гиперболоид, конус, эллиптический параболоид, гиперболический параболоид, эллиптический цилиндр, гиперболический цилиндр, параболический цилиндр.
4. Математический анализ.
1) Непрерывность функции. Точки разрыва функции и их классификация.
2) Производная функции, ее геометрический смысл. Основные правила дифференцирования. Уравнение касательной и нормали к плоской кривой. Производная сложной функции.
3) Условие возрастания и убывания функций. Точки экстремума. Достаточные признаки максимума и минимума. Отыскание наибольших и наименьших значений непрерывной на отрезке функции. Исследование на максимум и минимум с помощью производных высших порядков. Исследование функций на выпуклость. Точки перегиба. Асимптоты кривой.
4) Первообразная. Неопределенный интеграл и его свойства. Замена переменной, интегрирование по частям. Интегрирование рациональных функций. Интегрирование тригонометрических функций. Интегрирование иррациональных функций.
5) Определение определенного интеграла. Основные свойства определенного интеграла. Замена переменной и интегрирование по частям в определенном интеграле. Формула Ньютона-Лейбница.
6) Несобственные интегралы с бесконечными пределами. Несобственные интегралы от неограниченных функций.
7) Функции многих переменных. Частные производные и полный дифференциал функции многих переменных. Дифференцирование сложных функций многих переменных. Касательная плоскость и нормаль к поверхности. Частные производные высших порядков.
5. Числовые и функциональные ряды.
1) Понятие числового ряда, его суммы. Сходящиеся и расходящиеся ряды. Необходимое условие сходимости.
2) Основные признаки сходимости знакоположительных рядов, признаки сравнения, Даламбера, радикальный признак Коши, интегральный признак Коши.
3) Знакопеременные ряды, абсолютная и условная сходимость. Знакочередующиеся ряды. Признак Лейбница для сходимости знакочередующегося ряда.
4) Функциональные ряды, область сходимости функциональных рядов. Степенные ряды, лемма Абеля. Ряд Тейлора. Разложение элементарных функций в степенные ряды. Ряд Маклорена.
6. Комплексный анализ.
1) Комплексные числа. Геометрическая, тригонометрическая и показательная форма комплексного числа. Арифметические действия над комплексными числами, сложение, вычитание, умножение и деление.
2) Функции комплексного переменного. Дифференцирование функции комплексного переменного. Условия Коши-Римана.
3) Интегрирование функции комплексного переменного. Основные свойства интеграла.
4) Теорема Коши и интегральная формула Коши.
5) Особые точки аналитических функций. Вычеты, способы их вычисления, основная теорема о вычетах. Применение вычетов для вычисления интегралов.
7. Дифференциальные уравнения
1) Дифференциальные уравнения с разделяющимися переменными.
Однородные дифференциальные уравнения. Линейные дифференциальные уравнения 1 порядка. Уравнение Бернулли.
2) Линейные однородные дифференциальные уравнения 2 порядка с постоянными коэффициентами. Линейные неоднородные дифференциальные уравнения 2 порядка с постоянными коэффициентами. Метод неопределенных коэффициентов.
8. Гармонический анализ.
Тригонометрические ряды. Достаточные условия сходимости ряда Фурье. Разложение в ряд Фурье периодических функций. Теорема Дирихле.
Содержание программы по дисциплине «Информатика»
1. Основные понятия и методы теории информатики и кодирования. Общая характеристика процессов сбора, передачи, обработки и накопления информации. Сообщения, данные, сигнал, атрибутивные свойства информации, показатели качества информации, формы представления информации. Системы передачи информации. Меры и единицы количества и объема информации. Позиционные системы счисления. Логические основы ЭВМ.
2. Технические средства реализации информационных процессов.
История развития ЭВМ. Понятие и основные виды архитектуры ЭВМ. Состав и назначение основных элементов персонального компьютера, их характеристики. Запоминающие устройства: классификация, принцип работы, основные характеристики. Устройства ввода/вывода данных, их разновидности и основные характеристики
3. Программные средства реализации информационных процессов.
Понятие системного и служебного (сервисного) программного обеспечения: назначение, возможности, структура. Операционные системы.
Файловая структура операционных систем. Операции с файлами. Технологии обработки текстовой информации. Электронные таблицы. Технологии обработки графической информации. Средства электронных презентаций. Системы управления базами данных. Основы баз данных и знаний.
4. Алгоритмизация и программирование.
Понятие алгоритма и его свойства. Блок-схема алгоритма. Основные алгоритмические конструкции. Базовые алгоритмы. Программы линейной структуры. Операторы ветвления, операторы цикла.
5. Локальные и глобальные сети ЭВМ. Защита информации в сетях.
Сетевые технологии обработки данных. Основы компьютерной коммуникации. Принципы организации и основные топологии вычислительных сетей. Сетевой сервис и сетевые стандарты. Защита информации в локальных и глобальных компьютерных сетях.
6. Технологии программирования. Языки программирования высокого уровня.
Этапы решения задач на компьютерах. Понятие о структурном программировании. Модульный принцип программирования. Подпрограммы. Принципы проектирования программ сверху-вниз и снизу-вверх. Объектно-ориентированное программирование. Эволюция и классификация языков программирования. Основные понятия языков программирования. Структуры и типы данных языка программирования. Трансляция, компиляция и интерпретация
Содержание программы по дисциплине «Спецглавы математики
(Теория вероятностей, Вычислительная математика)»
1. Теория вероятностей
Виды случайных событий. Теоремы сложения и умножения вероятностей, вероятность суммы событий, вероятность произведения событий. Независимые события. Формула полной вероятности и формулы Байеса. Дискретная случайная величина и ее закон распределения. Функция распределения случайной величины. Числовые характеристики дискретных случайных величин. Непрерывная случайная величина и ее закон распределения. Плотность распределения и функция распределения. Числовые характеристики непрерывных случайных величин.
2. Численные методы
Линейное программирование. Транспортная задача. Сетевое планирование и управление. Теория игр: матричные игры.
Численные методы решения алгебраических уравнений. Численные методы анализа. Численные методы решения дифференциальных уравнений. Численное дифференцирование и интегрирование. Интерполирование функций: интерполяционный многочлен Лагранжа.
Демоверсия экзаменационного варианта
- В представленном фрагменте программы
a := 10
b := 40
нц пока b >= a
| b := b – a
кц
тело цикла выполнится ____ раз(а).
A) 4
B) 3
C) 2
D) 1
- Для передачи сигналов на флоте используются цепочки сигнальных флагов, вывешиваемых в одну линию (последовательность флагов в цепочке важна). Каждая цепочка кодирует один сигнал. Какое количество различных сигналов может передать корабль при помощи цепочек, состоящих из трёх сигнальных флагов, если на корабле имеются флаги пяти различных видов и флагов каждого вида неограниченное количество?
- Даны вершины треугольника А(-1;2), B(3;2), C(1;-2) и медиана СD. Тогда сумма координат точки D равна …

График периодической функции имеет вид
S(x)— сумма ряда Фурье для этой функции. Тогда сумма S(2π) равна …
- В пирамиде пять винтовок, три из которых снабжены оптическим прицелом. Вероятность того, что стрелок поразит мишень при выстреле из винтовки с оптическим прицелом, равна 0,95; для винтовки без оптического прицела эта вероятность равна 0,7. Найти вероятность того, что мишень будет поражена, если стрелок произведет один выстрел из наудачу взятой винтовки.
……
40. Заполните пропуск
A(n) ___ is usually more expensive than a dictionary because it is in several volumes.
Выберите один ответ:
1) encyclopedia
2) publication
3) journal
4) report
СПИСОК ЛИТЕРАТУРЫ
По английскому языку:
- Иващенко И. А. Английский язык / И. А. Иващенко; Рос.акад. обр., Моск. психол.-соц. ин-т; под общ. ред. Т. Н. Кондрашиной. Москва: ФЛИНТА, 2014.
- Кашаев A. A. Основы делового аннглийского языка / Theabcofbusinessenglish: учебное пособие / А. А. Кашаев. – Москва: ФЛИНТА, 2012.
- ArmerT. Cambridge English for Scientists. - :Cambridge: Cambridge University Press, 2011.
- Hashemi L. with Murphy R. English Grammar in Use / Supplementary Exercises. - 3rd Edition. - Cambridge: Cambridge University Press, 2012.
- Murphy R. English Grammar in Use.- 4th. Edition, - Cambridge: Cambridge University Press, 2012.
- Профессиональный курс / English for Network Students: учеб.пособие. – М.: Лань, 2013.
По немецкому языку:
- Басова Н.В. Ватлина Л.И. Немецкий язык для технических вузов. М.: Кнорус, 2013.
- Смолдырева Т.В. Научная работа и карьера. Учебное электронное издание Уфа: УГАТУ, 2014. – 150 с.
- Лыскова Н.Н Техносферная безопасность: Учебное пособие по немец кому языку / Н.Н.Лыскова, Д.Р.Мухтарова. — Уфа: УГАТУ, 2014.- 144 с.
- Бикулова Г.Р. Немецкий язык в математике. Учебное электронное издание -Уфа: УГАТУ, 2015. – 136 с.
- Даминова Р.А. Биотехнические системы. Практикум по немецкому языку - Уфа: УГАТУ, 2013. – 85 с.
По французскому языку:
- Jean-Luc Penfornis. Affaires.com: Méthode du français des affaires. - P.: CLE international, 2011. / niveau avancé
- Jean-Luc Penfornis. Affaires.com: Méthode du français des affaires. - P.: CLE international, 2010. / niveau avancé
- Беклемишев Д.В. Курс аналитической геометрии и линейной алгебры. М.: Физматлит, 2007.
- Проскуряков И.В. Сборник задач по линейной алгебре. СПб: Лань, 2008.
- Беклемишева Л.А. Сборник задач по аналитической геометрии и линейной алгебре. М.: Физматлит, 2006.
- Ефимов Н.В. Линейная алгебра и многомерная геометрия. М.: Физматлит, 2004.
- Ильин В.А., Позняк Э.Г. Основы математического анализа. Т. 1, 2. М.:Физматлит, 2009.
- Фихтенгольц Г.М. Курс дифференциального и интегрального исчисления. Т. 1, 2, 3. М.: Физматлит, 2003, 2007, 2008.
- Демидович Б.П. Сборник задач и упражнений по математическому анализу. М.: Астрель, 2007.
- Кудрявцев Л.Д, Кутасов А.Д., Чехлов В.И., Шабунин М.И. Сборник задач по математическому анализу. В 3-х т. М.: Физматлит, 2003.
- Свешников А.Г., Тихонов А.Н. Теория функций комплексной переменной. М.: Физматлит, 2004.
- Волковыский Л.И., Лунц Г.А., Араманович И.Г. Сборник задач по теории функций комплексного переменного. М.: Физматлит, 2004.
- Информатика [Электронный ресурс]: курс лекций / Л. И. Шехтман [и др.]; ГОУ ВПО УГАТУ - Уфа: УГАТУ, 2011
- Информатика. Базовый курс: [учебное пособие для студентов высших технических учебных заведений] / под ред. С. В. Симоновича - Санкт-Петербург [и др.]: Питер, 2011 - 637 с.
- Каймин В. А. Информатика: учебник / В. А. Каймин. - Москва: Проспект, 2010. – 270 с.
- Кудинов Ю. И. Основы современной информатики [Электронный ресурс]: [учебное пособие для студентов высших учебных заведений, обучающихся по специальности «Прикладная информатика»] / Ю. И. Кудинов, Ф. Ф. Пащенко - Санкт-Петербург [и др.]: Лань, 2011 - 256 с.
- Новожилов, О. П. Информатика : [учебное пособие для студентов высших учебных заведений, обучающихся по специальностям группы "Экономика и управление" и направлению "Информатика и вычислительная техника"] / О. П. Новожилов; Московский государственный индустриальный университет (МГИУ) .- 2-е изд., испр. и доп. — Москва : Юрайт, 2013.- 564 с.
- Макарова, Н. В. Информатика : [учебник для студентов вузов, обучающихся по направлениям подготовки бакалавров "Системный анализ и управление" и "Экономика и управление"] / Н. В. Макаров, В. Б. Волкова. Санкт-Петербург [и др.] : Питер, 2013.- 576 с.
- Кауфман В. Ш. Языки программирования. Концепции и принципы [Электронный ресурс]: [пособие для студентов вузов] / В. Ш. Кауфман Москва: ДМК ПРЕСС, 2010 - 464 с.
- Орлов, С. А. Теория и практика языков программирования : [учебник по направлению "Информатика и вычислительная техника"] / С. А. Орлов . - Санкт-Петербург [и др.]: Питер, 2013.- 688 с.
- Хорев, П. Б. Объектно-ориентированное программирование : [учебное пособие для студентов, обучающихся по направлению "Информатика и вычислительная техника"] / П. Б. Хорев. — 3-е изд., испр. Москва : Академия, 2011.- 446, [2] с.
- Васильев Ф.П. Методы оптимизации. Учебник и практикум для бакалавриата и магистратуры. М:Юрайт, 2016.
- Гмурман В.Е. Теория вероятности и математическая статистика: [учебное пособие для студентов вузов] – М.: Юрайт, 2015. – 479 с.
- Ерзин А.И. Введение в исследование операций: Учебное пособие/ А.И. Ерзин.-Новосиб.гос.ун-т. Новосибирск. 2008. 100с.
- Киреев В.И. Численные методы в примерах и задачах: [учебное пособие для студентов вузов, обучающихся по направлению «Прикладная математика»] / В.И. Киреев, А.В. Пантелеев - СПб: Лань, 2015 - 448 с.
- Мартынов А.П., Валеева А.Ф., Валеев Р.С. Методы повышения эффективности вычислительных схем в задачах оптимизации //Учебное пособие, Изд-во УГАТУ, 2013. 142 с. (Книгообеспеченность 1 экз. на студента).
- Срочко В.А. Численные методы: учебное пособие - СПб: Лань, 2016-208 c.
Промышленная экология
ПРОГРАММА
вступительного испытания
для поступающих в магистратуру по направлению подготовки
05.04.06 «Экология и природопользование»
программы (профиль)
«Зеленая химия для устойчивого развития»,
«Экологический инжиниринг и аудит»
ОБЩИЕ ПОЛОЖЕНИЯ
Вступительные испытания предназначены для определения практической и теоретической подготовленности поступающего в магистратуру и проводятся с целью определения соответствия знаний умений и навыков требованиям обучения магистратуры по направлению подготовки 05.04.06 «Экология и природопользование». Программа составлена в соответствии с требованиями федерального государственного образовательного стандарта высшего профессионального образования.
Вступительные испытания в магистратуру проводят экзаменационные комиссии, назначенные председателем приёмной комиссии УУНиТ.
ПРОЦЕДУРА ВСТУПИТЕЛЬНОГО ИСПЫТАНИЯ
Дата и время проведения вступительного испытания и консультации определяются расписанием вступительных испытаний, которое утверждается председателем приемной комиссии.
Перед вступительным испытанием для поступающих проводится консультация по содержанию программы испытания, критериям оценки, предъявляемым требованиям, правилам поведения на испытании.
Форма вступительного испытания (в соответствии Положением о вступительных испытаниях УУНИТ): тестирование.
Вступительные испытания в виде электронного тестирования проводятся в соответствии с программами вступительных испытаний, утверждаемых председателем предметной комиссии.
Вступительные испытания в форме тестирования включают вопросы как закрытого, так и открытого типа, а также задания в аудио- и видеоформатах.
Составление вариантов экзаменационных заданий в форме электронных тестов осуществляется ответственным секретарем приемной комиссии университета.
Из вариантов экзаменационных заданий формируются комплекты вопросов-тестов.
Компоновку комплектов вопросов-тестов ответственный секретарь, заместитель ответственного секретаря производят до вступительных испытаний.
Тест содержит 40 тестовых вопросов.
Результаты испытаний оцениваются по 100 бальной шкале.
Абитуриент, не согласный с оценкой, полученной на ВИ и (или) в связи с нарушением процедуры проведения ВИ имеет право подать апелляцию. Процедура подачи и рассмотрения апелляции регламентируется Положением об апелляционной комиссии УУНиТ.
КРИТЕРИИ ОЦЕНИВАНИЯ ОТВЕТА
Критериями оценки экзаменационного ответа, поступающего в магистратуру являются полнота, логичность, доказательность, прочность, осознанность знаний и теоретическая обоснованность суждений, самостоятельность в интерпретации информации, практическая направленность, уровень овладения профессиональными умениями менеджера и др. В случае тестирования является правильные ответы на тестовые задания.
При проверке количество первичных баллов переводится в итоговую 100 балльную шкалу через информационную платформу университета.
СОДЕРЖАНИЕ РАЗДЕЛОВ И ТЕМ ПРОГРАММЫ ВСТУПИТЕЛЬНОГО ИСПЫТАНИЯ
- Содержание программы по дисциплине «Экология и науки о земле»
- Условия жизни на Земле. Классификация экологических факторов. Природные и антропогенные факторы. Биотические и абиотические факторы. Деление факторов на ресурсы и условия. Роль отдельных абиотических факторов в жизни организмов (солнечный свет, температура, влажность, солевой режим, давление и др.). Количественная оценка экологических факторов. Закон оптимума. Толерантность. Границы толерантности и многообразие видов. Изменение толерантности и положение оптимума в онтогенезе и по сезонам года. Акклимация и акклиматизация. Совместное действие факторов. Закон ограничивающего фактора.
- Основные среды жизни и адаптации к ним организмов. Специфика водной среды обитания и адаптации гидробионтов. Почва как среда обитания. Особенности наземно-воздушной среды жизни. Живые организмы как среда обитания. Основные адаптивные стратегии организмов: подчинение среде, активное сопротивление и избегание неблагоприятных воздействий.
- Пойкилогидричность и пойкилотермность. Их адаптивные преимущества и недостатки. Динамичность требований к температурному фактору на примере растений. Гомойогидричность и гомойотермность. Способы регуляции температуры тела у теплокровных деревьев: химическая, физическая и поведенческая терморегуляции. Способы избегания неблагоприятных воздействий в видовых адаптациях. Эволюционные изменения жизненных циклов как путь избегания неблагоприятных оздействий. Эфемеры и эфемероиды.
- Принципы экологических классификаций организмов. Экологические спектры видов. Принцип экологической индивидуальности Л.Г. Раменского. Множественность экологических классификаций и их критерии. Выделение жизненных форм организмов как пример экологической классификации. Экологическая роль конвергентного сходства. Адаптивная морфология видов. Разнообразие классификаций жизненных форм.
- Учение об атмосфере Основные понятия: атмосфера, погода, климат; основные климатообразующие процессы; состав атмосферного воздуха и строение атмосферы, жидкие и твердые примеси в атмосферном воздухе.
- Учение о гидросфере. Основные гидрологические характеристики вод океана и суши; плотность, температура и соленость вод океана. Основные механизмы взаимодействия гидросферы и атмосферы; общий, малый и большой круговороты воды на Земле; средний период круговорота воды. Основные проблемы качества воды: состояние, тенденции, факторы управления.
- Основы природопользования. История и становление природопользования; региональные и локальные системы природопользования; традиционное и комплексное природопользование и их основные виды. Природные ресурсы: их классификации, оценка, учет и использование.
- Отраслевое природопользование и его экологическая оптимизация: сельское хозяйство, лесное хозяйство, рыбное и охотничье хозяйства, геологоразведка, добыча полезных ископаемых, энергетика, деревообрабатывающая промышленность и т.д.
- Территориальная охрана природы как особая форма природопользования: ООПТ мира и России (государственные заповедники, национальные и природные парки, государственные заказники, памятники природы, дендрологические и ботанические сады, курорты и лечебнооздоровительные местности); рекреационный комплекс и его экологическая оптимизация.
- Правовые основы природопользования. Основные составляющие современной российской экономики в области природопользования и регулировании антропогенного влияния на окружающую среду. Современное российское экологическое законодательство: закон РФ “Об охране окружающей среды”, “Земельный кодекс РФ”, “Водный кодекс РФ”, “Лесной кодекс РФ”, закон РФ “О недрах”, закон РФ “О животном мире”, закон РФ “Об экологической экспертизе”, закон РФ “Об ООПТ”.
II. Содержание программы по дисциплине «Промышленная экология»
-
-
- Проблемы охраны окружающей среды. Загрязнение окружающей среды. Классификация загрязнений окружающей среды. Нежелательные последствия загрязнения окружающей среды. Безотходное и малоотходное производство.
- Антропогенные загрязнения атмосферы. Основные источники и характеристика загрязнений атмосферы. Нормирование атмосферных загрязнений.
- Основные физико-химические свойства пылей, параметры очищаемых газов и оценка эффективности систем пылеочистки.
- Аппараты для очистки газов от загрязнителей атмосферы. Классификация пылеулавливающих аппаратов.
- Сухие механические газоочистные аппараты (пылеуловители). Осаждение в гравитационном поле. Осаждение в инерционном поле. Осаждение в центробежном поле.
- Очистка газов фильтрованием. Общие сведения о процессе. Характеристика пористой перегородки. Типы фильтров.
- Электрическая очистка газов.
- Мокрая очистка газов.
- Защита атмосферы от газовых выбросов. Источники загрязнения атмосферы вредными газовыми выбросами. Классификация процессов и аппаратов очистки газовых выбросов.
- Абсорбционная очистка газов. Конструкции и принцип действия абсорберов. Десорбция загрязнителей из абсорбентов.
- Адсорбционная очистка газов. Устройство и принцип действия адсорберов. Десорбция адсорбированных продуктов.
- Стратегия и тактика защиты гидросферы. Использование пресных вод. Показатели качества воды.
- Процессы и аппараты механической очистки сточных вод. Сооружения первичной обработки сточных вод: решетки, усреднители, песколовки.
- Процессы и аппараты механической очистки сточных вод. Отстойники, гидроциклоны, центрифуги.
- Процессы и аппараты механической очистки сточных вод. Фильтрация. Классификация фильтров.
- Физико-химические способы очистки сточных вод. Коагуляция и флокуляция. Флотация.
- Физико-химические способы очистки сточных вод. Адсорбция. Экстракция. Ионный обмен.
- Биологическая очистка сточных вод. Устройства и сооружения для реализации процесса биологической очистки сточных вод.
- Аэротенки. Схемы очистки сточных вод в аэротенках.
- Биофильтры. Общие сведения о биофильтрах и их классификация. Биологические пруды.
- Обработка осадков сточных вод. Основные процессы, применяемые для обработки осадков производственных сточных вод. Уплотнение осадков. Анаэробное (метановое) сбраживание осадков. Кондиционирование осадков. Обезвоживание осадков. Компостирование.
- Термические методы обезвреживания отходов.
- Переработка и утилизация твердых отходов. Общие и специальные методы переработки и обеззараживания твердых отходов.
-
Демоверсия экзаменационного варианта
1.Свой вклад в суммарное естественное радиационное поле Земли не вносит:
а) космическое излучение;
б) радиоактивный распад элементов земной коры;
в) отходы АЭС;
г) дегазация вследствие выхода на поверхность радиоактивных газов (радон Rn, торий Th).
2. Одноатомная или многоатомная электрически заряженная частица, образующаяся в результате потери или присоединения атомом, или молекулой одного или нескольких электронов – это:
а) нуклид;
б) изотоп;
в) альфа-излучение;
г) ион.
3. Для предприятий, производств и объектов II класса опасности устанавливается минимальная санитарно-защитная зона:
а) 10000 м
б) 1000 м
в) 500 м
г) 100 м
4. В переводе с английского языка термин «аудит» означает:
а) ревизия отчетности
б) приезд ревизора
в) аудитория
г) экспертиза.
5. Для защиты органов дыхания, лица и глаз детей от сильнодействующих ядовитых, отравляющих, радиоактивных веществ и бактериальных аэрозолей применяются:
а) респираторы;
б) противогазы;
в) ватно-марлевые повязки;
г) защитные камеры.
6. К биологическим опасным и вредным факторам относятся:
а) ионизирующие излучения;
б) токсические вещества;
в) патогенные микроорганизмы;
г) локальные вибрации.
СПИСОК ЛИТЕРАТУРЫ
- Гончарова, О. В. Экология для бакалавров [Текст] : учеб. пособие; рек. Моск. гос. ун-том природообустройства / О. В. Гончарова. - Ростов н/Д : Феникс, 2013. - 366, [2] с.
- Электронный курс лекций по дисциплине "Экология" [Электронный ресурс] : для студентов агроном. напр. / ДальГАУ, ФАиЭ ; сост.: С. Е. Низкий, Т. Е. Абросимова. - 702Мб. - Благовещенск : ДальГАУ, 2014. - 1 эл. опт. диск (CD-ROM). - Загл. на экране : Экология.
- Рыжков, И.Б. Основы научных исследований и изобретательства [Электронный ресурс] : учебное пособие. — Электрон. дан. — СПб. : Лань, 2013. — 223 с. — Режим доступа: http://e.lanbook.com/books/element.php?pl1_id=30202
- Дмитренко, В.П. Экологический мониторинг техносферы [Электронный ресурс] : учебное пособие / В.П. Дмитренко, Е.В. Сотникова, Черняев А. В. — Электрон. дан. — СПб. : Лань, 2014. — 364 с. — Режим доступа: http://e.lanbook.com/books/element.php?pl1_id=4043.
- Страус В. Промышленная очистка газов. М.: Химия, 1981.
- Ветошкин А. Г. Инженерная защита окружающей среды от вредных выбросов: учебное пособие. 2-е изд., испр. и доп. - М. : Инфра-Инженерия, 2019. - 416 с.
- Ветошкин А. Г. Инженерная защита гидросферы от сбросов: учебное пособие. 2-е изд., испр. и доп. - М. : Инфра-Инженерия, 2019. - 296 с.
- Зиганшин М.Г. Проектирование аппаратов пылегазоочистки /М.Г. Зиганшин.- 2002, - 295 с
- Свитцов А. А. Введение в мембранную технологию, М., ДеЛипринт, 2007, 208 с.
- Яковлев, С. В. Биологические фильтры / С. В. Яковлев, Ю. В. Воронов. - 2-е изд., перераб. и доп. - Москва : Стройиздат, 1982. - 122 с.
- Шубов, Л. Я. Технология отходов: учебник / Л. Я. Шубов, М. Е. Ставровский, А. В. Олейник; под ред. Л. Я. Шубова. - Москва : Альфа-М ; Москва : Уником Сервис; Москва : ИНФРА-М, 2011.- 348с.
- Водоотведение : учебник / Ю. В. Воронов [и др.] ; под общ. ред. Ю. В. Воронова. - Москва : ИНФРА-М, 2011. - 41 Зс.
- Попов М.А., Румянцев И.С. Природоохранные сооружения. - М.: КолосС, -2005.
- Инженерная защита окружающей среды. Очистка вод. Утилизация отходов / Под ред. Ю.А. Бирман и Н.Г.Бурдовой. - М.: Изд-во Ассоциации строительных вузов, - 2002, - 295 с.
- Оборудование, сооружения, основы проектирования химико- технологических процессов защиты биосферы от промышленных выбросов. Учебн. пособие для вузов /Родионов А.И., Кузнецов Ю.П., Зенков В.В., Соловьев Г.С. - М.: Химия, - 1985. - 352 с.
Математика и информатика
ПРОГРАММА
вступительных испытаний
для поступающих в магистратуру по направлениям подготовки
01.04.01 «Математика»
программа (профиль)
«Вещественный, комплексный и функциональный анализ»
01.04.02 «Прикладная математика и информатика»
программа (профиль)
«Искусственный интеллект в кибербезопасности»,
«Технологии программирования»,
«Современные технологии моделирования»
ОБЩИЕ ПОЛОЖЕНИЯ
Вступительные испытания предназначены для определения практической и теоретической подготовленности поступающего в магистратуру и проводятся с целью определения соответствия знаний умений и навыков требованиям обучения магистратуры по направлениям подготовки 01.04.01 «Математика» (магистратура), 01.04.02 «Прикладная математика и информатика» (магистратура). Программа составлена в соответствии с требованиями федерального государственного образовательного стандарта высшего профессионального образования.
Вступительные испытания в магистратуру проводят экзаменационные комиссии, назначенные председателем приёмной комиссии УУНиТ.
ПРОЦЕДУРА ВСТУПИТЕЛЬНОГО ИСПЫТАНИЯ
Дата и время проведения вступительного испытания и консультации определяются расписанием вступительных испытаний, которое утверждается председателем приемной комиссии.
Перед вступительным испытанием для поступающих проводится консультация по содержанию программы испытания, критериям оценки, предъявляемым требованиям, правилам поведения на испытании.
Форма вступительного испытания (в соответствии Положением о вступительных испытаниях УУНИТ): тестирование.
Вступительные испытания в виде электронного тестирования проводятся в соответствии с программами вступительных испытаний, утверждаемых председателем предметной комиссии.
Вступительные испытания в форме тестирования включают вопросы как закрытого, так и открытого типа, а также задания в аудио- и видеоформатах.
Составление вариантов экзаменационных заданий в форме электронных тестов осуществляется ответственным секретарем приемной комиссии университета.
Из вариантов экзаменационных заданий формируются комплекты вопросов-тестов.
Компоновку комплектов вопросов-тестов ответственный секретарь, заместитель ответственного секретаря производят до вступительных испытаний.
Тест содержит 40 тестовых вопросов.
Результаты испытаний оцениваются по 100 бальной шкале.
Абитуриент, не согласный с оценкой, полученной на ВИ и (или) в связи с нарушением процедуры проведения ВИ имеет право подать апелляцию. Процедура подачи и рассмотрения апелляции регламентируется Положением об апелляционной комиссии УУНиТ.
КРИТЕРИИ ОЦЕНИВАНИЯ ОТВЕТА
Критериями оценки экзаменационного ответа, поступающего в магистратуру являются полнота, логичность, доказательность, прочность, осознанность знаний и теоретическая обоснованность суждений, самостоятельность в интерпретации информации, практическая направленность, уровень овладения профессиональными умениями менеджера и др. В случае тестирования является правильные ответы на тестовые задания.
При проверке количество первичных баллов переводится в итоговую 100 балльную шкалу через информационную платформу университета.
СОДЕРЖАНИЕ РАЗДЕЛОВ И ТЕМ ПРОГРАММЫ ВСТУПИТЕЛЬНОГО ИСПЫТАНИЯ
Математический анализ
1. Функция. Предел функции в точке.
2. Непрерывность функции. Точки разрыва функции и их классификация.
3. Производная функции, ее геометрический смысл. Основные правила дифференцирования. Уравнение касательной и нормали к плоской кривой. Производная сложной функции.
4. Условие возрастания и убывания функций. Точки экстремума. Достаточные признаки максимума и минимума. Отыскание наибольших и наименьших значений непрерывной на отрезке функции. Исследование на максимум и минимум с помощью производных высших порядков. Исследование функций на выпуклость. Точки перегиба. Асимптоты кривой.
5. Первообразная. Неопределенный интеграл и его свойства. Замена переменной, интегрирование по частям. Интегрирование рациональных функций. Интегрирование тригонометрических функций. Интегрирование иррациональных функций.
6. Определение определенного интеграла. Основные свойства определенного интеграла. Замена переменной и интегрирование по частям в определенном интеграле. Формула Ньютона-Лейбница.
7. Несобственные интегралы с бесконечными пределами. Несобственные интегралы от неограниченных функций.
8. Функции многих переменных. Частные производные и полный дифференциал функции многих переменных. Дифференцирование сложных функций многих переменных. Касательная плоскость и нормаль к поверхности. Частные производные высших порядков.
9. Понятие числового ряда, его суммы. Сходящиеся и расходящиеся ряды. Необходимое условие сходимости.
10. Основные признаки сходимости знакоположительных рядов, признаки сравнения, Даламбера, радикальный признак Коши, интегральный признак Коши.
11. Знакопеременные ряды, абсолютная и условная сходимость. Знакочередующиеся ряды. Признак Лейбница для сходимости знакочередующегося ряда.
12. Функциональные ряды, область сходимости функциональных рядов. Степенные ряды, лемма Абеля. Ряд Тейлора. Разложение элементарных функций в степенные ряды. Ряд Маклорена.
Теория функций комплексного переменного
1. Комплексные числа. Геометрическая, тригонометрическая и показательная форма комплексного числа. Арифметические действия над комплексными числами, сложение, вычитание, умножение и деление.
2. Функции комплексного переменного. Дифференцирование функции комплексного переменного. Условия Коши-Римана.
3. Интегрирование функции комплексного переменного. Основные свойства интеграла.
4. Теорема Коши и интегральная формула Коши.
5. Особые точки аналитических функций. Вычеты, способы их вычисления, основная теорема о вычетах. Применение вычетов для вычисления интегралов.
Обыкновенный дифференциальные уравнения
1. Дифференциальные уравнения с разделяющимися переменными. Однородные дифференциальные уравнения. Линейные дифференциальные уравнения 1 порядка. Уравнение Бернулли.
2. Линейные однородные дифференциальные уравнения с постоянными коэффициентами. Линейные неоднородные дифференциальные уравнения с постоянными коэффициентами. Метод неопределенных коэффициентов.
Высшая алгебра и геометрия
1. Матрицы и действия над ними. Сложение матриц, умножение матрицы на число, транспонирование матриц, произведение матриц.
2. Определители, их свойства и вычисление.
3. Ранг матрицы. Системы линейных алгебраических уравнений и условие их совместности. Теорема Кронекера-Капелли. Использование метода Гаусса для решения систем линейных уравнений.
4. Обратная матрица. Решение систем линейных уравнений матричным способом. Формулы Крамера.
5. Векторы. Линейные действия над векторами. Проекция вектора на ось. Вектор в прямоугольной декартовой системе координат.
6. Скалярное, векторное и смешанное произведения векторов, их свойства и выражение через координаты сомножителей.
7. Уравнение прямой на плоскости и в пространстве. Различные виды уравнений плоскости в пространстве.
8. Кривые второго порядка. Приведение уравнения кривой второго порядка к каноническому виду.
Дискретная математика
1. Элементы комбинаторики. Перестановки, сочетания, размещения. Бином Ньютона.
2. Основные положения теории множеств. Операции с множествами. Мощность множества.
3. Основные положения математической логики. Алгебра логики. Булевы функции. Дизъюнктивные и конъюнктные нормальные формы. Многочлены Жегалкина. Базисы булевых функций.
4. Графы. Типы и способы задания графов. Деревья и их свойства. Геометрическая реализация графов.
Теория вероятностей и математическая статистика
1. События: достоверное, невозможное, случайное. Определение вероятности. Теоремы о вероятностях. Теорема о полной вероятности событий. Формула Байеса.
2. Случайные величины. Виды случайных величин. Функция распределения вероятностей случайной величины. Плотность вероятностей непрерывной случайной величины. Свойства. Числовые характеристики случайной величины. Математическое ожидание, дисперсия, среднее квадратическое отклонение. Свойства числовых характеристик.
Алгоритмизация и программирование
1. Понятие алгоритма и его свойства. Блок-схема алгоритма. Основные алгоритмические конструкции. Базовые алгоритмы. Программы линейной структуры. Операторы ветвления, операторы цикла.
2. Этапы решения задач на компьютерах. Понятие о структурном программировании. Модульный принцип программирования. Подпрограммы. Принципы проектирования программ сверху-вниз и снизу-вверх. Объектно-ориентированное программирование. Эволюция и классификация языков программирования. Основные понятия языков программирования. Структуры и типы данных языка программирования. Трансляция, компиляция и интерпретация.
Демоверсия экзаменационного варианта
- Множество Z целых чисел замкнуто относительно операций …
|
|
|
|
- Разложение определителя
по третьей строке имеет вид…
- Установите соответствие между уравнением прямой и её угловым коэффициентом:
1) 3x+4y-3=0 ; 2) 2y+3=0 ; 3) 3x-5=0 .

4. Поверхность, определяемая уравнением x2+y2+z2=64 , является …
|
|
|
|
5. Дана функция
. Тогда областью её значений является …

6. Наименьший действительный корень многочлена p(x)=(x+3)7(x–5)3–121(x+3)5(x–5)3 равен …
7. Укажите график периодической функции

8.Производная частного x+2x-2
равна …

СПИСОК ЛИТЕРАТУРЫ
[1] Л.Д.Кудрявцев: Курс математического анализа. В 3-х томах, - М.: Дрофа, 2003-2006.
[2] Л.Д.Кудрявцев и др.: Сборник задач по математическому анализу. В 3-х томах, - М.: Физматлит, 2003.
[3] Г.М.Фихтенгольц: Курс дифференциального и интегрального исчисления. В 5-х томат, - М.: Физматлит, 2001.
[4] Б.П.Демидович: Сборник задач и упражнений по математическому анализу, - М.: АСТ Астрель, 2010.
[5] М.А.Лаврентьев, Б.В.Шабат: Методы теории функций комплексного переменного, - СПб.: Лань, 2002.
[6] А.И.Маркушевич: Теория аналитических функций. В 2-1 томах, - СПб.: Лань, 2009.
[7] Б.В.Шабат: Введение в комплексный анализ. В 2 частях, - СПб.: Лань, 2004.
[8] А.Г.Курош: Курс высшей алгебры, - СПб.: Лань, 2008.
[9| А.И.Кострикин: Введение в алгебру, в 3 частях, - М: Изд-во МЦ-НМО, 2009.
[10] А.И.Кострикин и др.: Сборник задач по алгебфе, - М.: Изд-во МЦН-МО, 2009.
[11] В.А.Ильин, Э.Г.Позняк: Аналитическая геометрия, - М.: ФизМат-Лит, 2012.
[12] Л.А.Беклемишева, А.Ю.Петрович, И.А.Чубаров: Сборник задач по аналитической геометрии и линейной алгебре, - М.: ФизМатЛит, 2008.
[13] В.И.Арнольд: Обыкновенные дифференциальные уравнения, - М. Наука, 2010.
[14] А.Ф.Филиппов: Введение в теорию дифференциальных: уравнений, -М.: Едиториал УРСС, 2011.
[15] А.Ф.Филиппов: Сборник задач по дифференциальным уравнениям, -М., Ижевск: Изд-во РХД, 2010.
[16] Я.М. Ерусалимский: Дискретная математика. Теория и практикум: учебник, -Санкт-Петербург: Лань, 2018.
[17] Б.В. Гнеденко: Курс теории вероятностей, - М.: Либроком, 2011.
[18| В.Е. Гмурман: Теория вероятностей и математическая статистика, - М.: Юрайт, 2012.
[19| В.Е.Гмурман: Руководство к решению задач по теории вероятностей и математической статистике, - М.: Юрайт, 2010.
[20] Каймин В.А. Информатика: учебник / В. А. Каймин. — Москва: Проспект, 2010.
[21] Кауфман В.Ш. Языки программирования. Концепции и принципы [Электронный ресурс]: [пособие для студентов вузов] / В. Ш. Кауфман - Москва: ДМК ПРЕСС, 2010 - 464 с.
[22] Т.А.Павловская: С/С++. Программирование на языке высокого уровня, - СПб.: Питер, 2003.
[23] Т.А. Павловская, Ю.А. Щупак: С/С++. Структурное программирование: Практикум, - СПб.: Питер, 2003.
[24] Т.А. Павловская, Ю.А.Щупак: С++. Объектно-ориентированное программирование: Практикум, - СПб.: Питер, 2006.
[25] Джефри Ульман, Дженнифер Уидом: Введение в системы баз данных, - М.: Лори, 2006.
[26] Тектор Гарсиа-Молина, Джефри Ульман, Дженнифер Уидом: Системы баз данных. Полный курс, - М.: Вильямс, 2004.
[27] К.Дж. Дейт. Введение в системы баз данных, - М.: Вильямс, 2008.
[28] Джеймс Р. Грофф, Пол Н. Вайнберг, Эндрю Дж. Опель: SQL: полный справочник, - М.: Вильямс, 2011.
Политест 38 (ПИШ)
ПРОГРАММА
вступительного испытания
для поступающих в магистратуру по направлению подготовки
38.04.01 «Экономика»
программа (профиль)
«Экономика и управление инновационным предприятием»
ОБЩИЕ ПОЛОЖЕНИЯ
Вступительные испытания предназначены для определения практической и теоретической подготовленности поступающего в магистратуру и проводятся с целью определения соответствия знаний умений и навыков требованиям обучения магистратуры по направлению подготовки 38.04.01 «Экономика» (магистратура). Программа составлена в соответствии с требованиями федерального государственного образовательного стандарта высшего профессионального образования.
Вступительные испытания в магистратуру проводят экзаменационные комиссии, назначенные председателем приёмной комиссии УУНиТ.
ПРОЦЕДУРА ВСТУПИТЕЛЬНОГО ИСПЫТАНИЯ
Дата и время проведения вступительного испытания и консультации определяются расписанием вступительных испытаний, которое утверждается председателем приемной комиссии.
Перед вступительным испытанием для поступающих проводится консультация по содержанию программы испытания, критериям оценки, предъявляемым требованиям, правилам поведения на испытании.
Форма вступительного испытания (в соответствии Положением о вступительных испытаниях УУНИТ): тестирование.
Вступительные испытания в виде электронного тестирования проводятся в соответствии с программами вступительных испытаний, утверждаемых председателем предметной комиссии.
Вступительные испытания в форме тестирования включают вопросы как закрытого, так и открытого типа, а также задания в аудио- и видеоформатах.
Составление вариантов экзаменационных заданий в форме электронных тестов осуществляется ответственным секретарем приемной комиссии университета.
Из вариантов экзаменационных заданий формируются комплекты вопросов-тестов.
Компоновку комплектов вопросов-тестов ответственный секретарь, заместитель ответственного секретаря производят до вступительных испытаний.
Тест содержит 40 тестовых вопросов.
Результаты испытаний оцениваются по 100-бальной шкале.
Абитуриент, не согласный с оценкой, полученной на ВИ и (или) в связи с нарушением процедуры проведения ВИ имеет право подать апелляцию. Процедура подачи и рассмотрения апелляции регламентируется Положением об апелляционной комиссии УУНиТ.
КРИТЕРИИ ОЦЕНИВАНИЯ ОТВЕТА
Критериями оценки экзаменационного ответа, поступающего в магистратуру являются полнота, логичность, доказательность, прочность, осознанность знаний и теоретическая обоснованность суждений, самостоятельность в интерпретации информации, практическая направленность, уровень овладения профессиональными умениями менеджера и др. В случае тестирования является правильные ответы на тестовые задания.
При проверке количество первичных баллов переводится в итоговую 100 балльную шкалу через информационную платформу университета.
СОДЕРЖАНИЕ РАЗДЕЛОВ И ТЕМ ПРОГРАММЫ ВСТУПИТЕЛЬНОГО ИСПЫТАНИЯ
Экономическая теория: микроэкономика
- Поведение потребителей. Полезность блага. Закон убывающей предельной полезности. Анализ поведения потребителя на основе кардиналистской и ординалистской концепций. Кривые безразличия и норма замещения. Бюджетная линия и равновесие потребителей. Эффекты дохода и замены. Эластичность спроса по цене и по доходу, перекрестная эластичность. Применение эластичности при анализе и прогнозировании рыночных процессов.
- Рыночная экономика: поведение производителей. Изокоста и изокванта. Эффекты масштаба.
- Фирма как единица бизнеса. Фирма и предприятие. Виды и формы предприятий. Цели деятельности фирмы. Формирование предпринимательского капитала; внутренние и внешние источники. Эффективность использования основного и оборотного капитала. Цели фирмы и концепция издержек в экономической теории. Классификация издержек и доходов фирмы.
- Сущность конкуренции; основные условия рынка совершенной конкуренции. Причины, порождающие рынки несовершенной конкуренции. Основные формы несовершенной конкуренции и рыночная власть. Чистая монополия (естественная, искусственная, открытая и закрытая), ценовая дискриминация. Олигополия. Рынок монополистической конкуренции с дифференциацией продукта, неценовые формы конкурентной борьбы. Источники и пределы монополизации рынков. Потери от несовершенной конкуренции. Антимонопольное законодательство и регулирование экономики. Поведение фирмы в условиях совершенной и несовершенной конкуренции. Определение оптимального объема выпуска продукции. Проблема равновесия фирмы в краткосрочном и долгосрочном периоде. Показатели эффективности работы фирмы.
- Рынки факторов производства. Функциональное распределение результатов производства. Сущность рынков факторов производства. Собственность на факторы производства и виды доходов. Особенности формирования спроса и предложения по основным факторам производства. Собственность на землю и рентные отношения. Цена земли. Рынок труда и трудовые отношения. Номинальная и реальная заработная плата. Отклонения от равновесия рынков труда и безработица. Рынок капитальных активов. Процент как доход на капитальные активы. Процентная ставка. Инвестиционный процесс и дисконтирование. Динамика процента и его факторы. Стратегия принятия инвестиционного решения.
- Общее экономическое равновесие и несостоятельность (провалы) рынка. Аллокативная роль государства. Модель общего экономического равновесия. Взаимодействие двух рынков благ: эффект обратной связи. Причины «отказов» рынка. Внешние эффекты в потреблении и производстве. Общественные блага. Асимметричность рыночной информации. Неопределенность и риски в экономике, методы их снижения. Модель общего равновесия Л. Вальраса и модель рыночного социализма. Эффективность обмена. Выгоды торговли. Эффективность производства. Общее равновесие и экономика благосостояния. Парето-эффективность. Конфликт между экономической эффективностью и социальной справедливостью.
Экономическая теория: макроэкономика
- Национальная экономика. Основные макроэкономические показатели. Понятие национальной экономики. Макроэкономика и экономическая политика государства. Модель кругооборота закрытой и открытой экономики. Сущность системы национальных счетов. Валовой национальный продукт и внутренний продукт, способы их измерения. Чистый национальный продукт, национальный доход, личный доход, личный располагаемый доход. Индексы цен.
- Макроэкономическое равновесие. Базовая макроэкономическая модель AD-AS. Совокупный спрос и совокупное предложение; факторы, их определяющие. Равновесие между совокупным спросом и совокупным предложением. Равновесие между совокупным спросом и совокупным предложением, его нарушение. Шоки спроса и шоки предложения. Стабилизационная политика государства.
- Макроэкономическая нестабильность. Инфляция. Безработица. Цикличность экономического развития. Макроэкономические показатели нестабильности: темпы экономического роста, инфляции и безработицы. Экономический цикл и его фазы. Безработица: понятие, виды, фактический и естественный уровень, последствия, закон Оукена, методы борьбы. Особенности проявления видов безработицы в российской экономике. Инфляция: понятие, виды, уровень, факторы и причины возникновения, социально-экономические последствия. Антиинфляционная политика государства. Причины и особенности инфляции в российской экономике. Взаимосвязь безработицы, инфляции и ВНП. Кривая Филипса.
- Равновесие на рынке благ. Кейнсианская модель. Потребление. Сбережения. Инвестиции. Потребление и сбережения: понятия, взаимосвязь и различия, склонность к потреблению и сбережению, функции. Инвестиции: понятие, основные направления, источники, роль в экономике, мотивы, функция. «Крест Кейнса» - модель макроэкономического равновесия. Теория мультипликатора автономных расходов, инвестиций. Акселератор. Равновесие на товарном рынке. Модель «IS».
- Финансовая система и бюджетно-налоговая политика государства. Финансовая система. Государственный бюджет. Государственные расходы. Налоги, их функции, виды (прямые и косвенные), принципы и методы налогообложения. Бюджетно-налоговая политика: цели, инструменты, механизм действия, виды (дискреционная и недискреционная, стимулирующая и сдерживающая). Мультипликаторы государственных расходов, налогов. Профицит, дефицит государственного бюджета. Государственный долг, последствия накопления, методы управления.
- Равновесие на денежном рынке. Роль кредитно-банковской системы и денежно-кредитной политики. Понятие денег, их функции, ликвидность денег. Банковская система. Обязательные и избыточные резервы. Кредитная мультипликация. Денежный мультипликатор. Равновесие на денежном рынке. Модель «LM». Кредитно-денежная политика: цели, методы (прямое, косвенное регулирование) инструменты, механизм, виды (гибкая и жесткая, политика «дешевых» и «дорогих» денег). Кредит: понятие, источники, функции, виды и формы. Центральный банк, его функции и роль в кредитно-банковской системе. Коммерческие банки, их функции, основные виды деятельности, основные операции.
- Экономический рост и развитие. Понятие, факторы, количественные показатели экономического роста. Посткейнсианские модели экономического роста Харрода и Домара. Неоклассическая модель Солоу.
- Открытая экономика: торговая политика, платежный баланс, валютный курс. Национальная экономика и мировое хозяйство. Международные экономические отношения. Мировая торговля. Интеграционные процессы в мировой экономике. Международная миграция капитала, рабочей силы. Транснациональные корпорации. Валютные рынки. Валютные курсы. Паритет покупательной способности. Платежный баланс: понятие, структура, методы регулирования.
Иностранный язык
1. Лексика Знать 4000 единиц общей и терминологической лексики специальности, необходимых для чтения литературы, извлечения информации из оригинального текста по научной специальности.
2. Грамматика Структура предложения. Части речи и члены предложения. Структура времен (активный/пассивный залоги). Неличные формы глагола: инфинитив. инфинитивные обороты: причастие, причастные обороты. Структура сложноподчиненного предложения. Сослагательное наклонение.
3. Чтение Ознакомительное чтение с целью определения истинности / ложности утверждения. Поисковое чтение с целью определения наличия или отсутствия в тексте запрашиваемой информации. Изучающее чтение с элементами анализа информации. Изучающее чтение с элементами аннотирования. Изучающее чтение с элементами сопоставления. Изучающее чтение с выделением главных компонентов содержания текста.
4. Речевой этикет Профессионально-деловая / сфера: уметь продемонстрировать адекватную формулу речевого этикета профессионально-деловой сферы. Учебно-социальная сфера: понимать и адекватно подбирать ответную рамках ролевой игры.
5. Письмо Оформление делового письма: размещение адресов отправителя. получателя, стиль обращения: оформление содержательной составляющей письма, заключительные фразы. Оформление конверта: правильное размещение адресов. Оформление резюме: основные пункты. стиль изложения. Оформление Письма-заявления, письма-уведомления. письма-запроса, контракта: знание речевых клише, форм обращения. Оформление электронного сообщения, факса, служебной записки, повестки дня: знание правил составления, пунктуации, форм завершения письменной информации.
Информационные технологии в экономике
1. Основные понятия в информатике. Информатика как наука. Информационное общество. Единицы измерения информации. Связь понятий “информация”, “данные”, “знание”. Общая характеристика процессов сбора, передачи, обработки и накопления информации. Сообщения, данные, сигнал, атрибутивные свойства информации, показатели качества информации, формы представления информации. Системы передачи информации.
2. Информационные системы и технологии. Понятие и основные сведения об информационной системе. Классификации информационных систем. Структура и архитектура информационной системы.
3. Основные сведения о компьютере Состав и назначение основных элементов персонального компьютера, их характеристики. Запоминающие устройства: классификация, принцип работы, основные характеристики. Устройства ввода/вывода данных. их разновидности и основные характеристики
4. Информационные процессы Определение информационного процесса. Модели информационных процессов передачи, обработки, накопления данных. Системы передачи и обработки информации.
5. Текстовые редакторы и процессоры Технологии обработки текстовой информации. Назначение и классификация текстовых процессоров. Текстовый процессор Word. 6. Электронные таблицы Работа с электронными таблицами. Работа c Microsoft Excel. Построение диаграмм. Системы управления базами данных. Основы баз данных и знаний.
7. Технология создания мультимедийной информации Форматы графических и звуковых объектов. Ввод и обработка графических объектов. Ввод и обработка звуковых объектов. Технологии обработки графической информации. Средства электронных презентаций.
8. Алгоритмизация и программирование. Понятие алгоритма и его свойства. Блок-схема алгоритма. Основные алгоритмические конструкции. Базовые алгоритмы. Программы линейной структуры. Операторы ветвления, операторы цикла.
9. Технологии программирования. Языки программирования высокого уровня. Этапы решения задач на компьютерах. Понятие о структурном программировании. • Модульный • принцип программирования. Подпрограммы. Принципы проектирования программ сверху-вниз и снизу-вверх. Эволюция и классификация языков программирования. Основные понятия языков программирования. Структуры и типы данных языка программирования.
10. Информационные технологии в управлении проектами Программное обеспечение проектной деятельности. Использование Project Expert при управлении проектами. Программное обеспечение, поддерживающие гибкие методологии управления проектом
ДЕМОВЕРСИЯ ЭКЗАМЕНАЦИОННОГО ВАРИАНТА
МИКРОЭКОНОМИКА
1. Эластичность спроса по цене характеризуется отношением:
а) изменения цены к изменению спроса;
б) изменения спроса к изменению предложения;
в) процентного изменения величины спроса к процентному изменению цены на товар;
г) процентного изменения цены на товар к процентному изменению величины спроса.
2. В коротком периоде фирма с целью максимизировать прибыль или минимизировать убытки не должна производить товар, если:
а) цена меньше, чем минимальные средние переменные затраты;
б) цена меньше, чем минимальные средние затраты;
в) цена меньше, чем средние постоянные затраты;
г) минимальные средние затраты меньше, чем предельные затраты.
3. Целью ценовой дискриминации является:
а) снижение уровня благосостояния потребителей;
б) максимизация объема продаж;
в) уменьшение количества покупателей;
г) установление максимальной цены для каждого покупателя.
МАКРОЭКОНОМИКА
1. При прочих равных условиях величина мультипликатора государственных расходов будет:
а) меньше величины налогового мультипликатора;
б) равна величине налогового мультипликатора;
в) больше величины налогового мультипликатора;
г) нельзя дать однозначный ответ.
2. Увеличение государственных расходов с позиций неоклассиков позволяет:
а) стабилизировать уровень цен;
б) увеличить уровень занятости в экономике;
в) перераспределить факторы производства из частного в государственный сектор экономики;
г) все ответы неверны.
3. В экономике страны отмечается полная занятость, но высокая инфляция. Какая комбинация инструментов стабилизационной политики, скорее всего, приведет к снижению темпов инфляции:
а) рост государственных расходов и покупка Центральным банком страны государственных облигаций на открытом рынке;
б) сокращение государственных расходов и продажа Центральным банком страны государственных облигаций на открытом рынке;
в) снижение налогов и покупка Центральным банком страны государствен¬ных облигаций на открытом рынке;
г) увеличение налогов и продажа государственных облигаций на открытом рынке.
ИНОСТРАННЫЙ ЯЗЫК
1. Заполните пропуск The bank ______ a headcount in each department and concluded that it was employing too many economists.
а) made
б) did
в) calculated
г) counted.
2. Заполните пропуск The factory turns ______ about 25000 cars per year.
а) up
б) on
в) in
г) out
3. Заполните пропуск Is your computer secure ______ virus attacks?
а) against
б) for
в) of
г) from
ИНФОРМАЦИОННЫЕ ТЕХНОЛОГИИ В ЭКОНОМИКЕ
1. Для определения сдачи с N рублей при покупке максимального числа единиц товара стоимостью K рублей за единицу может использоваться формула
а) N - цел.часть(N/K)*K
б) N - цел.часть(K/N)*K
в) N - цел.часть(N/K)*N
г) цел.часть(N/K)*K
2. Свойство информации, которое характеризует степень ее соответствия реальности, – это…
а) адекватность
б) надежность
в) содержательность
г) важность
3. Служебным (сервисным) программным обеспечением является …
а) форматирование диска
б) OS/2
в) комплекс программ «1С Предприятие»
г) Borland Pascal 7.0
1. Журавлева, Г. П. Экономическая теория. Микроэкономика- 1,2. Мезоэкономика: учебник / Г. П. Журавлева. — 8-е изд. — Москва: Дашков и К, 2022. — 934 с. — ISBN 978-5-394-04124-2. — Текст: электронный // Лань: электронно-библиотечная система. — URL: https://e.lanbook.com/book/277691 (дата обращения: 11.05.2024). — Режим доступа: для авториз. пользователей
2. Чепурин М.Н., Киселева Е.А. Курс экономической теории. Учебник / М.Н. Чепурин, Е.А. Киселева. - Изд. 7-е, дополненное и переработанное. - Киров: АСА, 2012. - 880 с.
3. Алферова, Л. А. Экономика : учебное пособие / Л. А. Алферова. — Москва: ТУСУР, 2023. — 214 с. — Текст : электронный // Лань : электронно-библиотечная система. — URL: https://e.lanbook.com/book/394091 (дата обращения: 11.05.2024). — Режим доступа: для авториз. пользователей.
4. Елисеев, А. С. Экономика : учебник / А. С. Елисеев. — 3-е изд., стер. — Москва: Дашков и К, 2022. — 528 с. — ISBN 978-5-394-03464-0. — Текст : электронный // Лань: электронно-библиотечная система. — URL: https://e.lanbook.com/book/277679 (дата обращения: 11.05.2024). — Режим доступа: для авториз. пользователей.
5. Романова, М. В. Информатика : учебное пособие / М. В. Романова, Е. П. Романов. — 3-е изд., стер. — Москва : ФЛИНТА, 2023. — 190 с. — ISBN 978-5-9765-3791-0. — Текст : электронный // Лань : электронно-библиотечная система. — URL: https://e.lanbook.com/book/348287 (дата обращения: 19.05.2024). — Режим доступа: для авториз. пользователей.
6. Практикум по информатике / Н. М. Андреева, Н. Н. Василюк, Н. И. Пак, Е. К. Хеннер. — 3-е изд., стер. — Санкт-Петербург : Лань, 2024. — 248 с. — ISBN 978-5-507-47299-4. — Текст : электронный // Лань : электронно-библиотечная система. — URL: https://e.lanbook.com/book/359810 (дата обращения: 19.05.2024). — Режим доступа: для авториз. пользователей.
7. Жигалов, О. С. Информатика : учебное пособие / О. С. Жигалов, И. П. Проворова. — Москва : РТУ МИРЭА, 2021. — 31 с. — Текст : электронный // Лань : электронно-библиотечная система. — URL: https://e.lanbook.com/book/171448 (дата обращения: 19.05.2024). — Режим доступа: для авториз. пользователей.
8. Асташова, Т. А. Информатика : учебное пособие / Т. А. Асташова. — Новосибирск : НГТУ, 2021. — 66 с. — ISBN 978-5-7782-4403-0. — Текст : электронный // Лань : электронно-библиотечная система. — URL: https://e.lanbook.com/book/216161 (дата обращения: 19.05.2024). — Режим доступа: для авториз. пользователей.
9. Закляков, П. В. Информатика : учебник / П. В. Закляков. — 5-е изд. — Москва : ДМК Пресс, 2021. — 750 с. — ISBN 978-5-97060-921-7. — Текст : электронный // Лань : электронно-библиотечная система. — URL: https://e.lanbook.com/book/241034 (дата обращения: 19.05.2024). — Режим доступа: для авториз. пользователей.
10. Иващенко И.А. Английский язык / И.А. Иващенко; Рос.акад. обр., Моск. психол.-соц. ин-т; под общ. ред. Т.Н. Кондрашиной. - Москва: ФЛИНТА, 2014.
11.Кашаев А. А. Основы делового английского языка / Theabcofbusinessenglish: учебное пособие / А. А. Кашаев. - Москва: ФЛИНТА, 2012.
12. ArmerT. Cambridge English for Scientists. - Cambridge: Cambridge University Press, 2011.
13. Hashemi L. with Murphy R. English Grammar in Use / Supplementary Exercises, - 3rd Edition. - Cambridge: Cambridge University Press, 2012.
14. Murphy R. English Grammar in Use.- 4th. Edition. - Cambridge: Cambridge University Press, 2012.
15. Профессиональный курс / English for Network Students: учеб пособие. - М. Лань, 2013.
На сайте библиотеки УУНиТ https://uust.ru/library/ в разделе «Ресурсы открытого доступа» размещены ссылки на интернет-ресурсы.
Философия
ПРОГРАММА
вступительного испытания
для поступающих в магистратуру по направлению подготовки
47.04.01 «Философия»
программа (профиль)
«Философия (по профилям):
Информационная аналитика социальных процессов;
Философия искусственного интеллекта»
ОБЩИЕ ПОЛОЖЕНИЯ
Вступительное испытание проводится с целью оценки уровня теоретической и практической подготовленности поступающего, а также установления соответствия его знаний, умений и навыков требованиям обучения в магистратуре по направлению 47.04.01 «Философия» (магистратура). Программа составлена в соответствии с требованиями федерального государственного образовательного стандарта высшего профессионального образования.
Вступительное испытание в магистратуру проводят экзаменационные комиссии, назначенные председателем приёмной комиссии УУНиТ.
ПРОЦЕДУРА ВСТУПИТЕЛЬНОГО ИСПЫТАНИЯ
Дата и время проведения вступительного испытания и консультации определяются расписанием вступительных испытаний, которое утверждается председателем приемной комиссии.
Перед вступительным испытанием для поступающих проводится консультация по содержанию программы испытания, критериям оценки, предъявляемым требованиям, правилам поведения на испытании.
Форма вступительного испытания (в соответствии с Положением о вступительных испытаниях УУНИТ): устно-письменная.
Вступительные испытания в виде устного, устно-письменного, устного с элементами тестирования проводятся в соответствии с программами вступительных испытаний, утверждаемых председателем приемной комиссии.
Экзаменационные билеты включают два или три вопроса по направлению подготовки (по специальности).
В аудитории, где проводится вступительное испытание в устной форме, не может находиться одновременно более 6 человек. Нахождение в аудитории посторонних лиц не допускается.
При проведении вступительного испытания опрос одного поступающего продолжается не более 25 минут, включая время подготовки ответов на вопросы членов предметной комиссии.
В процессе сдачи вступительного испытания абитуриенту могут быть заданы дополнительные вопросы как по содержанию экзаменационного билета, так и по любым разделам предмета в пределах программы вступительного испытания.
Абитуриент, не согласный с оценкой, полученной на ВИ и (или) в связи с нарушением процедуры проведения ВИ имеет право подать апелляцию. Процедура подачи и рассмотрения апелляции регламентируется Положением об апелляционной комиссии УУНиТ.
КРИТЕРИИ ОЦЕНИВАНИЯ ОТВЕТА
Критериями оценки экзаменационного ответа, поступающего в магистратуру являются полнота, логичность, доказательность, прочность, осознанность знаний и теоретическая обоснованность суждений, самостоятельность в интерпретации информации, практическая направленность, уровень овладения профессиональными умениями и др.
Результаты вступительного испытания определяются по 100-балльной шкале, разброс баллов представлен ниже в таблице.
|
№ |
Критерии оценивания |
Оценка |
|
1 |
Дан полный развернутый ответ на теоретический вопрос:
|
85-100 баллов «отлично» |
|
2 |
Дан в целом правильный ответ на теоретический вопрос:
|
67-84 балла «хорошо» |
|
3 |
Дан в основном правильный ответ на теоретический вопрос:
|
50-66 баллов «удовлетворительно» |
|
4 |
Дан фрагментарный ответ или неправильный ответ на теоретический вопрос из предложенного тематического раздела:
|
0-49 баллов «неудовлетворительно» |
В ходе вступительных испытаний абитуриент должен продемонстрировать:
Навыки:
- коммуникации в устной форме;
- рефлексии собственного опыта.
Умение:
- использовать основы философских знаний для формирования своей позиции и дальнейшей ее аргументации.
Знание:
- основных направлений философии;
- структуры философского знания.
СОДЕРЖАНИЕ РАЗДЕЛОВ И ТЕМ ПРОГРАММЫ ВСТУПИТЕЛЬНОГО ИСПЫТАНИЯ
Раздел 1. Понятие философии, ее основные категории и функции.
- Философия как рациональный тип мировоззрения.
- Методы философии.
- Категории философии.
- Вопросы философии, их специфика.
- Исторические типы философии.
Раздел 2. Онтология.
- Проблема субстанции (первоосновы мира).
- Движение и покой.
- Детерминизм в философии.
- Пространство и время.
- Материализм и идеализм в философии.
Раздел 3. Гносеология.
- Проблема истины в философии.
- Рациональное и иррациональное в познании.
- Многообразие форм познания мира.
- Агностицизм в философии.
- Научная картина мира.
Раздел 4. Социальная философия.
- Общество как предмет философского анализа.
- Проблема социальной справедливости.
- Роль религии в формировании социальных норм и ценностей.
- Проблема критериев общественного прогресса.
- Основные черты информационного общества.
Раздел 5. Перспективы технологического развития современной цивилизации.
- Развитие теории информации.
- Искусственный интеллект: исторический обзор и перспективы.
- Философские проблемы виртуалистики.
- Кибернетика, как наука об оптимальном управлении сложными системами.
- Синергетика, как учение о сложноорганизованных системах и процессах развития.
ПРЕДЛАГАЕМЫЕ ТЕМЫ И ОРИЕНТИРОВОЧНЫЕ ВОПРОСЫ ДЛЯ ОБСУЖДЕНИЯ
Раздел 1. Понятие философии, ее основные категории и функции.
|
|
Тема |
Вопрос на обсуждение |
|
1 |
Методы философии. |
В чем состоит специфика общефилософских методов (анализ, синтез, индукция, дедукция и др.)? |
|
2 |
Категории философии. |
В чем состоит специфика философских категорий? Например, таких как «пространство», «время», «движение», «человек»? Представьте ситуацию, если бы данных категорий не было. |
|
3 |
Исторические типы философии. |
Какие философские идеи и труды философов Вам близки, почему именно они вызывают Ваш интерес? |
|
4 |
Вопросы философии, их специфика. |
Что значит «открытые вопросы»? Можно ли дать однозначный и окончательный ответ на философский вопрос? |
Раздел 2. Онтология.
|
|
Тема |
Вопрос на обсуждение |
|
1 |
Проблема субстанции (первоосновы мира). |
Существует ли объективная первооснова мира, которая может быть открыта и понята человеком? |
|
2 |
Движение и покой. |
Может ли существовать абсолютный покой в мире, или движение является неотъемлемой и всеобъемлющей его частью? |
|
3 |
Детерминизм в философии. |
Можно ли утверждать, что в мире каждая причина непременно порождает определенное следствие, либо в мире место для случайности и непредсказуемости? |
|
4 |
Пространство и время. |
Связаны между собой пространство и время, либо они независимы друг от друга? |
Раздел 3. Гносеология.
|
|
Тема |
Вопрос на обсуждение |
|
1 |
Проблема истины в философии. |
Может ли истина быть одной для всех, либо каждый человек может иметь свое собственное представление о ней? |
|
2 |
Рациональное и иррациональное в познании. |
Какую роль играет интуиция в процессе познания: она дополняет рациональные методы или может привести к ошибочным выводам |
|
3 |
Многообразие форм познания мира. |
Какое влияние разнообразных форм познания, таких как научный метод, религиозный опыт и художественное творчество, оказывают на наше понимание мира? |
|
4 |
Агностицизм в философии. |
Способен ли человек достичь полного исчерпывающего знания о мире или это, в принципе, невозможно? |
Раздел 4. Социальная философия.
|
|
Тема |
Вопрос на обсуждение |
|
1 |
Общество как предмет философского анализа. |
Может ли быть общество предметом философского познания? |
|
2 |
Законы и закономерности в развитии общества. |
Существуют ли законы и закономерности в развитии общества? |
|
3 |
Классовое деление в современных обществах |
Существует ли деление на классы в современных высокоразвитых обществах? |
|
4 |
Общество и личность. Роль великих личностей в истории. |
Является ли личность независимым субъектом или всегда подвержена общественному влиянию? В чем заключается роль и заслуга великих личностей в истории? |
Раздел 5. Проблемы и перспективы технологического развития современной цивилизации.
|
|
Тема |
Вопрос на обсуждение |
|
1 |
Проблема информационной безопасности. |
Следует ли уделять больше внимания техническим аспектам информационной безопасности (киберзащите), либо нужно больше сосредоточиться на человеческом факторе, на социальной инженерии? |
|
2 |
Философия искусственного интеллекта. |
Сможет ли искусственный интеллект когда-либо обладать истинным сознанием и субъективным опытом, либо он навсегда ограничен лишь механическими процессами и алгоритмами?" |
|
3 |
Философия виртуальной реальности. |
Может ли виртуальная реальность стать абсолютно реальной, либо она навсегда останется лишь имитацией и несовершенной копией реального мира? |
|
4 |
Нейронные сети: перспектива развития. |
Сможет ли «творчество нейросетей» убить человеческое искусство? |
Демоверсия экзаменационного варианта
ФГБОУ ВО «Уфимский университет науки и технологий»
Институт гуманитарных и социальных наук
Высшая школа философии и социологии
Направление 47.04.01 «Философия»
- Многообразие форм познания мира.
- Философия искусственного интеллекта.
Председатель экзаменационной комиссии
Р.А. Газизов
СПИСОК ЛИТЕРАТУРЫ
- Алексеев П.В., Панин А.В. Философия: учебник. М.: Проспект, 2020. 592 с.
- Боровская Е.В., Давыдова Н.А. Основы искусственного интеллекта: учебное пособие. М.: Лаборатория знаний, 2020. 130 с. [Электронный ресурс] // URL: Основы искусственного интеллекта: учебное пособие (rulit.me)
- Бранская Е. В., Панфилова М. И. Философия. М.: Юрайт. 2024. 185 с.
- Ветошкин А. П., Некрасов С. И., Некрасова Н. А. Философия с иллюстрациями. Учебник. М.: РГ-Пресс. 2020. 624 с.
- Горохов В. Г. Философия науки и техники: современное состояние и перспективы. М.: КДУ, 2023. 296 с.
- Демина Л.А., Малюкова О.В., Бучило Н.Ф. Философия. Учебник. М.: Проспект. 2020. 360 с.
- Ивин А.А., Никитина И.П. Философия: учебник для вузов. М.: «Издательство Юрайт», 2022. 478 с.
- Кудряшев А.Ф., Елхова О.И. Современная онтология: общие и прикладные проблемы. Монография. Уфа: РИЦ УУНиТ, 2022. 272 с.
- Лавриненко В. Н., Кафтан В. В., Чернышова Л. И. Основы философии. М.: Юрайт. 2024. 312 с.
- Липский Б. И., Марков Б. В. Философия. М.: Юрайт. 2024. 385 с.
- Миронов В. В. Философия с иллюстрациями. Учебник. М.: РГ-Пресс. 2020. 432 с.
- Радаев В. В. Цифровой поворот в гуманитарных науках: философские основания. СПб.: Изд-во СПбГУ, 2023. 218 с.
- Спиркин А. Г. Социальная философия и философия истории. М.: Юрайт. 2024. 185 с.
- Цепко А. А. Философия и искусственный интеллект: вызовы и перспективы. М.: URSS, 2024. 211 с.
- Шаповалов В. Ф. Философия. М.: Юрайт. 2023. 597 с.
Физика
ПРОГРАММА
вступительного испытания
для поступающих в магистратуру по направлению подготовки
03.04.02 «Физика»
программа (профиль)
«Цифровые модели и технологии нефтегазовых месторождений»
ОБЩИЕ ПОЛОЖЕНИЯ
Вступительные испытания предназначены для определения практической и теоретической подготовленности поступающего в магистратуру и проводятся с целью определения соответствия знаний умений и навыков требованиям обучения магистратуры по направлению подготовки 03.04.02 «Физика» (магистратура). Программа составлена в соответствии с требованиями федерального государственного образовательного стандарта высшего профессионального образования.
Вступительные испытания в магистратуру проводят экзаменационные комиссии, назначенные председателем приёмной комиссии УУНиТ.
ПРОЦЕДУРА ВСТУПИТЕЛЬНОГО ИСПЫТАНИЯ
Дата и время проведения вступительного испытания и консультации определяются расписанием вступительных испытаний, которое утверждается председателем приемной комиссии.
Перед вступительным испытанием для поступающих проводится консультация по содержанию программы испытания, критериям оценки, предъявляемым требованиям, правилам поведения на испытании.
Форма вступительного испытания (в соответствии Положением о вступительных испытаниях УУНИТ): тестирование.
Вступительные испытания в виде электронного тестирования проводятся в соответствии с программами вступительных испытаний, утверждаемых председателем предметной комиссии.
Вступительные испытания в форме тестирования включают вопросы как закрытого, так и открытого типа, а также задания в аудио- и видеоформатах.
Составление вариантов экзаменационных заданий в форме электронных тестов осуществляется ответственным секретарем приемной комиссии университета.
Из вариантов экзаменационных заданий формируются комплекты вопросов-тестов.
Компоновку комплектов вопросов-тестов ответственный секретарь, заместитель ответственного секретаря производят до вступительных испытаний.
Тест содержит 30 тестовых вопросов.
Результаты испытаний оцениваются по 100 бальной шкале.
Абитуриент, не согласный с оценкой, полученной на ВИ и (или) в связи с нарушением процедуры проведения ВИ имеет право подать апелляцию. Процедура подачи и рассмотрения апелляции регламентируется Положением об апелляционной комиссии УУНиТ.
КРИТЕРИИ ОЦЕНИВАНИЯ ОТВЕТА
Критериями оценки экзаменационного ответа, поступающего в магистратуру являются полнота, логичность, доказательность, прочность, осознанность знаний и теоретическая обоснованность суждений, самостоятельность в интерпретации информации, практическая направленность, уровень овладения профессиональными умениями менеджера и др. В случае тестирования является правильные ответы на тестовые задания.
При проверке количество первичных баллов переводится в итоговую 100 балльную шкалу через информационную платформу университета.
СОДЕРЖАНИЕ РАЗДЕЛОВ И ТЕМ ПРОГРАММЫ ВСТУПИТЕЛЬНОГО ИСПЫТАНИЯ
Механика
1. Динамика материальной точки. Сила. Первый и третий законы Ньютона. Масса. Импульс. Импульс силы. Различные формулировки второго закона Ньютона.
2. Динамика тел переменной массы. Уравнение Мещерского. Формула Циолковского.
3. Работа силы. Связь работы и энергии. Кинетическая энергия поступательного движения. Потенциальная энергия деформации. Потенциальная энергия в однородном поле силы тяжести. Закон сохранения механической энергии.
4. Момент силы и момент импульса относительно оси. Уравнение вращательного движения твердого тела. Момент инерции.
5. Момент силы и момент импульса относительно точки. Уравнение моментов. Закон сохранения момента импульса системы.
6. Гармонические колебания. Колебания математического маятника и груза на пружине. Уравнения колебания и их решения. Изменения смещения, скорости, ускорения и энергии в процессе колебаний (графики).
7. Вынужденные колебания. Амплитудно-частотная и фазочастотная характеристики. Резонанс.
8. Механика деформируемых тел. Основные типы деформаций. Зависимость напряжения от относительного удлинения для деформации растяжения (график). Закон Гука. Модуль Юнга. Коэффициент Пуассона. Напряжения и деформации при сдвиге и кручении. Законы Гука для деформации сдвига и кручения. Модуль сдвига.
9. Основы гидро- и аэростатики. Законы Паскаля и Архимеда. Динамика стационарного течения жидкости. Уравнение Бернулли. Вязкость жидкости. Формула Пуазейля. Число Рейнольдса.
Молекулярная физика
- Идеальный газ. Основное уравнение кинетической теории газов. Физический смысл абсолютной температуры.
- Распределение молекул газа по скоростям (распределение Максвелла).
- Явления переноса в газах. Вывод формулы коэффициента теплопроводности газов.
- I начало термодинамики. Применение I начала термодинамики к рассмотрению различных процессов в идеальных газах.
- II начало термодинамики. Понятие об энтропии. Закон возрастания энтропии.
- Термодинамические потенциалы и их физический смысл.
- Фазовые превращения I рода. Уравнение Клайперона-Клаузиуса.
- Правило фаз. Диаграмма состояния трехфазной системы. Тройная точка.
- Свойства жидкостей. Поверхностное натяжение. Уравнение Лапласа. Капиллярность.
Электричество и магнетизм
1. Электрическое поле в вакууме. Заряд, напряженность электрического поля, принцип суперпозиции полей. Теорема Гаусса.
2. Работа в электростатическом поле. Потенциал. Связь вектора напряженности электрического поля с потенциалом.
3. Постоянный электрический ток. ЭДС. Законы Ома и Джоуля-Ленца. Правила Кирхгофа.
4. Природа носителей тока в металлах. Теория Друде-Лоренца. Основы квантовой теории твердых тел. Полупроводники.
5. Квазистационарные переменные токи. Закон Ома переменного тока. Резонанс токов и напряжений.
6. Электрические колебания. Свободные электрические колебания в контуре без активного сопротивления. Свободные затухающие колебания. Вынужденные колебания.
7. Закон взаимодействия токов в вакууме. Закон Био-Савара-Лапласа. Теорема о циркуляции вектора Н.
8. Описание поля в магнетиках. Условия на границе двух магнетиков. Закон Ампера. Типы магнетиков.
9. Электромагнитная индукция. Явление самоиндукции. Токи при замыкании и размыкании в цепи с индуктивностью. Энергия магнитного поля.
10. Электромагнитное поле. Вихревой характер электрического поля. Ток смещения. Уравнения Максвелла электромагнитного поля.
Оптика
- Интерференция волн. Способы получения когерентных волн делением волнового
фронта (примеры) и делением амплитуды (полосы равного наклона, полосы равной толщины, кольца Ньютона).
- Принцип Гюйгенса – Френеля. Метод зон Френеля. Дифракция Френеля от круглого отверстия и от круглого диска.
- Метод графического сложения амплитуд. Дифракция Френеля на краю полуплоскости. Спираль Корню.
- Дифракция Фраунгофера от щели. Дифракция света от двух щелей. Дифракционная решетка. Дифракция рентгеновских лучей на кристаллической решетке.
- Поляризация света. Закон Малюса. Закон Брюстера. Интерференция поляризованных лучей.
- Рассеяние света. Рассеяние света в мутных средах. Молекулярное рассеяние света в газах.
- Излучательная и поглощательная способности тел. Законы теплового излучения (Кирхгофа, Стефана-Больцмана, Вина). Формулы Рэлея-Джинса и Планка.
- Виды фотоэффекта. Законы фотоэффекта. Уравнение Эйнштейна для внешнего фотоэффекта. Применение фотоэффекта.
Атомная и ядерная физика
- Волновыесвойства частиц.ВолныдеБройля.Экспериментальные подтверждения волновых свойств частиц. Опыт Девиссона и Джермера.
- Дискретность атомных состояний. Опыт Франка и Герца. Спектр излучения атома водорода. Обобщенная формула Бальмера. Боровская теория атома водорода.
- Электронные конфигурации и идеальная схема заполнения оболочек. Принцип Паули. Периодическая система Менделеева.
- Рентгеновские спектры. Закон Мозли.
- Сверхпроводимость и сверхтекучесть, их квантовая природа.
- Размеры и структура ядер. Структура нуклона. N-Z диаграмма атомных ядер. Масса и энергия связи ядра. Спин ядра.
- Модели атомных ядер: капельная, оболочечная.
- Радиоактивность. Закон радиоактивного распада. Альфа - распад. Бета-распад.
- Ядерные реакции. Классификация. Законы сохранения в ядерных реакциях. Механизмы ядерных реакций. Энергия реакции. Сечение. Порог реакции.
- Взаимодействие ядерного излучения с веществом. Эффект Мессбауэра.
Физика атомов и атомных явлений
- Волновые свойства частиц. Волны де Бройля. Экспериментальные подтверждения волновых свойств частиц. Опыт Девиссона и Джермера.
- Дискретность атомных состояний. Опыт Франка и Герца. Спектр излучения атома водорода. Обобщенная формула Бальмера. Боровская теория атома водорода.
- Уравнение Шредингера. Водородоподобный атом в свете квантовой теории. Физический смысл квантовых чисел электрона. Схема уровней энергии.
- Спин электрона. Дублетная структура спектров атомов щелочных металлов. Опыты Штерна и Герлаха. Понятие о пространственном квантовании.
- Полный механический момент многоэлектронного атома. L-Sсвязь. Спин- орбитальное взаимодействие. Терм атома. Тонкая структура уровней.
- Атом в магнитном поле. Полный магнитный момент многоэлектронного атома. Фактор Ланде.
- Эффект Зеемана. Эффект Пашена-Бака.
- Электронный парамагнитный резонанс.
- Электронные конфигурации и идеальная схема заполнения оболочек. Принцип Паули. Периодическая система Менделеева.
- Рентгеновские спектры. Закон Мозли.
- Сверхпроводимость и сверхтекучесть, их квантовая природа.
Физика атомного ядра и частиц
- Размеры и структура ядер. Структура нуклона. N-Z диаграмма атомных ядер. Масса и энергия связи ядра. Спин ядра.
- Сильные взаимодействия. Свойства нуклон-нуклонного взаимодействия. Дейтрон. Изоспин.
- Модели атомных ядер: капельная, оболочечная.
- Радиоактивность. Закон радиоактивного распада. Альфа - распад. Бета- распад.
- Ядерные реакции. Классификация. Законы сохранения в ядерных реакциях. Механизмы ядерных реакций. Энергия реакции. Сечение. Порог реакции.
- Взаимодействие ядерного излучения с веществом. Эффект Мессбауэра.
- Слабые взаимодействия. Лептоны. Лептонные числа. Кванты слабого взаимодействия.
- Кварки. Кварковая структура адронов. Барионы. Мезоны. Глюоны. Цвет.
- Систематика частиц. Фундаментальные частицы
Демоверсия экзаменационного варианта
Пробный тест
Математика
Найти решение дифференциального уравнения , удовлетворяющего начальному условию
.
Общая физика
Газ, состоящий из жестких двухатомных молекул, расширили политропически так, что частота ударов молекул о стенку сосуда не изменилась. Найти молярную теплоемкость газа в этом процессе.
3R
3/2R
2/3R
3/5R
Геология
Воды, циркулирующие в зонах нефтегазоносности по дизъюнктивным нарушениям:
Тектонические
Верхние
Чужие
Контурные
Физика пласта
Определить коэффициент поверхностного натяжения на границе вода-масло, если коэффициенты поверхностного натяжения воды и масла на границе с воздухом равны 72∙10-3 Н/м и 33∙10-3 Н/м, соответственно.
39 мН/м
39 Н/м
105 мН/м
105 Н/м
Подземная гидродинамика
В пласте толщиной h = 5 м и пористостью m = 0,2 через скважину закачивается жидкость с расходом Q = 20 м3/сут. На каком расстоянии будет фронт закачки через время t = 1 сут? Радиус скважины полагаем равным нулю. Ответ округлить до десятых.
2,5 м
5,2 м
1,7 м
10,3 м
СПИСОК ЛИТЕРАТУРЫ
1. Матвеев А.Н. Механика и теория относительности. — 4-е изд., стер. - СПб.: Изд-во
«Лань», 2009. - 324 с.
2. Стрелков С.П. Механика. - СПб.: Изд-во «Лань», 2005.
3. Сивухин Д.В. Общий курс физики, т.1.- М.: Физматлит, 2006.
4. Савельев И.В. Курс общей физики, т.1.- СПб.: Изд-во «Лань», 2007.
5. Хайкин С.Э. Физические основы механики. - М.: Наука, 1971.
6. Матвеев А.Н. Молекулярная физика. - М Изд-во «Лань», 2010
7. Кикоин А.К., Кикоин И.К. Молекулярная физика. - СПб.: Изд-во «Лань», 2007.
8. Савельев И.В. Курс общей физики, т.1. - СПб.: Изд-во «Лань», 2007.
9. Сивухин Д.В. Общий курс физики, т.2. Термодинамика и молекулярная физика. - М.: Физматлит, 2005.
10. Иродов И.Е. Физика макросистем: основные законы. — М.: Бином, 2006.
11. Матвеев А.Н. Электричество и магнетизм. - Изд-во «Лань», 2010
12. Сивухин Д.В. Общий курс физики, т.З. Электричество. - М.: Физматлит, 2002.
13. Калашников С.Г. Курс общей физики. Электричество. - М.: Наука, 1990.
14. Савельев И.В. Курс общей физики. т.З. Электричество и магнетизм. Колебания и волны.
15. Лансберг Г.С. Оптика. 7-е изд., стер. — М.: Физматлит, 2017. - 854 с.
16. Сивухин Д.В. Общий курс физики. Оптика. - М.: Физматлит, 2005.
17. Матвеев А.Н. Оптика. - М.: Высшая школа, 1985.
18. Калитеевский Н.И. Волновая оптика. - Изд. 5-е, стер. — СПб., М.: Лань, 2008 .480 с.
19. Шпольский Э.В. Атомная физика. - М.: Лань, 2010 (в 2-х томах).
20. Матвеев А.Н. Атомная физика. - М.: Высшая школа, 1989.
21. Савельев И.В. Курс общей физики. т.З.-СПб.: Изд-во «Лань», 2005.
22. Сивухин Д.В. Общий курс физики, т.5. Атомная и ядерная физика. Ч. 1.- М.: Физматлит, 2006.
23. Капитонов И.М. Введение в физику ядра и частиц. М., 2011
24. Мухин К.Н. Экспериментальная ядерная физика. В 3-х тт. Т. 1. Физика атомного ядра М.: Изд. «Лань», 2009. - 384 с.; Т. 2. Физика ядерных реакций. М.: Изд. «Лань», 2009. - 326 с.; Т.З. Физика элементарных частиц. М.: Изд. «Лань», 2008. -432 с.
25. Сивухин Д.В. Общий курс физики т.5. Атомная и ядерная физика. Ч.2.- М.: Физматлит, 2006.
26. Киттель Ч., Найт У., Рудерман М. Механика. М.: Наука, 1983.
27. Фейнман Р. Фейнмановские лекции по физике. М.: Наука, ч.4, 1977.
28. Борн М., Вольф Э. Основы оптики. М.: Наука, 1973.
29. Трофимова Т.И. Курс физики. - М.: Высшая школа, 2007.
30. Фортов В.Е. Энергетика в современном мире - Долгопрудный: Интеллект, 2011. - 168с
31. Тетельмин В.В. Нефтегазовое дело: полный курс - Долгопрудный: Интеллект, 2009. - 800с.
32. Ковалева Л.А. Физика нефтегазового пласта. - .Уфа, 2008 - 280 с.
33. Ковешников А.Е. Геология нефти и газа: учебное пособие. - Изд-во ТПУ, 2011
34. Короновский Н. В. Общая геология — М.: КДУ, 2010
35. Амикс Дж. И др. Физика нефтяного пласта. -И.Л., 2003. - 572с.
36. Пирсон С.Д. Учение о нефтяном пласте. -И.Л., 1961
37. Оркин К.Г., Кучинский П.К. Лабораторные работы по курсу Физика нефтяного пласта.
-М..ГТТИ, 1953.
38. Сивухин Д.В. Общий курс физики (в пяти томах). - М.: Наука, 1990.
39. Добычин Д.П. Физическая и коллоидная химия. М.: Просвещение, 1986.- 463с.
40. Сафиева Р.З. Физикохимия нефти. - М.: Химия, 1998. -448 с.
41. Мархасин И.Л. Физико-химическая механика нефтяного пласта.
42. Герасимов Курс физической химии. Т. 1
43. Мирзаджанзаде А.Х. и др. Физика нефтяного и газового пласта. - М., Недра, 1992.
Физика конденсированного состояния
ПРОГРАММА
вступительного испытания
для поступающих в магистратуру по направлению подготовки
03.04.02 «Физика»
программа (профиль)
«Цифровые технологии в физике функциональных материалов»
ОБЩИЕ ПОЛОЖЕНИЯ
Вступительные испытания предназначены для определения практической и теоретической подготовленности поступающего в магистратуру и проводятся с целью определения соответствия знаний умений и навыков требованиям обучения магистратуры по направлению подготовки 03.04.02 «Физика» (магистратура). Программа составлена в соответствии с требованиями федерального государственного образовательного стандарта высшего профессионального образования.
Вступительные испытания в магистратуру проводят экзаменационные комиссии, назначенные председателем приёмной комиссии УУНиТ.
ПРОЦЕДУРА ВСТУПИТЕЛЬНОГО ИСПЫТАНИЯ
Дата и время проведения вступительного испытания и консультации определяются расписанием вступительных испытаний, которое утверждается председателем приемной комиссии.
Перед вступительным испытанием для поступающих проводится консультация по содержанию программы испытания, критериям оценки, предъявляемым требованиям, правилам поведения на испытании.
Форма вступительного испытания (в соответствии Положением о вступительных испытаниях УУНИТ): тестирование.
Вступительные испытания в виде электронного тестирования проводятся в соответствии с программами вступительных испытаний, утверждаемых председателем предметной комиссии.
Вступительные испытания в форме тестирования включают вопросы как закрытого, так и открытого типа, а также задания в аудио- и видеоформатах.
Составление вариантов экзаменационных заданий в форме электронных тестов осуществляется ответственным секретарем приемной комиссии университета.
Из вариантов экзаменационных заданий формируются комплекты вопросов-тестов.
Компоновку комплектов вопросов-тестов ответственный секретарь, заместитель ответственного секретаря производят до вступительных испытаний.
Тест содержит 30 тестовых вопросов.
Результаты испытаний оцениваются по 100 бальной шкале.
Абитуриент, не согласный с оценкой, полученной на ВИ и (или) в связи с нарушением процедуры проведения ВИ имеет право подать апелляцию. Процедура подачи и рассмотрения апелляции регламентируется Положением об апелляционной комиссии УУНиТ.
КРИТЕРИИ ОЦЕНИВАНИЯ ОТВЕТА
Критериями оценки экзаменационного ответа, поступающего в магистратуру являются полнота, логичность, доказательность, прочность, осознанность знаний и теоретическая обоснованность суждений, самостоятельность в интерпретации информации, практическая направленность, уровень овладения профессиональными умениями менеджера и др. В случае тестирования является правильные ответы на тестовые задания.
При проверке количество первичных баллов переводится в итоговую 100 балльную шкалу через информационную платформу университета.
СОДЕРЖАНИЕ РАЗДЕЛОВ И ТЕМ ПРОГРАММЫ ВСТУПИТЕЛЬНОГО ИСПЫТАНИЯ
ЧАСТЬ 1. ОБЩАЯ ФИЗИКА.
МЕХАНИКА
1. Динамика материальной точки. Сила. Первый и третий законы Ньютона. Масса. Импульс. Импульс силы. Различные формулировки второго закона Ньютона.
2. Динамика тел переменной массы. Уравнение Мещерского. Формула Циолковского.
3. Работа силы. Связь работы и энергии. Кинетическая энергия поступательного движения. Потенциальная энергия деформации. Потенциальная энергия в однородном поле силы тяжести. Закон сохранения механической энергии.
4. Момент силы и момент импульса относительно оси. Уравнение вращательного движения твердого тела. Момент инерции.
5. Момент силы и момент импульса относительно точки. Уравнение моментов. Закон сохранения момента импульса системы.
6. Гармонические колебания. Колебания математического маятника и груза на пружине. Уравнения колебания и их решения. Изменения смещения, скорости, ускорения и энергии в процессе колебаний (графики).
7. Вынужденные колебания. Амплитудно-частотная и фазочастотная характеристики. Резонанс.
8. Механика деформируемых тел. Основные типы деформаций. Зависимость напряжения от относительного удлинения для деформации растяжения (график). Закон Гука. Модуль Юнга. Коэффициент Пуассона. Напряжения и деформации при сдвиге и кручении. Законы Гука для деформации сдвига и кручения. Модуль сдвига.
9. Законы Кеплера. Закон всемирного тяготения. Гравитационная и инертная массы. Принцип эквивалентности сил инерции и гравитации.
10. Основы гидро- и аэростатики. Законы Паскаля и Архимеда. Динамика стационарного течения жидкости. Уравнение Бернулли. Вязкость жидкости. Формула Пуазейля. Число Рейнольдса.
МОЛЕКУЛЯРНАЯ ФИЗИКА
11. Идеальный газ. Основное уравнение кинетической теории газов. Физический смысл абсолютной температуры.
12. Распределение молекул газа по скоростям (распределение Максвелла).
13. Явления переноса в газах. Вывод формулы коэффициента теплопроводности газов.
14. I начало термодинамики. Применение I начала термодинамики к рассмотрению различных процессов в идеальных газах.
15. II начало термодинамики. Понятие об энтропии. Закон возрастания энтропии.
16. Термодинамические потенциалы и их физический смысл.
17. Фазовые превращения I рода. Уравнение Клайперона-Клаузиуса.
18. Правило фаз. Диаграмма состояния трехфазной системы. Тройная точка.
19. Свойства жидкостей. Поверхностное натяжение. Уравнение Лапласа. Капиллярность.
20. Кристаллическое состояние вещества. Элементарная ячейка. Элементы симметрии кристаллов. Классификация кристаллов по их симметрии.
ЭЛЕКТРИЧЕСТВО И МАГНЕТИЗМ
21. Электрическое поле в вакууме. Заряд, напряженность электрического поля, принцип суперпозиции полей. Теорема Гаусса.
22. Работа в электростатическом поле. Потенциал. Связь вектора напряженности электрического поля с потенциалом.
23. Постоянный электрический ток. ЭДС. Законы Ома и Джоуля-Ленца. Правила Кирхгофа.
24. Природа носителей тока в металлах. Теория Друде-Лоренца. Основы квантовой теории твердых тел. Полупроводники.
25. Квазистационарные переменные токи. Закон Ома переменного тока. Резонанс токов и напряжений.
26. Электрические колебания. Свободные электрические колебания в контуре без активного сопротивления. Свободные затухающие колебания. Вынужденные колебания.
27. Закон взаимодействия токов в вакууме. Закон Био-Савара-Лапласа. Теорема о циркуляции вектора Н.
28. Описание поля в магнетиках. Условия на границе двух магнетиков. Закон Ампера. Типы магнетиков.
29. Электромагнитная индукция. Явление самоиндукции. Токи при замыкании и размыкании в цепи с индуктивностью. Энергия магнитного поля.
30. Электромагнитное поле. Вихревой характер электрического поля. Ток смещения. Уравнения Максвелла электромагнитного поля.
ОПТИКА
31. Интерференция волн. Способы получения когерентных волн делением волнового фронта (примеры) и делением амплитуды (полосы равного наклона, полосы равной толщины, кольца Ньютона).
32. Принцип Гюйгенса – Френеля. Метод зон Френеля. Дифракция Френеля от круглого отверстия и от круглого диска.
33. Метод графического сложения амплитуд. Дифракция Френеля на краю полуплоскости. Спираль Корню.
34. Дифракция Фраунгофера от щели. Дифракция света от двух щелей. Дифракционная решетка. Дифракция рентгеновских лучей на кристаллической решетке.
35. Нормальная и аномальная дисперсия. Основы электронной теории дисперсии.
36. Поляризация света. Закон Малюса. Закон Брюстера. Интерференция поляризованных лучей.
37. Двойное лучепреломление. Искусственное двойное лучепреломление. Вращение плоскости поляризации. Объяснение вращения плоскости поляризации по Френелю.
38. Рассеяние света. Рассеяние света в мутных средах. Молекулярное рассеяние света в газах.
39. Излучательная и поглощательная способности тел. Законы теплового излучения (Кирхгофа, Стефана-Больцмана, Вина). Формулы Рэлея-Джинса и Планка.
40. Виды фотоэффекта. Законы фотоэффекта. Уравнение Эйнштейна для внешнего фотоэффекта. Применение фотоэффекта.
ФИЗИКА АТОМОВ И АТОМНЫХ ЯВЛЕНИЙ
41. Волновые свойства частиц. Волны де Бройля. Экспериментальные подтверждения волновых свойств частиц. Опыт Девиссона и Джермера.
42. Дискретность атомных состояний. Опыт Франка и Герца. Спектр излучения атома водорода. Обобщенная формула Бальмера. Боровская теория атома водорода.
43. Уравнение Шредингера. Водородоподобный атом в свете квантовой теории. Физический смысл квантовых чисел электрона. Схема уровней энергии.
44. Спин электрона. Дублетная структура спектров атомов щелочных металлов. Опыты Штерна и Герлаха. Понятие о пространственном квантовании.
45. Полный механический момент многоэлектронного атома. L-S связь. Спин-орбитальное взаимодействие. Терм атома. Тонкая структура уровней.
46. Атом в магнитном поле. Полный магнитный момент многоэлектронного атома. Фактор Ланде.
47. Эффект Зеемана. Эффект Пашена-Бака. Электронный парамагнитный резонанс.
48. Электронные конфигурации и идеальная схема заполнения оболочек. Принцип Паули. Периодическая система Менделеева.
49. Рентгеновские спектры. Закон Мозли.
50. Сверхпроводимость и сверхтекучесть, их квантовая природа.
ФИЗИКА АТОМНОГО ЯДРА И ЧАСТИЦ
51.. Размеры и структура ядер. Структура нуклона. N-Z диаграмма атомных ядер. Масса и энергия связи ядра. Спин ядра.
52. Сильные взаимодействия. Свойства нуклон-нуклонного взаимодействия. Дейтрон. Изоспин.
53. Модели атомных ядер: капельная, оболочечная.
54. Радиоактивность. Закон радиоактивного распада. Альфа - распад. Бета-распад.
55. Ядерные реакции. Классификация. Законы сохранения в ядерных реакциях.
56. Механизмы ядерных реакций. Энергия реакции. Сечение. Порог реакции.
57. Взаимодействие ядерного излучения с веществом. Эффект Мессбауэра.
58. Слабые взаимодействия. Лептоны. Лептонные числа. Кванты слабого взаимодействия.
59. Кварки. Кварковая структура адронов. Барионы. Мезоны. Глюоны. Цвет.
60. Систематика частиц. Фундаментальные частицы.
ЧАСТЬ 2. ФИЗИКА КОНДЕНСИРОВАННОГО СОСТОЯНИЯ
1. Симметрия структуры кристаллов. Сингонии. Решетки Бравэ.
2. Пространственная решетка. Индексы Миллера. Элементарная ячейка и её параметры.
3. Уравнение Шредингера для кристалла. Адиабатическое и одноэлектронное приближения. Зонное приближение.
4. Основы зонной теории твердых тел. Металлы. Полупроводники. Диэлектрики.
5. Изоэнергетические поверхности. Эффективная масса электрона и дырки. Физический смысл эфф. массы.
6. Энергетические зоны. Основные понятия зонной теории полупроводников (валентная, запрещенная зоны, зона проводимости, дырки, энергетические уровни дефектов и примесей). Уровень Ферми.
7. Распределение Ферми-Дирака. Энергия Ферми. Распределение Максвелла - Больцмана
8. Распределение Бозе-Эйнштейна. Идеальный Бозе-газ. Бозе-Эйнштейновская конденсация.
9. Сверхпроводимость. Экспериментальные факты по сверхпроводимости.
10. Электронная теория проводимости металлов Друде - Лоренца. Закон Ома и Видемана-Франца. Основные понятия (подвижность, концентрация, длина свободного пробега, время релаксации носителей заряда).
11. Дифракция рентгеновских лучей (РЛ) на кристаллической решетке. Уравнение Вульфа – Брэггов.
12. Дифракция электронов на кристаллах.
13. Применение дифракции РЛ и электронной дифракции для структурного и фазового анализа твердых тел.
14. Физика диамагнетизма
15. Парамагнетизм.
16. Магнитная проницаемость. Магнитоупорядоченные вещества. Петля гистерезиса. Точка Кюри. Ферромагнетики. Домены.
17. Антиферромагнетики.
18. Магнитотвёрдые материалы, их параметры, их свойства и применение.
19. Материалы с прямоугольной петлёй гистерезиса. Специальные магнитные материалы.
20. Дефекты в кристаллах. Классификация дефектов. Вакансии, равновесная концентрация вакансий.
21. Дислокации. Вектор Бюргерса. Энергия дислокаций.
22. Стенки дислокаций, границы зерен.
23. Движение дислокаций, их связь с пластической деформацией. Барьер Пайерлса. Соотношение Холла-Петча.
24. Диффузия. Движущая сила диффузии. Законы Фика. Энергия активации диффузии.
25. Основные механизмы диффузии в твердых телах.
26. Модуль Юнга. Коэффициент Пуассона. Напряжения и деформации при сдвиге и кручении. Законы Гука для деформации сдвига и кручения. Модуль сдвига.
27. Фононы. Удельная теплоемкость решетки. Модели Дебая и Эйнштейна.
28. Экспериментальные методы определения фононного спектра.
29. Ангармонические взаимодействия в кристаллах и тепловое расширение.
30. Теплопроводность решетки. Температурная зависимость фононной теплопроводности.
ДЕМОВЕРСИЯ ЭКЗАМЕНАЦИОННОГО ВАРИАНТА
Пробный тест
1. Тело лежит на горизонтальной плоскости. Выберите пары сил, подчиняющихся третьему закону Ньютона:
1. Сила тяжести и сила реакции опоры.
2. Сила реакции опоры и вес тела.
3. Сила трения покоя и сила реакции опоры.
4. В этом примере нет сил, которые по 3-му закону равны по модулю и противоположны по направлению.
5. Нет правильного ответа.
2. Какая формула для работы неприменима для движения тела по горизонтальной плоскости, если сила сонаправлена с направлением движения?
1. 2.
3.
4.
5. Все применимы.
3. Тепловая машина получает 2000 Дж теплоты пpи темпеpатуpе 727°С и отдает ее часть пpи темпеpатуpе 527°С. Если машина pаботает с максимально возможным коэффициентом полезного действия, то pабота, совеpшаемая ею наиболее близка к:
1) 2760 Дж 2) 1600 Дж 3) 1450 Дж 4) 2000 Дж 5) 400 Дж
4. Как называется переход вещества из твердой фазы в газообразную?
1) кристаллизация; 2) парообразование; 3) испарение;
4) возгонка; 5) сублимация
5. Выберите выражение, описывающее закон Ома в дифференциальной форме:
1) U=I•R 2) I=dq/dt 3) j=σE 4) 5)
6. Найдите напряженность магнитного поля, создаваемого бесконечно длинным проводом, по которому течет ток I=6,28 А, в точках, удаленных от провода на расстояние r=10 см. Ответ выразите в единицах А/м.
1) 2 2) 62.8 3) 50 4) 10 5) 31.4
7. Разность хода двух интерферирующих лучей монохроматического света равна λ/4. При этом разность фаз колебаний равна
1) π/4; 2) π/2; 3) π; 4) π/6 5) 5/4 π
8. Коэффициент поглощения некоторого вещества для монохроматического света определенной длины волны равен 0.1 см-1. Определите толщину слоя вещества, которая необходима для ослабления света в 2 раза.
1) 6,1 см; 2) 16.1 см; 3) 6.93 см;
4) 0.2 см 5) 0.93 см.
9. Hейтpальный атом магния (Z=12) в основном состоянии имеет конфигуpацию:
1) 1S22S22P63S 2) 1S22S22P63P
3) 1S22S22P63S2 4) 1S22S32P6 5) 1S22S22P5
10. Какое максимальное количество электронов согласно принципу Паули может находиться в М оболочке атома?
1) 2 2) 10 3) 14 4) 32 5) 18
11. В начале наблюдения было 8 млн. радиоактивных ядер. Через 30 суток остался 1 млн. Чему равен период полураспада (сут) данного радиоактивного изотопа?
1) 10 2) 5 3) 15• 4) 20 5) нет правильного ответа
12. Чем определяется барионный заряд ядра ?
1)Числом протонов Z ; 2 )Числом нейтронов A - Z ;
3) массовым числом A ; 4) Разностью N – Z.
5) нет правильного ответа
13. Выберите утверждение, дающее верное определение примитивной элементарной ячейки
1) Это элементарная ячейка с минимальным объемом
2) Это ячейка для кристалла, образованного атомами одного элемента
3) Это ячейка, составленная из трех элементарных трансляций базиса
4) Элементарная ячейка называется примитивной, если внутри нее только один узел
5) Нет верного ответа
14. Выберите верную запись первого закона Фика:
1) Jx= - D∙dc/dx
2) Jx= - D∙dc/dt
3) Jx= - N∙dc/dx
4) C(x)= - D∙dc/dx
5) N(x)= - N0∙dc/dx
15. Энергия активации образования вакансии по Шоттки в некотором кристалле равна 1 эВ. Какая часть узлов решетки освободится за счет образования вакансий Шоттки при 727 оС?
1) 1.38∙10-7 2) 9.22∙10-6 3) 4.5∙10-5 4) 1.6∙10-19 5) 9.1∙10-12
16. На каком рисунке изображено схематическое расположение магнитных моментов антиферромагнетика?
1) 1 2) 2 3) 3 4) 4 5) нет правильного ответа
17. Явление полного вытеснения магнитного поля из объёма проводника при его переходе в сверхпроводящее состояние:
1) называется эффектом Пиппарда
2) называется эффектом Ландау
3) называется эффектом Лондонов
4) называется эффектом Мейснера
5) называется эффектом Джозефсона
18. На рисунке схематически изображена зависимость намагниченности ферромагнетика от температуры. Какая точка соответствует температуре Кюри?
1) 1 2) 2 3) 3 4) 4 5) нет правильного ответа
19. Как называется отношение магнитного момента тела к его объёму?
1) магнитный поток
2) магнитная восприимчивость
3) намагниченность
4) индуктивность
5) магнитная проницаемость
СПИСОК ЛИТЕРАТУРЫ
МЕХАНИКА
1. Матвеев А.Н. Механика и теория относительности. - СПб. : Лань, 2009 .
2. Стрелков С.П. Механика.- СПб.:Изд-во «Лань», 2005.
3. Сивухин Д.В. Общий курс физики, т.1.- М.:Физматлит, 2006.
4. Савельев И.В. Курс общей физики, т.1.- СПб.:Изд-во «Лань» , 2007.
МОЛЕКУЛЯРНАЯ ФИЗИКА
1. Матвеев А.Н. Молекулярная физика. - М Изд-во «Лань», 2010
2. Кикоин А.К., Кикоин И.К. Молекулярная физика. - СПб.:Изд-во «Лань», 2007.
3. Савельев И.В. Курс общей физики, т.1. - СПб.:Изд-во «Лань» , 2007.
4. Сивухин Д.В. Общий курс физики. т.2. Термодинамика и молекулярная физика. – М.: Физматлит, 2005.
5. Иродов И.Е.Физика макросистем: основные законы. — М.: Бином, 2006.
ЭЛЕКТРИЧЕСТВО И МАГНЕТИЗМ
1. Матвеев А.Н. Электричество и магнетизм. - Изд-во «Лань», 2010
2. Сивухин Д.В. Общий курс физики, т.3. Электричество. - М.: Физматлит, 2002.
3. Савельев И.В. Курс общей физики. т.3. Электричество и магнетизм. Колебания и волны.
ОПТИКА
1. Г. С. Лансберг. Оптика. 7-е изд., стер. — М. : Физматлит, 2017 .— 854 с.
2. Сивухин Д.В. Общий курс физики. Оптика. - М.: Физматлит, 2005.
3. Матвеев А.Н. Оптика.- М.: Высшая школа, 1985.
4. Н. И. Калитеевский. Волновая оптика.— Изд. 5-е, стереот. — СПб. ; М. : Лань, 2008 .480 с.
ФИЗИКА АТОМОВ И АТОМНЫХ ЯВЛЕНИЙ
1. Э.В. Шпольский. Атомная физика.— М. : Лань, 2010 (в 2-х томах).
2. Матвеев А.Н. Атомная физика. - М.: Высшая школа, 1989.
3. Савельев И.В. Курс общей физики. т.3.-СПб.: Изд-во «Лань», 2005.
4. Сивухин Д.В. Общий курс физики. т.5. Атомная и ядерная физика. Ч.1.- М.: Физматлит, 2006.
ФИЗИКА АТОМНОГО ЯДРА И ЧАСТИЦ
1. Капитонов И.М. Введение в физику ядра и частиц. М., 2011
2. К.Н.Мухин. Экспериментальная ядерная физика. В 3-х тт. Т. 1. Физика атомного ядра М.: Изд. «Лань», 2009. – 384 с.; Т. 2. Физика ядерных реакций. М.: Изд. «Лань», 2009. -326 с.; Т.3. Физика элементарных частиц. М.: Изд. «Лань», 2008. -432 с.
3. Сивухин Д.В. Общий курс физики т.5. Атомная и ядерная физика. Ч.2.- М.: Физматлит, 2006.
ДОПОЛНИТЕЛЬНАЯ ЛИТЕРАТУРА ПО ОБЩЕЙ ФИЗИКЕ:
1. Борн М., Вольф Э. Основы оптики. М.: Наука, 1973.
2. Трофимова Т.И. Курс физики.- М.: Высшая школа, 2007.
ФИЗИКА КОНДЕНСИРОВАННОГО СОСТОЯНИЯ:
1. Епифанов, Георгий Иванович. Физика твердого тела : учеб. пособие / Г. И. Епифанов .— 3-е, испр. — СПб. : Лань, 2010 .— 288 с. -60 экз.
2. Павлов П.П., Хохлов А.Ф. Физика твердого тела (3-е издание) М.: Высшая школа. 2000. 504 с.
3. Матухин, Вадим Леонидович. Физика твердого тела : учеб. пособие / В. Л. Матухин, В. Л. Ермаков .— СПб. ; М. ; Краснодар : Лань, 2010 .— 224 с.
4. Шаскольская М. П. Кристаллография.- М.: Высшая школа, 2008 г.
5. Шалимова, Клавдия Васильевна. Физика полупроводников : учебник / К. В. Шалимова .— Изд. 4-е, стер. — СПб. : Лань, 2010 .— 400 с.
6. Н. Ашкрофт, Н.Мермин Физика твердого тела. - М.: Мир,1986 г. (2 т.)
7. Ч. Киттель. Квантовая теория твердых тел. - М.: Наука, 1968 г.
8. Ч. Киттель. Введение в физику твердого тела. - М.: Наука, 1978 г. 791 с.
9. Брандт, Николай Борисович. Квазичастицы в физике конденсированного состояния / Н. Б. Брандт, В. А. Кульбачинский .— Изд. 2-е, испр. — М. : Физматлит, 2007 .— 632 с.
10. Дж. Займан Принципы теории твердых тел. - М.: Мир, 1966 г.
11. У. Харрисон Электронная структура и свойства твердых тел. - М.: Мир, 1983 г., (2 т.).
12. Келли А., Гровс Г. Кристаллография и дефекты в кристаллах.- М.: Мир,1974г.
13. Ф.Дж. Блатт Физика электронной проводимости в твердых телах. - М.: Мир, 1971 г.
14. Федотов А. К. Физическое материаловедение. В 3-х ч. Часть 1. Физика твердого тела. Минск: Вышэйшая школа, 2010. 400 с. ЭБС «Электронная библиотека онлайн», электронное издание.
15. Каллистер, мл., Уильям Д. Материаловедение: от технологии к применению (Металлы. Керамика. Полимеры) / У. Д. Каллистер, мл., Д. Дж. Ретвич ; пер. с англ. А. Я. Малкина . 3-е изд. С.-Пб. : НОТ, 2011 .— 896 с.
16. Д.Д.Мишин Магнитные материалы. Изд.-во. Высшая школа. М., 1991 г.
Экономика и управление организацией
ПРОГРАММА
вступительного испытания
для поступающих в магистратуру по направлению подготовки
38.04.01 «Экономика»
программа (профиль)
«Экономика и управление организацией»
ОБЩИЕ ПОЛОЖЕНИЯ
Вступительные испытания предназначены для определения практической и теоретической подготовленности поступающего в магистратуру и проводятся с целью определения соответствия знаний умений и навыков требованиям обучения магистратуры по направлению подготовки 38.04.01 «Экономика» (магистратура). Программа составлена в соответствии с требованиями федерального государственного образовательного стандарта высшего профессионального образования.
Вступительные испытания в магистратуру проводят экзаменационные комиссии, назначенные председателем приёмной комиссии УУНиТ.
ПРОЦЕДУРА ВСТУПИТЕЛЬНОГО ИСПЫТАНИЯ
Дата и время проведения вступительного испытания и консультации определяются расписанием вступительных испытаний, которое утверждается председателем приемной комиссии.
Перед вступительным испытанием для поступающих проводится консультация по содержанию программы испытания, критериям оценки, предъявляемым требованиям, правилам поведения на испытании.
Форма вступительного испытания (в соответствии Положением о вступительных испытаниях УУНИТ): устно-письменная.
Вступительные испытания в виде устно-письменного проводятся в соответствии с программами вступительных испытаний, утверждаемых председателем приемной комиссии.
Экзаменационные билеты включают два вопроса по направлению подготовки.
В аудитории, где проводится вступительное испытание в устной форме, не может находиться одновременно более 6 человек. Нахождение в аудитории посторонних лиц не допускается.
Абитуриенту предоставляется право готовиться к ответу в течение 30 минут.
Абитуриенту предоставляется право ответа на экзаменационные вопросы в течение 20-25 минут.
В процессе сдачи вступительного испытания абитуриенту могут быть заданы дополнительные вопросы как по содержанию экзаменационного билета, так и по любым разделам предмета в пределах программы вступительного испытания.
Абитуриент, не согласный с оценкой, полученной на ВИ и (или) в связи с нарушением процедуры проведения ВИ имеет право подать апелляцию. Процедура подачи и рассмотрения апелляции регламентируется Положением об апелляционной комиссии УУНиТ.
КРИТЕРИИ ОЦЕНИВАНИЯ ОТВЕТА
Критериями оценки экзаменационного ответа, поступающего в магистратуру являются полнота, логичность, доказательность, прочность, осознанность знаний и теоретическая обоснованность суждений, самостоятельность в интерпретации информации, практическая направленность, уровень овладения профессиональными умениями менеджера и др.
Результаты вступительного испытания определяются по 100-балльной шкале, разброс баллов представлен ниже в таблице:
|
№ |
Критерии оценивания |
Оценка |
|
1 |
Дан полный развернутый ответ на теоретический вопрос:
|
85-100 баллов «отлично» |
|
2 |
Дан в целом правильный ответ на теоретический вопрос:
|
67-84 балла «хорошо» |
|
3 |
Дан в основном правильный ответ на теоретический вопрос:
|
50-66 баллов «удовлетворительно» |
|
4 |
Дан фрагментарный ответ или неправильный ответ на теоретический вопрос из предложенного тематического раздела:
|
0-49 баллов «неудовлетворительно» |
СОДЕРЖАНИЕ РАЗДЕЛОВ И ТЕМ ПРОГРАММЫ ВСТУПИТЕЛЬНОГО ИСПЫТАНИЯ
Микроэкономика
1. Предмет и методы исследования в микроэкономике.
Микроэкономика как наука. Объект микроэкономики. Развитие предмета микроэкономика. Методология микроэкономики.
2. Базовые экономические проблемы и понятия микроэкономики.
Ключевые экономические проблемы. Экономические решения и проблема выбора. Основные термины - экономические блага и ресурсы, альтернативные издержки Цели и ограничения в экономической деятельности: с точки зрения потребностей, ресурсов, технологии, бюджета. Ограниченность, редкость и недостаточность благ. Принцип альтернативных затрат. Производственные возможности. общества. Первая экономической моделью - кривая производственных возможностей (КПВ). Последствия торговых санкций и протекционистских мер и понятия абсолютного и сравнительного преимуществ (используя модель КПВ). Разделение труда, специализация, обмен, взаимовыгодность добровольного обмена, взаимозависимость. Экономические системы. Основные типы экономических систем.
3. Рынок как экономическая система.
Рынок как способ координации экономической деятельности людей в обществе. Рынок и система рыночных цен. Функции цен. Рынок и его микроэкономическая характеристика. Условия эффективного функционирования рынков.
4. Спрос и предложение. Рыночное равновесие.
Спрос и его выражение. Построение рыночного спроса. Факторы, влияющие на спрос. Взаимосвязанные (заменяющие и дополняющие) товары и услуги. Функция спроса. Закон спроса. Шкала спроса и кривая спроса. Обратная функция спроса. Изменения величины спроса и функции спроса. Движение вдоль кривой спроса и сдвиги кривой спроса. Цена спроса. Индивидуальный и рыночный спрос. Предложение и его выражение. Факторы, влияющие на предложение. Функция предложения. Закон предложения. Шкала предложения и кривая предложения. Обратная функция предложения. Изменения величины предложения и функции предложения. Перемещение вдоль кривой предложения и сдвиги кривой предложения. Индивидуальное и рыночное предложение. Эластичность спроса и предложения. Определение ценовой эластичности спроса и предложения. Факторы ценовой эластичности спроса и предложения. Рыночное равновесие. Равновесная цена и равновесное количество. Возможные состояния рынка: дефицит, избыток и равновесие.
5. Поведение потребителя в рыночной экономике.
Количественная (кардиналистская) теория полезности. Понятие полезности и ее роль в экономической теории. Проблема измерения полезности. Общая и предельная полезность. Положение равновесия потребителя в количественной теории полезности. Принцип оптимального выбора. Полезность и спрос. Порядковая (ординалистская) теория полезности. Предпочтения потребителя. Аксиомы потребительского выбора. Функция полезности и ее виды. Кривые безразличия, их свойства и основные типы. Предельная норма замещения и ее экономический смысл. Бюджетное ограничение потребителя. Экономический смысл бюджетной линии. Сдвиги бюджетной линии при изменении цен благ и дохода потребителя. Изменение бюджетного ограничения в результате введения налогов, предоставления субсидий или изменении ценовой политики продавца.
6. Конкуренция: её сущность и роль в развитии человеческого общества. Формы и методы конкуренции.
Фирма в условиях чистой (совершенной) конкуренции. Максимизация прибыли фирмы в условиях совершенной конкуренции. Механизм монополистической конкуренции. Цена и объем производства в условиях монополистической конкуренции. Неценовая конкуренция. Олигополия как рыночная структура. Особенности рынка олигополий. Экономическая эффективность и общественная полезность олигополии. Чистая монополия. Монопсония. Естественные монополии. Оценка монопольной власти. Ценовая дискриминация. Монополия и эффективность. Антимонопольное (антитрестовое) законодательство и регулирование экономики. Проблемы и перспективы развития конкуренции в России на современном этапе.
7. Факторы производства. Ценообразование на факторы производства
Рынки факторов производства. Особенности ценообразования на факторы производства. Рынок земли и рентные отношения. Экономическая рента. Дифференциальная рента. Арендная плата. Цена земли. Рынок труда и заработная плата. Спрос и предложение на рынке труда. Заработная плата: сущность и формы. Дифференциация ставок заработной платы. Совершенствование оплаты труда. Рынок капитала и процент. Спрос и предложение на ссудный капитал. Дисконтирование. Ссудный процент. Предпринимательство. Прибыль как факторный доход. Источники экономической прибыли. Экономические риски. Теория «погони и бегства». Знания как экономический ресурс. Рынок знаний. НТП.
8. Предпринимательство.
Сущность и условия предпринимательской деятельности. Понятие предпринимательства, эволюция понятия «предпринимательство». Особенности предпринимательской деятельности в России. Фирма как основная структурная единица бизнес-деятельности. Природа фирмы. Экономические теории фирмы. Экономические и социальные функции фирмы. Внутренняя и внешняя среда фирмы. Малое, среднее и крупное предпринимательство. Роль малых и средних фирм в рыночной экономике. Преимущества и недостатки крупных фирм.
9. Издержки производства.
Бухгалтерские и экономические издержки. Природа экономических издержек производства, их структура и виды. Издержки производства в краткосрочном периоде. Постоянные, переменные и общие издержки. Средние и предельные издержки. Кривые краткосрочных общих, средних и предельных издержек и связь между ними. Отражение зависимости затрат от производительности факторов. Издержки производства в долгосрочном периоде. Динамика издержек производства в долгосрочном периоде: отражение зависимости затрат от масштаба производства. Связь между долгосрочными и краткосрочными общими издержками. Изокоста. Минимизация издержек производства: определение экономически эффективного способа производства (аналитическое и графическое решение). Выбор оптимального пути расширения производства в долгосрочном периоде. Сравнение расширения производства в краткосрочном и долгосрочном периодах.
10. Теория внешних эффектов.
Определение и виды внешних эффектов экономической деятельности. Положительные и отрицательные внешние эффекты. Внешние эффекты в производстве и в потреблении товаров и услуг. Потери общественного благосостояния при наличии внешнего эффекта. Недопроизводство и перепроизводство товара. Частные и общественные выгоды, частные и общественные затраты. Положительные внешние эффекты и индустриальная политика государства. Отрицательные внешние эффекты и природоохранительная политика государства. Частичное равновесие с учетом внешних эффектов: графический анализ. Причины внешних эффектов и способы их интернализации. Подходы к проблеме внешних эффектов. Модель интернализации внешнего эффекта путем интеграции предприятий в единую фирму. Налог Пигу. Принудительное ограничение производства. Роль распределения прав собственности. Теорема Коуза. Торговля правами на внешний эффект. Несовершенная (асимметричная) информация.
11. Общее равновесие и экономическая эффективность.
Общественные блага. Классификация общественных благ. Примеры общественных благ. Проблема общих ресурсов. Свойства чистого общественного блага. «Квазиобщественные» блага и их виды. Спрос на чистые общественные блага и его особенности. Теория общественного выбора.
12. Общественные блага и теория общественного выбора.
Общественные блага. Классификация общественных благ. Примеры общественных благ. Проблема общих ресурсов. Свойства чистого общественного блага. «Квазиобщественные» блага и их виды. Спрос на чистые общественные блага и его особенности. Теория общественного выбора.
Макроэкономика
1. Введение в макроэкономику. Предмет, метод и особенности макроэкономического анализа.
Макроэкономика как раздел экономической науки. Предмет макроэкономической науки. Основные макроэкономические задачи, важнейшие проблемы и цели макроэкономического регулирования. Основные этапы развития макроэкономической теории. Отличие макроэкономики от микроэкономики. Макроэкономическая теория и государственная политика. Методы макроэкономического анализа, их особенности. Моделирование. Математический, балансовый и статистический метод моделирования.
2. Национальная экономика: понятие, цели и структура. Планирование и прогнозирование.
Понятие национальной экономики. Понятие структуры национальной экономики. Экономическое равновесие функционирования национальной экономики. Система макроэкономических пропорций. Типы планирования: директивное, индирективное, регулятивное и индикативное. Социально- экономическое и научно-техническое прогнозирование. Типы прогнозирования.
3. Национальное счетоводство. Система взаимосвязи макроэкономических показателей. Национальное богатство и чистое экономическое благосостояние.
Понятие национального продукта и подходы к его измерению. Система национального счетоводства (СНС) как международный стандарт оценки основных экономических показателен национальной экономики. Техника национального счетоводства, проблемы его оценки. Валовой национальный продукт и валовой внутренний продукт: состав и способы расчета. Добавленная стоимость. Промежуточный продукт. Проблема двойного счета. Расчет ВВП по потоку доходов. Номинальный и реальный ВВП. Ценовые индексы. Дефлятор ВВП. Проблемы подсчета ВВП. Проблема достоверности макроэкономических показателей. Национальное богатство. Чистое экономическое благосостояние.
4. Совокупный спрос и совокупное предложение. Классическая и кейнсианская модели макроэкономического равновесия.
Понятие совокупного спроса. Ценовые факторы совокупного спроса: эффект процентной ставки, богатства и импортных закупок. Неценовые факторы совокупного спроса: изменения в потребительских, инвестиционных и государственных расходах, в расходах на чистый объем экспорта. Понятие совокупного предложения. Кейнсианский, промежуточный и классический участки кривой совокупного предложения. Ценовые и неценовые факторы совокупного предложений. Совокупное предложение в долгосрочном и краткосрочном периодах. Сущность макроэкономического равновесия. Идеальное, фактическое, частичное и общее равновесие. Равновесие в кратко- и долгосрочном периодах. Равновесный уровень цен. Эффект «храповика». Классическая модель макроэкономического равновесия. Концепция классической школы по данной модели. Планируемые и фактические инвестиции и сбережения в кейнсианской модели макроэкономического равновесия. Совместное равновесие на рынке товаров и услуг. Модель IS-LM.
5. Совокупное потребление и совокупное сбережение. Инвестиции: понятие и виды.
Понятие совокупного сбережения и потребления. Располагаемый доход. Общее национальное потребление и сбережение. Средняя склонность к потреблению. Средняя склонность к сбережению. Предельные склонности к потреблению и сбережению. Правила совокупного сбережения Кейнса. Функция потребления и сбережения и их взаимосвязь. Факторы потребления и сбережения не связанные с доходом. Теория жизненного цикла потребления и сбережения. Теория постоянного дохода. Понятие инвестиций. Виды реальных инвестиций. Распределение инвестиции. Факторы, влияющие на динамику инвестиций. Инвестиционное решение и факторы, влияющие на него. Ожидаемая норма прибыли и процентная ставка.
6. Цикличность экономического развития.
Понятие экономического цикла. Эволюция теорий экономических циклов. Современная теория экономического цикла. Виды экономических циклов: кратко-, средне- и долгосрочные. Теория «длинных волн» Кондратьева. Причины экономических циклов. Фазы экономического цикла и их содержание. Нециклические колебания. Особенности воздействия колебаний на производство.
7. Занятость и безработица.
Безработица: понятие и причины. Формы и виды безработицы. Фрикционная, структурная, циклическая, добровольная, вынужденная и скрытая безработица. Определение уровня безработицы. Естественный уровень безработицы.
8. Инфляция и антиинфляционное регулирование.
Понятие и сущность инфляции. Эволюция понятия инфляции. Проявления инфляции. Дефляция. Дезинфляция. Стагфляция. Внутренние и внешние факторы инфляции. Инфляция спроса и предложения и их проявление. Формы инфляции в зависимости от определяющего признака: умеренная, галопирующая, гиперинфляция, суперинфляция, сбалансированная и несбалансированная, ожидаемая и нежданная, локальная и мировая, открытая и подавленная. Измерение инфляции. Уровень инфляции. Индекс розничных цен. Темпы инфляции. Социально-экономические последствия инфляции. Антиинфляционная политика государства. Управление инфляцией.
9. Экономический рост.
Понятие экономического роста. Типы экономического роста. НТП и НТР как факторы экономического роста. Темпы экономического роста. Модели экономического роста и их применение. Модель межотраслевого баланса Леонтьева. Государственное регулирование экономического роста.
10. Место и роль денег в экономике. Денежный рынок. Денежная система.
Деньги и их эволюция. Функции денег. Деньги и их эволюция. Теории денег. Закон денежного обращения. Денежный рынок. Денежная система и ее элементы. Спрос и предложение на деньги. Денежная масса и денежный оборот. Денежные агрегаты. Уравнение Фишера.
11. Кредитная система государства.
Сущность, функции и формы кредита. Кредитор и заемщик. Онкольный, кратко-, средне- и долгосрочный кредиты. Банковский, коммерческий, государственный, потребительский и международный кредиты.
12. Банковская система государства.
Банковская система государства и ее структура. Виды банков. Центральный банк и его функции. Основные функции и операции коммерческих банков.
13. Денежно-кредитная политика государства.
Понятие и цели денежно-кредитной политики. Инструменты денежно- кредитной политики. Прямые и косвенные инструменты. Передаточный механизм кредитно-денежной политики. Политика «дешевых денег». Политика «дорогих денег».
14. Финансовая система государства.
Понятие и функции финансов. Финансовая система государства. Принципы построения финансовой системы государства. Структура финансовой системы. Централизованные общегосударственные финансы. Финансы государственных, кооперативных, акционерных, промышленных, сельскохозяйственных, торговых предприятий и фирм. Финансы домашних хозяйств.
15. Налоговая система государства. Бюджетно-налоговая (фискальная) политика государства.
Налогообложение, понятие, сущность и принципы. Субъект и объект налогообложения. Источник налога.
Единица налогообложения. Виды налогов; прямые и косвенные, государственные и местные, пропорциональные, прогрессивные и регрессивные. Краткосрочные и долгосрочные цели бюджетно-налоговой политики и ее инструменты. Стимулирующая и сдерживающая фискальная политика. Дискреционная фискальная политика. Налоговый мультипликатор.
16. Государственный бюджет. Государственный долг.
Государственный бюджет, его функции и структура. Доходы и расходы государственного бюджета. Дефицит бюджета и бюджетный излишек. Мультипликатор сбалансированного бюджета. Государственный долг. Внутренний и внешний долг. Социально- экономические последствия государственного долга.
17. Государственное регулирование экономики.
Экономические функции и задачи государства. Принципы экономической политики. Виды и инструменты государственного регулирования экономики. Прямые (административные) и косвенные (экономические) регуляторы. Корректирующие налоги и субсидии. Направления экономической политики государства. Эффективность различных инструментов макроэкономической политики государства.
18. Социальная политика государства.
Социальная политика: содержание, направления, принципы, уровни.
Уровень и качество жизни. Минимальный потребительский бюджет и бюджет прожиточного минимума. Доходы населения и проблемы их распределения. Факторы, определяющие доходы населения. Номинальные и реальные доходы. Проблема неравенства в распределении доходов. Проблема бедности. Количественное определение неравенства. Децильный и квинтильный коэффициенты. Кривая Лоренца. Обеспечение социальной справедливости. Модели социальной политики. Государственная политика перераспределения доходов и ее направления. Механизм и основные направления социальной защиты. Политика защиты здоровья и экономической безопасности.
Экономика организации
1. Предмет, метод и содержание курса «Экономика организации».
Понятие о народном хозяйстве страны. Характеристика народного хозяйства РФ по формам собственности и уровням подчиненности. Экономическая классификация и понятие «сферы», «отрасли» и «сектора» экономики. Показатели, характеризующие экономическую структуру. Факторы, определяющие отраслевую структуру народного хозяйства. Разделы общероссийского классификатора видов экономической деятельности (ОКВЭД). Понятие «комплекс» экономики. Межотраслевые и одноотраслевые, территориально-производственные, межотраслевые научно-технические комплексы.
2. Предпринимательская деятельность и хозяйствующие субъекты.
Сущность предпринимательства и предпринимательской деятельности. Экономические, социальные и правовые условия предпринимательства. Виды и формы предпринимательства. Предпринимательский риск. Государственное регулирование рынка. Развитие предпринимательства в России. Понятие хозяйствующего субъекта. Определение категорий: «организация», «предприятие», «фирма», «компания»: сходства и отличия. Классификация предприятий. Организационно-правовые формы предприятий. Организационные формы объединений предприятий. Понятие системы и системного подхода к фирме. Организация как социально-экономическая целостная открытая система. Формирование подсистем организации: производственно-технологической, финансово-экономической, организационно-управленческой; их характеристика. Принципы подразделений по масштабам производства. Малые предприятия. Жизненный цикл предприятия: создание, рост, зрелость, спад, реорганизация, банкротство.
3. Организация деятельности предприятия. Производственная программа предприятия.
Производственно-техническая подсистема организации. Производственная структура организации и факторы ее формирующие. Инфраструктура предприятия. Типы производства, их влияние на экономику и организацию производства. Производственный процесс, его состав, виды, принципы организации. Организация производства: сущность, формы. Производственный цикл и его структура. Организационно-управленческая подсистема организации. Производственная мощность предприятия и факторы, ее определяющие. Методика расчета производственной мощности предприятия. Принципы и методы планирования производства продукции. Понятие производственной программы, ее место в плане социально-экономического развития предприятия и взаимосвязь с другими разделами плана. Технико-экономическая характеристика предприятия. Основные разделы и показатели производственной программы. Разработка плана производства продукции.
4. Основные средства организации.
Понятие имущества организации, его состав, источники формирования. Производственная мощность, ее виды, методика расчета. Показатели использования производственной мощности. Основные средства организации: их состав, структура и воспроизводственная характеристика. Классификация основных средств и ее экономическое назначение. Виды оценок основных средств. Необходимость переоценок и методы их организации. Виды износа и амортизация основных средств организации. Амортизационные отчисления и методы их расчета. Показатели эффективности использования основных средств. Пути повышения эффективности использования основных средств.
5. Оборотные средства организации.
Оборотные средства организации: понятие, состав и структура. Классификация оборотных средств, цели и задачи управления. Стадии кругооборота оборотных средств. Методы определения потребности в оборотных средствах. Нормирование как основная часть процесса планирования оборотных средств. Основные принципы нормирования оборотных средств: производственных запасов, незавершенного производства, готовой продукции. Источники формирования оборотных средств. Управление оборотными средствами. Экономическое значение улучшения их использования.
6. Трудовые ресурсы и оплата труда в организации.
Понятия «рабочая сила», «трудовые ресурсы», «кадры», «персонал». Состав и структура персонала организации. Количественная и качественная характеристика персонала. Планирование численности и состава персонала. Текучесть кадров. Рынок труда. Производительность труда, ее значение в повышении эффективности деятельности организации. Показатели производительности труда. Резервы роста производительности труда. Показатели использования трудовых ресурсов организации. Мотивация труда. Принципы организации заработной платы в организации. Элементы организации оплаты труда. Формы и системы оплаты труда. Фонд заработной платы. Планирование фонда оплаты труда. Основные направления стимулирования труда.
7. Планирование деятельности организации.
Цели, этапы, типы стратегии организации. Анализ внешней среды. Анализ внутренних возможностей организации. Анализ стратегических альтернатив. Выбор стратегии. Оценка стратегии. Маркетинговая и товарная стратегия. Содержание и методы планирования. Роль планирования, основные задачи и принципы. Виды планов, их характеристика и взаимосвязь. Учетная политика организации. Планирование потребности в трудовых ресурсах. Характеристика плана развития организации, его основных разделов. Цели и значение бизнес-планирования. Характеристика разделов бизнес-плана, методика разработки и оформления. Методика проведения маржинального анализа. Определение точки безубыточности и порога рентабельности.
8. Управление качеством продукции и конкурентоспособность организации.
Понятие качества продукции. Система показателей качества. Единичные и комплексные, абсолютные и относительные показатели. Государственные и международные стандарты и системы качества. Система управления качеством, ее сущность и функции. Модель системы управления качеством. «Петля качества». Стандартизация и сертификация продукции. Техническое регулирование и технические регламенты. Порядок сертификации продукции. Обязательная и добровольная система сертификации. Конкурентоспособность организации и ее продукции.
9. Финансы организации. Инвестиционная и инновационная деятельность организации.
Сущность и функции финансов организации. Финансовый механизм организации. Финансовые ресурсы организации. Финансовые методы как способы воздействия на формирование и использование денежных фондов. Финансовая политика организации. Экономическое содержание инвестиций. Классификация инвестиций. Цели и принципы формирования инвестиционной политики организации. Источники инвестиций и их классификация, условия вовлечения в производственную деятельность. Инвестиционные проекты и их эффективность. Обоснование инвестиционных проектов, их научная экспертиза. Инвестиционные риски. Инновационные продукты и технологии. Принципы и организация инновационной деятельности. Роль инноваций в развитии организации. Стратегия инновационной деятельности. Сущность и стадии подготовки нового производства: исследования, конструкторская, технологическая, организационная, экономическая и финансовая подготовка. Инновационные проекты: их формирование, оценка и выбор.
10. Издержки, прибыль и рентабельность организации.
Понятие издержек. Издержки производства как затраты живого и овеществленного труда. Факторы и тенденции изменения соотношения между ними. Виды издержек. Общественно-необходимые и индивидуальные издержки. Внутренне и внешние издержки. Структура себестоимости. Виды калькуляций. Расчет плановых и фактических калькуляций. Методы учета затрат. Основные направления снижения себестоимости продукции. Цель и методика разработки сметы затрат на производство и реализацию продукции. Сущность понятия «прибыль». Виды прибыли и методика их расчета. Методы планирования прибыли. Сущность метода прямого счета. Понятие валовой прибыли. Схема распределения доходов организации. Состав фонда накопления. Фонд потребления. Понятие рентабельности. Виды рентабельности. Расчет показателей рентабельности. Факторы роста уровня рентабельности. Факторы, увеличивающие массу прибыли. Факторы, уменьшающие стоимость основного капитала. Взаимосвязь показателей рентабельности и собственного капитала. Стоимость оборотного капитала.
11. Ценовая политика организации. Основы маркетинговой деятельности организации.
Понятие и виды цен. Ценовая политика организации, этапы ее разработки.
Основные стратегии ценообразования. Факторы, влияющие на уровень цен.
Методы ценообразования. Современные тенденции в области ценообразования организации. Цели, задачи и функции маркетинга. Сбытовая политика организации, этапы ее разработки. Товарная и ассортиментная политика. Инструменты сбытовой политики. Каналы и системы сбыта продукции, их характеристика. Роль цен в управлении предприятием. Ценовая политика организации. Характеристика основных и типичных целей политика организации в области установления цен. Основные цели ценовой политики. Виды цен и основные их классификации. Особенности формирования цен в условиях различных моделей рынка. Факторы, влияющие на формирование структуры и уровня цены. Ценообразование. Методы ценообразования.
12. Оценка эффективности производственно-хозяйственной и финансовой деятельности организации.
Понятие платежеспособности. Баланс активов и пассивов, как основной документ, отражающий финансово- экономическое положение организации. Структура активов и пассивов. Основные балансовые соотношения: сумма активов и долгов на рубль собственного имущества, оборотные активы на рубль основных средств, ликвидность активов. Отчет о прибылях и убытках. Отчет о фондах. Счет финансирования. Понятие эффекта и эффективности деятельности предприятия. Виды эффективности. Сущность экономической эффективности общественного производства. Критерий эффективности, его качественная и количественная характеристика. Показатели эффективности хозяйственной деятельности организации и использование отдельных видов ресурсов, методика их расчета. Оценка финансового состояния организации. Показатели финансово- хозяйственной деятельности организации: финансовой устойчивости, имущественного положения, ликвидности, деловой активности, положения предприятия на рынке ценных бумаг. Основные направления повышения эффективности производства.
Менеджмент
1. Понятие, цели и функции менеджмента.
Особенности современной российской экономики и необходимость совершенствования организации управления в России. Понятие менеджмента. Менеджмент как процесс; орган или аппарат управления; категория людей; наука и искусство; функция (вид деятельности). Цели менеджмента. Основные функции менеджмента: планирование, организация, координация, контроль и мотивация. Конкретные функции менеджмента. Виды менеджмента: правительство; государственный менеджмент;
ассоциационный (клубный) менеджмент; бизнес-менеджмент.
2. Этапы и школы в истории менеджмента.
Этапы в истории менеджмента. Школа научного управления. Классическая (административная) школа управления. Школа «человеческих отношений».
Поведенческая школа. Школа наук управления.
3. Опыт менеджмента за рубежом, возможности и пути использования его в России.
Характеристика американской модели менеджмента. Исторические предпосылки американского менеджмента. «Менеджмент человеческих ресурсов». Представления о предприятии как об открытой системе, активно взаимодействующей со своей средой и, в конечном счёте, приспосабливающей свое внутреннее строение к ее «организационному». Партисипативное управление. Особенности японской модели менеджмента. Ориентация на социального человека. Концепция “тотального” контроля за качеством в рамках фирмы. Специфика менеджмента в России. Возможности и пути использования зарубежного опыта в России. Принципы, современного менеджмента Питера Друкера. Сервисный менеджмент.
4. Основные качества менеджера, особенности его работы.
Работа менеджера. Уровни управления: институциональный (высший) уровень, управленческий (средний) уровень, технический (низший) уровень.
Классификация стилей руководства. Качества менеджера. Классификация качеств руководителя
5. Цели и система управления предприятиями.
Понятие, сущность, цели и задачи управления предприятием. Понятие системы. Основными элементы системы: цели, задачи, структура, техника и технология, люди. Системный подход в управлении предприятием. Понятие подсистемы. Социальная и техническая подсистемы. Цели в различных направлениях деятельности: разработка новой продукции, повышение качества услуг, подготовка кадров, определение рынка сбыта. Цели некоммерческих организаций. Уровни управления. Высокая и плоская структура в управлении. Основные системные факторы
6. Планирование в менеджменте.
Внутренняя среда предприятия. Анализ внешней среды. Непосредственное окружение и среда косвенного воздействия. Управленческое обследование внутренней среды; SWOT – анализ, матрица возможностей, матрица угроз, составление профиля среды. Миссия организации. Стратегический менеджмент; разработка и реализация перспективных и текущих планов. Стратегии создания конкурентных преимуществ. Стратегии концентрированного роста; стратегии интегрированного роста; стратегии диверсифицированного роста; .стратегии сокращения. Выбор стратегии. Текущее планирование
7. Организационный менеджмент. Построение организационных структур.
Этапы организационного проектирования; департаментализация; централизованные и децентрализованные организации. Бюрократические и адаптивные структуры. Линейные, функциональные, дивизиональные структуры (продуктовая, региональная, структура, ориентированная на потребителя), проектные, матричные структуры. Принципы формирования организационных структур управления.
8. Мотивация в менеджменте.
Сущность мотивации. Потребности, стимулы, стимулирование Содержательные концепции мотивации: теория иерархии потребностей А. Маслоу, двухфакторная модель Ф. Герцберга, теория приобретенных потребностей Д. Мак-Клелланда; процессные теории мотивации: теория ожидания В. Врума, теория справедливости Дж. Адамса, комплексная процессная теория мотивации Л. Портера и Э. Лоулера. Экономические и неэкономические мотивы деятельности людей.
9. Контроль в менеджменте.
Организация контроля за деятельностью подчиненных. Основные элементы контроля. Задачи, принципы, контроля. Формы контроля. Понятие контроллинга. Место контроллинга в системе управления. Основные элементы системы контроллинга.
10. Процесс принятия и реализации управленческих решений. Разработка решений.
Роль решении в процессе менеджмента. Природа и классификация управленческих решений. Основные подходы к принятию решений. Процесс принятия решений, его характеристика. Методы и способы принятия решений. Методология и организация разработки решения. Моделирование ситуации. Методологические принципы построения моделей, типы моделей. Матрица управленческих решений. Технические средства оптимизации и выбора управленческих решений. Информационное обеспечение разработки решения, оценка решения
11. Коммуникационный менеджмент, система информационных коммуникаций.
Сущность коммуникаций. Виды коммуникаций. Обратная связь; шум в информационной системе. Коммуникационные барьеры. Коммуникационные процессы. Информационное обеспечение менеджмента. Понятие информации. Типы информации: общая, специфическая, стимулирующая, контрольная, направляющая, распределительная (или распределяющая) информация; компьютерные системы информационного менеджмента: система совершения сделок и операций, управленческие информационные системы, системы поддержки решений и системы, базирующиеся на знаниях; использование мировых информационных ресурсов в менеджменте. Интернет.
Демоверсия экзаменационного варианта
|
ФЕДЕРАЛЬНОЕ ГОСУДАРСТВЕННОЕ БЮДЖЕТНОЕ ОБРАЗОВАТЕЛЬНОЕ УЧРЕЖДЕНИЕ ВЫСШЕГО ОБРАЗОВАНИЯ «УФИМСКИЙ УНИВЕРСИТЕТ НАУКИ И ТЕХНОЛОГИЙ» БИРСКИЙ ФИЛИАЛ УУНиТ Кафедра информатики и экономики |
|
|
Вступительные экзамены 20__-20__ г. Очно-заочная форма обучения
|
Направление 38.04.01 Экономика Направленность (профиль): Экономика и управление организацией |
|
Экзаменационный билет № 1
|
|
|
Дата утверждения: __.__.______ |
Заведующий кафедрой ______________________________ |
СПИСОК ЛИТЕРАТУРЫ
1. Акмаева Р.И., Епифанова Н.Ш., Лунев А.П. Менеджмент: учебник. – М.; Берлин: Директ-Медиа, 2018. - 442 с.
2. Алексейчева Е.Ю., Магомедов М.Д., Костин И.Б. Экономика организации (предприятия): учебник. - 2-е изд., перераб. и доп. – М.: Издательско-торговая корпорация «Дашков и К°», 2016. - 291 с.
3. Алферова Л.А. Экономика: учебное пособие. – М.: ТУСУР, 2023. - 214 с.
4. Арзуманова Т.И., Мачабели М.Ш. Экономика организации : учебник. - М. : Издательско-торговая корпорация «Дашков и К°», 2016. - 237 с.
5. Баскакова О.В. Экономика предприятия (организации): учебник / О.В. Баскакова, Л.Ф. Сейко. – М.: Издательско-торговая корпорация «Дашков и К°», 2018. - 370 с.
6. Бланшар О. Макроэкономика : учебник / Научн. ред. пер. Л.Л. Любимов. - 2-е изд. - М. : Издательский дом Высшей школы экономики, 2015. - 672 с.
7. Вымятнина Ю. В. Макроэкономика в 2 ч. Часть 1: учебник и практикум для вузов / Ю.В. Вымятнина, К.Ю. Борисов, М.А. Пахнин. – М.: Издательство Юрайт, 2020. - 294 с.
8. Вымятнина Ю.В. Макроэкономика в 2 ч. Часть 2: учебник и практикум для вузов / Ю. В. Вымятнина, К. Ю. Борисов, М.А. Пахнин. – М.: Издательство Юрайт, 2020. - 198 с.
9. Гребенников П. И. Микроэкономика : учебник и практикум для вузов. - 8-е изд., перераб. и доп. – М. : Издательство Юрайт, 2021. - 547 с.
10. Деньгов В.В. Микроэкономика в 2 т. Т. 1. Теория потребительского поведения. Теория фирмы. Теория рынков: учебник для вузов. - 4-е изд. - Москва : Издательство Юрайт, 2020. - 410 с.
11. Деньгов В.В. Микроэкономика в 2 т. Т. 2. Рынки факторов производства. Равновесие. Экономика риска: учебник для вузов. - 4-е изд. – М.: Издательство Юрайт, 2020. - 384 с.
12. Дерен В.И. Экономика: экономическая теория и экономическая политика в 2 ч. Часть 1: учебник и практикум для вузов. - 6-е изд., испр. и доп. – М.: Издательство Юрайт, 2019. - 432 с.
13. Дерен В.И. Экономика: экономическая теория и экономическая политика в 2 ч. Часть 2: учебник и практикум для вузов. - 6-е изд., испр. и доп. – М.: Издательство Юрайт, 2019. - 415 с.
14. Елисеев А.С. Экономика: учебник. - 3-е изд., стер. – М.: Дашков и К, 2022. - 528 с.
15. Журавлева Г.П. Экономическая теория. Микроэкономика- 1,2. Мезоэкономика: учебник. - 8-е изд. – М.: Дашков и К, 2022. - 934 с.
16. Макроэкономика: учебное пособие / И.В. Грузков, Н.А. Довготько, О.Н. Кусакина и др. ; под общ. ред. О.Н. Кусакиной. - Ставрополь: Ставропольский государственный аграрный университет, 2015. - 153 с.
17. Маслова Е.Л. Менеджмент: учебник. – М.: Издательско-торговая корпорация «Дашков и К°», 2016. - 333 с.
18. Менеджмент : учебник / Т.В. Вырупаева, Л.С. Драганчук, О.Л. Егошина и др. . - Красноярск : СФУ, 2016. - 380 с.
19. Мухина И.А. Экономика организации (предприятия) : учебное пособие. - 2-е изд., стер. – М.: Издательство «Флинта», 2017. - 320 с.
20. Родина Г.А. Макроэкономика: учебник и практикум для бакалавриата, специалитета и магистратуры / [и др.] ;под редакцией Г. А. Родиной. - 2-е изд., перераб. и доп. – М.: Издательство Юрайт, 2019. - 375 с.
21. Чепурин М.Н., Киселева Е.А. Курс экономической теории. Учебник. - Изд. 7-е, дополненное и переработанное. - Киров: АСА, 2012. - 880 с.
22. Экономика организаций: учебник / О.Н. Глотова, Ю.В. Рыбасова, О.А. Чередниченко и др. - Ставрополь: Агрус, 2015. - 392 с.
Бизнес-экономика
ПРОГРАММА
вступительного испытания
для поступающих в магистратуру по направлению подготовки
38.04.01 «Экономика»
программа
«Бизнес-экономика (на английском языке)»
ОБЩИЕ ПОЛОЖЕНИЯ
Вступительные испытания (ВИ) предназначены для определения практической и теоретической подготовленности поступающего в магистратуру и проводятся с целью определения соответствия знаний умений и навыков требованиям обучения в магистратуре по направлению подготовки 38.04.01 «Экономика» (магистратура). Программа составлена в соответствии с требованиями федерального государственного образовательного стандарта высшего образования.
Вступительные испытания в магистратуру проводят экзаменационные комиссии, назначенные председателем приёмной комиссии УУНиТ.
ПРОЦЕДУРА ВСТУПИТЕЛЬНОГО ИСПЫТАНИЯ
Дата и время проведения вступительного испытания и консультации определяются расписанием вступительных испытаний, которое утверждается председателем приемной комиссии.
Перед вступительным испытанием для поступающих проводится консультация по содержанию программы испытания, критериям оценки, предъявляемым требованиям, правилам поведения на испытании.
Форма вступительного испытания (в соответствии Положением о вступительных испытаниях УУНиТ): тестирование.
Вступительные испытания в виде электронного тестирования проводятся в соответствии с программами вступительных испытаний, утверждаемых председателем предметной комиссии.
Вступительные испытания в форме тестирования включают вопросы как закрытого, так и открытого типа, а также задания в аудио- и видеоформатах.
Составление вариантов экзаменационных заданий в форме электронных тестов осуществляется ответственным секретарем приемной комиссии университета.
Из вариантов экзаменационных заданий формируются комплекты вопросов-тестов.
Компоновку комплектов вопросов-тестов ответственный секретарь, заместитель ответственного секретаря производят до вступительных испытаний.
Тест содержит 40 тестовых вопросов.
Результаты испытаний оцениваются по 100 бальной шкале.
Абитуриент, не согласный с оценкой, полученной на ВИ и (или) в связи с нарушением процедуры проведения ВИ имеет право подать апелляцию. Процедура подачи и рассмотрения апелляции регламентируется Положением об апелляционной комиссии УУНиТ.
КРИТЕРИИ ОЦЕНИВАНИЯ ОТВЕТА
Критериями оценки ответов по тестовым вопросам, поступающего в магистратуру являются правильные ответы на тестовые задания.
При проверке количество первичных баллов переводится в итоговую 100 балльную шкалу через информационную платформу университета.
СОДЕРЖАНИЕ РАЗДЕЛОВ И ТЕМ ПРОГРАММЫ ВСТУПИТЕЛЬНОГО ИСПЫТАНИЯ
Раздел 1. Экономика
Тема 1. Базовые экономические понятия.
Тема 2. Спрос и предложение. Эластичность. Рыночное равновесие.
Тема 3. Концепции потребительского поведения.
Тема 4. Теория производства. Издержки производства. Доход и прибыль фирмы.
Тема 5. Типы рыночных структур. Модели поведения фирмы в различных рыночных структурах.
Тема 6. Рынки факторов производства.
Тема 7. Общее экономическое равновесие.
Тема 8. Роль государства в экономике.
Раздел 2. Управление. Организация как объект управления
Тема 1. Понятие управления. Основные школы менеджмента.
Тема 2. Организация как объект управления. Внутренняя среда организации.
Тема 3. Функции управления: планирование, организация, мотивация, контроль.
Тема 4. Принятие управленческих решений. Методы принятия решений.
Тема 5. Стили руководства. Лидерство и власть.
Тема 6. Организационная культура. Коммуникации в управлении.
Тема 7. Управленческий учет и контроль. Бюджетирование.
Тема 8. Стратегический менеджмент. Формирование стратегии развития предприятия. Управление изменениями.
Тема 9. Проектное управление. Жизненный цикл проекта.
Раздел 3. Предпринимательство и бизнес
Тема 1. Предпринимательство как социально-экономическая категория. Субъекты предпринимательства.
Тема 2. Формы ведения бизнеса. Индивидуальное предприятие, товарищества, общества.
Тема 3. Создание бизнеса и процедура регистрации предприятий. Правовая основа предпринимательства.
Тема 4. Источники финансирования бизнеса. Инвестиции и кредитование. Венчурные инвестиции.
Тема 5. Бизнес-планирование. Составление бизнес-плана.
Тема 6. Маркетинг в предпринимательской деятельности.
Тема 7. Цифровизация бизнеса. Цифровые бизнес-модели.
Тема 8. Анализ и определение рисков предпринимательской деятельности.
Тема 9. Государственная поддержка малого и среднего бизнеса.
Демоверсия экзаменационного варианта
Пробный тест
- Множественный выбор
1.1. Вопросы с выбором единственного ответа
1) Which of the following statements means that a completely competitive firm is operating in the market?
a) the curve for the product of a competitive firm has a negative slope;
b) the demand curve for the firm's product is a vertical line.
c) the firm's average and marginal cost curves are U-shaped;
d) the demand for products of a competitive firm is absolutely elastic in price;
2. «На соответствие»
1) Establish a correspondence between terms and their definitions
1. Barter
2. Trading
3. Retail trade
A. economic exchange of goods, a transaction in which the value of goods is determined and a currency-free exchange of one good for another is carried out
B. the branch of economy and type of economic activity aimed at the implementation of commodity exchange, purchase and sale of goods, as well as related processes: direct customer service, delivery of goods, their storage and preparation for sale
B. Sale of goods to the end user.
3. «Короткий ответ» / «Числовой (открытые вопросы)
3.1. «Короткий ответ»
1) A firm that is a perfect competitor cannot influence the market price, so the ... curve looks like a horizontal straight line.
3.2. «Числовой»
1) A firm that is a perfect competitor produces a certain amount of goods, considering it optimal, having MR = 30 rubles and AC = 2Q +10 + 8/Q. Determine the amount of profit (Enter only the number without units of measurement):
СПИСОК ЛИТЕРАТУРЫ
- Microeconomics: Theory Through Applications. Russell Cooper, European University Institute / Andrew John, Melbourne Business School. 2011. — URL: https://open.umn.edu/opentextbooks/textbooks/microeconomics-theory-through-applications
- Principles of Economics. University of Minnesota Libraries Publishing. 2016. — URL: https://open.umn.edu/opentextbooks/textbooks/principles-of-economics
- Principles of Macroeconomics. University of Minnesota Libraries Publishing. 2016. — URL: https://open.umn.edu/opentextbooks/textbooks/principles-of-macroeconomics
- Introduction to Economic Analysis. Preston McAfee, Caltech / Tracy R Lewis, Duke University. 2009. — URL: https://open.umn.edu/opentextbooks/textbooks/introduction-to-economic-analysis
- Small Business Management in the 21st Century. David Cadden, Quinnipiac University / Sandra L. Lueder, Southern Connecticut State University. 2012. — URL: https://open.umn.edu/opentextbooks/textbooks/140
- Principles of Management. University of Minnesota Libraries Publishing. 2015. — URL: https://open.umn.edu/opentextbooks/textbooks/34
- Exploring Business. University of Minnesota Libraries Publishing. 2016. — URL: https://open.umn.edu/opentextbooks/textbooks/15
- Абчук, В. А. Менеджмент: прикладные аспекты : учебник и практикум для вузов / В. А. Абчук, С. Ю. Трапицын, В. В. Тимченко. — 3-е изд., испр. и доп. — Москва : Издательство Юрайт, 2025. — 347 с. — (Высшее образование). — ISBN 978-5-534-17081-8. — Текст : электронный // Образовательная платформа Юрайт [сайт]. — URL: https://urait.ru/bcode/562108 (дата обращения: 22.01.2025).
- Боброва, О. С. Основы бизнеса : учебник и практикум для вузов / О. С. Боброва, С. И. Цыбуков, И. А. Бобров. — 3-е изд. — Москва : Издательство Юрайт, 2025. — 369 с. — (Высшее образование). — ISBN 978-5-534-19161-5. — Текст : электронный // Образовательная платформа Юрайт [сайт]. — URL: https://urait.ru/bcode/560173 (дата обращения: 22.01.2025).
- Васильев, В. П. Государственное регулирование экономики : учебник и практикум для вузов / В. П. Васильев. — 6-е изд., перераб. и доп. — Москва : Издательство Юрайт, 2025. — 178 с. — (Высшее образование). — ISBN 978-5-534-18711-3. — Текст : электронный // Образовательная платформа Юрайт [сайт]. — URL: https://urait.ru/bcode/562072 (дата обращения: 22.01.2025).
- Вымятнина, Ю. В. Макроэкономика : учебник для вузов / Ю. В. Вымятнина, К. Ю. Борисов, М. А. Пахнин. — Москва : Издательство Юрайт, 2025. — 480 с. — (Высшее образование). — ISBN 978-5-534-18740-3. — Текст : электронный // Образовательная платформа Юрайт [сайт]. — URL: https://urait.ru/bcode/568507 (дата обращения: 22.01.2025).
- Гумерова, Г. И. Управление интеллектуальной собственностью : учебное пособие для вузов / Г. И. Гумерова, Э. Ш. Шаймиева. — 7-е изд., перераб. и доп. — Москва : Издательство Юрайт, 2025. — 288 с. — (Высшее образование). — ISBN 978-5-534-21121-4. — Текст : электронный // Образовательная платформа Юрайт [сайт]. — URL: https://urait.ru/bcode/559383 (дата обращения: 22.01.2025).
- Деловое администрирование предпринимательства : учебник для вузов / под редакцией Е. М. Белого. — Москва : Издательство Юрайт, 2025. — 182 с. — (Высшее образование). — ISBN 978-5-534-14009-5. — Текст : электронный // Образовательная платформа Юрайт [сайт]. — URL: https://urait.ru/bcode/567707 (дата обращения: 22.01.2025).
- Конягина, М. Н. Основы цифровой экономики : учебник и практикум для вузов / М. Н. Конягина ; ответственный редактор М. Н. Конягина. — 2-е изд. — Москва : Издательство Юрайт, 2025. — 240 с. — (Высшее образование). — ISBN 978-5-534-21494-9. — Текст : электронный // Образовательная платформа Юрайт [сайт]. — URL: https://urait.ru/bcode/573695 (дата обращения: 22.01.2025).
- Корнейчук, Б. В. Микроэкономика : учебник и практикум для вузов / Б. В. Корнейчук. — 2-е изд., испр. и доп. — Москва : Издательство Юрайт, 2025. — 305 с. — (Высшее образование). — ISBN 978-5-534-07542-7. — Текст : электронный // Образовательная платформа Юрайт [сайт]. — URL: https://urait.ru/bcode/561641 (дата обращения: 22.01.2025).
- Коротков, Э. М. Менеджмент : учебник для вузов / Э. М. Коротков. — 3-е изд., перераб. и доп. — Москва : Издательство Юрайт, 2025. — 543 с. — (Высшее образование). — ISBN 978-5-534-19926-0. — Текст : электронный // Образовательная платформа Юрайт [сайт]. — URL: https://urait.ru/bcode/559692 (дата обращения: 22.01.2025).
- Кузьмина, Е. Е. Организация предпринимательской деятельности : учебник для вузов / Е. Е. Кузьмина. — 5-е изд., перераб. и доп. — Москва : Издательство Юрайт, 2025. — 469 с. — (Высшее образование). — ISBN 978-5-534-16461-9. — Текст : электронный // Образовательная платформа Юрайт [сайт]. — URL: https://urait.ru/bcode/559862 (дата обращения: 22.01.2025).
- Макроэкономика : учебник для вузов / под редакцией С. Ф. Серегиной. — 4-е изд., испр. и доп. — Москва : Издательство Юрайт, 2025. — 477 с. — (Высшее образование). — ISBN 978-5-534-13156-7. — Текст : электронный // Образовательная платформа Юрайт [сайт]. — URL: https://urait.ru/bcode/559720 (дата обращения: 22.01.2025).
- Мурзин, Д. А. Учет и налогообложение на предприятиях малого и среднего бизнеса : учебное пособие для вузов / Д. А. Мурзин, Н. Г. Барышников, Д. Ю. Самыгин. — 2-е изд., перераб. и доп. — Москва : Издательство Юрайт, 2025. — 194 с. — (Высшее образование). — ISBN 978-5-534-21117-7. — Текст : электронный // Образовательная платформа Юрайт [сайт]. — URL: https://urait.ru/bcode/559379 (дата обращения: 22.01.2025).
- Платформенная экономика в России : потенциал развития : аналитический доклад / Национальный исследовательский университет "Высшая школа экономики", Ростелеком; редакторы: Л. М. Гохберг [и др.]. — Москва : Издательство ИСИЭЗ ВШЭ, 2023. — 72 с.: цв. ил.. — Библиогр.: с. 67-69. — ISBN 978-5-7598-3001-6.
- Предпринимательство : учебное пособие / Н. Ю. Никитина, С. М. Корунов, А. А. Яшин, И. Д. Опарин; под общ. ред. Н. Ю. Никитиной ; Министерство науки и высшего образования Российской Федерации, Уральский федеральный университет. – Екатеринбург : Изд-во Урал. ун-та, 2020. – 256 с. : ил. – 100 экз. – ISBN 978-5-7996-3107-9. – Текст : непосредственный. — URL: https://elar.urfu.ru/bitstream/10995/94357/1/978-5-7996-3107-9_2020.pdf
- Розанова, Н. М. Управленческая экономика : учебник для вузов / Н. М. Розанова. — 2-е изд., перераб. и доп. — Москва : Издательство Юрайт, 2025. — 425 с. — (Высшее образование). — ISBN 978-5-534-17940-8. — Текст : электронный // Образовательная платформа Юрайт [сайт]. — URL: https://urait.ru/bcode/568773 (дата обращения: 22.01.2025).
- Розанова, Н. М. Экономика фирмы. Производственный процесс : учебник для вузов / Н. М. Розанова. — Москва : Издательство Юрайт, 2025. — 266 с. — (Высшее образование). — ISBN 978-5-534-18903-2. — Текст : электронный // Образовательная платформа Юрайт [сайт]. — URL: https://urait.ru/bcode/561884 (дата обращения: 22.01.2025).
- Савинова, С. Ю. Лидерство в бизнесе : учебник и практикум для вузов / С. Ю. Савинова, Е. Н. Васильева. — 2-е изд., испр. и доп. — Москва : Издательство Юрайт, 2025. — 280 с. — (Высшее образование). — ISBN 978-5-534-11445-4. — Текст : электронный // Образовательная платформа Юрайт [сайт]. — URL: https://urait.ru/bcode/566231 (дата обращения: 22.01.2025).
- Хворостяная, А. С. Стратегический бренд-менеджмент : учебник для вузов / А. С. Хворостяная. — Москва : Издательство Юрайт, 2025. — 121 с. — (Высшее образование). — ISBN 978-5-534-19360-2. — Текст : электронный // Образовательная платформа Юрайт [сайт]. — URL: https://urait.ru/bcode/569111 (дата обращения: 22.01.2025).
- Чеберко, Е. Ф. Основы предпринимательской деятельности : учебник и практикум для вузов / Е. Ф. Чеберко. — 2-е изд. — Москва : Издательство Юрайт, 2025. — 241 с. — (Высшее образование). — ISBN 978-5-534-18809-7. — Текст : электронный // Образовательная платформа Юрайт [сайт]. — URL: https://urait.ru/bcode/561496 (дата обращения: 22.01.2025).
Финансовая аналитика и финансовый консалтинг
ПРОГРАММА
вступительного испытания
для поступающих в магистратуру по направлению подготовки
38.04.08 «Финансы и кредит»
программа (профиль)
«Финансовая аналитика и финансовый консалтинг»
ОБЩИЕ ПОЛОЖЕНИЯ
Вступительные испытания предназначены для определения практической и теоретической подготовленности поступающего в магистратуру и проводятся с целью определения соответствия знаний умений и навыков требованиям обучения магистратуры по направлению подготовки 38.04.08 «Финансы и кредит» (магистратура). Программа составлена в соответствии с требованиями федерального государственного образовательного стандарта высшего профессионального образования.
Вступительные испытания в магистратуру проводят экзаменационные комиссии, назначенные председателем приёмной комиссии УУНиТ.
ПРОЦЕДУРА ВСТУПИТЕЛЬНОГО ИСПЫТАНИЯ
Дата и время проведения вступительного испытания и консультации определяются расписанием вступительных испытаний, которое утверждается председателем приемной комиссии.
Перед вступительным испытанием для поступающих проводится консультация по содержанию программы испытания, критериям оценки, предъявляемым требованиям, правилам поведения на испытании.
Форма вступительного испытания (в соответствии Положением о вступительных испытаниях УУНИТ): тестирование.
Вступительные испытания в виде электронного тестирования проводятся в соответствии с программами вступительных испытаний, утверждаемых председателем предметной комиссии.
Вступительные испытания в форме тестирования включают вопросы как закрытого, так и открытого типа, а также задания в аудио- и видеоформатах.
Составление вариантов экзаменационных заданий в форме электронных тестов осуществляется ответственным секретарем приемной комиссии университета.
Из вариантов экзаменационных заданий формируются комплекты вопросов-тестов.
Компоновку комплектов вопросов-тестов ответственный секретарь, заместитель ответственного секретаря производят до вступительных испытаний.
Тест содержит 40 тестовых вопросов.
Результаты испытаний оцениваются по 100 бальной шкале.
Абитуриент, не согласный с оценкой, полученной на ВИ и (или) в связи с нарушением процедуры проведения ВИ имеет право подать апелляцию. Процедура подачи и рассмотрения апелляции регламентируется Положением об апелляционной комиссии УУНиТ.
КРИТЕРИИ ОЦЕНИВАНИЯ ОТВЕТА
Критериями оценки экзаменационного ответа, поступающего в магистратуру являются полнота, логичность, доказательность, прочность, осознанность знаний и теоретическая обоснованность суждений, самостоятельность в интерпретации информации, практическая направленность, уровень овладения профессиональными умениями менеджера и др. В случае тестирования является правильные ответы на тестовые задания.
При проверке количество первичных баллов переводится в итоговую 100 балльную шкалу через информационную платформу университета.
СОДЕРЖАНИЕ РАЗДЕЛОВ И ТЕМ ПРОГРАММЫ ВСТУПИТЕЛЬНОГО ИСПЫТАНИЯ
Финансы
- Понятие финансовой системы и его значение
- Деньги и денежная система
- Налоговая система РФ
- Бюджетная система РФ
- Содержание и значение бюджетно-налоговой политики
- Денежно-кредитная политика, ее цель, функции и инструменты.
- Понятие и регулирование инфляционных процессов
- Краткая характеристика внутренних финансовых ресурсов предприятия.
- Краткая характеристика внешних финансовых ресурсов предприятия
- Классификация расходов предприятия.
- Доходы предприятия, порядок формирования.
- Сущность и функции прибыли. Формирование, распределение и использование прибыли. Виды прибыли.
- Сущность и основные принципы кредитования.
- Система кредитования и характеристика ее элементов.
- Определение и структура финансового рынка.
- Инструменты финансового рынка
- Институты финансового рынка
- Виды налогов. Их характеристика
- Страхование.
«Корпоративные финансы»
- Сущность, цель и задачи корпоративных финансов
- Понятие финансового менеджмента. Принципы финансового менеджмента.
- Структура корпоративных финансов
- Политика управления денежными активами предприятия: сущность и этапы
- Состав внеоборотных операционных активов предприятия и особенности финансового управления ими: сущность, виды и этапы.
- Экономическая сущность и классификация капитала предприятия
- Стоимость капитала и принципы ее оценки. Оптимизация структуры капитала
- Состав заемного капитала предприятия и механизмы его привлечения
- Денежные потоки предприятия: сущность и виды
- Принципы управления денежными потоками предприятия
- Дивидендная политика предприятия
«Финансовый рынок»
- Понятие и значение финансового рынка
- Долговое и долевое финансирование
- Инструменты финансового рынка
- Институты финансового рынка
- Акции. Виды, порядок эмиссии и размещения.
- Облигации. Виды, порядок размещения
- Регулирование финансового рынка
«Налоги и налогообложение»
- Виды налогов. Их характеристика. Функции
- Принципы налогообложения
- Элементы налогов
- Распределения налогов между бюджетами разных уровней
Демоверсия экзаменационного варианта
1. Порог рентабельности
- это затраты на производство продукции
- это расходы на реализацию продукции покупателям
- это такая выручка от реализации, при которой организация уже не имеет убытков, но еще не имеет и прибылей
- нет верного ответа
2. Запас финансовой прочности – это
- разница между достигнутой фактической выручкой от реализации и порогом рентабельности
- разница между выручкой и переменными расходами
- разница между выручкой и постоянными расходами
- нет верного ответа
3. Рынок ценных бумаг классифицируется по видам ценных бумаг и срокам их обращения на:
а) первичный и вторичный рынок
б) биржевой и внебиржевой рынок
в) денежный рынок и рынок капитала
г) спотовый и срочный рынок
4. Финансовая система государства не включает в себя
-
- муниципальные финансы
- финансы госпредприятий
- финансы благотворительных организаций
СПИСОК ЛИТЕРАТУРЫ
- Федеральный закон Российской Федерации от 10 июля 2002 г. № 86-ФЗ «О Центральном банке Российской Федерации (Банке России)» // Справочная система «Консультант Плюс».
- Федеральный закон Российской Федерации от 02.12.1990 г. №395 «О банках и банковской деятельности» (в посл.ред.) // Справочная система «Консультант Плюс».
- Федеральный закон от 30.01.2004 № 218-ФЗ «О кредитных историях».
- Федеральный закон от 27 июня 2011 г. № 161-ФЗ «О национальной платежной системе» (в посл. ред.)
- Стратегия развития финансового рынка Российской Федерации на период до 2020 года: утверждена распоряжением Правительства РФ от 29.12.2008 № 2043-р.
- Финансы организаций : учебное пособие : [16+] / В.В. Позняков, Л.Г. Колпина, В.К. Ханкевич, В.М. Марочкина ; под ред. В.В. Познякова. – Минск: РИПО, 2019. – 332 с.: https://biblioclub.ru/index.php?page=book&id=600040
- Экономический анализ : учебник / под ред. Л.Т. Гиляровской. – 2-е изд., доп. – Москва : Юнити, 2015. – 615 с. : URL: https://biblioclub.ru/index.php?page=book&id=446487 –
- Турманидзе, Т.У. Финансовый анализ : учебник / Т.У. Турманидзе. – 2-е изд., перераб. и доп. – Москва : Юнити, 2015. – 288 сURL: https://biblioclub.ru/index.php?page=book&id=118963
- Селезнева, Н.Н. Финансовый анализ. Управление финансами : учебное пособие / Н.Н. Селезнева, А.Ф. Ионова. – 2-е изд., перераб. и доп. – Москва : Юнити, 2015. – 639 с. URL: https://biblioclub.ru/index.php?page=book&id=117958
- Толкачева, Н.А. Финансовый менеджмент : учебное пособие : [16+] / Н.А. Толкачева. – 2-е изд. – Москва ; Берлин : Директ-Медиа, 2020. – 147 с.– URL: https://biblioclub.ru/index.php?page=book&id=574689 .
- Баканов М.И., Шеремет А.Д. Теория экономического анализа.- М.: Финансы и статистика, 2008. – 536 с.
- Балабанов И.Т. Финансовый анализ и планирование хозяйствующего субъекта.– 2-е изд., дополненное. М.: Финансы и статистика, 2002. – 208 с.: ил.
- Басовский Л.Е. Финансовый менеджмент: Учебник – М.: ИНФРА-М, 2009. – 240 с. (Серия «Высшее образование»).
- Банки и банковские операции / Под ред. проф. Е.Ф.Жукова. – М.: Банки и биржи. 2011. – 290с.
- Банковские риски: учебное пособие / колл. авторов; под. ред. д-ра экон. наук., проф. О.И. Лаврушина и д-ра экон. наук., проф. Н.И. Валенцевой. – М. КНОРУС:, 2012.- 232 с.
- Банковское дело. Экспресс-курс: Учебное пособие /Под ред. О.И.Лаврушина.- М.: КНОРУС, 2011.- 343 с.
- Балабанов И.Т. Основы финансового менеджмента. Как управлять капиталом? – М.: Финансы и статистика, 1996. – 384 с.
- Белоглазова Г.Н. Банковское дело. Организация деятельности коммерческого банка. – М.: Юрайт-Издат, 2012. – 604 с.
- Ковалев В.В. Финансовый менеджмент: теория и практика. – 3-е изд., перераб. и доп. – Москва: Проспект, 2014. – 1104 с.http://biblioclub.ru/ index.php?page=book&id=251683
- Колб Р. В., Родригес Р. Дж. Финансовые институты и рынки. – М.: Дело и сервис, 2003. – 688 с.
- Колчина Н. В. Финансы организаций (предприятий). — 4-е изд., перераб. и доп. — М.: ЮНИТИ-ДАНА, 2007. – 383 с.
- Курманова Л.Р. Инновационное развитие банковских услуг. Монография.– М.: ИПЦ «Маска», 2009, 184 с.
- Масленченков Ю.С., Дубанков А.П.. Экономика банка. Разработка по управлению финансовой деятельностью банка. 2-е издание – «БДЦ-пресс», 2011.-290с.
- Миллер Р.Л., Ван-Хуз Д.Д. Современные деньги и банковское дело: Учеб. для вузов: Пер. с англ. – М.: Инфра-М, 2000. – 824 с.
Дополнительная литература
- Официальный сайт Финансы.RU. Экономика и финансы. www.finansy.ru
- Официальный сайт PRO деньги/ www.prodengitv.ru/.
- http://www.cbr.ru Центральный Банк РФ.
- http://www.gks.ru Российский статистический ежегодник.
Английский язык в контексте педагогического дизайна
ПРОГРАММА
вступительного испытания
для поступающих в магистратуру по направлениям подготовки
45.04.01 «Филология»
программа (профиль)
«Теория и практика перевода и межкультурная коммуникация»,
«Индоевропейские языки в контексте педагогического дизайне»
45.04.02 «Лингвистика»
программа (профиль)
«Профессионально-ориентированный перевод»
45.04.03 «Фундаментальная и прикладная лингвистика»
программа (профиль)
«Прикладная лингвистика и текстовая аналитика»
ОБЩИЕ ПОЛОЖЕНИЯ
Вступительные испытания предназначены для определения практической и теоретической подготовленности поступающего в магистратуру и проводятся с целью определения соответствия знаний умений и навыков требованиям обучения в магистратуре по направлениям подготовки: 45.04.01 «Филология», профиль «Теория и практика перевода и межкультурная коммуникация», 45.04.01 «Филология», профиль «Индоевропейские языки в контексте педагогического дизайна», 45.04.02 «Лингвистика», профиль «Профессионально-ориентированный перевод», 45.04.03 «Фундаментальная и прикладная лингвистика», профиль «Прикладная лингвистика и текстовая аналитика».
Программа составлена в соответствии с требованиями федерального государственного образовательного стандарта высшего профессионального образования.
Вступительные испытания в магистратуру проводят экзаменационные комиссии, назначенные председателем приёмной комиссии УУНиТ.
ПРОЦЕДУРА ВСТУПИТЕЛЬНОГО ИСПЫТАНИЯ
Дата и время проведения вступительного испытания и консультации определяются расписанием вступительных испытаний, которое утверждается председателем приемной комиссии.
Перед вступительным испытанием для поступающих проводится консультация по содержанию программы испытания, критериям оценки, предъявляемым требованиям, правилам поведения на испытании.
Форма вступительного испытания (в соответствии Положением о вступительных испытаниях УУНИТ): устно-письменная.
Вступительные испытания в виде устного, устно-письменного, устного с элементами тестирования проводятся в соответствии с программами вступительных испытаний, утверждаемых председателем приемной комиссии.
Экзаменационные билеты включают два или три вопроса по направлению подготовки (по специальности).
В аудитории, где проводится вступительное испытание в устной форме, не может находиться одновременно более 6 человек. Нахождение в аудитории посторонних лиц не допускается.
Абитуриенту предоставляется право готовиться к ответу в течение 30 минут.
Абитуриенту предоставляется право ответа на экзаменационные вопросы в течение 20-25 минут.
В процессе сдачи вступительного испытания абитуриенту могут быть заданы дополнительные вопросы как по содержанию экзаменационного билета, так и по любым разделам предмета в пределах программы вступительного испытания. Абитуриент, не согласный с оценкой, полученной на ВИ и (или) в связи с нарушением процедуры проведения ВИ имеет право подать апелляцию. Процедура подачи и рассмотрения апелляции регламентируется Положением об апелляционной комиссии УУНиТ.
КРИТЕРИИ ОЦЕНИВАНИЯ ОТВЕТА
Критериями оценки экзаменационного ответа, поступающего в магистратуру являются соответствие знаний, умений и навыков испытуемого в области языковой компетенции и в теоретическом владении наукой о языке уровню выпускника филологических направлений бакалавриата.
Результаты вступительного испытания определяются по 100-балльной шкале, шкала соответствия баллов представлена ниже в таблице:
|
№ |
Критерии оценивания |
Оценка |
|
1 |
|
85-100 баллов «отлично» |
|
2 |
|
65-84 балла «хорошо» |
|
3 |
|
45-64 баллов «удовлетворительно» |
|
4 |
|
0-44 баллов «неудовлетворительно» |
СОДЕРЖАНИЕ РАЗДЕЛОВ И ТЕМ ПРОГРАММЫ
ВСТУПИТЕЛЬНОГО ИСПЫТАНИЯ
Лексический материал
Объем словаря абитуриента для говорения «должен составлять примерно 2000 слов и выражений. В активный словарь абитуриента должны входить как общеупотребительные слова и выражения. Абитуриент должен узнавать и употреблять слова, образованные от известных корней с помощью суффиксов имен существительных -er, -merit, - tion(sion), -ing, -ness, -ity; имен прилагательных -ful, -less, -able, -y\ числительных -teen, -ty, th; наречий -ly\ префиксов прилагательных -un; глаголов - re; mis; dis. Абитуриент должен также узнавать и употреблять слова, образованные путем словосложения на основе наиболее продуктивных моделей английского языка.
Грамматический материал
Сложносочиненные и сложноподчиненные предложения. Типы придаточных предложений (придаточные определительные, объектные, обстоятельственные). Союзная и бессоюзная связь. Косвенная речь: повествовательные, побудительные и вопросительные предложения в косвенной речи. Инфинитивный, причастный и герундиальный обороты. Сложное дополнение в предложениях типа I want him to help me и в предложениях типа I saw him cross (crossing) the street. Инфинитив после глаголов let и make впредложениях типа Let me help you; She let us use her books; She made him wash the floor. Инфинитивный оборот в конструкции It takes me half an hour to do my morning exercises. Инфинитивный оборот в моделях со сложным подлежащим: He is said to be the brightest student in the group. Имя существительное. Множественное число существительных. Притяжательный падеж. Артикль. Использование определенного, неопределенного артикля или его отсутствие в следующих случаях: с исчисляемыми существительными единственного или множественного числа, когда они употребляются впервые; с существительными единственного и множественного числа, являющимися частью составного именного сказуемого; с существительными после оборотов there is/are ..., it is ..., this is ...; с существительными в роли приложения; перед словами a dozen, a hundred, a thousand, a million, в выражениях a lot of a great many of, с существительными в единственном и множественном числе, когда говорящему ясно, о каком предмете идет речь; с существительным, которое упоминается в контексте не первый раз; с существительными, перед которыми употреблено порядковое числительное, прилагательное в превосходной степени, одно из прилагательных following, next, last, same, only; с исчисляемыми или неисчисляемыми существительными, имеющими при себе уточняющее или ограничительное определение; с существительными, обозначающими предметы единственные в своем роде, например, the sun, the moon, the sky и т.п.; с исчисляемыми существительными при обозначении всего класса однородных предметов, например, The snowdrop is the first spring flower; с названиями водных бассейнов, горных цепей пустынь; с названиями государств; с названиями некоторых исторических зданий, музеев, библиотек, театров, организаций, например, the British Museum, the United Nations и т.п.; с названиями сторон света, с фамилиями для обозначения всей семьи в целом; с существительными в функции обращения; со словами father, mother, uncle и т.п.; с названиями дней недели и месяцев года; с существительными breakfast, dinner, lunch, supper, с существительными school, church, bed, prison', с существительными, определяемыми количественным числительным; в ряде устойчивых словосочетаний, включенных в программу общеобразовательной школы. Имя прилагательное. Степени сравнения прилагательных. Образование степеней сравнения с помощью суффиксов и вспомогательных слов. Супплетивный способ образования степеней сравнения. Глагол. Видовременные формы глагола. Употребление Present Indefmite для выражения обычных действий, происходящих постоянно или регулярно, для выражения серии следующих друг за другом действий, а также для обозначения будущего действия в придаточных времени и условия. Употребление Past Indefinite для выражения действий, завершенных в прошлом и не связанных с настоящим. Употребление Future Indefinite для выражения действий в будущем. Употребление времен группы Continuous: Present Continuous для выражения действия, происходящего в момент речи, а также для выражения запланированного действия в ближайшем будущем, Past Continuous и Future Continuous для обозначения действия, происходящего соответственно в определенный момент в прошлом или будущем. Употребление Present Perfect для выражения завершенных действий, результат которых ощущается в момент говорения. Употребление Past Perfect для выражения действия, совершавшегося до определенного момента в прошлом. Употребление Future Perfect для обозначения действия, которое завершается к определенному моменту в будущем. 6 Основные случаи употребления форм Present Perfect Continuous и Past Perfect Continuous. Основные случаи использования пассивного залога во временах групп Indefinite, Perfect, Continuous. Правила согласования времен. Употребление модальных глаголов can, may, must, should и их заменителей. Неличные формы глагола: простые формы инфинитива, причастия I, причастия II и герундия. Наречие. Образование степеней сравнения наречий при помощи суффиксов и вспомогательных слов. Употребление наречий already, yet, still, always, ever, never, too в утверждениях, отрицаниях и вопросах. Местоимение. Личные местоимения английского языка; именительный и объектный падежи. Притяжательные местоимения в присоединяемой и абсолютной формах. Указательные местоимения this, that, these, those. Возвратные местоимения. Неопределенные и отрицательные местоимения some, any, по, somebody, anybody, nobody, someone, anyone, none, something, anything, nothing, somewhere, anywhere, nowhere. Употребление some и его производных в утвердительных предложениях. Употребление any и его производных в утвердительных, отрицательных и вопросительных предложениях. Употребление nо и его производных в отрицательных предложениях. Употребление местоимений either, neither в отрицательных предложениях. Местоимения оther, another, the other, others, the others. Союз. Употребление союзов and, but, however, so, that, if, whether, when, because, though, as...as, both ... and, either... or, neither ... nor. Морфология (пассивная – для чтения и аудирования). Поступающие должны узнавать и понимать предложения, включающие в свой состав перфектный или длительный инфинитив, а также перфектное причастие. Графика и орфография Начертание строчных и заглавных букв, соединение букв. Правила замены конечной у на iе; правила удвоения согласных; правила сохранения и опускания конечной нечитаемой е при словоизменении и словообразовании. Правописание форм множественного числа существительных, оканчивающихся на -ss, -s, -х, -sh, -ch, -f -fe.
Переводоведение
1. Найти соответствие для слова или словосочетания при переводе с английского языка на русский язык.
2. При отсутствии соответствий, пользоваться наиболее распространенными способами переводческих трансформаций (замена, перестановка, генерализация, конкретизация и пр.)
3. Передавать на русском языке общее содержание текста любого жанра.
Демоверсия экзаменационного варианта
КАФЕДРА ЗАРУБЕЖНОЙ ЛИНГВИСТИКИ
Магистратура 45.04.01 Филология
Профиль «Теория и практика перевода и межкультурная коммуникация»
ЭКЗАМЕНАЦИОННЫЙ БИЛЕТ №1
Задание 1. Перевод художеств. текста: переведите устно приведенный ниже отрывок.
Задание 2. Стилистический анализ: найдите в тексте стилистические приемы и определите их тип.
Демоверсия экзаменационного варианта
КАФЕДРА ЗАРУБЕЖНОЙ ЛИНГВИСТИКИ
Магистратура 45.04.01 Филология
Профиль «Индоевропейские языки в контексте педагогического дизайна»
ЭКЗАМЕНАЦИОННЫЙ БИЛЕТ №1
Задание 1. Перевод художеств. текста: переведите устно приведенный ниже отрывок.
Задание 2. Морфологический анализ: проанализируйте грамматические конструкции.
Демоверсия экзаменационного варианта
КАФЕДРА ЛИНГВОДИДАКТИКИ И ПЕРЕВОДОВЕДЕНИЯ
Магистратура 45.04.02 Лингвистика
Профиль «Профессионально ориентированный перевод»
ЭКЗАМЕНАЦИОННЫЙ БИЛЕТ №1
Задание 1. Перевод художеств. текста: переведите устно приведенный ниже отрывок.
Задание 2. Анализ переводческих трансформаций.
Демоверсия экзаменационного варианта
КАФЕДРА ЗАРУБЕЖНОЙ ЛИНГВИСТИКИ
Магистратура 45.04.03 Фундаментальная и прикладная лингвистика
Профиль «Прикладная лингвистика и текстовая аналитика»
ЭКЗАМЕНАЦИОННЫЙ БИЛЕТ №1
Задание 1. Перевод художеств. текста: переведите устно приведенный ниже отрывок.
Задание 2. Лингвистический анализ: проанализируйте дискурсивные явления в тексте.
Пример текста для перевода:
DAY 1
Contact
1. The Country Of Lost Borders
A man with binoculars. That is how it began: with a man standing by the side of the road, on a crest overlooking a small Arizona town, on a winter night.
Lieutenant Roger Shawn must have found the binoculars difficult. The metal would be cold, and he would be clumsy in his fir parka and heavy gloves. His breath, hissing out into the moonlit air, would have fogged the lenses. He would be forced to pause to wipe them frequently, using a stubby gloved finger.
He could not have known the futility of this action. Binoculars were worthless to see into that town and uncover its secrets. He would have been astonished to learn that the men who finally succeeded used instruments a million times more powerful than binoculars.
There is something sad, foolish, and human in the image of Shawn leading against a boulder, propping his arms on it, and holding the binoculars to his eyes. Though cumbersome, the binoculars would at least feel comfortable and familiar in his hands. It would be one of the last familiar sensations before his death.
We can imagine, and try to reconstruct, what happened from that point on.
Lieutenant Shawn swept over the town slowly and methodically. He could see it was not large, just a half-dozen wooden buildings, set out along a single main street. It was very quiet: no lights, no activity, no sound carried by the gentle wind.
He shifted his attention from the town to the surrounding hills. They were low, dusty, and blunted, with scrubby vegetation and an occasional withered yucca tree crusted in snow. Beyond the hills were more hills, and then the flat expanse of the Mojave Desert, trackless and vast. The Indians called it the Country of Lost Borders.
Lieutenant Shawn found himself shivering in the wind. It was February, the coldest month, and it was after ten. He walked back up the road toward the Ford Econovan, with the large rotating antenna on top. The motor was idling softly; it was the only sound he could hear. He opened the rear doors and climbed into the back, shutting the doors behind him.
He was enveloped in deep-red light: a night light, so that he would not be blinded when he stepped outside. In the red light the banks of instruments and electronic equipment glowed greenly.
Private Lewis Crane, the electronics technician, was there, also wearing a parka. He was hunched over a map, making calculations with occasional reference to the instruments before him.
Shawn asked Crane if he were certain they had arrived at the place, and Crane confirmed that they had. Both men were tired: they had driven all day from Vandenberg in search of the latest Scoop satellite. Neither knew much about the Scoops, except that they were a series of secret capsules intended to analyze the upper atmosphere and then return. Shawn and Crane had the job of finding the capsules once they had landed.
In order to facilitate recovery, the satellites were fitted with electronic beepers that began to transmit signals when they came down to an altitude of five miles.
From M. Crichton’s The Andromeda Strain
СПИСОК ЛИТЕРАТУРЫ
(Теория перевода, стилистический анализ текста)
- Алексеева И.С. Введение в переводоведение: учеб. пособие для студ. филол. и лингв. факультетов высш. учеб. заведений. – СПб.: Филологический факультет СПбГУ; Издательский центр «Академия», 2013. – 352 с.
- Арнольд, И.В. Стилистика современного английского языка (стилистика декодирования): учеб. пособие / И.В. Арнольд. 3-е изд. – М.: Просвещение, 1990. – 300 с.
- Арнольд, И.В. Стилистика. Современный английский язык: учебник для вузов / И.В. Арнольд; науч. ред. П.Е. Бухаркин. – 10-е изд., стер. – М.: Флинта, 2010. – 384 с.
- Гальперин И.Р. Стилистика английского языка: учебник / И.Р. Гальперин. 3-е изд. – М.: Высш. шк., 1981.– 334 с.
- Гуревич, В.В. English Stylistics: Стилистика английского языка: учебное пособие / В.В. Гуревич. – Изд. 5-е. – М.: Флинта, 2011. – 69 с.
- Казакова Т.А.Художественный перевод: теория и практика: учебник. – СПб.: Инъязиздат, 2006. – 544 с.
- Комиссаров В.И. Современное переводоведение · Издательство: М.: Р.Валент; Издание 2-е, испр., 2011, 408 с.
- Комиссаров, В.Н. Теория перевода. Лингвистические аспекты: Учебник для ВУЗов - М.: Альянс, 2013. - 253 c.
- Крылова, М.Н. Средства художественной выразительности. Тропы: учебное пособие / М.Н. Крылова. – М.: Директ-Медиа, 2014. – 101 с.
- Кухаренко В.А. Практикум по стилистике английского языка: учеб. пособие / В.А. Кухаренко. – Изд. 6-е. – Москва: Флинта: Наука, 2012. – 183 с.
- Рецкер, Я. И. Теория перевода и переводческая практика. Очерки лингвистической теории перевода [Текст] / Я. И. Рецкер ; доп. и коммент. Д. И. Ермоловича. – 4-е изд., стер. – М.: Р. Валент, 2010. – 240 с.
- Солганик, Г.Я. Основы лингвистики речи: пособие / Г.Я. Солганик. – М.: МГУ, 2010. – 128 с.
- Стилистические аспекты перевода: учеб. пособие / О.А. Сулейманова и др. – М.: Академия, 2010. – 176 с
- Чанышева З.З. Перевод и переводоведение. – Уфа: РИЦ БашГУ, 2008. – 253 с.
- Швейцер, А.Д. Теория перевода: Статус, проблемы, аспекты / А.Д. Швейцер. - М.: КД Либроком, 2019. - 216 c.
Основы медицинского права
ПРОГРАММА
вступительного испытания
для поступающих в магистратуру по направлению подготовки
40.04.01 «Юриспруденция»
программа (профиль)
«Медицинское право (Биоправо)»
ОБЩИЕ ПОЛОЖЕНИЯ
Вступительное испытание предназначено для определения практической и теоретической подготовленности поступающего в магистратуру и проводится с целью определения соответствия знаний умений и навыков требованиям обучения магистратуры по направлению подготовки 40.04.01 «Юриспруденция» профиля «Медицинское право (Биоправо)» (магистратура).
Программа составлена в соответствии с требованиями федерального государственного образовательного стандарта высшего профессионального образования.
Вступительные испытания в магистратуру проводят экзаменационные комиссии, назначенные председателем приёмной комиссии УУНиТ.
ПРОЦЕДУРА ВСТУПИТЕЛЬНОГО ИСПЫТАНИЯ
Дата и время проведения вступительного испытания определяются расписанием вступительных испытаний, которое утверждается председателем приемной комиссии.
Перед вступительным испытанием для поступающих проводится консультация по содержанию программы испытания, критериям оценки, предъявляемым требованиям, правилам поведения на испытании.
Форма вступительного испытания (в соответствии Положением о вступительных испытаниях УУНиТ): устно-письменная.
Экзаменационные билеты включают три вопроса по настоящей программе вступительных испытаний.
В аудитории, где проводится вступительное испытание в устно-письменной форме, не может находиться одновременно более 6 человек. Нахождение в аудитории посторонних лиц не допускается.
Вступительное испытание может проводиться с применением дистанционных технологий с использованием ВКС.
В случае проведения вступительного испытания с применением дистанционных технологий с использованием ВКС обязанность обеспечить наличие соответствующей технической возможности (в том числе наличие устройств для ВКС и Интернет-соединения) возлагается на абитуриента.
Абитуриенту предоставляется право готовиться к ответу в течение 30 минут.
Абитуриенту предоставляется право ответа на экзаменационные вопросы в течение 20-25 минут.
В процессе сдачи вступительного испытания абитуриенту могут быть заданы дополнительные вопросы как по содержанию экзаменационного билета, так и по любым разделам предмета в пределах программы вступительного испытания.
Абитуриент, не согласный с оценкой, полученной на ВИ и (или) в связи с нарушением процедуры проведения ВИ имеет право подать апелляцию. Процедура подачи и рассмотрения апелляции регламентируется Положением об апелляционной комиссии УУНиТ.
КРИТЕРИИ ОЦЕНИВАНИЯ ОТВЕТА
Критериями оценки экзаменационного ответа, поступающего в магистратуру являются полнота, логичность, доказательность, прочность, осознанность знаний и теоретическая обоснованность суждений, самостоятельность в интерпретации информации, практическая направленность, уровень овладения профессиональными умениями и др.
Результаты вступительного испытания определяются по 100-балльной шкале, разброс баллов представлен ниже в таблице:
|
№ |
Критерии оценивания |
Оценка |
|---|---|---|
|
1 |
Дан полный развернутый ответ на теоретический вопрос, в том числе грамотно использована научная терминология; четко сформулирована проблема, доказательно аргументированы выдвигаемые тезисы, указаны основные точки зрения, принятые в научной литературе по рассматриваемому вопросу; аргументирована собственная позиция или точка зрения, обозначены наиболее значимые в данной области научно-исследовательские проблемы. |
75-100 баллов «отлично» |
|
2 |
Дан в целом правильный ответ на теоретический вопрос:
|
46-74 балла «хорошо» |
|
3 |
Дан в основном правильный ответ на теоретический вопрос:
|
25-45 баллов «удовлетворительно» |
|
4 |
Дан фрагментарный ответ или неправильный ответ на теоретический вопрос из предложенного тематического раздела, в том числе отмечается наличие существенных пробелов в знаниях; отмечается отсутствие знания терминологии, научных оснований, признаков, характеристик рассматриваемой проблемы;
|
0-24 балла «неудовлетворительно» |
СОДЕРЖАНИЕ РАЗДЕЛОВ И ТЕМ ПРОГРАММЫ ВСТУПИТЕЛЬНОГО ИСПЫТАНИЯ
Теория государства и права
1. Понятие, признаки, функции и формы государства.
2. Понятие формы правления и формы государственно-территориального устройства.
3. Форма политического (государственно-правового) режима. Виды политических режимов в различных типах государств.
4. Понятие государственной власти. Структура государственной власти.
5.Государственный орган: понятие, характеристика, признаки. Классификация органов государства.
6. Принцип разделения власти: история возникновения, составляющие элементы и современное значение.
7. Понятие гражданского общества. Проблема соотношения гражданского общества и государства.
8.Понятие и структура политической системы общества, ее элементы. Партии в политической системе общества.
9. Понятие демократии. Формы и институты демократии.
10. Социальное государство: понятие, признаки.
11. Понятие, признаки, функции и принципы права.
12. Понятие источника и формы права. Виды источников и форм права.
13. Понятие и иерархия нормативно-правовых актов.
14. Закон как основная форма бытия права. Право и закон. Понятие, признаки законов. Классификация законов.
15. Действие нормативных правовых актов в пространстве, по кругу лиц, во времени.
16. Понятие и структура правовой системы общества. Классификация правовых систем. Правовые семьи.
17. Понятие, структура и классификация правовых норм. Способы изложения норм права в нормативных правовых актах.
18. Отрасли права. Институты права. Характеристика основных отраслей права.
19. Понятие, признаки, содержание и классификация правоотношений.
20. Понятие и юридический состав правонарушения. Виды правонарушений.
21.Понятие и основные признаки юридической ответственности. Виды юридической ответственности.
Основы медицинского права
- Понятие, предмет и объект медицинского права.
- Принципы медицинского права.
- Методы медицинского права.
- Правовые институты медицинского права.
- Правовые режимы медицинского права.
- Источники медицинского права.
- Субъекты медицинского права.
- Принципы охраны здоровья граждан.
- Охрана здоровья и защита здоровья: понятие и соотношение категорий.
- Система охраны здоровья граждан в России.
- Понятие медицинской помощи. Формы и виды медицинской помощи.
- Понятие и субъекты медицинской деятельности.
- Понятие медицинской услуги. Виды медицинских услуг.
- Нормативно-правовая основа регулирования прав пациента.
- Медицинская тайна: понятие и содержание.
- Право на охрану здоровья и медицинскую помощь: понятие и содержание.
- Система медицинского законодательства в России как элемент обеспечения права на жизнь и здоровья.
- Формы и виды медицинского страхования.
- Органы государственного контроля и надзора в медицинской деятельности.
- Понятие биоэтики и соотношение с медицинской этикой.
Демоверсия экзаменационного варианта
|
СПИСОК ЛИТЕРАТУРЫ
- Бялт В. С. Теория государства и права : учебник для вузов / В. С. Бялт. — 3-е изд., испр. и доп. — Москва : Издательство Юрайт, 2025. — 120 с. — (Высшее образование). — ISBN 978-5-534-16268-4. — Текст : электронный // Образовательная платформа Юрайт [сайт]. — URL: https://urait.ru/bcode/562863
- Комаров, С. А. Общая теория государства и права : учебник для вузов / С. А. Комаров. – 10-е изд., испр. и доп. – Москва : Издательство Юрайт, 2025. – 528 с. – (Высшее образование). – ISBN 978-5-534-15392-7. – Текст : электронный // Образовательная платформа Юрайт [сайт]. – URL: https://urait.ru/bcode/562992
- Теория государства и права : учебник для вузов / под редакцией В. К. Бабаева. – 5-е изд., перераб. и доп. – Москва : Издательство Юрайт, 2024. – 620 с. – (Высшее образование). – ISBN 978-5-534-16788-7. – Текст : электронный // Образовательная платформа Юрайт [сайт]. – URL: https://urait.ru/bcode/535520.
- Пиголкин, А. С. Теория государства и права : учебник для вузов / А. С. Пиголкин, А. Н. Головистикова, Ю. А. Дмитриев ; под редакцией А. С. Пиголкина, Ю. А. Дмитриева. – 4-е изд., перераб. и доп. – Москва : Издательство Юрайт, 2025. – 516 с. – (Высшее образование). – ISBN 978-5-534-01323-8. – Текст : электронный // Образовательная платформа Юрайт [сайт]. – URL: https://urait.ru/bcode/559574
- Теория государства и права для обучающихся по специальности «Правоохранительная деятельность» : учебное пособие для вузов / Р. А. Ромашов [и др.] ; под редакцией Р. А. Ромашова, Е. Л. Харьковского. – Москва : Издательство Юрайт, 2025. – 441 с. – (Высшее образование). – ISBN 978-5-534-11815-5. – Текст : электронный // Образовательная платформа Юрайт [сайт]. – URL: https://urait.ru/bcode/518431.
- Басова, А. В. Медицинское право : учебник для вузов / А. В. Басова ; под редакцией Г. Н. Комковой. — 2-е изд., перераб. и доп. — Москва : Издательство Юрайт, 2025. — 306 с. — (Высшее образование). — ISBN 978-5-534-20634-0. — Текст : электронный // Образовательная платформа Юрайт [сайт]. — URL: https://urait.ru/bcode/558498.
- Медицинское право России: учебник / Клименко Т.В., Мохов А.А., Пекшев А.В. и др. – М.: Проспект, 2021. – 544 с. – URL: https://www.labirint.ru/books/789932/.
- Медицинское право : учебник / Самойлова А.В.; Шлык С.В.; Шишов М.А.; Шаркунов Н.П. - Москва : ГЭОТАР-Медиа, 2022. - 616 c. - ISBN 978-5-9704-6871-5., https://e-lib.unn.ru/MegaPro/UserEntry?Action=FindDocs&ids=809637&idb=0.
Правовые основы сотрудничества государств
ПРОГРАММА
вступительного испытания
для поступающих в магистратуру по направлению подготовки
40.04.01 «Юриспруденция»
программа (профиль)
«Международно-правовое обеспечение сотрудничества государств»»
ОБЩИЕ ПОЛОЖЕНИЯ
Вступительное испытание предназначено для определения практической и теоретической подготовленности поступающего в магистратуру и проводится с целью определения соответствия знаний умений и навыков требованиям обучения магистратуры по направлению подготовки 40.04.01 «Юриспруденция» профиля «Международно-правовое обеспечение сотрудничества государств» (магистратура).
Программа составлена в соответствии с требованиями федерального государственного образовательного стандарта высшего профессионального образования.
Вступительные испытания в магистратуру проводят экзаменационные комиссии, назначенные председателем приёмной комиссии УУНиТ.
ПРОЦЕДУРА ВСТУПИТЕЛЬНОГО ИСПЫТАНИЯ
Дата и время проведения вступительного испытания определяются расписанием вступительных испытаний, которое утверждается председателем приемной комиссии.
Перед вступительным испытанием для поступающих проводится консультация по содержанию программы испытания, критериям оценки, предъявляемым требованиям, правилам поведения на испытании.
Форма вступительного испытания (в соответствии Положением о вступительных испытаниях УУНиТ): устно-письменная.
Экзаменационные билеты включают три вопроса по настоящей программе вступительных испытаний.
В аудитории, где проводится вступительное испытание в устно-письменной форме, не может находиться одновременно более 6 человек. Нахождение в аудитории посторонних лиц не допускается.
Вступительное испытание может проводиться с применением дистанционных технологий с использованием ВКС.
В случае проведения вступительного испытания с применением дистанционных технологий с использованием ВКС обязанность обеспечить наличие соответствующей технической возможности (в том числе наличие устройств для ВКС и Интернет-соединения) возлагается на абитуриента.
Абитуриенту предоставляется право готовиться к ответу в течение 30 минут.
Абитуриенту предоставляется право ответа на экзаменационные вопросы в течение 20-25 минут.
В процессе сдачи вступительного испытания абитуриенту могут быть заданы дополнительные вопросы как по содержанию экзаменационного билета, так и по любым разделам предмета в пределах программы вступительного испытания.
Абитуриент, не согласный с оценкой, полученной на ВИ и (или) в связи с нарушением процедуры проведения ВИ имеет право подать апелляцию. Процедура подачи и рассмотрения апелляции регламентируется Положением об апелляционной комиссии УУНиТ.
КРИТЕРИИ ОЦЕНИВАНИЯ ОТВЕТА
Критериями оценки экзаменационного ответа, поступающего в магистратуру являются полнота, логичность, доказательность, прочность, осознанность знаний и теоретическая обоснованность суждений, самостоятельность в интерпретации информации, практическая направленность, уровень овладения профессиональными умениями и др.
Результаты вступительного испытания определяются по 100-балльной шкале, разброс баллов представлен ниже в таблице:
|
№ |
Критерии оценивания |
Оценка |
|---|---|---|
|
1 |
Дан полный развернутый ответ на теоретический вопрос, в том числе грамотно использована научная терминология; четко сформулирована проблема, доказательно аргументированы выдвигаемые тезисы, указаны основные точки зрения, принятые в научной литературе по рассматриваемому вопросу; аргументирована собственная позиция или точка зрения, обозначены наиболее значимые в данной области научно-исследовательские проблемы. |
75-100 баллов «отлично» |
|
2 |
Дан в целом правильный ответ на теоретический вопрос:
|
46-74 балла «хорошо» |
|
3 |
Дан в основном правильный ответ на теоретический вопрос:
|
25-45 баллов «удовлетворительно» |
|
4 |
Дан фрагментарный ответ или неправильный ответ на теоретический вопрос из предложенного тематического раздела, в том числе отмечается наличие существенных пробелов в знаниях; отмечается отсутствие знания терминологии, научных оснований, признаков, характеристик рассматриваемой проблемы;
|
0-24 балла «неудовлетворительно» |
СОДЕРЖАНИЕ РАЗДЕЛОВ И ТЕМ ПРОГРАММЫ ВСТУПИТЕЛЬНОГО ИСПЫТАНИЯ
Международное право
- Понятие международного права и его роль в развитии международных отношений.
- Возникновение международного права и периодизация его истории.
- Источники международного права.
- Общепризнанные принципы и нормы международного права, их значение в развитии международного сотрудничества.
- Принцип суверенного равенства государств.
- Принцип невмешательства во внутренние дела.
- Принцип равноправия и самоопределения народов и наций.
- Принцип неприменения силы и угрозы силой.
- Принцип территориальной целостности государств.
- Принцип уважения прав человека и основных свобод.
- Принцип нерушимости границ.
- Принцип сотрудничества между государствами.
- Принцип добросовестного выполнения международных обязательств.
- Принцип мирного разрешения международных споров.
- Система современного международного права, его отрасли и институты.
- Понятие и виды субъектов международного права. Основные права и обязанности субъектов международного права.
- Государства - главные субъекты международного права. Международная правосубъектность государств.
- Международные организации: понятие и правосубъектность.
- Организация американских государств (ОАГ): цели и принципы работы, система органов.
- Порядок образования и юридическая природа международных организаций. Классификация международных организаций.
- Организация Объединенных Наций (ООН), ее значение в международных отношениях.
- Главные органы ООН. Специализированные учреждения ООН, их правовое положение.
- Понятие и виды межправительственных конференций.
- Понятие права международных договоров, его источники и субъекты.
- Международно-правовые вопросы гражданства.
- Понятие территории в международном праве. Виды правового режима территории.
- Государственные границы, их виды. Делимитация и демаркация границы.
- Понятие и источники международного морского права.
- Внутренние морские воды, их правовой режим. Правовой режим территориального моря. Прилежащая зона.
- Шанхайская организация сотрудничества (ШОС): цели и принципы организации.
- Международное воздушное право, его источники.
- Понятие, принципы и источники международного космического права.
- Понятие международно-правовой ответственности.
- История развития, понятие и источники международного экологического права.
- Понятие, источники международного экономического права.
- Европейский Союз: история создания, принципы деятельности, задачи Союза.
- БРИКС – членство, структура, принципы деятельности.
- Понятие и основные источники дипломатического права. Дипломатические представительства.
- Понятие, основные источники консульского права. Правовой статус консульских представительств.
- Понятие права международной безопасности, общая характеристика международной безопасности. Основные принципы и источники права международной безопасности.
- Понятие средств мирного разрешения международных споров.
- Международный Суд ООН, его юрисдикция.
- Понятие международной борьбы с преступностью. Основные сферы сотрудничества государств в борьбе с преступностью.
- Организация североатлантического договора (НАТО).
- Понятие, принципы, источники и субъекты международного гуманитарного права.
Демоверсия экзаменационного варианта
|
СПИСОК ЛИТЕРАТУРЫ
- Международное право: учебник для вузов / А. Н. Вылегжанин [и др.]. — 4-е изд., перераб. и доп. — Москва : Издательство Юрайт, 2024. — 664 с. — (Высшее образование). — ISBN 978-5-534-17784-8. — Текст : электронный // Образовательная платформа Юрайт [сайт]. — URL: https://urait.ru/bcode/545093.
- Абашидзе, А. Х. Международное право. Мирное разрешение споров: учебное пособие для вузов / А. Х. Абашидзе, А. М. Солнцев. — 3-е изд., испр. и доп. — Москва : Издательство Юрайт, 2024. — 221 с. — (Высшее образование). — ISBN 978-5-534-07334-8. — Текст : электронный // Образовательная платформа Юрайт [сайт]. — URL: https://urait.ru/bcode/538140.
- Меньшенина, Н. Н. Международное право : учебное пособие для вузов / Н. Н. Меньшенина. — Москва : Издательство Юрайт, 2019 ; Екатеринбург : Изд-во Урал.ун-та. —101 с. — (Университеты России). — ISBN 978-5-534-08478-8 (Издательство Юрайт). — ISBN978-5-7996-1805-6 (Изд-воУрал.ун-та). — Текст :электронный // ЭБС Юрайт [сайт]. — URL:https://biblio-online.ru/bcode/438560
- Международное право: учебник для вузов: в 2-х т. Том 1. Общая часть: учебник для вузов/ под ред. А.Я. Капустина. - 2 изд., перераб. и доп. М.: Издательство Юрайт, 2023. Т. 1. 282 с.// Электронная библиотека Юрайт [Электронный ресурс]. URL: https://urait.ru/bcode/512892.
- Международное право: учебник для вузов: в 2-х т./ под ред. А.Я. Капустина. 2 изд., перераб. и доп. М.: Издательство Юрайт, 2023. Т. 2. 443 с.// Электронная библиотека Юрайт [Электронный ресурс]. URL: https://urait.ru/bcode/512893.
- Международное право: учебник для вузов: в 2-х т./ П.Н. Бирюков. 10-е изд., пер. и доп. М.: Издательство Юрайт, 2023. Т. 1. 365 с. // Электронная библиотека Юрайт [Электронный ресурс]. URL: https://urait.ru/bcode/512715.
Правовые основы научно-технологического развития
ПРОГРАММА
вступительного испытания
для поступающих в магистратуру по направлению подготовки
40.04.01 «Юриспруденция»
программа (профиль)
«Научно-инновационная юриспруденция»
ОБЩИЕ ПОЛОЖЕНИЯ
Вступительное испытание предназначено для определения практической и теоретической подготовленности поступающего в магистратуру и проводится с целью определения соответствия знаний умений и навыков требованиям обучения магистратуры по направлению подготовки 40.04.01 «Юриспруденция» профиля «Научно-инновационная юриспруденция» (магистратура).
Программа составлена в соответствии с требованиями федерального государственного образовательного стандарта высшего профессионального образования.
Вступительные испытания в магистратуру проводят экзаменационные комиссии, назначенные председателем приёмной комиссии УУНиТ.
ПРОЦЕДУРА ВСТУПИТЕЛЬНОГО ИСПЫТАНИЯ
Дата и время проведения вступительного испытания определяются расписанием вступительных испытаний, которое утверждается председателем приемной комиссии.
Перед вступительным испытанием для поступающих проводится консультация по содержанию программы испытания, критериям оценки, предъявляемым требованиям, правилам поведения на испытании.
Форма вступительного испытания (в соответствии Положением о вступительных испытаниях УУНиТ): устно-письменная.
Экзаменационные билеты включают три вопроса по настоящей программе вступительных испытаний.
В аудитории, где проводится вступительное испытание в устно-письменной форме, не может находиться одновременно более 6 человек. Нахождение в аудитории посторонних лиц не допускается.
Вступительное испытание может проводиться с применением дистанционных технологий с использованием ВКС.
В случае проведения вступительного испытания с применением дистанционных технологий с использованием ВКС обязанность обеспечить наличие соответствующей технической возможности (в том числе наличие устройств для ВКС и Интернет-соединения) возлагается на абитуриента.
Абитуриенту предоставляется право готовиться к ответу в течение 30 минут.
Абитуриенту предоставляется право ответа на экзаменационные вопросы в течение 20-25 минут.
В процессе сдачи вступительного испытания абитуриенту могут быть заданы дополнительные вопросы как по содержанию экзаменационного билета, так и по любым разделам предмета в пределах программы вступительного испытания.
Абитуриент, не согласный с оценкой, полученной на ВИ и (или) в связи с нарушением процедуры проведения ВИ имеет право подать апелляцию. Процедура подачи и рассмотрения апелляции регламентируется Положением об апелляционной комиссии УУНиТ.
КРИТЕРИИ ОЦЕНИВАНИЯ ОТВЕТА
Критериями оценки экзаменационного ответа, поступающего в магистратуру являются полнота, логичность, доказательность, прочность, осознанность знаний и теоретическая обоснованность суждений, самостоятельность в интерпретации информации, практическая направленность, уровень овладения профессиональными умениями и др.
Результаты вступительного испытания определяются по 100-балльной шкале, разброс баллов представлен ниже в таблице:
|
№ |
Критерии оценивания |
Оценка |
|
1 |
Дан полный развернутый ответ на теоретический вопрос, в том числе грамотно использована научная терминология; четко сформулирована проблема, доказательно аргументированы выдвигаемые тезисы, указаны основные точки зрения, принятые в научной литературе по рассматриваемому вопросу; аргументирована собственная позиция или точка зрения, обозначены наиболее значимые в данной области научно-исследовательские проблемы. |
75-100 баллов «отлично» |
|
2 |
Дан в целом правильный ответ на теоретический вопрос:
|
46-74 балла «хорошо» |
|
3 |
Дан в основном правильный ответ на теоретический вопрос:
|
25-45 баллов «удовлетворительно» |
|
4 |
Дан фрагментарный ответ или неправильный ответ на теоретический вопрос из предложенного тематического раздела, в том числе отмечается наличие существенных пробелов в знаниях; отмечается отсутствие знания терминологии, научных оснований, признаков, характеристик рассматриваемой проблемы;
|
0-24 балла «неудовлетворительно» |
СОДЕРЖАНИЕ РАЗДЕЛОВ И ТЕМ ПРОГРАММЫ ВСТУПИТЕЛЬНОГО ИСПЫТАНИЯ
- Место юридической науки в системе наук.
- История российской юридической науки (общая характеристика).
- Соотношение юридической науки и политологией, историей и философией.
- Сравнительное правоведение: понятие и сущность.
- Общенаучные методы юридической науки.
- Специальные и частнонаучные методы юридической науки.
- Эмпирические и теоретические юридические научные исследования.
- Научная проблема, предмет и метод юридического исследования.
- Юридический позитивизм и естественное право.
- Правовые системы современности (общая характеристика).
- Рецепция правовых систем.
- Природа права. Подходы к пониманию права.
- Верховенство права и верховенство закона.
- Соотношение частного и публичного права.
- Критерии деления права на отрасли и институты.
- Юридические коллизии и подходы к их решению.
- Подходы к понятию государства.
- Теории происхождения государства.
- Правовое государство: понятие, признаки.
- Соотношение понятий «личность», «человек», «гражданин» в конституционном праве.
- Понятие суверенитета государства.
- Возникновение и развитие теории разделения властей.
- Местное самоуправление в системе публичной власти России.
- Принципы гражданского права.
- Международная правосубъектность индивида.
- Материальное и процессуальное право.
- Диспозитивность в праве.
- Система юридической науки. Научные специальности.
- Система высшего юридического образования в Российской Федерации.
- Стратегия научно-технологического развития Российской Федерации.
- Коммерциализация интеллектуальной собственности.
- Государственное регулирование инновационной деятельности.
- Управление научной и научно-технической деятельностью.
- Законодательство о науке и научно-технической политике.
- Субъекты и объекты инновационного правоотношения.
Демоверсия экзаменационного варианта
|
СПИСОК ЛИТЕРАТУРЫ
- Комаров, С. А. Общая теория государства и права : учебник для вузов / С. А. Комаров. – 10-е изд., испр. и доп. – Москва : Издательство Юрайт, 2025. – 528 с. – (Высшее образование). – ISBN 978-5-534-15392-7. – Текст : электронный // Образовательная платформа Юрайт [сайт]. – URL: https://urait.ru/bcode/562992
- Теория государства и права : учебник для вузов / под редакцией В. К. Бабаева. – 5-е изд., перераб. и доп. – Москва : Издательство Юрайт, 2024. – 620 с. – (Высшее образование). – ISBN 978-5-534-16788-7. – Текст : электронный // Образовательная платформа Юрайт [сайт]. – URL: https://urait.ru/bcode/535520
- Пиголкин, А. С. Теория государства и права : учебник для вузов / А. С. Пиголкин, А. Н. Головистикова, Ю. А. Дмитриев ; под редакцией А. С. Пиголкина, Ю. А. Дмитриева. – 4-е изд., перераб. и доп. – Москва : Издательство Юрайт, 2025. – 516 с. – (Высшее образование). – ISBN 978-5-534-01323-8. – Текст : электронный // Образовательная платформа Юрайт [сайт]. – URL: https://urait.ru/bcode/559574
- Теория государства и права для обучающихся по специальности «Правоохранительная деятельность» : учебное пособие для вузов / Р. А. Ромашов [и др.] ; под редакцией Р. А. Ромашова, Е. Л. Харьковского. – Москва : Издательство Юрайт, 2025. – 441 с. – (Высшее образование). – ISBN 978-5-534-11815-5. – Текст : электронный // Образовательная платформа Юрайт [сайт]. – URL: https://urait.ru/bcode/518431.
Правовые основы государственного и муниципального управления
ПРОГРАММА
вступительного испытания
для поступающих в магистратуру по направлению подготовки
40.04.01 «Юриспруденция»
программа (профиль)
«Правовое регулирование государственного и муниципального управления»
ОБЩИЕ ПОЛОЖЕНИЯ
Вступительное испытание предназначено для определения практической и теоретической подготовленности поступающего в магистратуру и проводится с целью определения соответствия знаний умений и навыков требованиям обучения магистратуры по направлению подготовки 40.04.01 «Юриспруденция» профиля «Правовое регулирование государственного и муниципального управления» (магистратура).
Программа составлена в соответствии с требованиями федерального государственного образовательного стандарта высшего профессионального образования.
Вступительные испытания в магистратуру проводят экзаменационные комиссии, назначенные председателем приёмной комиссии УУНиТ.
ПРОЦЕДУРА ВСТУПИТЕЛЬНОГО ИСПЫТАНИЯ
Дата и время проведения вступительного испытания определяются расписанием вступительных испытаний, которое утверждается председателем приемной комиссии.
Перед вступительным испытанием для поступающих проводится консультация по содержанию программы испытания, критериям оценки, предъявляемым требованиям, правилам поведения на испытании.
Форма вступительного испытания (в соответствии Положением о вступительных испытаниях УУНиТ): устно-письменная.
Экзаменационные билеты включают три вопроса по настоящей программе вступительных испытаний.
В аудитории, где проводится вступительное испытание в устно-письменной форме, не может находиться одновременно более 6 человек. Нахождение в аудитории посторонних лиц не допускается.
Вступительное испытание может проводиться с применением дистанционных технологий с использованием ВКС.
В случае проведения вступительного испытания с применением дистанционных технологий с использованием ВКС обязанность обеспечить наличие соответствующей технической возможности (в том числе наличие устройств для ВКС и Интернет-соединения) возлагается на абитуриента.
Абитуриенту предоставляется право готовиться к ответу в течение 30 минут.
Абитуриенту предоставляется право ответа на экзаменационные вопросы в течение 20-25 минут.
В процессе сдачи вступительного испытания абитуриенту могут быть заданы дополнительные вопросы как по содержанию экзаменационного билета, так и по любым разделам предмета в пределах программы вступительного испытания.
Абитуриент, не согласный с оценкой, полученной на ВИ и (или) в связи с нарушением процедуры проведения ВИ имеет право подать апелляцию. Процедура подачи и рассмотрения апелляции регламентируется Положением об апелляционной комиссии УУНиТ.
КРИТЕРИИ ОЦЕНИВАНИЯ ОТВЕТА
Критериями оценки экзаменационного ответа, поступающего в магистратуру являются полнота, логичность, доказательность, прочность, осознанность знаний и теоретическая обоснованность суждений, самостоятельность в интерпретации информации, практическая направленность, уровень овладения профессиональными умениями и др.
Результаты вступительного испытания определяются по 100-балльной шкале, разброс баллов представлен ниже в таблице:
|
№ |
Критерии оценивания |
Оценка |
|---|---|---|
|
1 |
Дан полный развернутый ответ на теоретический вопрос, в том числе грамотно использована научная терминология; четко сформулирована проблема, доказательно аргументированы выдвигаемые тезисы, указаны основные точки зрения, принятые в научной литературе по рассматриваемому вопросу; аргументирована собственная позиция или точка зрения, обозначены наиболее значимые в данной области научно-исследовательские проблемы. |
75-100 баллов «отлично» |
|
2 |
Дан в целом правильный ответ на теоретический вопрос:
|
46-74 балла «хорошо» |
|
3 |
Дан в основном правильный ответ на теоретический вопрос:
|
25-45 баллов «удовлетворительно» |
|
4 |
Дан фрагментарный ответ или неправильный ответ на теоретический вопрос из предложенного тематического раздела, в том числе отмечается наличие существенных пробелов в знаниях; отмечается отсутствие знания терминологии, научных оснований, признаков, характеристик рассматриваемой проблемы;
|
0-24 балла «неудовлетворительно» |
СОДЕРЖАНИЕ РАЗДЕЛОВ И ТЕМ ПРОГРАММЫ ВСТУПИТЕЛЬНОГО ИСПЫТАНИЯ
- Теория государства и права как наука: предмет, задачи, функции.
- Теория государства и права в системе гуманитарных и юридических наук.
- Становление, развитие и современное состояние науки теории государства и права.
- Методология и методы теории государства и права, их классификация и общая характеристика.
- Новейшие теории (концепции) происхождения государства.
- Характеристика социальной власти и норм первобытного общества.
- Причины и формы возникновения государства.
- Общее и особенное в процессе возникновения государства у различных народов.
- Понятие государства. Многообразие подходов к определению понятия государства.
- Понятие типологии государства. Формационный подход к типологии государства: его достоинства и недостатки.
- Понятие цивилизации и особенности цивилизационного подхода к типологии государства.
- Нетрадиционные типы государства.
- Признаки государства, отличающие его от организации власти в первобытном обществе.
- Сущность государства. Социальное назначение государства.
- Понятие формы государства. Соотношения типа и формы государства. Многообразие форм правления в пределах одного и того же типа государства.
- Понятие формы правления. Особенности различных видов монархий и республик.
- Понятие формы государственно-территориального устройства.
- Форма политического (государственно-правового) режима. Виды политических режимов в различных типах государств.
- Понятие и признаки функций государства. Классификация функций государства. Формы и методы реализации функций государства.
- Понятие государственной власти. Структура государственной власти.
- Понятие механизма государства. Его составные элементы.
- Понятие государственного аппарата, его структура. Соотношение государственного аппарата и государственного механизма.
- Государственный орган: понятие, характеристика, признаки. Классификация органов государства.
- Принцип разделения власти: история возникновения, составляющие элементы и современное значение.
- Понятие гражданского общества. Проблема соотношения гражданского общества и государства.
- Понятие и структура политической системы общества, ее элементы. Партии в политической системе общества.
- Понятие демократии. Формы и институты демократии. Эволюция представлений о демократии.
- Социальное государство: понятие, признаки.
- Переходное государство.
- Социальное регулирование. Понятие и функции социальных норм, их классификация и формы выражения.
- Понятие права. Основные подходы к определению понятия права. Признаки права.
- Соотношение права с другими социальными нормами.
- Принципы права: понятие и классификация.
- Функции права: понятие и классификация.
- Понятие источника и формы права. Виды источников и форм права.
- Иерархия нормативно-правовых актов.
- Право и закон. Понятие, признаки законов. Классификация законов.
- Действие нормативных правовых актов в пространстве, по кругу лиц, во времени.
- Понятие типа и типологии права. Различные подходы к выделению типологических признаков.
- Понятие и структура правовой системы общества. Классификация правовых систем. Правовые семьи.
- Понятие правового регулирования. Его соотношение с правовым воздействием. Нормативное и индивидуальное правовое регулирование.
- Понятие, признаки нормы права. Структура нормы права.
- Классификация правовых норм. Способы изложения норм права в нормативных правовых актах.
- Отрасли права. Институты права. Характеристика основных отраслей права.
- Частное и публичное право.
- Система права и система законодательства, их соотношение. \
- Понятие, виды и субъекты правотворчества. Основные формы и органы правотворчества. Основополагающие принципы и стадии правотворчества.
- Порядок принятия, опубликования и вступления в силу нормативных правовых актов в современной России.
- Понятие систематизации права. Учет нормативных актов. Виды систематизации права.
- Понятие и признаки правоотношений. Правовые нормы и правоотношения.
- Классификация правоотношений: критерии и виды.
- Содержание правоотношения.
- Реализация права: понятие, формы, методы.
- Пробелы в праве. Способы их восполнения и устранения.
- Юридические коллизии: понятие, виды и способы разрешения.
- Понятие толкования правовых норм. Субъекты и виды толкования правовых норм. Способы (приемы) толкования.
- Понятие правомерного поведения. Объективная и субъективная стороны правомерного поведения. Виды правомерного поведения.
- Понятие правонарушения и его основные признаки. Юридический состав правонарушения. Виды правонарушений.
- Понятие и основные признаки юридической ответственности, ее отличия от других видов социальной ответственности.
- Цели и функции юридической ответственности. Виды юридической ответственности.
- Правопорядок.
- Правовой нигилизм.
- Юридическая техника.
- Юридические факты. Фактический состав.
- Понятие и предмет конституционного права.
- Источники отрасли конституционного права.
- Понятие, сущность и юридические свойства Конституции РФ.
- Структура и содержание Конституции РФ 1993 года.
- Конституционная характеристика РФ как правового, демократического государства с республиканской формой правления.
- Экономическая основа конституционного строя РФ.
- Конституционная характеристика РФ как светского и социального государства.
- Конституционно-правовое закрепление разделения властей.
- Конституционные основы деятельности общественных объединений и неправительственных организаций.
- Гражданство РФ: понятие и принципы.
- Основания и порядок приобретения гражданства РФ.
- Основания и порядок прекращения гражданства РФ.
- Конституционно-правовой статус иностранных граждан и лиц без гражданства.
- Правовое положение беженцев и вынужденных переселенцев в РФ Предоставление политического убежища.
- Конституционные права и свободы человека и гражданина: понятие и классификация.
- Конституционные обязанности человека и гражданина.
- Принципы правового статуса личности.
- Понятие и виды ограничений прав и свобод граждан.
- Законодательный процесс: понятие и характеристика стадий.
- Россия как федеративное государство.
- Виды субъектов РФ и особенности их конституционно-правового статуса.
- Разграничение предметов ведения полномочий между РФ и ее субъектами.
- . Избирательное право: понятие и принципы.
- Избирательная система: понятие, типы, сферы применения.
- Президент РФ: особенности конституционно-правового статуса.
- Конституционно-правовой статус Федерального Собрания РФ Структура Федерального Собрания РФ.
- Законодательный орган субъекта РФ: особенности конституционно-правового статуса.
- Конституционный Суд РФ: состав, порядок формирования, компетенция.
- Конституционные основы местного самоуправления.
- Общее понятие управления и его характеристика.
- Государственное управление и исполнительная власть: их юридическая характеристика и соотношение.
- Понятие, цели и задачи государственного управления.
- Принципы и функции административного права.
- Административное право как наука и учебная дисциплина.
- Предмет и метод административного права.
- Понятие, структура и особенности административно-правовых норм.
- Виды административно-правовых норм.
- Реализация административно-правовых норм.
- Источники административного права.
- Понятие, виды, характерные черты и участники административно-правовых отношений.
- Субъекты, объекты и содержание административно-правовых отношений.
- Понятие и система субъектов административного права.
- Права и обязанности граждан в сфере государственного управления. Административно-правовые гарантии прав граждан.
- Административно-правовой статус иностранных граждан и лиц без гражданства
- Понятие и правовой статус органов исполнительной власти.
- Виды органов исполнительной власти.
- Принципы построения системы органов исполнительной власти.
- Правительство Российской Федерации как высший орган исполнительной
- Полномочия Президента РФ в сфере исполнительной власти.
- Центральные органы федеральной исполнительной власти.
- Органы исполнительной власти субъектов РФ.
- Понятие и виды государственной службы.
- Понятие и виды государственных служащих.
- Права и обязанности государственных служащих.
- Ограничения, связанные с государственной службой.
- Основания для прекращения государственных служебных отношений.
- Правовые акты управления органов исполнительной власти: понятие, юридическое значение, отличие от правовых актов других органов государства и служебных документов.
- Виды правовых актов управления.
Демоверсия экзаменационного варианта
|
СПИСОК ЛИТЕРАТУРЫ
- Комаров, С. А. Общая теория государства и права : учебник для вузов / С. А. Комаров. — 10-е изд., испр. и доп. — Москва : Издательство Юрайт, 2025. — 528 с. — (Высшее образование). — ISBN 978-5-534-15392-7. — Текст : электронный // Образовательная платформа Юрайт [сайт]. — URL: https://urait.ru/bcode/562992.
- Теория государства и права : учебник для вузов / под редакцией В. К. Бабаева. — 5-е изд., перераб. и доп. — Москва : Издательство Юрайт, 2024. — 620 с. — (Высшее образование). — ISBN 978-5-534-16788-7. — Текст : электронный // Образовательная платформа Юрайт [сайт]. — URL: https://urait.ru/bcode/535520.
- Административное право России : учебник и практикум для вузов / А. И. Стахов [и др.] ; под редакцией А. И. Стахова, П. И. Кононова. — 3-е изд., перераб. и доп. — Москва : Издательство Юрайт, 2024. — 484 с. — (Высшее образование). — ISBN 978-5-534-13088-1. — Текст : электронный // Образовательная платформа Юрайт [сайт]. — URL: https://urait.ru/bcode/511733.
- Агапов, А. Б. Административное право в 2 т. Том 1. Общая часть : учебник для вузов / А. Б. Агапов. — 12-е изд., перераб. и доп. — Москва : Издательство Юрайт, 2024. — 492 с. — (Высшее образование). — ISBN 978-5-534-14825-1. — Текст : электронный // Образовательная платформа Юрайт [сайт]. — URL: https://urait.ru/bcode/512986.
- Избирательное право Российской Федерации : учебник и практикум для вузов / под редакцией И. В. Захарова, А. Н. Кокотова. — 6-е изд., перераб. и доп. — Москва : Издательство Юрайт, 2025. — 324 с. — (Высшее образование). — ISBN 978-5-534-21123-8. — Текст : электронный // Образовательная платформа Юрайт [сайт]. — URL: https://urait.ru/bcode/559413
- Ким Ю. В. Избирательное право : учебник для вузов / Ю. В. Ким. — 2-е изд., перераб. и доп. — Москва : Издательство Юрайт, 2025. — 359 с. — (Высшее образование). — ISBN 978-5-534-17109-9. — Текст : электронный // Образовательная платформа Юрайт [сайт]. — URL: https://urait.ru/bcode/557238
Судебное право
ПРОГРАММА
вступительного испытания
для поступающих в магистратуру по направлению подготовки
40.04.01 «Юриспруденция»
программа (профиль)
«Судебный юрист»
ОБЩИЕ ПОЛОЖЕНИЯ
Вступительное испытание предназначено для определения практической и теоретической подготовленности поступающего в магистратуру и проводится с целью определения соответствия знаний умений и навыков требованиям обучения магистратуры по направлению подготовки 40.04.01 «Юриспруденция» профиля «Судебный юрист» (магистратура).
Программа составлена в соответствии с требованиями федерального государственного образовательного стандарта высшего профессионального образования.
Вступительные испытания в магистратуру проводят экзаменационные комиссии, назначенные председателем приёмной комиссии УУНиТ.
ПРОЦЕДУРА ВСТУПИТЕЛЬНОГО ИСПЫТАНИЯ
Дата и время проведения вступительного испытания определяются расписанием вступительных испытаний, которое утверждается председателем приемной комиссии.
Перед вступительным испытанием для поступающих проводится консультация по содержанию программы испытания, критериям оценки, предъявляемым требованиям, правилам поведения на испытании.
Форма вступительного испытания (в соответствии Положением о вступительных испытаниях УУНиТ): устно-письменная.
Экзаменационные билеты включают три вопроса по настоящей программе вступительных испытаний.
В аудитории, где проводится вступительное испытание в устно-письменной форме, не может находиться одновременно более 6 человек. Нахождение в аудитории посторонних лиц не допускается.
Вступительное испытание может проводиться с применением дистанционных технологий с использованием ВКС.
В случае проведения вступительного испытания с применением дистанционных технологий с использованием ВКС обязанность обеспечить наличие соответствующей технической возможности (в том числе наличие устройств для ВКС и Интернет-соединения) возлагается на абитуриента.
Абитуриенту предоставляется право готовиться к ответу в течение 30 минут.
Абитуриенту предоставляется право ответа на экзаменационные вопросы в течение 20-25 минут.
В процессе сдачи вступительного испытания абитуриенту могут быть заданы дополнительные вопросы как по содержанию экзаменационного билета, так и по любым разделам предмета в пределах программы вступительного испытания.
Абитуриент, не согласный с оценкой, полученной на ВИ и (или) в связи с нарушением процедуры проведения ВИ имеет право подать апелляцию. Процедура подачи и рассмотрения апелляции регламентируется Положением об апелляционной комиссии УУНиТ.
КРИТЕРИИ ОЦЕНИВАНИЯ ОТВЕТА
Критериями оценки экзаменационного ответа, поступающего в магистратуру являются полнота, логичность, доказательность, прочность, осознанность знаний и теоретическая обоснованность суждений, самостоятельность в интерпретации информации, практическая направленность, уровень овладения профессиональными умениями и др.
Результаты вступительного испытания определяются по 100-балльной шкале, разброс баллов представлен ниже в таблице:
|
№ |
Критерии оценивания |
Оценка |
|---|---|---|
|
1 |
Дан полный развернутый ответ на теоретический вопрос, в том числе грамотно использована научная терминология; четко сформулирована проблема, доказательно аргументированы выдвигаемые тезисы, указаны основные точки зрения, принятые в научной литературе по рассматриваемому вопросу; аргументирована собственная позиция или точка зрения, обозначены наиболее значимые в данной области научно-исследовательские проблемы. |
75-100 баллов «отлично» |
|
2 |
Дан в целом правильный ответ на теоретический вопрос:
|
46-74 балла «хорошо» |
|
3 |
Дан в основном правильный ответ на теоретический вопрос:
|
25-45 баллов «удовлетворительно» |
|
4 |
Дан фрагментарный ответ или неправильный ответ на теоретический вопрос из предложенного тематического раздела, в том числе отмечается наличие существенных пробелов в знаниях; отмечается отсутствие знания терминологии, научных оснований, признаков, характеристик рассматриваемой проблемы;
|
0-24 балла «неудовлетворительно» |
СОДЕРЖАНИЕ РАЗДЕЛОВ И ТЕМ ПРОГРАММЫ ВСТУПИТЕЛЬНОГО ИСПЫТАНИЯ
Теория государства и права
- Теория государства и права как наука: предмет, задачи, функции.
- Понятие государства. Основные признаки государства.
- Развитие идеи правового государства и его признаки. Понятие и признаки правового государства.
- Понятие формы государства. Краткая характеристика элементов формы государства.
- Понятие формы правления. Особенности различных видов монархий и республик.
- Понятие формы государственно-территориального устройства.
- Форма политического (государственно-правового) режима. Виды политических режимов в различных типах государств.
- Понятие и признаки функций государства. Классификация функций государства. Формы и методы реализации функций государства.
- Понятие государственной власти. Структура государственной власти.
- Понятие государственного аппарата, его структура. Соотношение государственного аппарата и государственного механизма.
- Государственный орган: понятие, характеристика, признаки. Классификация органов государства.
- Принцип разделения власти: история возникновения, составляющие элементы и современное значение.
- Понятие демократии. Формы и институты демократии. Эволюция представлений о демократии.
- Социальное государство: понятие, признаки.
- Понятие права. Основные подходы к определению понятия права. Признаки права.
- Принципы права: понятие и классификация.
- Источники (формы) права.
- Иерархия нормативных правовых актов.
- Действие нормативных правовых актов в пространстве, во времени и по кругу лиц.
- Понятие, признаки нормы права. Структура нормы права.
- Отрасли права. Институты права. Характеристика основных отраслей права.
- Частное и публичное право.
- Понятие и признаки правоотношений. Классификация правоотношений: критерии и виды.
- Юридические факты и их классификация.
- Понятие правомерного поведения. Объективная и субъективная стороны правомерного поведения. Виды правомерного поведения.
- Понятие правонарушения и его основные признаки.
- Юридический состав правонарушения. Виды правонарушений.
- Понятие и основные признаки юридической ответственности, ее отличия от других видов социальной ответственности.
- Понятие и сущность законности. Принципы и гарантии законности.
- Понятие правопорядка. Соотношение законности и правопорядка.
Административное, арбитражное, гражданское, уголовное судопроизводство
- Формы защиты прав и законных интересов. Право на судебную защиту.
- Понятие гражданского процессуального права, его предмет и система.
- Сущность, основные черты и значение гражданской процессуальной формы.
- История развития экономического правосудия.
- Система арбитражных судов: понятие и элементы.
- Понятие арбитражного процессуального права и его соотношение с другими отраслями российского права.
- Понятие компетенции дел арбитражным судам.
- Понятие и виды подсудности в гражданском и арбитражном судопроизводстве.
- Передача дела, принятого арбитражным судом к своему производству, из одного суда в другой суд.
- Единоличное и коллегиальное рассмотрение дел в арбитражных судах и судах общей юрисдикции.
- Виды и стадии гражданского судопроизводства (процесса). Виды и стадии арбитражного судопроизводства (процесса).
- Понятие и система принципов гражданского процессуального права. Понятие и система принципов арбитражного процессуального права.
- Понятие и основания возникновения гражданских и арбитражных процессуальных правоотношений.
- Субъекты гражданских процессуальных правоотношений и их классификация.
- Субъекты арбитражных процессуальных правоотношений и их классификация.
- Гражданская процессуальная правоспособность и дееспособность.
- Арбитражная процессуальная правоспособность и дееспособность.
- Понятие и виды представительства в суде. Полномочия судебных представителей и их оформление.
- Понятие подсудности. Виды подсудности.
- Акты суда. Виды судебных актов.
- Судебные расходы и их виды. Освобождение от судебных расходов и их распределение между сторонами. Государственная пошлина.
- Понятие, сущность и признаки искового производства в гражданском и арбитражном процессе.
- Понятие и правовая природа иска. Элементы иска. Виды исков. Порядок предъявления иска и последствия его несоблюдения.
- Примирение сторон. Мировое соглашение .
- Обеспечение иска. Виды обеспечительных мер.
- Понятие и стадии судебного доказывания. Понятие судебных доказательств. Классификация судебных доказательств. Предмет доказывания.
- Распределение между сторонами обязанностей по доказыванию. Доказательственные презумпции: понятие и значение.
- Правовые последствия возбуждения дела в суде.
- Сущность, значение и задачи подготовки дела к судебному разбирательству. Процессуальные действия по подготовке дела к судебному разбирательству.
- Приостановление производства по делу в гражданском процессе. Приостановление производства по делу в арбитражном процессе.
- Предварительное судебное заседание.
- Понятие, значение и составные части судебного разбирательства.
- Протокол судебного заседания.
- Сущность и значение судебного решения. Требования, предъявляемые к судебным решениям.
- Устранение недостатков судебного решения вынесшим его судом. Законная сила судебного решения.
- Определение суда первой инстанции. Виды определений.
- Заочное производство: понятие и значение.
- Судебный приказ: понятие и значение. Порядок выдачи и основания к отказу в выдаче судебного приказа. Отмена судебного приказа.
- Производство по рассмотрению заявлений о возвращении ребенка или об осуществлении в отношении ребенка прав доступа на основании международного договора Российской Федерации.
- Упрощенное производство: понятие и правовая природа.
- Обязательный досудебный порядок урегулирования спора и последствия его несоблюдения.
- Особое производство. Установление фактов, имеющих юридическое значение, в гражданском и арбитражном процессе.
- Производство по делам об усыновлении (удочерении) ребенка.
- Производство по делам об объявлении несовершеннолетнего полностью дееспособным (эмансипация).
- Производство по делам о признании гражданина безвестно отсутствующим или об объявлении его умершим.
- Производство по делам о признании гражданина ограничено дееспособным или недееспособным.
- Производство по делам, связанным с выполнением функций содействия и контроля в отношении третейских судов.
- Производство по заявлениям о совершенных нотариальных действиях или об отказе в их совершении.
- Прекращение производства по делу.
- Оставление заявления без рассмотрения.
- Понятие и виды апелляции. Право апелляционного обжалования (внесения представлений) судебных постановлений.
- Порядок и сроки апелляционного обжалования (внесение представлений) судебных постановлений. Процессуальный порядок рассмотрения дела судом апелляционной инстанции.
- Сущность и значение стадии кассационного производства. Рассмотрение дела судом кассационной инстанции.
- Полномочия суда кассационной инстанции. Основания к отмене судебных решений судом кассационной инстанции.
- Сущность и значение стадии пересмотра судебных решений, определений и постановлений в порядке судебного надзора. Возбуждение надзорного производства.
- Понятие и основания пересмотра дел по вновь открывшимся и новым обстоятельствам.
- Общие особенности производства в арбитражном суде по делам, возникающим из административных и иных публичных правоотношений.
- Особенности рассмотрения дел о несостоятельности (банкротстве) физических лиц.
- Особенности рассмотрения арбитражными судами дел об оспаривании ненормативных правовых актов, решений и действий (бездействия) государственных органов, органов местного самоуправления, иных органов, должностных лиц.
- Рассмотрение арбитражными судами дел о привлечении к административной ответственности.
- Рассмотрение арбитражными судами дел об оспаривании решений административных органов о привлечении к административной ответственности.
- Рассмотрение арбитражными судами дел о взыскании обязательных платежей и санкций.
- Особенности рассмотрения дел с участием иностранных лиц.
- Компетенция арбитражных судов в РФ по делам с участием иностранных лиц.
- Производство по делам о признании и приведении в исполнение решений иностранных судов и иностранных арбитражных решений.
- Особенности третейского судопроизводства.
- Исполнение судебных актов арбитражных судов и судов общей юрисдикции.
- Рассмотрение дел по корпоративным спорам.
- Рассмотрение дел о присуждении компенсации за нарушение права на судопроизводство в разумный срок или права на исполнение судебного акта в разумный срок.
- Рассмотрение дел о защите прав и законных интересов группы лиц.
- Специализированный арбитражный суд по интеллектуальным правам.
Демоверсия экзаменационного варианта
|
СПИСОК ЛИТЕРАТУРЫ
- Власов А.А. Арбитражный процесс : учебник для вузов / А.А. Власов. 2-е изд., перераб. и доп. Москва : Издательство Юрайт, 2025. 327 с. (Высшее образование). ISBN 978-5-534-20721-7. Текст : электронный // Образовательная платформа Юрайт [сайт]. URL: https://urait.ru/bcode/558651
- Гражданский процесс : учебное пособие для вузов / под редакцией М.Ю. Лебедева. 14-е изд., перераб. и доп. Москва : Издательство Юрайт, 2025. 286 с. (Высшее образование). ISBN 978-5-534-20342-4. Текст : электронный // Образовательная платформа Юрайт [сайт]. URL:h ttps://urait.ru/bcode/557982
- Уголовный процесс : учебник для вузов / под редакцией Б.Б. Булатова, А.М. Баранова. 8-е изд., перераб. и доп. Москва : Издательство Юрайт, 2025. 581 с. (Высшее образование). ISBN 978-5-53416817-4. Текст : электронный // Образовательная платформа Юрайт [сайт]. URL:h ttps://urait.ru/bcode/566542.
- Процессуальные особенности рассмотрения отдельных категорий гражданских дел : учебник для вузов / ответственный редактор И.В. Воронцова. Москва : Издательство Юрайт, 2025. 220 с. (Высшее образование). ISBN 978-5-534-20855-9. Текст : электронный // Образовательная платформа Юрайт [сайт]. URL: https://urait.ru/bcode/558869.
Правовые основы градостроительных, земельно-имущественных и природоресурсных общественных отношений
ПРОГРАММА
вступительного испытания
для поступающих в магистратуру по направлению подготовки
40.04.01 «Юриспруденция»
программа (профиль)
«Юрист в сфере градостроительных, земельно-имущественных и природоресурсных отношений»
ОБЩИЕ ПОЛОЖЕНИЯ
Вступительное испытание предназначено для определения практической и теоретической подготовленности поступающего в магистратуру и проводится с целью определения соответствия знаний умений и навыков требованиям обучения магистратуры по направлению подготовки 40.04.01 «Юриспруденция» профиля «Юрист в сфере градостроительных, земельно-имущественных и природоресурсных отношений» (магистратура).
Программа составлена в соответствии с требованиями федерального государственного образовательного стандарта высшего профессионального образования.
Вступительные испытания в магистратуру проводят экзаменационные комиссии, назначенные председателем приёмной комиссии УУНиТ.
ПРОЦЕДУРА ВСТУПИТЕЛЬНОГО ИСПЫТАНИЯ
Дата и время проведения вступительного испытания определяются расписанием вступительных испытаний, которое утверждается председателем приемной комиссии.
Перед вступительным испытанием для поступающих проводится консультация по содержанию программы испытания, критериям оценки, предъявляемым требованиям, правилам поведения на испытании.
Форма вступительного испытания (в соответствии Положением о вступительных испытаниях УУНиТ): устно-письменная.
Экзаменационные билеты включают три вопроса по настоящей программе вступительных испытаний.
В аудитории, где проводится вступительное испытание в устно-письменной форме, не может находиться одновременно более 6 человек. Нахождение в аудитории посторонних лиц не допускается.
Вступительное испытание может проводиться с применением дистанционных технологий с использованием ВКС.
В случае проведения вступительного испытания с применением дистанционных технологий с использованием ВКС обязанность обеспечить наличие соответствующей технической возможности (в том числе наличие устройств для ВКС и Интернет-соединения) возлагается на абитуриента.
Абитуриенту предоставляется право готовиться к ответу в течение 30 минут.
Абитуриенту предоставляется право ответа на экзаменационные вопросы в течение 20-25 минут.
В процессе сдачи вступительного испытания абитуриенту могут быть заданы дополнительные вопросы как по содержанию экзаменационного билета, так и по любым разделам предмета в пределах программы вступительного испытания.
Абитуриент, не согласный с оценкой, полученной на ВИ и (или) в связи с нарушением процедуры проведения ВИ имеет право подать апелляцию. Процедура подачи и рассмотрения апелляции регламентируется Положением об апелляционной комиссии УУНиТ.
КРИТЕРИИ ОЦЕНИВАНИЯ ОТВЕТА
Критериями оценки экзаменационного ответа, поступающего в магистратуру являются полнота, логичность, доказательность, прочность, осознанность знаний и теоретическая обоснованность суждений, самостоятельность в интерпретации информации, практическая направленность, уровень овладения профессиональными умениями и др.
Результаты вступительного испытания определяются по 100-балльной шкале, разброс баллов представлен ниже в таблице:
|
№ |
Критерии оценивания |
Оценка |
|---|---|---|
|
1 |
Дан полный развернутый ответ на теоретический вопрос, в том числе грамотно использована научная терминология; четко сформулирована проблема, доказательно аргументированы выдвигаемые тезисы, указаны основные точки зрения, принятые в научной литературе по рассматриваемому вопросу; аргументирована собственная позиция или точка зрения, обозначены наиболее значимые в данной области научно-исследовательские проблемы. |
75-100 баллов «отлично» |
|
2 |
Дан в целом правильный ответ на теоретический вопрос:
|
46-74 балла «хорошо» |
|
3 |
Дан в основном правильный ответ на теоретический вопрос:
|
25-45 баллов «удовлетворительно» |
|
4 |
Дан фрагментарный ответ или неправильный ответ на теоретический вопрос из предложенного тематического раздела, в том числе отмечается наличие существенных пробелов в знаниях; отмечается отсутствие знания терминологии, научных оснований, признаков, характеристик рассматриваемой проблемы;
|
0-24 балла «неудовлетворительно» |
СОДЕРЖАНИЕ РАЗДЕЛОВ И ТЕМ ПРОГРАММЫ ВСТУПИТЕЛЬНОГО ИСПЫТАНИЯ
- Понятие градостроительного права как специализированной комплексной отрасли российского права.
- Градостроительные правоотношения: объект, субъекты, содержание.
- Принципы и система градостроительного права
- Виды государственного контроля (надзора) в сфере природопользования и охраны окружающей среды.
- Государственная собственность на природные ресурсы.
- Государственное управление природопользованием и охраной окружающей среды органами специальной компетенции.
- Государственный экологический контроль (надзор): предмет, виды и объекты.
- Государственный кадастровый учет земель. Единый государственный реестр недвижимости.
- Защита и гарантии прав собственников и пользователей земли.
- Земельные правоотношения: объекты, субъекты, содержание.
- Земельные споры: понятие, виды, особенности.
- Земельный участок как объект земельных правоотношений, виды земельных участков.
- Землеустройство: понятие, виды, содержание.
- Земля как объект земельных правоотношений, функции качества земли.
- Изъятие земель для государственных и муниципальных нужд.
- История возникновения и развития земельного права.
- Источники экологически значимой информации.
- Категории объектов, оказывающих негативное воздействие на окружающую среду
- Комплексное экологическое разрешение.
- Конституция РФ как источник экологического права.
- Критерии отнесения объектов, оказывающих негативное воздействие на окружающую среду к объектам I, II, III и IV категории.
- Международно-правовая охрана окружающей среды.
- Методы правового регулирования в экологическом праве.
- Муниципальная собственность на природные ресурсы.
- Общая долевая собственность на земельные участки.
- Общая совместная собственность на земельные участки.
- Общественная экологическая экспертиза.
- Объекты государственной экологической экспертизы.
- Объекты экологических отношений.
- Основания возникновения прав на землю.
- Основания прекращения прав на землю.
- Особенности совершения сделок с земельными участками в Российской Федерации.
- Особо охраняемые природные территории: понятие и виды.
- Понятие и виды источников земельного права.
- Понятие нормирования в области охраны окружающей среды. Система нормативов в области охраны окружающей среды.
- Понятие экологического контроля. Производственный и общественный экологический контроль.
- Понятие и виды управления природопользованием и охраной окружающей среды.
- Понятие оборотоспособности земельных участков. Основания ограничения земли в обороте.
- Понятие, виды, субъекты и объекты права природопользования.
- Понятие, особенности и система источников экологического права.
- Порядок организации и проведения государственного экологического контроля (надзора).
- Право на благоприятную окружающую среду.
- Право общего природопользования.
- Право ограниченного пользования чужим земельным участком (сервитут): понятие, виды, содержание.
- Право собственности на землю: понятие, формы, объекты, субъекты, содержание.
- Правовая охрана атмосферного воздуха.
- Правовая охрана вод.
- Правовая охрана животного мира.
- Правовая охрана земель: цели, задачи, способы, содержание.
- Правовая охрана лесов.
- Правовая охрана недр.
- Правовое регулирование водопользования.
- Правовое регулирование государственного учета объектов, оказывающих негативное воздействие на окружающую среду.
- Правовое регулирование землепользования.
- Правовое регулирование лесопользования.
- Правовое регулирование оценки воздействия на окружающую среду.
- Правовое регулирование пользования животным миром.
- Правовое регулирование пользования недрами.
- Правовое регулирование природоресурсных платежей.
- Правовое регулирование обращения с отходами производства и потребления.
- Правовой режим водоохранных и иных зон с особым режимом использования.
- Правовой режим земель лесного фонда.
- Правовой режим земель населенных пунктов.
- Правовой режим земель сельскохозяйственного назначения.
- Правовой режим земель промышленности и иного специального назначения.
- Предмет и метод земельного права.
- Предмет правового регулирования в экологическом праве.
- Предоставление земельных участков из земель, находящихся в государственной или муниципальной собственности.
- Приватизация земель: понятие и правовые формы.
- Принципы земельного права и земельного законодательства.
- Принципы экологического права.
- Резервирование земельных участков для государственных и муниципальных нужд.
- Частная собственность на природные ресурсы.
- Экологическая экспертиза: понятие, принципы и виды
- Экологические права гражданина.
- Экологические требования к хозяйственной и иной деятельности.
- Экологическое законодательство: понятие и система.
- Экологическое правонарушение: понятие, виды и структура.
- Экономико-правовые меры стимулирования природоохранной деятельности.
- Юридическая ответственность за экологические правонарушения. Понятие и виды.
- Юридическая ответственность за земельные правонарушения.
Демоверсия экзаменационного варианта
|
СПИСОК ЛИТЕРАТУРЫ
- Земельное право России : учебник для вузов / А. П. Анисимов, Ю. И. Исакова, А. Я. Рыженков, С. А. Чаркин ; под редакцией А. П. Анисимова. — 9-е изд., перераб. и доп. — Москва : Издательство Юрайт, 2025. — 287 с. — (Высшее образование). — ISBN 978-5-534-21273-0. — Текст : электронный // Образовательная платформа Юрайт [сайт]. — URL: https://urait.ru/bcode/569474.
- Боголюбов, С. А. Земельное право : учебник для вузов / С. А. Боголюбов. — 10-е изд., перераб. и доп. — Москва : Издательство Юрайт, 2025. — 276 с. — (Высшее образование). — ISBN 978-5-534-20683-8. — Текст : электронный // Образовательная платформа Юрайт [сайт]. — URL: https://urait.ru/bcode/558582.
- Экологическое право : учебник для вузов / С. А. Боголюбов [и др.] ; под редакцией С. А. Боголюбова. — 7-е изд., перераб. и доп. — Москва : Издательство Юрайт, 2023. — 304 с. — (Высшее образование). — ISBN 978-5-534-10925-2. — Текст : электронный // Образовательная платформа Юрайт [сайт]. — URL: https://urait.ru/bcode/510433.
- Анисимов, А. П. Экологическое право России : учебник и практикум для вузов / А. П. Анисимов, А. Я. Рыженков. — 8-е изд., перераб. и доп. — Москва : Издательство Юрайт, 2023. — 428 с. — (Высшее образование). — ISBN 978-5-534-15417-7. — Текст : электронный // Образовательная платформа Юрайт [сайт]. — URL: https://urait.ru/bcode/510496.
Правовые основы предпринимательского права
ПРОГРАММА
вступительного испытания
для поступающих в магистратуру по направлению подготовки
40.04.01 «Юриспруденция»
программа (профиль)
«Юрист в сфере предпринимательского права»
ОБЩИЕ ПОЛОЖЕНИЯ
Вступительное испытание предназначено для определения практической и теоретической подготовленности поступающего в магистратуру и проводится с целью определения соответствия знаний умений и навыков требованиям обучения магистратуры по направлению подготовки 40.04.01 «Юриспруденция» профиля «Юрист в сфере предпринимательского права» (магистратура).
Программа составлена в соответствии с требованиями федерального государственного образовательного стандарта высшего профессионального образования.
Вступительные испытания в магистратуру проводят экзаменационные комиссии, назначенные председателем приёмной комиссии УУНиТ.
ПРОЦЕДУРА ВСТУПИТЕЛЬНОГО ИСПЫТАНИЯ
Дата и время проведения вступительного испытания определяются расписанием вступительных испытаний, которое утверждается председателем приемной комиссии.
Перед вступительным испытанием для поступающих проводится консультация по содержанию программы испытания, критериям оценки, предъявляемым требованиям, правилам поведения на испытании.
Форма вступительного испытания (в соответствии Положением о вступительных испытаниях УУНиТ): устно-письменная.
Экзаменационные билеты включают три вопроса по настоящей программе вступительных испытаний.
В аудитории, где проводится вступительное испытание в устно-письменной форме, не может находиться одновременно более 6 человек. Нахождение в аудитории посторонних лиц не допускается.
Вступительное испытание может проводиться с применением дистанционных технологий с использованием ВКС.
В случае проведения вступительного испытания с применением дистанционных технологий с использованием ВКС обязанность обеспечить наличие соответствующей технической возможности (в том числе наличие устройств для ВКС и Интернет-соединения) возлагается на абитуриента.
Абитуриенту предоставляется право готовиться к ответу в течение 30 минут.
Абитуриенту предоставляется право ответа на экзаменационные вопросы в течение 20-25 минут.
В процессе сдачи вступительного испытания абитуриенту могут быть заданы дополнительные вопросы как по содержанию экзаменационного билета, так и по любым разделам предмета в пределах программы вступительного испытания.
Абитуриент, не согласный с оценкой, полученной на ВИ и (или) в связи с нарушением процедуры проведения ВИ имеет право подать апелляцию. Процедура подачи и рассмотрения апелляции регламентируется Положением об апелляционной комиссии УУНиТ.
КРИТЕРИИ ОЦЕНИВАНИЯ ОТВЕТА
Критериями оценки экзаменационного ответа, поступающего в магистратуру являются полнота, логичность, доказательность, прочность, осознанность знаний и теоретическая обоснованность суждений, самостоятельность в интерпретации информации, практическая направленность, уровень овладения профессиональными умениями и др.
Результаты вступительного испытания определяются по 100-балльной шкале, разброс баллов представлен ниже в таблице:
|
№ |
Критерии оценивания |
Оценка |
|---|---|---|
|
1 |
Дан полный развернутый ответ на теоретический вопрос, в том числе грамотно использована научная терминология; четко сформулирована проблема, доказательно аргументированы выдвигаемые тезисы, указаны основные точки зрения, принятые в научной литературе по рассматриваемому вопросу; аргументирована собственная позиция или точка зрения, обозначены наиболее значимые в данной области научно-исследовательские проблемы. |
75-100 баллов «отлично» |
|
2 |
Дан в целом правильный ответ на теоретический вопрос:
|
46-74 балла «хорошо» |
|
3 |
Дан в основном правильный ответ на теоретический вопрос:
|
25-45 баллов «удовлетворительно» |
|
4 |
Дан фрагментарный ответ или неправильный ответ на теоретический вопрос из предложенного тематического раздела, в том числе отмечается наличие существенных пробелов в знаниях; отмечается отсутствие знания терминологии, научных оснований, признаков, характеристик рассматриваемой проблемы;
|
0-24 балла «неудовлетворительно» |
СОДЕРЖАНИЕ РАЗДЕЛОВ И ТЕМ ПРОГРАММЫ ВСТУПИТЕЛЬНОГО ИСПЫТАНИЯ
Гражданское право
- Понятие и виды отношений, регулируемых гражданским правом.
- Гражданско-правовой метод регулирования общественных отношений.
- Принципы гражданского права.
- Понятие и виды источников гражданского права.
- Понятие и состав гражданского законодательства.
- Гражданские правоотношения: понятие, виды, содержание, субъекты, объекты.
- Предпринимательская деятельность граждан.
- Несостоятельность (банкротство) индивидуального предпринимателя.
- Юридические лица: понятие, признаки, виды, создание, реорганизация, ликвидация, правоспособность, органы, представительство, филиал, формирование имущества, государственная регистрация.
- Несостоятельность (банкротство) юридического лица: понятие, признаки, возбуждение процедуры, участники, наблюдение, реабилитационные процедуры, конкурсное производство.
- Коммерческие корпорации: понятие, виды, права и обязанности участников, корпоративный договор в хозяйственных обществах, особенности управления, органы.
- Некоммерческие корпорации: понятие, виды, участники, органы, имущество.
- Унитарные юридические лица: понятие, виды, органы.
- Объекты гражданских прав: понятие, виды, имущество, вещи (виды, оборотоспособность, особенности правового режима недвижимых вещей, имущественный комплекс), деньги и ценные бумаги.
- Сделки: понятие, условия действительности, виды, форма, государственная регистрация.
- Недействительность сделок: понятие, основания, оспоримые и ничтожные сделки, недействительность части сделки, последствия.
- Осуществление гражданских прав: понятие, способы, пределы.
- Исполнение гражданских обязанностей: понятие, формы, способы.
- Злоупотребление правом: понятие, виды, последствия.
- Запрет злоупотребления правом и действий в обход закона.
- Осуществление прав и исполнение обязанностей через представителя: понятие, субъекты, полномочия, виды представительства, доверенность.
- Защита гражданских прав: понятие и содержание права на защиту гражданских прав, меры защиты и меры ответственности за их нарушение, основания применения мер защиты, формы, самозащита.
- Гражданско-правовая ответственность: понятие, особенности, функции, основания и условия, меры, виды.
- Сроки в гражданском праве: понятие, виды, исчисление, исковая давность (понятие, виды сроков исковой давности, применение, исчисление, последствия истечения).
- Вещное право: понятие, признаки, объекты, виды вещных прав.
- Право собственности: собственность и право собственности, понятие, содержание, основания и способы приобретения, основания и способы прекращения, особенности права собственности юридических лиц.
- Общая собственность: понятие, виды.
- Ограниченные вещные права: понятие, признаки, объекты, виды.
- Гражданско-правовая защита вещных прав: охрана и защита, способы защиты, вещные и обязательственные иски, вещно-правовая защита титульного владения, виндикационный иск, негаторный иск.
- Интеллектуальные права: гражданско-правовой режим результатов творчества и средств индивидуализации, понятие, виды, гражданско-правовая защита.
- Авторское право: понятие, объекты, субъекты, содержание и осуществление, пределы, смежные права, гражданско-правовая защита.
- Патентное право: понятие; понятие изобретения и условия его патентоспособности; виды; виды, содержание и оформление патентных прав; осуществление, защита и прекращение патентных прав; правовой режим отдельных видов изобретений.
- Право на секрет производства (ноу-хау): понятие, условия охраноспособности, исключительное право на секрет производства.
- Исключительные права на средства индивидуализации товаров и их производителей: право на фирменное наименование (понятие; содержание; виды; содержание, осуществление и защита права на фирменное наименование), право на коммерческое обозначение (понятие, содержание, осуществление и защита права на коммерческое обозначение), право на товарный знак (знак обслуживания) (понятие, виды товарных знаков, государственная регистрация товарных знаков, основания к отказу в регистрации, содержание и пределы, прекращение правовой охраны товарного знака, защита права на товарный знак), право на наименование места происхождения товара и на географическое указание (понятие, правовая охрана, оформление, содержание и осуществление, прекращение правовой охраны).
- Обязательство: понятие, виды, содержание, субъекты, множественность субъектов, перемена лиц, исполнение, прекращение.
- Способы обеспечения надлежащего исполнения обязательств: понятие, виды, поручительство, независимая гарантия, неустойка, задаток, обеспечительный платеж, удержание вещи должника, залог.
- Договор: сущность и значение, понятие, свобода договора, содержание, существенные и иные условия, толкование, виды, организационные договоры, публичные договоры, договоры присоединения, опционные договоры, абонентские договоры, заключение договора, оферта, акцепт, обязательное заключение договора, заключение договора на торгах, преддоговорные соглашения, преддоговорная ответственность, заверения об обстоятельствах, изменение и расторжение договора (основания, способы, порядок, последствия, изменение и расторжение договора в связи с существенным изменением обстоятельств), ответственность за нарушение договорных обязательств (понятия и условия, меры ответственности).
- Обязательства из договора купли-продажи: понятие; виды; предмет; качество товара; комплектность, тара, упаковка товара; обязанности продавца; обязанности покупателя; обязательства из договора розничной купли-продажи (понятие, юридическая природа, существенные условия, субъектный состав, содержание, исполнение, отдельные виды договоров розничной куплипродажи, потребители и их контрагенты, особенности гражданско-правовой защиты потребителей); обязательства из договоров поставки и контрактации (понятие, юридическая природа, существенные условия, субъектный состав, содержание, заключение, исполнение договоров поставки и контрактации; государственный (муниципальный) контракт на поставку товаров для публичных нужд; договоры закупки сельскохозяйственной продукции для государственных нужд); обязательства из договоров купли-продажи энергии и энергоресурсов (понятие, виды, субъектный состав, юридическая природа, существенные условия, заключение, содержание и исполнение, договоров купли-продажи энергии и энергоресурсов; договоры на снабжение через присоединенную сеть); обязательства из договора продажи недвижимости (понятие, юридическая природа, существенные условия, заключение, содержание и исполнение договора продажи недвижимости, переход права собственности на недвижимость по договору, договор продажи предприятия).
- Обязательства из договора мены: понятие, юридическая природа, существенные условия, содержание договора мены, бартерная сделка.
- Обязательства из договора дарения: понятие, юридическая природа, существенные условия, содержание договора дарения, отмена дарения, пожертвование.
- Обязательства из договора аренды: понятие, виды, субъектный состав, юридическая природа, существенные условия, содержание, исполнение и прекращение договора аренды, особенности договора аренды недвижимости (зданий сооружений, предприятий).
- Обязательства из договора финансовой аренды (лизинга): понятие и виды лизинга; понятие, субъектный состав, юридическая природа, существенные условия, содержание и исполнение договора финансовой аренды (лизинга).
- Обязательства из договора безвозмездного пользования (ссуды): понятие, субъектный состав, юридическая природа, существенные условия, содержание, исполнение, изменение, расторжение и прекращение договора ссуды; отличие от сходных договоров.
- Обязательства из договора подряда: понятие, предмет, содержание, исполнение, изменение, расторжение договора; отличие от иных договоров; обязательства из договора строительного подряда (понятие, правовое регулирование отношений строительного подряда, распределение рисков, стороны договора и структура договорных связей, юридическая природа, существенные условия, содержание, изменение, расторжение договора строительного подряда, сдача и приемка результата работ, выполненных по договору строительного подряда, имущественная ответственность за нарушение условий договора строительного подряда, госконтракт на выполнение работ для публичных нужд).
- Обязательства из договора возмездного оказания услуг: отличие от подрядных обязательств, понятие, юридическая природа, существенные условия, содержание, исполнение договора возмездного оказания услуг, разновидности договоров.
- Обязательства из договора хранения: понятие, юридическая природа, содержание договора хранения, обязательства из договора складского хранения, обязательства из специальных видов хранения.
- Обязательства из договора условного депонирования (эскроу): понятие, юридическая природа, существенные условия, содержание, исполнение, прекращение договора, обращение взыскания на депонированное имущество.
- Обязательства из договоров перевозки: виды договорных обязательств; законодательство о перевозках; понятие, виды договоров перевозки; правовое положение перевозчика, грузоотправителя, грузополучателя; обязательства из организационных договоров о перевозках грузов (понятие, юридическая природа, существенные условия, содержание договора об организации перевозок грузов); обязательства из договора перевозки грузов (понятие, виды, юридическая природа, существенные условия, форма, содержание, исполнение договора перевозки груза, ответственность за нарушение исполнения обязательств из договора перевозки грузов, претензии и иски к перевозчику).
- Обязательства из договоров оказания услуг по юридическому посредничеству: понятие договорных услуг по юридическому посредничеству; обязательства из договора поручения (понятие, юридическая природа, существенные условия, содержание, исполнение, прекращение договора поручения); обязательства из договора комиссии (понятие, юридическая природа, существенные условия, содержание, исполнение, прекращение договора комиссии; отдельные виды договоров комиссии); обязательства из агентского договора (понятие, юридическая природа, существенные условия, содержание, исполнение, прекращение агентского договора, отдельные виды агентских договоров).
- Обязательства из договора доверительного управления имуществом: понятие доверительного управления имуществом; субъекты; объекты; понятие, юридическая природа, существенные условия, содержание, исполнение, прекращение договора доверительного управления имуществом.
- Обязательства по страхованию: страхование и страховые обязательства; субъекты; понятие, виды, юридическая природа, существенные условия, содержание, прекращение, расторжение договора страхования; страховой риск, страховая премия, страховые выплаты; обязательства из договоров сострахования, перестрахования; суброгация.
- Обязательства из договора займа: понятие, юридическая природа, существенные условия, содержание, исполнение, прекращение, виды договоров займа.
- Обязательства из кредитного договора: понятие, юридическая природа, существенные условия, содержание, исполнение, прекращение, виды кредитных договоров; отличие от договора займа, договоров товарного и коммерческого кредита.
- Обязательства из договора финансирования под уступку денежного требования (договора факторинга): понятие, юридическая природа, существенные условия, содержание, исполнение, прекращение, виды договоров факторинга.
- Обязательства из договора банковского счета: понятие, юридическая природа, существенные условия, содержание, заключение, исполнение, прекращение, виды договоров банковского счета; списание денежных средств с банковского счета.
- Обязательства из договора банковского вклада (депозита): понятие, юридическая природа, существенные условия, содержание, заключение, исполнение, прекращение, виды договоров банковского вклада.
- Обязательства по безналичным расчетам: понятие расчетных правоотношений и безналичных расчетов; виды обязательств по безналичным расчетам и их юридическая природа; обязательства по расчетам платежными поручениями; обязательства при расчетах по аккредитиву; обязательства при расчетах по инкассо; обязательства по расчетам чеками; обязательства по расчетам с использованием банковских карт.
- Обязательства из договора коммерческой концессии: понятие, юридическая природа, существенные условия, содержание, исполнение, прекращение, ограничение прав сторон договора коммерческой концессии.
- Обязательства из договора простого товарищества: понятие, юридическая природа, существенные условия, участники, содержание, заключение, исполнение, прекращение, виды договоров простого товарищества; вклады товарищей и правовой режим их общего имущества; ведение общих дел и ответственность участников.
- Обязательства из неосновательного обогащения: понятие, условия возникновения, получение недолжного, неосновательное сбережение имущества, содержание, случаи субсидиарного применения обязательств из неосновательного обогащения, соотношение кондикции и реституции, соотношение кондикии и виндикации.
Демоверсия экзаменационного варианта
|
СПИСОК ЛИТЕРАТУРЫ
- Белов, В. А. Гражданское право в 2 т. Том 1. Общая часть : учебник для вузов / В. А. Белов. — Москва : Издательство Юрайт, 2025. — 451 с. — (Высшее образование). — ISBN 978-5-534-00327-7. — Текст : электронный // Образовательная платформа Юрайт [сайт]. — URL: https://urait.ru/bcode/561537.
- Михайленко, Е. М. Гражданское право. Общая часть : учебник и практикум для вузов / Е. М. Михайленко. — 3-е изд., перераб. и доп. — Москва : Издательство Юрайт, 2025. — 390 с. — (Высшее образование). — ISBN 978-5-534-07853-4. — Текст : электронный // Образовательная платформа Юрайт [сайт]. — URL: https://urait.ru/bcode/560133.
- Предпринимательское право. Правовое регулирование отдельных видов предпринимательской деятельности : учебник и практикум для вузов / под редакцией Г. Ф. Ручкиной. — 4-е изд., перераб. и доп. — Москва : Издательство Юрайт, 2025. — 553 с. — (Высшее образование). — ISBN 978-5-534-14490-1. — Текст : электронный // Образовательная платформа Юрайт [сайт]. — URL: https://urait.ru/bcode/567962.
- Шаблова, Е. Г. Актуальные проблемы гражданского и предпринимательского права : учебник для вузов / Е. Г. Шаблова. — Москва : Издательство Юрайт, 2025. — 84 с. — (Высшее образование). — ISBN 978-5-534-17440-3. — Текст : электронный // Образовательная платформа Юрайт [сайт]. — URL: https://urait.ru/bcode/564256.
- Кашанина, Т. В. Корпоративное право : учебное пособие для вузов / Т. В. Кашанина. — Москва : Издательство Юрайт, 2025. — 189 с. — (Высшее образование). — ISBN 978-5-9916-0890-9. — Текст : электронный // Образовательная платформа Юрайт [сайт]. — URL: https://urait.ru/bcode/510572.
Правовые основы деятельности в сфере топливно-энергетического комплекса
ПРОГРАММА
вступительного испытания
для поступающих в магистратуру по направлению подготовки
40.04.01 «Юриспруденция»
программа (профиль)
«Юрист в сфере топливно-энергетического комплекса»
ОБЩИЕ ПОЛОЖЕНИЯ
Вступительное испытание предназначено для определения практической и теоретической подготовленности поступающего в магистратуру и проводится с целью определения соответствия знаний умений и навыков требованиям обучения магистратуры по направлению подготовки 40.04.01 «Юриспруденция» профиля «Юрист в сфере топливно-энергетического комплекса» (магистратура).
Программа составлена в соответствии с требованиями федерального государственного образовательного стандарта высшего профессионального образования.
Вступительные испытания в магистратуру проводят экзаменационные комиссии, назначенные председателем приёмной комиссии УУНиТ.
ПРОЦЕДУРА ВСТУПИТЕЛЬНОГО ИСПЫТАНИЯ
Дата и время проведения вступительного испытания определяются расписанием вступительных испытаний, которое утверждается председателем приемной комиссии.
Перед вступительным испытанием для поступающих проводится консультация по содержанию программы испытания, критериям оценки, предъявляемым требованиям, правилам поведения на испытании.
Форма вступительного испытания (в соответствии Положением о вступительных испытаниях УУНиТ): устно-письменная.
Экзаменационные билеты включают три вопроса по настоящей программе вступительных испытаний.
В аудитории, где проводится вступительное испытание в устно-письменной форме, не может находиться одновременно более 6 человек. Нахождение в аудитории посторонних лиц не допускается.
Вступительное испытание может проводиться с применением дистанционных технологий с использованием ВКС.
В случае проведения вступительного испытания с применением дистанционных технологий с использованием ВКС обязанность обеспечить наличие соответствующей технической возможности (в том числе наличие устройств для ВКС и Интернет-соединения) возлагается на абитуриента.
Абитуриенту предоставляется право готовиться к ответу в течение 30 минут.
Абитуриенту предоставляется право ответа на экзаменационные вопросы в течение 20-25 минут.
В процессе сдачи вступительного испытания абитуриенту могут быть заданы дополнительные вопросы как по содержанию экзаменационного билета, так и по любым разделам предмета в пределах программы вступительного испытания.
Абитуриент, не согласный с оценкой, полученной на ВИ и (или) в связи с нарушением процедуры проведения ВИ имеет право подать апелляцию. Процедура подачи и рассмотрения апелляции регламентируется Положением об апелляционной комиссии УУНиТ.
КРИТЕРИИ ОЦЕНИВАНИЯ ОТВЕТА
Критериями оценки экзаменационного ответа, поступающего в магистратуру являются полнота, логичность, доказательность, прочность, осознанность знаний и теоретическая обоснованность суждений, самостоятельность в интерпретации информации, практическая направленность, уровень овладения профессиональными умениями и др.
Результаты вступительного испытания определяются по 100-балльной шкале, разброс баллов представлен ниже в таблице:
|
№ |
Критерии оценивания |
Оценка |
|---|---|---|
|
1 |
Дан полный развернутый ответ на теоретический вопрос, в том числе грамотно использована научная терминология; четко сформулирована проблема, доказательно аргументированы выдвигаемые тезисы, указаны основные точки зрения, принятые в научной литературе по рассматриваемому вопросу; аргументирована собственная позиция или точка зрения, обозначены наиболее значимые в данной области научно-исследовательские проблемы. |
75-100 баллов «отлично» |
|
2 |
Дан в целом правильный ответ на теоретический вопрос:
|
46-74 балла «хорошо» |
|
3 |
Дан в основном правильный ответ на теоретический вопрос:
|
25-45 баллов «удовлетворительно» |
|
4 |
Дан фрагментарный ответ или неправильный ответ на теоретический вопрос из предложенного тематического раздела, в том числе отмечается наличие существенных пробелов в знаниях; отмечается отсутствие знания терминологии, научных оснований, признаков, характеристик рассматриваемой проблемы;
|
0-24 балла «неудовлетворительно» |
СОДЕРЖАНИЕ РАЗДЕЛОВ И ТЕМ ПРОГРАММЫ ВСТУПИТЕЛЬНОГО ИСПЫТАНИЯ
- Понятие и элементы механизма государства. Аппарат государства.
- Понятие, признаки и виды органов государства.
- Принцип разделения властей в механизме современного государства.
- Система права: понятие, структурные элементы.
- Органы государства: понятие, виды принципы организации и деятельности.
- Норма права: понятия, признаки, структура.
- Формы систематизации права: учет, инкорпорация, консолидация и кодификация.
- Механизм правового регулирования: понятие, структура, стадии.
- Действие нормативных правовых актов во времени, пространстве и по кругу лиц.
- Нормативный договор как источник права.
- Правовой обычай как источник права.
- Понятие и виды юридических фактов.
- Толкование права. Понятие, приемы, способы толкования.
- Основные подходы к соотношению национального и международного права.
- Правоприменительная деятельность: понятия, принципы, стадии.
- Акты применения права: понятие, общая характеристика, виды и требования.
- Субъекты-участники правоотношений.
- Правосубъектность, правоспособность, дееспособность, деликтоспособностъ.
- Виды юридической ответственности.
- Субъекты правоотношений (юридические лица): история и теоретические основы института юридического лица.
- Юридические лица: классификация, виды.
- Особенности правового положения акционерного общества.
- Особенности правового положения общества с ограниченной ответственностью.
- Правовой статус субъекта предпринимательской деятельности: общая характеристика.
- Корпоративный договор: сущность и значение.
- Понятие и классификация корпоративных объединений ведения предпринимательской деятельности.
- Общие положения о несостоятельности (банкротстве): понятие, признаки, процедура.
- Право государственной собственности на природные ресурсы.
- Понятие и виды имущества в предпринимательской деятельности.
- Понятие и классификация права пользования недрами.
- Лицензия на пользование недрами: понятие и правовая природа.
- Правовое регулирование конкуренции в предпринимательской деятельности: общая характеристика.
- Понятие и виды сделок.
- Формы сделок и последствия её несоблюдения. Государственная регистрация сделок.
- Свобода договора и его пределы, автономия воли и баланс интересов сторон.
- Понятие и содержание права собственности.
- Правовой режим земель: понятие, элементы.
- Основы правового регулирования обращения с отходами производства и потребления.
- Основы правового регулирования охраны атмосферного воздуха.
- Юридическая ответственность за экологические правонарушения: понятие и виды.
- Понятие и особенности правового регулирования внешнеэкономической деятельности.
Демоверсия экзаменационного варианта
|
СПИСОК ЛИТЕРАТУРЫ
- Комаров, С. А. Общая теория государства и права : учебник для вузов / С. А. Комаров. – 10-е изд., испр. и доп. – Москва : Издательство Юрайт, 2025. – 528 с. – (Высшее образование). – ISBN 978-5-534-15392-7. – Текст : электронный // Образовательная платформа Юрайт [сайт]. – URL: https://urait.ru/bcode/562992
- Теория государства и права : учебник для вузов / под редакцией В. К. Бабаева. – 5-е изд., перераб. и доп. – Москва : Издательство Юрайт, 2024. – 620 с. – (Высшее образование). – ISBN 978-5-534-16788-7. – Текст : электронный // Образовательная платформа Юрайт [сайт]. – URL: https://urait.ru/bcode/535520
- Пиголкин, А. С. Теория государства и права : учебник для вузов / А. С. Пиголкин, А. Н. Головистикова, Ю. А. Дмитриев ; под редакцией А. С. Пиголкина, Ю. А. Дмитриева. – 4-е изд., перераб. и доп. – Москва : Издательство Юрайт, 2025. – 516 с. – (Высшее образование). – ISBN 978-5-534-01323-8. – Текст : электронный // Образовательная платформа Юрайт [сайт]. – URL: https://urait.ru/bcode/559574
- Теория государства и права для обучающихся по специальности «Правоохранительная деятельность» : учебное пособие для вузов / Р. А. Ромашов [и др.] ; под редакцией Р. А. Ромашова, Е. Л. Харьковского. – Москва : Издательство Юрайт, 2025. – 441 с. – (Высшее образование). – ISBN 978-5-534-11815-5. – Текст : электронный // Образовательная платформа Юрайт [сайт]. – URL: https://urait.ru/bcode/518431.
Правовые основы уголовного судопроизводства
ПРОГРАММА
вступительного испытания
для поступающих в магистратуру по направлению подготовки
40.04.01 «Юриспруденция»
программа (профиль)
«Юрист в сфере уголовного судопроизводства»
ОБЩИЕ ПОЛОЖЕНИЯ
Вступительное испытание предназначено для определения практической и теоретической подготовленности поступающего в магистратуру и проводится с целью определения соответствия знаний умений и навыков требованиям обучения магистратуры по направлению подготовки 40.04.01 «Юриспруденция» профиля «Юрист в сфере уголовного судопроизводства» (магистратура).
Программа составлена в соответствии с требованиями федерального государственного образовательного стандарта высшего профессионального образования.
Вступительные испытания в магистратуру проводят экзаменационные комиссии, назначенные председателем приёмной комиссии УУНиТ.
ПРОЦЕДУРА ВСТУПИТЕЛЬНОГО ИСПЫТАНИЯ
Дата и время проведения вступительного испытания определяются расписанием вступительных испытаний, которое утверждается председателем приемной комиссии.
Перед вступительным испытанием для поступающих проводится консультация по содержанию программы испытания, критериям оценки, предъявляемым требованиям, правилам поведения на испытании.
Форма вступительного испытания (в соответствии Положением о вступительных испытаниях УУНиТ): устно-письменная.
Экзаменационные билеты включают три вопроса по настоящей программе вступительных испытаний.
В аудитории, где проводится вступительное испытание в устно-письменной форме, не может находиться одновременно более 6 человек. Нахождение в аудитории посторонних лиц не допускается.
Вступительное испытание может проводиться с применением дистанционных технологий с использованием ВКС.
В случае проведения вступительного испытания с применением дистанционных технологий с использованием ВКС обязанность обеспечить наличие соответствующей технической возможности (в том числе наличие устройств для ВКС и Интернет-соединения) возлагается на абитуриента.
Абитуриенту предоставляется право готовиться к ответу в течение 30 минут.
Абитуриенту предоставляется право ответа на экзаменационные вопросы в течение 20-25 минут.
В процессе сдачи вступительного испытания абитуриенту могут быть заданы дополнительные вопросы как по содержанию экзаменационного билета, так и по любым разделам предмета в пределах программы вступительного испытания.
Абитуриент, не согласный с оценкой, полученной на ВИ и (или) в связи с нарушением процедуры проведения ВИ имеет право подать апелляцию. Процедура подачи и рассмотрения апелляции регламентируется Положением об апелляционной комиссии УУНиТ.
КРИТЕРИИ ОЦЕНИВАНИЯ ОТВЕТА
Критериями оценки экзаменационного ответа, поступающего в магистратуру являются полнота, логичность, доказательность, прочность, осознанность знаний и теоретическая обоснованность суждений, самостоятельность в интерпретации информации, практическая направленность, уровень овладения профессиональными умениями и др.
Результаты вступительного испытания определяются по 100-балльной шкале, разброс баллов представлен ниже в таблице:
|
№ |
Критерии оценивания |
Оценка |
|---|---|---|
|
1 |
Дан полный развернутый ответ на теоретический вопрос, в том числе грамотно использована научная терминология; четко сформулирована проблема, доказательно аргументированы выдвигаемые тезисы, указаны основные точки зрения, принятые в научной литературе по рассматриваемому вопросу; аргументирована собственная позиция или точка зрения, обозначены наиболее значимые в данной области научно-исследовательские проблемы. |
75-100 баллов «отлично» |
|
2 |
Дан в целом правильный ответ на теоретический вопрос:
|
46-74 балла «хорошо» |
|
3 |
Дан в основном правильный ответ на теоретический вопрос:
|
25-45 баллов «удовлетворительно» |
|
4 |
Дан фрагментарный ответ или неправильный ответ на теоретический вопрос из предложенного тематического раздела, в том числе отмечается наличие существенных пробелов в знаниях; отмечается отсутствие знания терминологии, научных оснований, признаков, характеристик рассматриваемой проблемы;
|
0-24 балла «неудовлетворительно» |
СОДЕРЖАНИЕ РАЗДЕЛОВ И ТЕМ ПРОГРАММЫ ВСТУПИТЕЛЬНОГО ИСПЫТАНИЯ
Уголовное право. Общая часть
- Понятие уголовного права как отрасли права, его предмет, методы, задачи, система.
- Принципы уголовного права: понятие и значение. Содержание принципов российского уголовного законодательства: законности, равенства граждан перед законом, вины, справедливости, гуманизма.
- Источники уголовного права.
- Структура норм и статей уголовного закона. Понятия диспозиции и санкции уголовно-правовой нормы. Виды диспозиций и санкций.
- Действие уголовного закона во времени. Обратная сила уголовного закона.
- Действие уголовного закона в пространстве.
- Понятие и признаки преступления, отличие преступления от иных правонарушений.
- Категории преступлений. Уголовно-правовое значение категоризации (классификации) преступлений по характеру и степени общественной опасности.
- Основание уголовной ответственности. Понятие и значение состава преступления. Элементы и признаки состава преступления.
- Понятие и значение объекта преступления.
- Предмет преступления: понятие, значение, соотношение с объектом преступления, а также с орудиями и средствами совершения преступления.
- Понятие и признаки субъекта преступления. Субъект преступления и личность преступника.
- Понятие, содержание и значение объективной стороны преступления.
- Общественно опасное действие или бездействие как внешний акт поведения. Понятие общественно опасного действия и его признаки. Понятие общественно опасного бездействия и его признаки. Условия уголовной ответственности за общественно опасное бездействие.
- Понятие, содержание и значение субъективной стороны преступления.
- Понятие, признаки и уголовно-правовое значение множественности преступлений. Отграничение множественности от единичных преступлений - длящихся, продолжаемых, сложных (составных).
- Совокупность преступлений как форма множественности преступлений: понятие, виды, уголовно-правовое значение.
- Рецидив преступлений как форма множественности преступлений: понятие, виды, уголовно-правовое значение.
- Оконченное преступление. Момент окончания отдельных видов преступлений (с материальным составом, с формальным составом, длящихся, продолжаемых, сложных (составных), совершаемых в соучастии).
- Понятие и виды неоконченного преступления, основание и пределы уголовной ответственности за неоконченное преступление.
- Понятие и признаки соучастия в преступлении.
- Необходимая оборона. Условия правомерности. Мнимая оборона. Превышение пределов необходимой обороны.
- Понятие и признаки наказания. Цели наказания.
- Система наказаний в действующем УК РФ. Основные и дополнительные виды наказаний.
- Смертная казнь как исключительная мера наказания. Вопрос о применении смертной казни в России в современный период.
- Лишение свободы, его виды. Назначение осужденным к лишению свободы вида исправительного учреждения.
- Штраф.
- Обязательные работы.
- Общие начала назначения наказания.
- Амнистия и помилование: порядок применения, уголовно-правовые последствия.
Уголовное право. Особенная часть
- Убийство (ст.105 УК РФ).
- Умышленное причинение тяжкого вреда здоровью (ст.111 УК РФ).
- Умышленное причинение средней тяжести вреда здоровью (ст.112 УК РФ).
- Умышленное причинение легкого вреда здоровью (ст.115 УК РФ).
- Кража (ст.158 УК РФ).
- Мошенничество (ст.159 УК РФ).
- Присвоение или растрата (ст.160 УК РФ).
- Грабеж (ст.161 УК РФ).
- Разбой (ст.162 УК РФ).
- Вымогательство (ст.163 УК РФ).
- Неправомерное завладение автомобилем или иным транспортным средством без цели хищения (ст.166 УК РФ).
- Легализация (отмывание) денежных средств или иного имущества, приобретенных другими лицами преступным путем (ст.174 УК РФ).
- Легализация (отмывание) денежных средств или иного имущества, приобретенных лицом в результате совершения им преступления (ст.1741 УК РФ).
- Изготовление, хранение, перевозка или сбыт поддельных денег или ценных бумаг (ст.186 УК РФ).
- Уклонение физического лица от уплаты налогов, сборов и (или) физического лица - плательщика страховых взносов от уплаты страховых взносов.
- Уклонение от уплаты налогов, сборов, подлежащих уплате организацией, и (или) страховых взносов, подлежащих уплате организацией - плательщиком страховых взносов.
- Коммерческий подкуп (ст.204 УК РФ).
- Террористический акт (ст.205 УК РФ).
- Захват заложника (ст.206 УК РФ).
- Бандитизм (ст.209 УК РФ).
- Хулиганство (ст.213 УК РФ).
- Незаконные приобретение, передача, сбыт, хранение, перевозка или ношение оружия, его основных частей, боеприпасов (ст.222 УК РФ).
- Незаконные приобретение, хранение, перевозка, изготовление, переработка наркотических средств, психотропных веществ или их аналогов, а также незаконные приобретение, хранение, перевозка растений, содержащих наркотические средства или психотропные вещества, либо их частей, содержащих наркотические средства или психотропные вещества (ст.228 УК РФ).
- Незаконные производство, сбыт или пересылка наркотических средств, психотропных веществ или их аналогов, а также незаконные сбыт или пересылка растений, содержащих наркотические средства или психотропные вещества, либо их частей, содержащих наркотические средства или психотропные вещества (ст.2281 УК РФ).
- Контрабанда наркотических средств, психотропных веществ, их прекурсоров или аналогов, растений, содержащих наркотические средства, психотропные вещества или их прекурсоры, либо их частей, содержащих наркотические средства, психотропные вещества или их прекурсоры, инструментов или оборудования, находящихся под специальным контролем и используемых для изготовления наркотических средств или психотропных веществ (ст.2291 УК РФ).
- Нарушение правил дорожного движения и эксплуатации транспортных средств (ст.264 УК РФ).
- Злоупотребление должностными полномочиями (ст.285 УК РФ).
- Превышение должностных полномочий (ст.286 УК РФ).
- Получение взятки (ст.290 УК РФ).
- Дача взятки (ст.291 УК РФ).
Уголовный процесс
- Понятие и назначение уголовного процесса.
- Структура уголовного процесса. Понятие и система стадий уголовного процесса.
- Принцип презумпции невиновности в уголовном процессе.
- Состязательность сторон как принцип уголовного процесса.
- Суд как участник уголовного процесса.
- Прокурор в уголовном процессе. Основные направления деятельности, права и обязанности.
- Процессуальное положение следователя и дознавателя. Руководитель следственного органа. Начальник подразделения дознания. Начальник органа дознания.
- Потерпевший в уголовном процессе.
- Процессуальное положение подозреваемого и обвиняемого.
- Защитник в уголовном процессе (лица, которые допускаются в качестве защитника; момент возникновения права на защитника; приглашение, назначение и замена защитника; обязательное участие защитника; его права и обязанности; отказ от защитника).
- Субъекты уголовного процесса, выполняющие вспомогательные функции.
- Понятие, цель и элементы доказывания в уголовном процессе.
- Предмет и пределы доказывания в уголовном процессе.
- Виды доказательств в уголовном процессе. Общая характеристика требований, предъявляемых к доказательствам.
- Понятие, значение, основания и порядок задержания подозреваемого.
- Меры пресечения в уголовном судопроизводстве (понятие, условия, основания, виды и процессуальный порядок их избрания, изменения и отмены).
- Поводы и основания для возбуждения уголовного дела.
- Предварительная проверка сообщений о преступлении, ее способы и сроки. Порядок возбуждения уголовного дела.
- Место, сущность, система и значение стадии предварительного расследования. Формы предварительного расследования.
- Окончание предварительного расследования с составлением обвинительного акта, обвинительного постановления и обвинительного заключения. Полномочия прокурора по поступившему к нему уголовному делу с обвинительным заключением, обвинительным актом и обвинительным постановлением.
- Место, понятие, сущность, структура и значение стадии подготовки дела к судебному разбирательству.
- Место, понятие, сущность структура, задачи и значение стадии судебного разбирательства в суде первой инстанции.
- Понятие и виды приговоров. Требования, предъявляемые к приговору.
- Особый порядок принятия судебного решения при согласии обвиняемого с предъявленным ему обвинением, при заключении досудебного соглашения о сотрудничестве.
- Значение, задачи и процедура апелляционного пересмотра уголовных дел. Решения, принимаемые судом апелляционной инстанции.
- Значение, задачи и процедура кассационного пересмотра уголовных дел. Решения, принимаемые судом кассационной инстанции.
- Значение, задачи пересмотра судебных решений судом надзорной инстанции. Пределы прав суда надзорной инстанции.
- Значение, сущность и основания возобновления производства по уголовному делу ввиду новых или вновь открывшихся обстоятельств.
- Особенности производства по уголовным делам в отношении несовершеннолетних.
- Особенности производства о применении принудительных мер медицинского характера.
Криминалистика
- Предмет и задачи криминалистики. Криминалистика в системе юридических наук.
- Понятие и виды криминалистических версий. Правила построения и проверки криминалистических версий.
- Понятие и научные основы идентификации. Принципы криминалистической идентификации.
- Понятие и научные основы трасологии. Классификация следов в трасологии.
- Общие правила обнаружения, фиксации и изъятия следов.
- Понятие документов и их криминалистическое значение. Признаки письма.
- Объекты криминалистической идентификации. Понятие и классификация идентификационных признаков.
- Понятие, задачи и система криминалистической тактики.
- Соотношение планирования и организации расследования. Виды и принципы планирования расследований.
- Основания и формы взаимодействия следователя с оперативно-розыскными органами. Тактические основы взаимодействия.
- Понятие и структура криминалистической характеристики преступлений. Её значение для расследования преступлений.
- Понятие и виды следственного осмотра, их характеристика.
- Этапы (стадии) осмотра места происшествия.
- Понятие и подготовка к обыску. Тактические приемы обыска.
- Тактические основы допроса в различных следственных ситуациях.
- Тактические особенности допроса на очной ставке.
- Понятие, виды и цели допроса. Формирование показаний.
- Тактические особенности допроса с участием несовершеннолетнего подозреваемого и обвиняемого.
- Тактические основы проверки показаний на месте.
- Тактические особенности опознания живых лиц и трупов.
- Понятие, виды и задачи следственного эксперимента.
- Следственные ситуации и направления расследования. Классификация следственных ситуаций.
- Криминалистическая характеристика взяточничества. Следственные ситуации на первоначальном этапе расследования.
- Типичные следственные ситуации по делам об убийствах. Следственные версии и планирование расследования по этим делам.
- Проверочные действия и решение вопроса о возбуждении уголовного дела при исчезновении человека и предположении об его убийстве.
- Криминалистическая характеристика изнасилований. Типичные следственные версии.
- Особенности расследования краж чужого имущества. Первоначальные следственные действия и оперативно-розыскные мероприятия.
- Особенности первоначального этапа расследования дел о преступных нарушениях правил безопасности труда. Типичные следственные ситуации.
- Особенности расследования убийств, совершаемых с расчленением трупа, его уничтожением или сокрытием. Типичные следственные ситуации.
- Неотложные следственные и оперативно-розыскные действия при задержании с поличным и при иных следственных ситуациях, возникающих по делам о взятках.
- Первоначальные следственные действия и оперативно-розыскные мероприятия по делам о преступных нарушениях правил безопасности дорожного движения.
- Понятие специальных знаний и формы их использования при расследовании преступлений.
- Правовое регулирование государственной экспертной деятельности.
- Организация, структура и функции судебно- экспертных учреждений в РФ и РБ.
- Общее и различия в деятельности специалиста и эксперта.
- Взаимодействие следователя с экспертом в процессе экспертного исследования.
- Производство экспертизы в судебно-экспертном и вне судебно-экспертного учреждения.
- Основания и порядок назначения экспертизы. Подготовка к производству экспертизы.
- Классификация судебных экспертиз
- Оценка и использование заключения эксперта.
- Понятие, виды и возможности трасологических экспертиз.
- Понятие, виды и возможности судебно-баллистической экспертизы.
- Назначение и подготовка материалов для почерковедческой экспертизы.
- Назначение и производство экспертиз по делам о поджогах и преступных нарушениях правил противопожарной безопасности.
- Назначение и проведение экспертиз по делам об убийствах.
Демоверсия экзаменационного варианта
|
СПИСОК ЛИТЕРАТУРЫ
- Уголовное право. Общая часть : учебник для вузов / ответственные редакторы А. В. Наумов, А. Г. Кибальник. — 6-е изд., перераб. и доп. — Москва : Издательство Юрайт, 2025. — 448 с. — (Высшее образование). — ISBN 978-5-534-18585-0. — Текст : электронный // Образовательная платформа Юрайт [сайт]. — URL: https://urait.ru/bcode/562612.
- Уголовное право. Общая часть. Краткий курс : учебник для вузов / под редакцией И. Я. Козаченко. — 3-е изд., перераб. и доп. — Москва : Издательство Юрайт, 2025. — 375 с. — (Высшее образование). — ISBN 978-5-534-18050-3. — Текст : электронный // Образовательная платформа Юрайт [сайт]. — URL: https://urait.ru/bcode/560020.
- Боровиков, В. Б. Уголовное право. Особенная часть : учебник для вузов / В. Б. Боровиков, А. А. Смердов ; под редакцией В. Б. Боровикова. — 7-е изд., перераб. и доп. — Москва : Издательство Юрайт, 2025. — 479 с. — (Высшее образование). — ISBN 978-5-534-20004-1. — Текст : электронный // Образовательная платформа Юрайт [сайт]. — URL: https://urait.ru/bcode/557446.
- Уголовное право. Особенная часть : учебник для вузов / ответственные редакторы А. В. Наумов, А. Г. Кибальник. — 6-е изд., перераб. и доп. — Москва : Издательство Юрайт, 2025. — 564 с. — (Высшее образование). — ISBN 978-5-534-18550-8. — Текст : электронный // Образовательная платформа Юрайт [сайт]. — URL: https://urait.ru/bcode/563340.
- Уголовно-процессуальное право Российской Федерации. Общая часть : учебник для вузов / Г. М. Резник [и др.] ; под общей редакцией Г. М. Резника. — 4-е изд., перераб. и доп. — Москва : Издательство Юрайт, 2023. — 452 с. — (Высшее образование). — ISBN 978-5-534-16631-6. — Текст : электронный // Образовательная платформа Юрайт [сайт]. — URL: https://urait.ru/bcode/531402
- Уголовно-процессуальное право Российской Федерации. Особенная часть : учебник для вузов / Г. М. Резник [и др.] ; ответственный редактор Г. М. Резник. — 4-е изд., перераб. и доп. — Москва : Издательство Юрайт, 2023. — 526 с. — (Высшее образование). — ISBN 978-5-534-16632-3. — Текст : электронный // Образовательная платформа Юрайт [сайт]. — URL: https://urait.ru/bcode/531403
- Яблоков, Н. П. Криминалистика в 5 т. Том 1. История криминалистики : учебник для вузов / Н. П. Яблоков, И. В. Александров ; под общей редакцией И. В. Александрова. — Москва : Издательство Юрайт, 2025. — 205 с. — (Высшее образование). — ISBN 978-5-534-08438-2. — Текст : электронный // Образовательная платформа Юрайт [сайт]. — URL: https://urait.ru/bcode/565006.
- Эксархопуло, А. А. Криминалистика : учебник для вузов / А. А. Эксархопуло, И. А. Макаренко, Р. И. Зайнуллин. — Москва : Издательство Юрайт, 2025. — 477 с. — (Высшее образование). — ISBN 978-5-534-16976-8. — Текст : электронный // Образовательная платформа Юрайт [сайт]. — URL: https://urait.ru/bcode/568574.
Управление инновационным развитием
ПРОГРАММА
вступительного испытания
для поступающих в магистратуру по направлению подготовки
38.04.01 «Экономика»
программа (профиль)
«Управление инновационным развитием»
ОБЩИЕ ПОЛОЖЕНИЯ
Вступительные испытания предназначены для определения практической и теоретической подготовленности поступающего в магистратуру и проводятся с целью определения соответствия знаний умений и навыков требованиям обучения магистратуры по направлениям подготовки 38.04.01 «Экономика» (магистратура). Программа составлена в соответствии с требованиями федерального государственного образовательного стандарта высшего профессионального образования.
Вступительные испытания в магистратуру проводят экзаменационные комиссии, назначенные председателем приёмной комиссии УУНиТ.
ПРОЦЕДУРА ВСТУПИТЕЛЬНОГО ИСПЫТАНИЯ
Дата и время проведения вступительного испытания и консультации определяются расписанием вступительных испытаний, которое утверждается председателем приемной комиссии.
Перед вступительным испытанием для поступающих проводится консультация по содержанию программы испытания, критериям оценки, предъявляемым требованиям, правилам поведения на испытании.
Форма вступительного испытания (в соответствии Положением о вступительных испытаниях УУНИТ): тестирование.
Вступительные испытания в виде электронного тестирования проводятся в соответствии с программами вступительных испытаний, утверждаемых председателем предметной комиссии.
Вступительные испытания в форме тестирования включают вопросы как закрытого, так и открытого типа, а также задания в аудио- и видеоформатах.
Составление вариантов экзаменационных заданий в форме электронных тестов осуществляется ответственным секретарем приемной комиссии университета.
Из вариантов экзаменационных заданий формируются комплекты вопросов-тестов.
Компоновку комплектов вопросов-тестов ответственный секретарь, заместитель ответственного секретаря производят до вступительных испытаний.
Тест содержит 40 тестовых вопросов.
Результаты испытаний оцениваются по 100 бальной шкале.
Абитуриент, не согласный с оценкой, полученной на ВИ и (или) в связи с нарушением процедуры проведения ВИ имеет право подать апелляцию. Процедура подачи и рассмотрения апелляции регламентируется Положением об апелляционной комиссии УУНиТ.
КРИТЕРИИ ОЦЕНИВАНИЯ ОТВЕТА
Критериями оценки экзаменационного ответа, поступающего в магистратуру являются полнота, логичность, доказательность, прочность, осознанность знаний и теоретическая обоснованность суждений, самостоятельность в интерпретации информации, практическая направленность, уровень овладения профессиональными умениями менеджера и др. В случае тестирования является правильные ответы на тестовые задания.
При проверке количество первичных баллов переводится в итоговую 100 балльную шкалу через информационную платформу университета.
СОДЕРЖАНИЕ РАЗДЕЛОВ И ТЕМ ПРОГРАММЫ ВСТУПИТЕЛЬНОГО ИСПЫТАНИЯ
Экономическая теория. Микроэкономика. Макроэкономика.
- Виды ресурсов в экономической теории. Безграничность потребностей и редкость ресурсов как фундаментальные предпосылки экономической науки.
- Кривая производственных возможностей (КПВ). Редкость, выбор, альтернативная стоимость, эффективность.
- Типы экономических систем и их характеристика. Координация выбора в различных экономических системах.
- Рынок, его виды, функции, структура, условия возникновения. Субъекты и объекты рынка.
- Рыночная экономика, условия ее возникновения. Роль государства в рыночной экономике.
- Свойства товара, двойственный характер труда товаропроизводителей.
- Закономерности возникновения денег. Функции денег. Количество денег, необходимое для обращения товаров.
- Фирма как рыночный агент. Формы предпринимательской деятельности без образования и с образованием юридического лица. Акционерные общества.
- Человек и экономика. Модели человека в экономической теории.
- Основные характеристики индустриального и постиндустриального общества.
- Спрос, предложение и рыночное равновесие. Формы вмешательства государства в функционирование рыночного механизма.
- Эластичность спроса по цене. Точечная эластичность и эластичность на отрезке (дуговая). Перекрестная эластичность. Эластичность спроса по доходу.
- Эластичность предложения по цене. Практическое применение теории эластичности.
- Понятие и виды полезности. Закон убывания предельной полезности. Состояние равновесия потребителя.
- Производственная функция. Виды производственных функций, закон убывающей отдачи переменного фактора. Виды отдачи от масштаба производства.
- Особенности функционирования предприятий на рынках совершенной и несовершенной конкуренции.
- Зарплата как цена труда. Особенности деятельности профсоюзов на рынке труда. Двусторонняя монополия на рынке труда.
- Типы и фазы экономических циклов. Классическая и кейнсианская трактовки циклических колебаний.
- Макроэкономическое равновесие в модели «AD-AS». Шоки спроса. Шоки предложения.
- Понятие экономического роста. Необходимость, типы, факторы и показатели экономического роста. Измерение экономического роста.
Экономика, организация и управление бизнесом
- Организационно-правовые формы организации бизнеса.
- Основные средства предприятия: понятие и классификация. Сущность амортизации и методы ее начисления. Производственная мощность предприятия.
- Оборотный капитал предприятия: понятие, состав и структура. Методы определения потребности в оборотных средствах и показатели оборачиваемости.
- Нематериальные активы предприятия: понятие, признаки и методы начисления амортизации.
- Персонал организации, его структура и движение. Производительность труда. Системы оплаты труда.
- Сущность и функция цены как фактора экономической категории, система цен и их классификация.
- Основные показатели оценки хозяйственно-экономической деятельности предприятия: порядок определения.
- Подходы к определению эффективности. Критерии эффективности управления организацией.
- Внешняя и внутренняя среда организационной системы. Анализ внутренней среды организации.
- Организационные структуры управления. Типовая управленческая структура на промышленных предприятиях.
- Сегментирование рынка: понятие, основные признаки. Выбор целевого сегмента. Уровни формирования портрета целевой аудитории.
- Основные аспекты товарной политики. Понятие и уровни товара в маркетинге, классификация товаров. Жизненный цикл товара, особенности управления им по этапам. Особенности выведения нового товара на рынок.
- Конкурентоспособность товара, методы ее оценки. Позиционирование товара.
- Анализ ликвидности. Коэффициент абсолютной ликвидности, текущей ликвидности, быстрой ликвидности. Степень платежеспособности
- Анализ финансовой устойчивости. Коэффициент автономии, Коэффициент обеспеченности собственными оборотными средствами. Понятие собственного оборотного капитала
- Анализ отчета о финансовых результатах. Анализ уровня и динамики финансовых результатов. Анализ формирования и использования прибыли.
- Анализ деловой активности предприятия. Показатели рентабельности. Показатели оборачиваемости. Фондоемкость, фондоотдача.
- Способы обработки экономической информации. Источники информации для проведения финансового анализа
- Денежный поток и его виды. Сущность и основные модели анализа денежных потоков.
- Бизнес-план как основной инструмент управления бизнесом.
Управление инновационной деятельностью. Экономика инноваций.
- Нововведение как результат сложных взаимодействий. Сущность инноваций и их взаимосвязь с другими экономическими категориями.
- Признаки инноваций. Инновации как источник удовлетворения общественных потребностей. Виды и формы инноваций
- Сущность, понятие и виды инновационной деятельности. Сущность и этапы инновационного процесса. Модели инновационного процесса. Диффузия инноваций
- Субъекты инновационной деятельности. Инновационная деятельность частных лиц. Инновационная деятельность юридических лиц. Государство как участник инновационной деятельности.
- Инновационная инфраструктура, формы и виды объектов инфраструктурного обеспечения инновационной деятельности.
- Характеристика основных организационных форм инновационной деятельности. Формирование прогрессивных организационных структур
- Государственное регулирование инновационной деятельности. Государственная инновационная политика. Методы государственного регулирования в инновационной сфере.
- Понятие, сущность, виды инновационных проектов и программ. Этапы создания и реализации инновационных проектов и программ.
- Определение и особенности инновационной стратегии. Виды инновационных стратегий. Стратегии конкурентного поведения.
- Экономическая сущность инвестиций и их виды.
- Венчурные инвестиции. Венчурные инновационные организации.
- Методы оценки и учета эффективности инвестиций. Классические и современные методы оценки эффективности инвестиционных проектов. Социальная, бюджетная, экологическая эффективность.
- Разработка и реализация эффективной стратегии по привлечению инвестиций. Оптимизация структуры капитала. Цена капитала. Особенности финансирования инновационных проектов.
- Экономическая сущность и классификация рисков. Факторы риска. Виды рисков инновационно-инвестиционных проектов.
- Инструментарий оценки рисков: случайные события, случайная величина, вероятности случайной величины, математическое ожидание случайной величины, коэффициент вариации, законы распределений
- Методы управления рисками. Стратегии управления рисками. Методы уклонения от риска. Методы локализации риска. Методы диссипации риска. Методы компенсации риска.
- Основные методы анализа и оценки рисков инновационно-инвестиционных проектов.
- Макроэкономические предпосылки и закономерности цифровой трансформации инновационной деятельности. Цифровые технологии, используемые в стратегической инновационной деятельности.
- Технологические основы цифровизации. Основные технологии, формирующие основу цифровизации экономики: облачные вычисления, большие данные, искусственный интеллект, Интернет вещей и другие. Влияние цифровизации на традиционные отрасли экономики.
- Вызовы и риски цифровой трансформации. Меры государственной поддержки цифровизации, законодательных инициатив, образовательных программ и стратегий, направленных на стимулирование перехода к цифровой экономике.
Демоверсия экзаменационного варианта
- Какие издержки являются постоянными?
Выберите один ответ:
-
- издержки, не изменяющиеся в течение года
- издержки, не изменяющиеся при изменении цен на сырье и материалы
- издержки, не изменяющиеся при изменении объема выпускаемой продукции
- издержки, не изменяющиеся в процессе производства данной продукции
- Если цена на яблоки повысится, то как изменится величина спроса на яблоки при прочих равных условиях?
Выберите один ответ:
-
- повысится
- понизится
- не изменится
- недостаточно данных для того, чтобы ответить
- У школьника Сергея мама работает врачом (заработная плата в месяц – 60 тыс. руб.), папа – профессор в университете (заработная плата в месяц – 60 тыс. руб.). В условиях пандемии мама работала в «красной» зоне, при этом заработная плата ее увеличилась на 75%, а папу перевели на удаленный режим работы с увеличением заработной платы на 25 %. Как изменился доход семьи в условиях пандемии?
Выберите один ответ:
-
- не изменился
- увеличился на 25%
- увеличился на 50%
- невозможно определить
- Сопоставьте название показателя с его определением
|
Валовой оборот |
Стоимость всех производимых на предприятиях готовых изделий и полуфабрикатов независимо от того, предназначены ли они для отпуска на сторону, для переработки или для другого использования на самом предприятии, а также сюда входит изменение остатков незавершенного производства во всех подразделениях. |
|
Валовая продукция:
|
Стоимость всех готовых изделий и полуфабрикатов, изготовленных в отчетном периоде из своего материала и материала заказчика, а также стоимость выполненных работ за вычетом стоимости готовых изделий и полуфабрикатов собственного производства, потребленных в своем производстве. |
|
Товарная (готовая) продукция |
Стоимость продукции, которая прошла весь цикл обработки, соответствует предъявляемым требованиям, принята заказчиком, готова к отгрузке потребителю |
|
Реализованная продукция |
Стоимость отгруженной или сданной заказчику на месте продукции, выполненных работ и оказанных услуг, на которые заказчиком предъявлены расчетные документы, причем моментом реализации считается поступление денежных средств на расчетный счет или в кассу предприятия |
- При оценке инвестиционного портфеля фирмы между показателями NPV, PI IRR и CC имеются очевидные взаимосвязи. Выделите правильные соответствия.
|
если NPV = 0, |
IRR = CC PI =1 |
|
если NPV < 0, |
IRR <CC PI < 1 |
|
если NPV > 0, |
RR > CC PI >1 |
- Сопоставьте понятия этапов инновационного процесса с их определениями:
|
Инициация инновации |
Научно-техническая, экспериментальная, или организационная деятельность, целью которой является зарождение инновационного процесса |
|
Диффузия инновации |
Процесс распространения инновации за счет фирм – последователей (имитаторов) |
|
Рутинизация инновации |
Приобретение инновацией со временем таких свойств, как стабильность, устойчивость, постоянство и, в конечном итоге, – моральное старение инновации |
- Является ли верным утверждение «Существуют три типа рыночных структур: совершенная конкуренция, олигополия, монополия» (да/нет).
СПИСОК ЛИТЕРАТУРЫ
- Абрамов В. И., Бойко П. А., Осипов В. С, Эриашвили Н. Д., Турманидзе Т. У Финансовый менеджмент: учебник /. Москва: Юнити-Дана. 2023. 2-е изд., перераб. и доп. -272 с. https://biblioclub.ru/index.php?page=book&id=700164.
- Аксянова А. В., А. В. Морозов, В. О. Моисеев, В. Р. Галеева [и др.]. Экономика предприятия: учебное пособие : [16+] /- Казань: Казанский национальный исследовательский технологический университет (КНИТУ), 2021. - 304 с. - Библиогр. в кн. ISBN 978-5-7882-3006-1.: ил., табл. - URL: https://biblioclub.ru/index.php?page=book&id=699807.
- Беляев Ю. М. Инновационный менеджмент: учебник / Москва: Дашков и К°. 2022. 4-е изд., стер. - 219 с. https://biblioclub.ru/index.php?page=book&id=621843.
- Бойцова, Е. Ю. Экономическая теория: макроэкономика, микроэкономика. Актуальные проблемы : учебник и практикум для вузов / Е. Ю. Бойцова, Н. К. Вощикова. – 3-е изд., перераб. и доп. – Москва : Издательство Юрайт, 2024. – 339 с. – (Высшее образование). – ISBN 978-5-534-18817-2. // Образовательная платформа Юрайт [сайт]. – URL: https://urait.ru/bcode/551728.
- Булатов А. С. [и др.] Макроэкономика : учебник для вузов /; под редакцией А. С. Булатова. – 3-е изд., испр. и доп. – Москва : Издательство Юрайт, 2024. – 333 с. – (Высшее образование). – ISBN 978-5-534-06407-0.// Образовательная платформа Юрайт [сайт]. –URL: https://urait.ru/bcode/536015.
- Волков, О. И. Экономика предприятия : учебное пособие / О.И. Волков, В.К. Скляренко. – 2-е изд. – Москва: ИНФРА-М, 2023. – 264 с.
- Глотко А. В., Р. Т. Адарина, О. Н. Третьякова ; под общ. ред. А. В. Глотко [и др.]. Микроэкономика: учебное пособие : [16+] /-Новосибирск : Золотой колос, 2019. - 133 с. : ил., табл. - Режим доступа: по подписке. - URL: https://biblioclub.ru/index.php?page=book&id=616067.
- Горфинкель, В. Я. Инновационный менеджмент: учебник / под ред. В.Я. Горфинкеля, Т.Г. Попадюк. – 4-е изд., перераб. и доп. – Москва: Вузовский учебник: ИНФРА-М, 2021. – 380с.
- Дармилова Ж. Д. Инновационный менеджмент: учебное пособие / Москва: Дашков и К°. 2022.3-е изд., стер. - 168 с.
- Ермилова М. И., Грызунова Н. В., Косов М. Е., Церцеил Ю. С. Финансовый менеджмент: учебник / Москва: Юнити-Дана. 2023. - 256 с. https://biblioclub.m/index.prm?page=book&id=712620.
- Журавлева Г. П., В. В. Громыко, М. И. Забелина [и др.] Экономическая теория : микроэкономика-1, 2, мезоэкономика : учебник / ; под общ. ред. Г. П. Журавлевой ; Российский экономический университет им. Г.В. Плеханова. - 12-е изд., стер. - Москва : Дашков и К°, 2024. 934 с. : ил., табл. URL: https://biblioclub.ru/index.php?page=book&id=710939.
- Картина Л. А., А. А. Вовк, С. Л. Лебедева, О. Е. Михненко [и др.]. Цифровая экономика : учебник /- Москва : Прометей, 2020. - 223 с. : схем., табл., ил. - URL: https://biblioclub.ru/index.php?page=book&id=612054.
- Коршунов, В. В. Экономика организации (предприятия): учебник и практикум для вузов / В. В. Коршунов. – 6-е изд., перераб. и доп. – Москва : Издательство Юрайт, 2024. – 363 с. – (Высшее образование). – ISBN 978-5-534-16408-4. // Образовательная платформа Юрайт [сайт]. – URL: https://urait.ru/bcode/535674.
- Котлер, Ф. Маркетинг от А до Я: 80 концепций, которые должен знать каждый менеджер : учебное пособие / Ф. Котлер [и др.]. - 10-е изд. - Москва: Альпина Паблишер, 2021. - 211 с. - ISBN 978-5-9614-6745-1.
- Маслова Е. Л. Менеджмент: учебник / Москва: Дашков и К° 2024 5-е изд. - 332 с. https://biblioclub.ru/index.php?page=book&id=711137.
- Набоков В. И. Менеджмент: учебник / Москва: Дашков и К°. 2024. 2-е изд. -186 с. https://biblioclub.ru/index.php?page=book&id=709857.
- Резник, Г. А. Маркетинг: учебное пособие / Г.А. Резник. – 4-е изд., перераб. и доп. – Москва : ИНФРА-М, 2023. – 199 с. – (Высшее образование: Бакалавриат). – DOI 10.12737/1242303. - ISBN 978-5-16-016830-2.
- Сидорова Е. Ю., О. Т. Шипкова, Е. Н. Елисеева [и др.] Основы цифровой экономики и трансформации бизнеса: учебник /. - Москва: Общество с ограниченной ответственностью "Издательство "КноРус", 2023.-260 с. -ISBN 978-5-406-10523-8. -EDN NFPHCB.
- Спиридонова, Е. А. Управление инновациями : учебник и практикум для вузов / Е. А. Спиридонова. – Москва : Издательство Юрайт, 2021. – 298 с.
- Шипкова О. Т., Е. Н. Елисеева, А. А. Кузьмина, С. А. Ульянова. Цифровая экономика: учебник /- Москва : Общество с ограниченной ответственностью "Русайнс", 2024. - 146 с. - ISBN 978-5-466-07893-0. - EDN RDUOVA.
Физическая география
ПРОГРАММА
вступительного испытания
для поступающих в магистратуру по направлению подготовки
05.04.02 «География»
программа (профиль)
«Организация и географическая экспертиза проектов»
ОБЩИЕ ПОЛОЖЕНИЯ
Вступительные испытания предназначены для определения практической и теоретической подготовленности, поступающего в магистратуру, и проводятся с целью определения соответствия знаний умений и навыков требованиям обучения магистратуры по направлению подготовки 05.04.02 «География» (магистратура). Программа составлена в соответствии с требованиями федерального государственного образовательного стандарта высшего профессионального образования.
Вступительные испытания в магистратуру проводят экзаменационные комиссии, назначенные председателем приёмной комиссии УУНиТ.
ПРОЦЕДУРА ВСТУПИТЕЛЬНОГО ИСПЫТАНИЯ
Дата и время проведения вступительного испытания и консультации определяются расписанием вступительных испытаний, которое утверждается председателем приемной комиссии.
Перед вступительным испытанием для поступающих проводится консультация по содержанию программы испытания, критериям оценки, предъявляемым требованиям, правилам поведения на испытании.
Форма вступительного испытания (в соответствии Положением о вступительных испытаниях УУНИТ): тестирование.
Вступительные испытания в виде электронного тестирования проводятся в соответствии с программами вступительных испытаний, утверждаемых председателем предметной комиссии.
Вступительные испытания в форме тестирования включают вопросы как закрытого, так и открытого типа, а также задания в аудио- и видеоформатах.
Составление вариантов экзаменационных заданий в форме электронных тестов осуществляется ответственным секретарем приемной комиссии университета.
Из вариантов экзаменационных заданий формируются комплекты вопросов-тестов.
Компоновку комплектов вопросов-тестов ответственный секретарь, заместитель ответственного секретаря производят до вступительных испытаний.
Тест содержит 40 тестовых вопросов.
Результаты испытаний оцениваются по 100 бальной шкале.
Абитуриент, не согласный с оценкой, полученной на ВИ и (или) в связи с нарушением процедуры проведения ВИ имеет право подать апелляцию. Процедура подачи и рассмотрения апелляции регламентируется Положением об апелляционной комиссии УУНиТ.
КРИТЕРИИ ОЦЕНИВАНИЯ ОТВЕТА
Критериями оценки экзаменационного ответа, поступающего в магистратуру, являются полнота, логичность, доказательность, прочность, осознанность знаний и теоретическая обоснованность суждений, самостоятельность в интерпретации информации, практическая направленность, уровень овладения профессиональными умениями менеджера и др. В случае тестирования является правильные ответы на тестовые задания.
При проверке количество первичных баллов переводится в итоговую 100 балльную шкалу через информационную платформу университета.
СОДЕРЖАНИЕ РАЗДЕЛОВ И ТЕМ ПРОГРАММЫ ВСТУПИТЕЛЬНОГО ИСПЫТАНИЯ
Землеведение
1. Введение в землеведение. Земля во вселенной
2. Место общего землеведения в системной классификации географических наук
3. Сферы Земли: литосфера, атмосфера, гидросфера, биосфера, педосфера
4. Географическая оболочка. Общие законы географической оболочки
5. Общие законы географической оболочки
Геоморфология с основами геологии
- Геологические методы исследования. Связь геологии с другими геологическими науками. Общие сведения о строении Земли. Структурная геология и рельеф. Основные структурные элементы земной коры и их мегарельеф
- Методы исследования. Связь геоморфологии с другими геологическими науками. Общие сведения о рельефе
- Рельефообразующие (геодинамические) процессы
- Особенности рельефообразования в пределах горных и равнинных стран
- Геоморфологические исследования и геоморфологическое картографирование
Климатология с основами метеорологии
1. Воздух и атмосфера
2. Вода в атмосфере
3. Атмосферная циркуляция
4. Климатообразование
5. Климаты Земли
Гидрология
1. Гидросфера: общие сведения, происхождение и формирование
2. Мировой океан: его части, физико-химические свойства и водные массы. Экологические проблемы Мирового океана.
3. Реки и их распространение на земном шаре
4. Гидрология озер и водохранилищ
5. Гидрология болот
География почв с основами почвоведения
1. Общее почвоведение: понятие, история развития и методы изучения почв
2. Морфологические признаки почв
3.Почвообразовательный процесс: виды, факторы и условия почвообразования
4. Классификация, систематика и номенклатура почв
5. Общие закономерности формирования и распространения почв
Биогеография
1. Основные понятия биогеографии.
2. Ареал. Реликты, эндемики.
3. Биогеографическое районирование
4. Типы биомов суши
5.Биогеография морей и океанов
Ландшафтоведение
1. Этапы развития ландшафтоведения. Концептуальные основы ландшафтоведения
2. Структура земной оболочки. Региональная и локальная дифференциация ландшафтной сферы Земли. Природные компоненты ландшафта
3. Функционально-динамические аспекты учения о ландшафте. Систематика ландшафтов. Типы ландшафтов Земли
4. Учение о природно-антропогенных ландшафтах. Антропогенизация ландшафтной сферы Земли.
5. Культурный ландшафт
Топография с основами геодезии
1. Топографические карты и планы: структура, классификация, содержание, способы изображения
2. Системы координат и ориентирных углов
3. Разграфка и номенклатура топографических карт и планов
4. Топокартометрия
5. Топосъемка местности: сущность, виды, способы
Картография
1. История возникновения и развития картографии
2. Структура, классификация и типология карт
3. Математическая основа карт
4. Картографические способы изображения карт
5. Составление и применение карт
Природно-территориальные комплексы России: закономерности развития и современное состояние
1. Особенности физико-географического положения России. Моря, омывающие территорию России
2. Особенности рельефа России. Тектоническое строение и история геологического развития территории России. Древние оледенения на территории России. Связь полезных ископаемых с геологическим и тектоническим строением
3. Климат России. Факторы формирования климата. Характеристика основных сезонов года. Климатическое районирование и типы климатов
4. Внутренние воды. Реки России. Распределение речного стока по бассейнам. Особенности питания рек. Климатические типы рек. Озера России и их размещение по территории. Происхождение озерных котловин. Режим озер. Распространение многолетней мерзлоты. Современное оледенение на территории России
5. Условия почвообразования на территории России. Основные типы почв России. Размещение основных типов растительности по территории России. Животный мир России. Охрана растительного и животного мира
Природно-территориальные комплексы мира: закономерности развития и современное состояние
1. Глобальные физико-географические закономерности Земли
2. Тектоническое строение и история геологического развития материков и океанов. Рельеф
3. Климат мира. Факторы формирования климата. Характеристика основных сезонов года. Климатическое районирование и типы климатов
4. Поверхностные воды. Воды Мирового океана
5. Почвенно-растительный покров и животный мир. Условия почвообразования, основные типы почв. Размещение основных типов растительности. Животный мир. Охрана растительного и животного мира
Физическая география Республики Башкортостан
1. Физико-географическое положение Республики Башкортостан. Площадь и протяженность территории. Административные и природные границы. Крайние точки
2. Геолого-тектоническое строение, история геологического развития, полезные ископаемые и рельеф
3. Климат. Климатообразующие факторы. Оценка климатообразующих факторов и климата Республики Башкортостан
4. Поверхностные воды. Реки. Озера. Водохранилища. Болота. Подземные воды
5. Почвенный покров. Растительный покров и животный мир. Ландшафтные комплексы Республики Башкортостан. Уникальность и сохранность ландшафтов. Особо охраняемые природные территории Республики Башкортостан
Демоверсия экзаменационного варианта
Пробный тест
- Южные границы России главным образом проходят:
1. По низменностям
2. По крупным речным долинам, по горным хребтам
3. Не привязаны к природным рубежам
4. По берегам морей
2. Цокольные равнины в пределах России характерны для:
1. Западной окраины Западной Сибири
2. Средней Сибири
3. Карелии
4. Кольского полуострова
3. Установите соответствие между формами передачи иноязычных названий и вариантами написания столицы Франции на русскоязычных картах:
1. Пари А. официальная форма
2. Париж Б. транслитерация
3. Парис В. традиционная форма
4. Paris Г. фонетическая форма
Варианты ответов: 1) 1-Г, 2-В, 3-Б, 4-А; 2) 1-В, 2-Г, 3-Д, 4-А; 3) 1-Д, 2-В, 3-А, 4-Б; 4) 1-Б, 2-В, 3-Г, 4-А
4. Как называются значительные площади Среднесибирского плоскогорья, занятые вулканическими породами, которые при врезании в них рек и выветривании образуют ступенчатые склоны?
5. На сколько районов делят Крымский полуостров по физико-географическим особенностям?
СПИСОК ЛИТЕРАТУРЫ
- Атлас Республики Башкортостан / Правительство Республики Башкортостан; редкол. Р. И. Байдавлетов, Б. Г. Колбин, М. Ф. Хисматов, И. М. Япаров. - Уфа: Башкортостан, 2005.- 419 c.
- Берлянт А.М. Картография. 2-е издание, исправленное и дополненное. М.: КДУ, 2010.-328 с.
- Ворончихина Е. А. Основы ландшафтоведения: учебник для среднего профессионального образования / Е. А. Ворончихина. - Москва: Издательство Юрайт, 2025. - 210 с.
- Второв П.П., Дроздов Н.Н. Биогеография. - М.: Изд-во ВЛАДОС-ПРЕСС, 2001.-304 с.
- Ганжара Н.Ф. Почвоведение. - М.: Агроконсалт, 2001. - 392 с.
- Картоведение /под. ред. Берлянт А.М/ М.: Аспект Пресс, 2003.- 447 с.
- Кондратьева Т.И., Романова Э.П. Физическая география материков. Северная Америка. Южная Америка. Африка. Австралия и Океания. Антарктида. Т. 1, кн. 2. М.: Издательский центр «Академия» - 2014. - 399 с.
- Кривцов В.А. Физическая география и ландшафты России [Электронный ресурс]. - Рязань, 2016. - 418с.
- Любов М.С. Физическая география России: общая и региональная часть. - Арзамас: Арзамасский филиал ННГУ, 2015. - 183 с.
- Метеорология и климатология: учебник, 7-е изд./С.П. Хромов, М.А. Петросянец. - М.: - Изд-во Моск. ун-та: Наука, 2006. – 582с.
- Нигматуллин А. Ф.; Адельмурзина И. Ф. География Республики Башкортостан. Ч.1: Методические указания по выполнению практических работ для студентов 4 курса географического факультета. Уфа: РИЦ БашГУ, 2017https://elib.bashedu.ru/dl/read/Nigmatullin_Adelmurzina_sost_Geografija%20RB_Ch%201_mu_2017.pdf/info
- Раковская Э. М. Физическая география России. - М.: Владос. Ч. 2: Азиатская часть, Кавказ и Урал. - 2001. - 304 с.
- Раковская Э. М. Физическая география России. М.: Владос. Ч. 1: Общий обзор. Европейская часть и островная Арктика. - 2003. - 288 с.
- Романова Э.П., Алексеева Н.Н., Аршинова М.А. Физическая география материков и океанов. Т. 1. Кн. 1: Дифференциация и развитие ландшафтов суши Земли. Европа. Азия. — М.: Издательский центр «Академия», 2014. -464 с.
- Рычагов Г. И. Геоморфология: учебник для академического бакалавриата / Г. И. Рычагов. - 4-е изд. - Москва: Издательство Юрайт, 2025. - 389 с.
- Салищев К.А. Картоведение. 3-е издание, исправленное и дополненное. М.: МГУ, 1990.-400 с.
- Салищев К.А. Картография. 3-е издание, исправленное и дополненное. М.: Высшяя школа, 1987.-272 с.
- Физическая география материков и океанов. Учебник. Под общей ред. А.М. Рябчикова. – М.: Высшая школа, 1988. – 592 с.
- Червяков, М. Ю. Гидрология суши: учебное пособие / М. Ю. Червяков. – Саратов: СГУ, 2019. – 68 с. – ISBN 978-5-292-04559-5. – Текст: электронный // Лань: электронно-библиотечная система. – URL: https://e.lanbook.com/book/148846.
- Чернов А. В. Общее землеведение: учебник для вузов / А. В. Чернов. -Москва: Издательство Юрайт, 2025. - 544 с.
Биология и экология
ПРОГРАММА
вступительного испытания
для поступающих в магистратуру по направлению подготовки
06.04.01 «Биология»
программы (профиль)
«Экологическая безопасность и охрана окружающей среды»,
«Медицинская биология»
ОБЩИЕ ПОЛОЖЕНИЯ
Вступительные испытания предназначены для определения практической и теоретической подготовленности поступающего в магистратуру и проводятся с целью определения соответствия знаний умений и навыков требованиям обучения магистратуры по направлению подготовки 06.04.01 «Биология» (магистратура). Программа составлена в соответствии с требованиями федерального государственного образовательного стандарта высшего профессионального образования.
Вступительные испытания в магистратуру проводят экзаменационные комиссии, назначенные председателем приёмной комиссии УУНиТ.
ПРОЦЕДУРА ВСТУПИТЕЛЬНОГО ИСПЫТАНИЯ
Дата и время проведения вступительного испытания и консультации определяются расписанием вступительных испытаний, которое утверждается председателем приемной комиссии.
Перед вступительным испытанием для поступающих проводится консультация по содержанию программы испытания, критериям оценки, предъявляемым требованиям, правилам поведения на испытании.
Форма вступительного испытания (в соответствии Положением о вступительных испытаниях УУНИТ): устно-письменная.
Вступительные испытания в виде устного, устно-письменного, устного с элементами тестирования проводятся в соответствии с программами вступительных испытаний, утверждаемых председателем приемной комиссии.
Экзаменационные билеты включают два или три вопроса по направлению подготовки (по специальности).
В аудитории, где проводится вступительное испытание в устной форме, не может находиться одновременно более 6 человек. Нахождение в аудитории посторонних лиц не допускается.
Абитуриенту предоставляется право готовиться к ответу в течение 30 минут.
Абитуриенту предоставляется право ответа на экзаменационные вопросы в течение 20-25 минут.
В процессе сдачи вступительного испытания абитуриенту могут быть заданы дополнительные вопросы как по содержанию экзаменационного билета, так и по любым разделам предмета в пределах программы вступительного испытания.
Абитуриент, не согласный с оценкой, полученной на ВИ и (или) в связи с нарушением процедуры проведения ВИ имеет право подать апелляцию. Процедура подачи и рассмотрения апелляции регламентируется Положением об апелляционной комиссии УУНиТ.
КРИТЕРИИ ОЦЕНИВАНИЯ ОТВЕТА
Критериями оценки экзаменационного ответа, поступающего в магистратуру являются полнота, логичность, доказательность, прочность, осознанность знаний и теоретическая обоснованность суждений, самостоятельность в интерпретации информации, практическая направленность, уровень овладения профессиональными умениями менеджера и др. В случае тестирования является правильные ответы на тестовые задания.
Результаты вступительного испытания определяются по 100-балльной шкале, разброс баллов представлен ниже в таблице:
|
№ |
Критерии оценивания |
Оценка |
|
1 |
Дан полный развернутый ответ на теоретический вопрос:
|
85-100 баллов «отлично» |
|
2 |
Дан в целом правильный ответ на теоретический вопрос:
|
67-84 балла «хорошо» |
|
3 |
Дан в основном правильный ответ на теоретический вопрос:
|
50-66 баллов «удовлетворительно» |
|
4 |
Дан фрагментарный ответ или неправильный ответ на теоретический вопрос из предложенного тематического раздела:
|
0-49 баллов «неудовлетворительно» |
СОДЕРЖАНИЕ РАЗДЕЛОВ И ТЕМ ПРОГРАММЫ ВСТУПИТЕЛЬНОГО ИСПЫТАНИЯ
Физиология человека и животных
Классификация тканей человека. Эпителиальные, соединительные, мышечные и нервные ткани. Особенности их строения и функции. Скелетные: мышцы, строение, функции и классификация. Работа мышц. Рефлекс и рефлекторная дуга. Внутренняя среда организма: кровь, тканевая жидкость, лимфа. Понятие о гомеостазе. Группы крови. Иммунитет. Кровообращение. Сердце, строение и работа. Автоматия сердца. Нервная и гуморальная регуляция деятельности сердца. Сосуды, их строение. Движение крови по сосудам. Большой и малый круги кровообращения. Дыхание. Значение дыхания. Органы дыхания, их строение и функции. Газообмен в легких и тканях. Дыхательные движения. Жизненная емкость легких. Гуморальная и нервная регуляция дыхания. Пищеварение. Питательные вещества и пищевые продукты. Ферменты и их роль в пищеварении. Строение органов пищеварения. Понятие о нейрогуморальной регуляции процесса пищеварения. Печень, поджелудочная железа и их роль в пищеварении. Выделение. Значение выделения продуктов обмена веществ. Органы мочевыделительной системы. Функции почек. Кожа. Строение и функции кожи. Роль кожи в регуляции теплоотдачи. Нервная система. Значение нервной системы. Строение и функции спинного мозга и отделов головного мозга: продолговатого, среднего, промежуточного, мозжечка. Большие полушария головного мозга. Кора больших полушарий. Понятие о вегетативной нервной системе. Анализаторы. Строение и функции органа зрения. Строение и функции органа слуха. Высшая нервная деятельность. Безусловные и условные рефлексы. Образование и биологическое значение условных рефлексов. Торможение условных рефлексов. Роль И.М. Сеченова и И.П. Павлова в создании учения о высшей нервной деятельности, его сущность. Сознание и мышление человека как функции высших отделов головного мозга. Железы внутренней секреции. Гормоны, их свойства, классификация и влияние на организм. Особенности гуморальной регуляции организма.
Цитология
Клеточная теория, ее основные положения. Общий план строения клетки. Клетка про- и эукариот. Строение и функции плазматической мембраны. Клеточное ядро, основные элементы его строения, функций. Цитоплазма, органоиды клетки, их строение и функции. Белки, их строение и функции в клетке. Уровни структурной организации белков. Ферменты, их классификация, механизмы действия и роль в процессах жизнедеятельности. Витамины, их значение. Нуклеиновые кислоты, их виды, строение и функции. Реакции матричного синтеза. Биосинтез белков и нуклеиновых кислот. Ген и его роль в биосинтезе. Код ДНК. Липиды и углеводы, их строение и функции в клетке. Энергетический обмен в клетке, его сущность и этапы. Фотосинтез. Структура и функциональное значение фотосинтетического аппарата. Биологическая роль фотосинтеза. Значение АТФ в энергетическом обмене. Вирусы, особенности строения и жизнедеятельности. Клеточный цикл. Подготовка клетки к делению. Митоз, мейоз, их характеристика и значение.
Генетика
Хромосомы, их гаплоидный и диплоидный набор, постоянство числа и формы. Половое и бесполое размножение организмов. Половые клетки. Мейоз. Развитие яйцеклеток и сперматозоидов. Оплодотворение. Развитие зародыша (на примере животных). Постэмбриональное развитие. Основные закономерности наследственности и изменчивости организмов, их цитологические основы. Моно- и дигибридное скрещивание. Законы наследственности, установленные Г. Менделем. Доминантные и рецессивные признаки. Аллельные гены. Фенотип и генотип. Гомозигота и гетерозигота. Единообразие первого поколения. Промежуточный характер наследования. Закон расщепления признаков. Систематический характер явлений расщепления. Цитологические основы единообразия первого поколения и расщепления во втором поколении. Закон независимого наследования и его цитологические основы. Сцепленное наследование. Нарушение сцепления. Перекрест хромосом. Генотип как целостная исторически сложившаяся система. Генетика пола. Хромосомная теория наследственности. Роль генотипа и условий внешней среды в формировании фенотипа, кодификационная изменчивость. Норма реакции. Статические закономерности модификационной изменчивости. Мутации, их причины. Закон гомологических рядов наследственной изменчивости. Экспериментальное получение мутаций. Мутации как материал для искусственного и естественного отбора. Генетические основы селекции растений, животных и микроорганизмов. Задачи современной селекции. Н.И. Вавилов о происхождении культурных растений. Значение исходного материала для селекции. Селекция растений. Основные методы селекции: гибридизация и искусственный отбор. Роль естественного отбора в селекции. Самоопыление перекрестноопыляемых растений. Гетерозис. Полиплоидия и отдаленная гибридизация. Достижения селекции растений. Селекция животных. Типы скрещивания и методы разведения. Отдаленная гибридизация домашних животных. Селекция бактерий, грибов, ее значение для микробиологической промышленности. Основные направления биотехнологии (микробиологическая промышленность, генная и клеточная инженерия).
Эволюционное учение
Основные положения эволюционного учения Ч. Дарвина. Значение теории эволюции для развития естествознания. Критерии вида. Популяция - единица вида и эволюции. Понятие сорта растений и породы животных. Движущие силы эволюции: наследственность, борьба за существование, изменчивость, естественный отбор. Ведущая роль естественного отбора в эволюции. Искусственный отбор и наследственная изменчивость - основа выведения пород домашних животных и сортов культурных растений. Создание новых высокопродуктивных пород животных и сортов растений. Возникновение приспособлений. Относительный характер приспособленности. Микроэволюция. Видообразование. Результаты эволюции: приспособленность организмов, многообразие видов. Использование теории эволюции в сельскохозяйственной практике и в деле охраны природы. Доказательства эволюции органического мира. Главные направления эволюции. Ароморфоз, идиоадаптация. Соотношение различных направлений эволюции. Биологический прогресс и регресс. Краткая история развития органического мира. Основные ароморфозы в эволюции органического мира. Основные направления эволюции покрытосеменных, насекомых, птиц и млекопитающих в кайнозойскую эру. Влияние деятельности человека на многообразие видов, природные сообщества, их охрана. Движущие силы антропогенеза: социальные и биологические факторы. Люди древнейшие, древние и современного типа.
Экология
Понятие экологической ниши. Комплексное воздействие факторов на организм. Ограничивающие факторы. Фотопериодизм. Вид, его экологическая характеристика. Популяция, виды популяций. Факторы, вызывающие изменение численности популяции, способы ее регулирования. Рациональное использование видов, сохранение их разнообразия. Экосистема. Основные абиотические и биотические факторы. Цепи питания. Правило экологической пирамиды. Сукцессия. Климат. Агроценозы. Повышение продуктивности агроценозов. Биосфера, ее границы. Эволюция биосферы. Живое вещество, его функции. Биогеохимические круговороты. Виды круговоротов (циклов), их антропогенные нарушения. Проблемы окружающей среды: защита от загрязнения, сохранение эталонов и памятников природы, видового разнообразия, биоценозов, ландшафтов.
Демоверсия экзаменационного варианта
|
МИНИСТЕРСТВО НАУКИ И ВЫСШЕГО ОБРАЗОВАНИЯ РОССИЙСКОЙ ФЕДЕРАЦИИ ФЕДЕРАЛЬНОЕ ГОСУДАРСТВЕННОЕ БЮДЖЕТНОЕ ОБРАЗОВАТЕЛЬНОЕ УЧРЕЖДЕНИЕ ВЫСШЕГО ОБРАЗОВАНИЯ «УФИМСКИЙ УНИВЕРСИТЕТ НАУКИ И ТЕХНОЛОГИЙ» |
|
|
Вступительные испытания: по направлению 06.04.01 Биология, профиль «Экологическая безопасность и охрана окружающей среды»/«Медицинская биология» |
|
|
Экзаменационный билет № 12
|
|
|
Дата утверждения: __.__.______ |
Заведующий кафедрой ______________________________ |
СПИСОК ЛИТЕРАТУРЫ
- Агафонова И.Б., Сивоглазов В.И. Биология 10 класс. – М.: Изд-во Дрофа. 2023.
- Агафонова И.Б., Сивоглазов В.И. Биология 11 класс. – М.: Изд-во Дрофа. 2023.
- Беляев Д.К., Дымшиц Г.М., Кузнецова Л.Н. и др.; Под редакцией Беляева Д.К., Дымшица Г.М. Биология 10 класс – М.: Изд-во Просвещение. 2023.
- Беляев Д.К., Дымшиц Г.М., Кузнецова Л.Н. и др.; Под редакцией Беляева Д.К., Дымшица Г.М. Биология 11 класс – М.: Изд-во Просвещение. 2023.
- Вахрушев А.А., Бурский О.В., Раутиан А.С., Родионова Е.И., Розанов М.Н. Биология 10-11 класс – М.: Изд-во Баласс. 2023.
- Каменский А.А., Касперская Е.К., Сивоглазов В.И. Биология 10 класс – М.: Изд-во Просвещение. 2023.
- Каменский А.А., Касперская Е.К., Сивоглазов В.И. Биология 11 класс – М.: Изд-во Просвещение. 2023.
- Пасечник В.В., Каменский А.А., Рубцов А.М. и др. Под редакцией Пасечника В.В. Биология 10 класс – М.: Изд-во Просвещение. 2023.
- Пасечник В.В., Каменский А.А., Рубцов А.М. и др. Под редакцией Пасечника В.В. Биология 11 класс – М.: Изд-во Просвещение. 2023.
- Кириленко А.А. "Биология. ЕГЭ. 10-11-е классы. Генетика. Все типы задач. Тренировочная тетрадь". М. Изд-во Легион, 2023 г.- 80 с
- Лернер Г.И. ЕГЭ Биология. Новый полный справочник для подготовки к ЕГЭ – М.: АСТ, 2023.-352 с.
- Рохлов В.С. ЕГЭ-2024. Биология. Типовые экзаменационные варианты. 30 вариантов – М.: Национальное образование, 2024.-358 с.
Археология
МИНИСТЕРСТВО НАУКИ И ВЫСШЕГО ОБРАЗОВАНИЯ
РОССИЙСКОЙ ФЕДЕРАЦИИ
ФЕДЕРАЛЬНОЕ ГОСУДАРСТВЕННОЕ БЮДЖЕТНОЕ ОБРАЗОВАТЕЛЬНОЕ УЧРЕЖДЕНИЕ ВЫСШЕГО ОБРАЗОВАНИЯ
«УФИМСКИЙ УНИВЕРСИТЕТ НАУКИ И ТЕХНОЛОГИЙ»
ПРОГРАММА
вступительного испытания
для поступающих в магистратуру по направлению подготовки
46.04.04 «Археология»
программа (профиль)
«Цифровая археология»
ОБЩИЕ ПОЛОЖЕНИЯ
Вступительные испытания предназначены для определения практической и теоретической подготовленности поступающего в магистратуру и проводятся с целью определения соответствия знаний, умений и навыков требованиям обучения магистратуры по направлению подготовки 46.04.04 «Археология» (магистратура). Программа составлена в соответствии с требованиями федерального государственного образовательного стандарта высшего профессионального образования.
Вступительные испытания в магистратуру проводят экзаменационные комиссии, назначенные председателем приёмной комиссии УУНиТ.
ПРОЦЕДУРА ВСТУПИТЕЛЬНОГО ИСПЫТАНИЯ
Дата и время проведения вступительного испытания и консультации определяются расписанием вступительных испытаний, которое утверждается председателем приемной комиссии.
Перед вступительным испытанием для поступающих проводится консультация по содержанию программы испытания, критериям оценки, предъявляемым требованиям, правилам поведения на испытании.
Форма вступительного испытания (в соответствии Положением о вступительных испытаниях УУНИТ): тестирование.
Вступительные испытания в виде электронного тестирования проводятся в соответствии с программами вступительных испытаний, утверждаемых председателем предметной комиссии.
Вступительные испытания в форме тестирования включают вопросы как закрытого, так и открытого типа, а также задания в аудио- и видеоформатах.
Составление вариантов экзаменационных заданий в форме электронных тестов осуществляется ответственным секретарем приемной комиссии университета.
Из вариантов экзаменационных заданий формируются комплекты вопросов-тестов.
Компоновку комплектов вопросов-тестов ответственный секретарь, заместитель ответственного секретаря производят до вступительных испытаний.
Тест содержит 40 тестовых вопросов.
Результаты испытаний оцениваются по 100 бальной шкале.
Абитуриент, не согласный с оценкой, полученной на ВИ и (или) в связи с нарушением процедуры проведения ВИ имеет право подать апелляцию. Процедура подачи и рассмотрения апелляции регламентируется Положением об апелляционной комиссии УУНиТ.
КРИТЕРИИ ОЦЕНИВАНИЯ ОТВЕТА
Критериями оценки экзаменационного ответа, поступающего в магистратуру являются полнота, логичность, доказательность, прочность, осознанность знаний и теоретическая обоснованность суждений, самостоятельность в интерпретации информации, практическая направленность, уровень овладения профессиональными умениями менеджера и др. В случае тестирования является правильные ответы на тестовые задания.
При проверке количество первичных баллов переводится в итоговую 100 балльную шкалу через информационную платформу университета.
СОДЕРЖАНИЕ РАЗДЕЛОВ И ТЕМ ПРОГРАММЫ ВСТУПИТЕЛЬНОГО ИСПЫТАНИЯ
Основы археологии и археологическое источниковедение
Этапы развития человеческого общества. Развитие представлений о периодизации первобытной истории от середины XIX в. до современности. Археологическая периодизация. История археологической мысли. Термины, отражающие ключевые события первобытной истории человечества и исследователи, которые их ввели. Специальная терминология, использующаяся в археологических исследованиях. Археологические памятники и их виды.
Палеолит и мезолит
Археологическая периодизация древнего каменного века. Антропогенез. Основные исследователи памятников палеолита и мезолита Северной Евразии. Особенности каменной индустрии разных периодов древнего каменного века. Наиболее известные памятники палеолита и мезолита Северной Евразии, их особенности. Духовная культура и искусство палеолита. Пещерная живопись.
Неолит и энеолит
Причины перехода от присвающего хозяйства к производящему. Разница в типе хозяйствования между культурами Передней Азии и Северной Евразии. Археологические культуры неолита и энеолита Северной Евразии. Важнейшие археологические памятники данных эпох и их исследователи. Особенности каменной индустрии неолитической эпохи. Термин «металлургическая провинция». Металлургическая провинция энеолитической эпохи, ее особенности.
Бронзовый век
Хронология и периодизация эпохи бронзы. Металлургические провинции бронзового века и их особенности. Технологии бронзолитейного производства. Основные культуры бронзового века Северной Евразии и их исследователи. Наиболее значимые памятники эпохи. Хозяйство и материальная культура. Основные рудники уральского региона.
Ранний железный век
Кочевой мир раннего железного века, племена, упомянутые в античных источниках и археологические культуры, с ними соотносимые. Основные памятники кочевников раннего железного века и их исследователи. Технологии железоделательного производства. Скифская триада. Археологические культуры раннего железного века лесной зоны Северной Евразии. Хозяйство и материальная культура.
Эпоха Великого переселения народов
Археологические культуры Урало-Поволжского региона в эпоху Великого переселения народов. Наиболее значимые памятники и их исследователи. Хозяйство и материальная культура. Пути миграций основных культурных групп в Северной Евразии.
Средневековье и золотоордынское время Урало-Поволжского региона
Монгольские завоевания. Политическая история Золотой Орды. Подчиненные территории и административное деление. Города Золотой Орды, архитектура. Экономика и торговля в Золотой Орде. Религиозная политика. Народы Урало-Поволжья в составе Золотой Орды. Основные археологические памятники золотоордынского времени в Урало-Поволжье. Причины и последствия политической нестабильности. Историческая судьба государства.
Методы археологического исследования
Этапы археологических работ (разведка, раскопки, камеральная обработка). Организация полевой лаборатории и особенности проведения полевых исследований. Документирование раскопок: фотофиксация, графическая фиксация, составление описей находок, отчетность. Радиоуглеродное датирование: принципы метода, калибровка (с использованием дендрохронологии), проблемы методики. Другие методы абсолютной датировки (аргонно-калиевый, дендрохронология). Естественно-научные подходы: палинологический анализ, физическая антропология, генетическая археология и археоастрономия. Применение спектрометрии, стратиграфии и других аналитических методов. 3D-моделирование: фотограмметрия, лазерное сканирование, рабочие форматы (например, .OBJ, .PLY). Использование беспилотных летательных аппаратов (дронов) для аэрофотосъемки и создания 3D-моделей. Применение ГИС-технологий, программного обеспечения для картографирования.
Демоверсия экзаменационного варианта
- Какие стадии развития человеческого общества выделял Г.Л. Морган? (отметить несколько вариантов)
а) Дикость
б) Цивилизацию
в) Индустриальную
г) Варварство
2. Какие методы определения абсолютной хронологии существуют: (отметить несколько вариантов)
а) радиоуглеродный метод
б) аргонно-калиевый метод
в) типологический метод
г) дендрохронология
- Соотнесите тип характерного археологического источника (материала/объекта) с эпохой его бытования 1-б, 2-а, 3-г, 4-в
|
1. звериный стиль 2.кругоплановые укрепленные поселения 3. украшения с выемчатыми эмалями 4. пещерная живопись
|
a. Эпоха бронзы б. Ранний железный век в. Каменный век г. Переселение народов
|
- Кочевые племена раннего железного века Северного Причерноморья, описанные Геродотом ______________________
5. Какой город Поволжья был центром Золотой Орды в XIV веке, пока его не разрушил Тамерлан?
а) Сарай-Бату
б) Сарай ал-Джедид
в) Хаджи-Тархан
г) Новый Булгар
СПИСОК ЛИТЕРАТУРЫ
-
- Добровольская М. В., Можайский А. Ю. Археология: учебное пособие - Москва: Прометей, 2012. Добровольская, М.В. Археология: учебное пособие / М.В. Добровольская, А.Ю. Можайский. - Москва: Прометей, 2012. - 116 с.: ил. - Библиогр. в кн. - ISBN 978-5- 4263-0082-8;
- Петров Н. И. Археология: учебное пособие - Санкт-Петербург: Издательство «СПбКО», 2008 Петров, Н.И. Археология: учебное пособие / Н.И. Петров. - Санкт- Петербург: Издательство «СПбКО», 2008. - 232 с. - ISBN 978-5-903983-03-2;
- Поляков А. Н. Основы археологии: учебное пособие - Оренбург: Оренбургский государственный университет, 2017. Поляков, А.Н. Основы археологии: учебное пособие / А.Н. Поляков ; Министерство образования и науки Российской Федерации, Оренбургский Государственный Университет. - Оренбург: Оренбургский государственный университет, 2017. - 175 с.: ил. - Библиогр.: с. 172. - ISBN 978-5-7410-1790-6;
- Шер Я. А. Введение в археологию: учебное пособие - Москва, Берлин: Директ-Медиа, 2015. Шер, Я.А. Введение в археологию: учебное пособие / Я.А. Шер. - Москва; Берлин: Директ 29 Медиа, 2015. - 359 с.: ил. - Библиогр. в кн. - ISBN 978-5-4475-0537-0;
- Мартынов, А.И. Ранний железный век Евразии: учебное пособие / А.И. Мартынов; Министерство образования и науки Российской Федерации, Федеральное государственное бюджетное образовательное учреждение высшего образования «Кемеровский государственный университет». - Кемерово : Кемеровский государственный университет, 2017. - 182 с.: ил. - Библиогр.: с. 177-179. - ISBN 978-5-8353-2147-6;
- История Башкортостана с древнейших времен до XVI в. [Электронный ресурс]: метод. пособие / Башкирский государственный университет; сост. Н.А. Мажитов; А.Н. Султанова. - Уфа: РИО УУНиТ, 2003. — Электрон. версия печ. Публикации;
- Выдающиеся отечественные этнологи и антропологи ХХ века. М., 2004.
- Итс Р. Ф. Введение в этнографию. Л., 1991.
- Лобжанидзе А.А. Этнокультурные регионы мира: учебное пособие. М., 2013.
- Садохин А.П. Основы этнологии: учебное пособие / А.П. Садохин, Т.Г. Грушевицкая. М., 2015.
- Этнология: учебник / Т.А. Титова, В.Е. Козлов, Е.В. Фролова, И.А. Мухаметзарипов; отв. ред. Т.А. Титова; Казанский федеральный университет. Казань, 2017.
Список интернет-сайтов, рекомендуемых для использования в учебном процессе по курсу
- Библиотека электронных ресурсов исторического факультета МГУ им. М. В. Ломоносова. http://www.hist.msu.ru/ER/index.html
- Восточная литература. Средневековые исторические источники Востока и Запада. http://www.vostlit.info/
- Исторический портал Historic.Ru: ВСЕМИРНАЯ ИСТОРИЯ http://historic.ru
- Научная электронная библиотека eLibrary.ru - http://elibrary.ru/defaultx.asp
- Электронная библиотечная система «Университетская библиотека онлайн» – https://biblioclub.ru/
- Электронная библиотечная система издательства «Лань» – https://e.lanbook.com/
- Архивы научных журналов на платформе НЭИКОН (Cambridge University
История
МИНИСТЕРСТВО НАУКИ И ВЫСШЕГО ОБРАЗОВАНИЯ
РОССИЙСКОЙ ФЕДЕРАЦИИ
ФЕДЕРАЛЬНОЕ ГОСУДАРСТВЕННОЕ БЮДЖЕТНОЕ ОБРАЗОВАТЕЛЬНОЕ УЧРЕЖДЕНИЕ ВЫСШЕГО ОБРАЗОВАНИЯ
«УФИМСКИЙ УНИВЕРСИТЕТ НАУКИ И ТЕХНОЛОГИЙ»
ПРОГРАММА
вступительного испытания
для поступающих в магистратуру по направлению подготовки
46.04.01 «История»
программа (профиль)
«Визуальная история»
ОБЩИЕ ПОЛОЖЕНИЯ
Вступительные испытания предназначены для определения практической и теоретической подготовленности поступающего в магистратуру и проводятся с целью определения соответствия знаний, умений и навыков требованиям обучения магистратуры по направлению подготовки 46.04.01 «История» (магистратура). Программа составлена в соответствии с требованиями федерального государственного образовательного стандарта высшего профессионального образования.
Вступительные испытания в магистратуру проводят экзаменационные комиссии, назначенные председателем приёмной комиссии УУНиТ.
ПРОЦЕДУРА ВСТУПИТЕЛЬНОГО ИСПЫТАНИЯ
Дата и время проведения вступительного испытания и консультации определяются расписанием вступительных испытаний, которое утверждается председателем приемной комиссии.
Перед вступительным испытанием для поступающих проводится консультация по содержанию программы испытания, критериям оценки, предъявляемым требованиям, правилам поведения на испытании.
Форма вступительного испытания (в соответствии Положением о вступительных испытаниях УУНИТ): тестирование.
Вступительные испытания в виде электронного тестирования проводятся в соответствии с программами вступительных испытаний, утверждаемых председателем предметной комиссии.
Вступительные испытания в форме тестирования включают вопросы как закрытого, так и открытого типа, а также задания в аудио- и видеоформатах.
Составление вариантов экзаменационных заданий в форме электронных тестов осуществляется ответственным секретарем приемной комиссии университета.
Из вариантов экзаменационных заданий формируются комплекты вопросов-тестов.
Компоновку комплектов вопросов-тестов ответственный секретарь, заместитель ответственного секретаря производят до вступительных испытаний.
Тест содержит 40 тестовых вопросов.
Результаты испытаний оцениваются по 100 бальной шкале.
Абитуриент, не согласный с оценкой, полученной на ВИ и (или) в связи с нарушением процедуры проведения ВИ имеет право подать апелляцию. Процедура подачи и рассмотрения апелляции регламентируется Положением об апелляционной комиссии УУНиТ.
КРИТЕРИИ ОЦЕНИВАНИЯ ОТВЕТА
Критериями оценки экзаменационного ответа, поступающего в магистратуру являются полнота, логичность, доказательность, прочность, осознанность знаний и теоретическая обоснованность суждений, самостоятельность в интерпретации информации, практическая направленность, уровень овладения профессиональными умениями менеджера и др. В случае тестирования является правильные ответы на тестовые задания.
При проверке количество первичных баллов переводится в итоговую 100 балльную шкалу через информационную платформу университета.
СОДЕРЖАНИЕ РАЗДЕЛОВ И ТЕМ ПРОГРАММЫ ВСТУПИТЕЛЬНОГО ИСПЫТАНИЯ
- Цивилизационные особенности Запада, Востока и России
Россия как цивилизация. Ценностно-рациональный стиль мышления: высокая ценность человеческих отношений и большая значимость работы на общее дело.
Основные характеристики цивилизации Востока. Эмоциональность, чувствительность, интуитивность, стремление вписаться в естественный природный мир. Неразделённость собственности и административной власти, экономическое и политическое господство бюрократии, подчинение общества государству, отсутствие гарантий частной собственности и прав граждан.
Специфика западной цивилизации. Рациональность, стремление подчинить свою жизнь разуму и логике. Гарантии частной собственности и гражданских прав как стимул к инновациям и творческой активности, гармония общества и государства, дифференциация власти и собственности.
Исторически сложившийся конгломерат народов на территории российского государства. Включение в состав народов, развивающихся как по-западному, так и по восточному варианту. Концепт евразийской цивилизации.
Переплетение культурных традиций. Переплетение славянских культурных традиций с византийской, западноевропейской, мусульманской и языческой кочевой культурой.
- Исторические источники, историография и методы исторических исследований
Определение исторических источников. Основные принципы классификации исторических источников. Письменные, вещественные, изобразительные и устные источники. Первичные и вторичные источники.
Методы исторической науки: историко-генетический, историко-сравнительный, историко-типологический, историко-системный, историко-структурный, количественный, микро-исторический и др. Современные информационно-коммуникационные технологии в исторических исследованиях.
Популяризация исторического знания. Формирование научного понимания прошлого и настоящего как основа гражданской идентичности и коллективной исторической памяти. Противодействие фальсификациям и искажениям истории; развитие критического мышления и исторического сознания граждан.
Методы и формы популяризации исторического знания. Научно-популярные лекции. Тематические экскурсии. Интерактивные игры и викторины. Театрализованные постановки.
3. История России
Ключевые принципы периодизации отечественной истории. Политический строй древнерусского государства. Феодальная раздробленность Руси и ордынское завоевание. Предпосылки и этапы объединения русских земель вокруг Москвы. Образование централизованного Российского государства (XIV-XVI вв.). Становление самодержавия в России. Русское централизованное (Московское) государство: своеобразие условий развития. Становление самодержавия как специфической формы государственного устройства России (вотчинное государство), его отличие от европейского абсолютизма. Иван III. Возникновение и сущность теории «Москва – Третий Рим». Московское государство в первой трети XVI века: итоги общественно-политического развития. Иван IV. Внешняя политика государства во второй половине XVI в. Восточная политика Русского государства в XVI в. Ливонская война и Балтийский вопрос во внешней политики России.
«Смутное время». Борьба русского народа против польско-литовских и шведских интервентов. Социально-экономическое развитие России в XVII веке. Политика Петра I. Военная, административная, финансовая, церковная, городская реформы. Социально-экономическое развитие России в XVIII в. Дворцовые перевороты в 30-50-х гг. XVIII в. Внутренняя политика Елизаветы Петровны, Петра III, Екатерины II.
Социально-экономическое развитие России в 1-й половине XIX в. Правление Александра I. Реформы М.М. Сперанского. Отечественная война 1812 г. и заграничные походы русской армии 1813-1814 гг. Внутренняя политика России во 2-й четверти XIX века. Правление Николая I.
Реформы Александра II. Социально-экономическое развитие пореформенной России. Внутренняя политика царского правительства в 70-90-х гг. XIX в. Обострение социальных и политических противоречий к концу 1870-х гг.
Внешняя политика России во второй половине XIX в. Деятельность Александра III. Развитие промышленности и сельского хозяйства в конце XIX – начале ХХ вв. Характер, движущие силы и особенности российской революции 1905-1907 гг. I Государственная дума. Третьеиюньская монархия. Русско-японская война 1904-1905 гг. Участие России в Первой мировой войне.
События Февральской революции 1917 г. Конец династии Романовых. Политическая победа большевиков в октябре 1917 г. Политическая программа В.И. Ленина. II Всероссийский Съезд Советов и его решения. Начало формирования высших органов государственной власти и управления в Советской России. Гражданская война в России: причины, периодизация. Предпосылки введения и сущность «военного коммунизма». Начало формирования политической системы И.В. Сталина. Становление советской внешней политики. Победа сталинского курса социалистической модернизации страны в конце 1920-х гг. Реализация индустриализации промышленности, коллективизации сельского хозяйства и культурного строительства.
СССР в конце 30-х гг. ХХ в. Внешняя политика СССР в предвоенные годы. Основные события Великой Отечественной войны 1941-1945 гг. Послевоенное развитие СССР 1945-1953 гг. Развитие советского общества в процессе десталинизации 1953-1964 гг. Политика Н.С. Хрущева. Советский Союз в 70-е первая половина 80-х гг. Концепция «развитого социализма». Перестройка и «новое мышление» М.С. Горбачева. Внешнеполитическая деятельность СССР (1985-1991 гг.). Политический кризис августа 1991 г. и его последствия. Беловежское соглашение и ликвидация СССР.
Создание СНГ. Становление новой российской государственности 90-е гг. XX в. Социально-экономическое и политическое развитие Российской Федерации в начале ХХI в. В.В. Путин. Основные черты внешней политики.
4. История стран Востока в Новое и Новейшее время
Китай. Цинская империя в истории страны. Проникновение западных держав. Национальная революция 1925-1927 гг. Реформы Гоминьдана. Создание КНР. Культурная революция. Программа «четырех модернизаций», политическая реформа и кризис 1989 г. Курс на создание рыночной экономики. Новая роль на международной арене.
Япония. Революция Мэйдзи 1867-1868 гг., реставрация императорской власти. Конституция 1889 г. Трансформация экономики и политики после первой мировой войны. Тихоокеанская война в истории страны. Послевоенная политика демилитаризации, демонополизации и демократизации. Конституция 1947 г. Создание рыночной экономики. «Экономическое чудо».
Индия. Империя Великих Моголов в истории страны. Английское завоевание. Превращение Индии в классическую колонию. Зарождение национально-освободительного движения, образование политических партий. Роль М. Ганди в подъеме антиколониального движения. Фактор второй мировой войны в нарастании движения сопротивления. Раздел Индии на два доминиона, провозглашение независимости.
Турция. Кризис Османской империи: причины и последствия. Младотурецкая революция 1908-1909 гг. Поражение в первой мировой войне и распад империи. М. Кемаль и национально-освободительная революция 1919-1923 гг. Кемалистская политика реформ и модернизации в 1920-1930 гг.
5. История стран Запада в Новое и Новейшее время
Английская революция середины XVII. Итоги революции, ее характер и историческое значение. Промышленный переворот в Англии. Колониальная политика Великобритании.
Война за независимость и конституирование США. Особенности промышленного развития США: освоение западных территорий, рабовладение. Гражданская война в США.
Французское Просвещение. Причины и основные этапы Великой Французской революции. Консульство и империя Наполеона. Политическая борьба во Франции в 30-40-е гг. Колониальная экспансия. Франко-прусская война 1870-1871 гг. и провозглашение Третьей республики во Франции.
Объединение Германии. Характер и значение объединения Германии «сверху».
Процесс модернизации стран Европы и Америки в 1870-1918 гг. Общие закономерности развития корпоративного капитализма (образование монополий), и особенностей этого процесса в ведущих странах региона (США, Англии, Германской империи и Франции).
Характер противоречий между державами, образование военно-политических группировок в ходе территориального раздела мира и последующей борьбы за его передел. Особенности экономического развития «молодых держав» (США, Германии, Японии).
Утверждение парламентаризма и парламентской системы, их национальные особенности. Рабочее и социалистическое движение в конце XIX-XX в. Марксизм. Создание рабочих и социалистических партий в странах Европы и Северной Америки. Создание II Интернационала.
Причины и характер мировой войны 1914-1918 гг. Ход военных действий, дипломатия в годы войны, влияние войны на экономическую жизнь Европы и Америки. Версальская система мирных договоров, их содержание и оценка. Деятельность Лиги Наций.
Итоги первой мировой войны для США. Экономический кризис 1929-1933 гг. и его проявления в США. «Новый курс» Ф. Рузвельта.
Германия. Мировой экономический кризис и крах Веймарской республики. Причины усиления позиций НСДАП. Политический кризис и установление национал-социалистской диктатуры. Нацистский вариант государственного регулирования экономики и социальных отношений.
Италия. Возникновение фашизма.
Франция накануне второй мировой войны.
Вторая мировая война. Происхождение, характер, причины и периодизация. Поражение Франции. Возникновение движения Сопротивления. Нападение Германии на СССР. Формирование антигитлеровской коалиции. Агрессия Японии на Тихом океане и в Азии. Коренной перелом в ходе войны. Открытие второго фронта. Крымская конференция. Конференция Объединенных наций. Поражение Германии. Потсдамская конференция, ее решения. Вступление СССР в войну с Японией. Капитуляция Японии. Итоги второй мировой войны. Создание Организации Объединенных Наций. Восстановление национальных экономик в Западной Европе. Неокейнсианство. Научно-техническая революция: сущность, этапы. Постиндустриальное общество.
Международные отношения. Послевоенное урегулирование. Биполярная система международных отношений. Создание военно-политических блоков. Деколонизация. Движение неприсоединения. Разрядка международной напряженности. Общеевропейский процесс.
Объединение Германии. Новая геополитическая ситуация. Проблема международной безопасности. Роль НАТО и США. Кризис на Балканах. Глобализация и интеграционные процессы. Международный терроризм.
6. История мировой культуры
Сущность понятий «культура», «мировая культура».
Культура Древнего Востока: цивилизации Древнего Египта, Древней Месопотамии, Древней Индии, Древнего Китая. Зарождение письменности. Античная культура: переход от традиционной религиозно-мифологической культуры к современной культуре. Основные жанры литературы. Архитектурные стили.
Культура Средневековья. Христианство как основа мировоззрения. Сословная культура: духовенство, рыцарство, ремесленники и крестьяне. Героический эпос. Европейское Возрождение. Художественный характер культуры Ренессанса. Представители высокого Возрождения.
Культура Нового времени. Эпоха Просвещения (XVII–XVIII века). Ведущие стили изобразительного искусства: классицизм, барокко, рококо.
XIX век. Романтизм. Реализм в литературе. Архитектура: неоклассицизм, необарокко, неоготика, модерн. Появление жанров фантастики и детектива. Основные стили в живописи: неоклассицизм; романтизм, натурализм. Возникновение импрессионизма и постимпрессионизма. Новые виды искусства – фотография и кинематограф.
Культура Новейшего времени. Основные особенности культуры ХХ в. Театр и кинематограф. Плюрализм в изобразительном искусстве: абстракционизм, кубизм, сюрреализм. Роль научно-технических открытий в культурном развитии. Глобальные проблемы человечества.
Современная культура. Массовая культура. Глобализация культуры.
Демоверсия экзаменационного варианта
Выбрать один ответ:
1. Выберите вариант с правильной последовательностью династий единого средневекового Китая
а) Цзинь, Суй, Тан, Сун, Юань, Мин, Цин
б) Тан, Цзинь, Цин, Суй, Юань, Сун, Мин
в) Суй, Цин, Сун, Юань, Цзинь, Мин, Тан,
г) Сун, Юань, Мин, Тан, Суй, Цин, Цзинь
2. Термины «османы», «османская империя» происходят от …
а) от названия бейлика (области, владения) в Малой Азии
б) от названия самого могущественного племени тюрков-сельджуков
в) от имени «Осман»- первого султана империи
г) названия, данного европейцами, жителям Малой Азии
3. Город, в котором находится могила пророка Мухаммеда_______
Выберите несколько ответов
4. В 1920 гг. для Германии были разработаны репарационные планы:
а) план Дауэса в) план Вильсона
б) план Янга г) Рейнский план
5. В 1938 г. территориальные претензии к Чехословакии предъявили
а) Венгрия
б) Румыния
в) Польша
г) Германия
6. Установите соответствие между событиями/явлениями и странами
«Новый курс» США
Народный фронт Франция
Режим санации Польша
Ноябрьская революция Германия
7. Военно-ленная система в Османской империи предполагала:
а) введение налоговых и иных льгот янычарскому войску
б) предоставление феодалам земельных владений взамен воинской службы
в) передачу религиозным организациям имущества военных сословий
г) принятие на военную службу представителей покоренных народов
СПИСОК ЛИТЕРАТУРЫ
- Арзаканян М. Ц. Политическая история Франции ХХ века. М., 2005.
- Бережная С. В., Бондаренко И. И., Кучемко Н. М. Тоталитаризм в истории Европы XX века. Братислава, 2012.
- Европейский союз в поиске глобальной роли: политика, экономика, безопасность / Под общ. ред. А. А. Громыко, М. Г. Носова. М., 2015.
- Егорова Н. И. История холодной войны 1945–1990: Учебное пособие для вузов. М., 2007.
- История международных отношений. М., 2012. Т. 1–3.
- История новейшего времени стран Европы и Америки, 1918–1945: Учебник для вузов / Под ред. Е. Ф. Язькова. М., 2004.
- История новейшего времени стран Европы и Америки, 1945–2000: Учебник для вузов / Под ред. Е. Ф. Язькова. М., 2003.
- История стран Европы и Америки в Новое время / Под ред. В. С. Бондарчука, М., 2011. Ч. 1, 2.
- Мировые войны ХХ века. 2-е изд. М., 2005. Кн. 1–4.
- На перекрестке Средиземноморья: «Итальянский сапог» перед вызовами XXI века / под ред. Т. В. Зоновой. М., 2011.
- Новая история стран Европы и Америки. Начало 1870-х годов – 1918 / Под ред. И. В. Григорьевой. М., 2001.
- Остапенко Г. С., Прокопов А. Ю. Новейшая история Великобритании: XX – начало XXI века: Учебное пособие. М., 2012.
- Ревуненков В. Г. История Французской революции. СПб., 2003.
- Фрай Н. Государство фюрера: Национал-социалисты у власти: Германия, 1933–1945 / Пер. с нем. М., 2009.
- Хобсбаум Э. Век революции. Ростов-на-Дону, 1999.
- Шоню П. Цивилизация классической Европы. Екатеринбург, 2005.
- Шоню П. Цивилизация Просвещения. Екатеринбург. М., 2008.
- Булдаков В. П. Утопия, агрессия, власть. Психосоциальная динамика постреволюционного времени. Россия, 1920–1930 гг. М., 2012.
- Великая Отечественная война 1941–1945. Военно-исторические очерки: В 4 кн. М., 1999.
- Великие реформы в России. 1856–1874 / Под ред. Л. Г. Захаровой, Б. Эклофа, Дж. Бушнелла. М., 1992.
- Горский А. А. Средневековая Русь. О чем говорят источники. М., 2016.
- Горский А. А., Кучкин В. А., Лукин П. В., Стефанович П. С. Древняя Русь: очерки политического и социального строя. М., 2008.
- Давыдов М. А. Двадцать лет до Великой войны: российская модернизация Витте – Столыпина. СПб., 2016.
- Данилевский И. Н. Древняя Русь глазами современников и потомков (IX–XII вв.): Курс лекций. М., 1998.
- Данилевский И. Н. Русские земли глазами современников и потомков (XII–XIV вв.): Курс лекций. М., 2000.
- Данилов А. А., Пыжиков А. В. Рождение сверхдержавы. СССР в первые послевоенные годы. М., 2009.
- Демографическая модернизация России. 1900–2000 / Под ред. А. Г. Вишневского. М., 2006.
- Драма российской истории: большевики и революция. М., 2002.
- Зубкова Е. Ю. Послевоенное советское общество: политика и повседневность. 1945–1953. М., 1999.
- История России XIX – начала XX в. / Отв. ред. В. А. Федоров. М., 2008.
- История России с древнейших времен до наших дней / Под ред. А. Н. Сахарова. М., 2015. Т. 1, 2.
- Каменский А. Б. От Петра I до Павла I. Реформы в России XVIII в. Структурный анализ. М., 1999.
- Каппелер А. Россия – многонациональная империя: Возникновение, история, распад. М., 2000.
- Кром М. М. Рождение государства: Московская Русь XV–XVI веков. М., 2018.
- Левин М. Советский век. М., 2008.
- Медушевский А. Н. Политическая история русской революции: нормы, институты, формы социальной мобилизации в XX веке. М.; СПб., 2017.
- Миронов Б. Н. Российская империя: от традиции к модерну: В 3 т. СПб., 2015.
- Новая имперская история Северной Евразии / Под ред. И. Герасимова. Казань, 2017. Ч. 1, 2.
- Первая революция в России: взгляд через столетие / Под ред. А.П. Корелина, С. В. Тютюкина. М., 2005.
- Пихоя Р. Г. Советский Союз: история власти, 1945–1991. М., 1998.
- Реформы в России с древнейших времен до конца XX в.: В 4 т. М., 2016.
- Российская империя: от истоков до начала XIX века. Очерки социально-политической и экономической истории. М., 2011.
- Рязанов В. Т. Экономическое развитие России: Реформы и российское хозяйство в XIX– ХХ вв. СПб., 1998.
- Хлевнюк О. В. Хозяин. Сталин и утверждение сталинской диктатуры. М., 2010.
- Шишкин В. А. Власть. Политика. Экономика. Послереволюционная Россия (1917–1928). М., 1997.
- Васильев Л. С. История Востока. М., 1994. Т. 1, 2.
- Говоров Ю. Л. История стран Азии и Африки в новейшее время: Основы лекционного курса. Кемерово, 1997.
- Губер А. А., Ким Г. Ф., Хейфец А. Н. Новая история стран Азии и Африки. 3-е изд. М., 1982.
- История Китая. Изд-е 3-е, испр. и доп. / Л. С. Васильев, З. Г. Лапина, А. В. Меликсетов, А. А. Писарев; под ред. А. В. Меликсетова. М., 2004.
- История Китая с древнейших времен до наших дней / Отв. ред. Л. В. Симоновская, М. Ф. Юрьев. М., 1974.
- История Японии: Учеб. пособие. 2-е изд., испр. и доп. М., 1999. Т. 1, 2.
- Кузнецов Ю. Д., Навлицкая Г. Б., Сырицын И. М. История Японии. М., 1988.
- Молодяков В. Э., Молодякова Э. В., Маркарян С. В. История Японии. XX век. (Серия История стран Востока. XX век.) М., 2007.
- Трошин Ю. А. История стран Азии и Африки в новейшее время (1918–2000): Учеб. пособие для вузов. М., 2004.
- Юрьев М. Ф. История стран Азии и Северной Африки после Второй мировой войны (1945– 1990): Учеб. пособие. М., 1994.
- Арутюнов С.А. Культурная антропология / С.А. Арутюнов, С.И. Рыжакова. М., 2014.
- Аршба О.И. Нация и национализм. История и теория в текстах и документах / О.И. Аршба, С.А. Татунц. М., 2002.
Список рекомендуемых интернет-сайтов
- Библиотека электронных ресурсов исторического факультета МГУ им. М. В. Ломоносова. http://www.hist.msu.ru/ER/index.html
- Исторический портал Historic.Ru: ВСЕМИРНАЯ ИСТОРИЯ http://historic.ru
- Научная электронная библиотека eLibrary.ru - http://elibrary.ru/defaultx.asp
- Электронная библиотечная система «Университетская библиотека онлайн» – https://biblioclub.ru/
- Электронная библиотечная система издательства «Лань» – https://e.lanbook.com/
- Архивы научных журналов на платформе НЭИКОН (Cambridge University Press, SAGE Publications, Oxford University Press) – https://archive.neicon.ru/xmlui/
Электроэнергетика и электротехника
ПРОГРАММА
вступительного испытания
для поступающих в магистратуру по направлению подготовки
13.04.02 «Электроэнергетика и электротехника»
программа (профиль)
«Электроэнергетика и электротехника (по профилям):
Электромеханические системы;
Интеллектуальные энергосистемы;»
ОБЩИЕ ПОЛОЖЕНИЯ
Вступительные испытания предназначены для определения практической и теоретической подготовленности поступающего в магистратуру и проводятся с целью определения соответствия знаний умений и навыков требованиям обучения магистратуры по направлению подготовки 13.04.02 «Электроэнергетика и электротехника» (магистратура), программа (профиль) «Электроэнергетика и электротехника (по профилям): Электромеханические системы; Интеллектуальные энергосистемы». Программа составлена в соответствии с требованиями федерального государственного образовательного стандарта высшего профессионального образования.
Вступительные испытания в магистратуру проводят экзаменационные комиссии, назначенные председателем приёмной комиссии УУНиТ.
ПРОЦЕДУРА ВСТУПИТЕЛЬНОГО ИСПЫТАНИЯ
Дата и время проведения вступительного испытания и консультации определяются расписанием вступительных испытаний, которое утверждается председателем приемной комиссии.
Перед вступительным испытанием для поступающих проводится консультация по содержанию программы испытания, критериям оценки, предъявляемым требованиям, правилам поведения на испытании.
Форма вступительного испытания (в соответствии Положением о вступительных испытаниях УУНИТ): тестирование.
Вступительные испытания в виде электронного тестирования проводятся в соответствии с программами вступительных испытаний, утверждаемых председателем предметной комиссии.
Вступительные испытания в форме тестирования включают вопросы как закрытого, так и открытого типа, а также задания в аудио- и видеоформатах.
Составление вариантов экзаменационных заданий в форме электронных тестов осуществляется ответственным секретарем приемной комиссии университета. Из вариантов экзаменационных заданий формируются комплекты вопросов-тестов.
Компоновку комплектов вопросов-тестов ответственный секретарь, заместитель ответственного секретаря производят до вступительных испытаний.
Тест содержит 40 тестовых вопросов.
Результаты испытаний оцениваются по 100 бальной шкале.
Абитуриент, не согласный с оценкой, полученной на вступительном испытании и (или) в связи с нарушением процедуры проведения вступительного испытания имеет право подать апелляцию. Процедура подачи и рассмотрения апелляции регламентируется Положением об апелляционной комиссии УУНиТ.
КРИТЕРИИ ОЦЕНИВАНИЯ ОТВЕТА
Критерием оценки поступающего в магистратуру являются правильные ответы на тестовые задания.
При проверке количество первичных баллов переводится в итоговую 100 балльную шкалу через информационную платформу университета.
СОДЕРЖАНИЕ РАЗДЕЛОВ И ТЕМ ПРОГРАММЫ ВСТУПИТЕЛЬНОГО ИСПЫТАНИЯ
Содержание программы по дисциплине «Иностранный язык»
1. Лексика
Знать 4000 единиц общей и терминологической лексики по специальности, необходимых для чтения литературы, извлечения информации из оригинального текста по научной специальности.
2. Грамматика
Структура предложения. Части речи и члены предложения. Структура времен (активный/пассивный залоги). Неличные формы глагола: инфинитив, инфинитивные обороты; причастие, причастные обороты. Структура сложноподчиненного предложения. Сослагательное наклонение.
3. Чтение
Ознакомительное чтение с целью определения истинности / ложности утверждения. Поисковое чтение с целью определения наличия или отсутствия в тексте запрашиваемой информации. Изучающее чтение с элементами анализа информации. Изучающее чтение с элементами аннотирования. Изучающее чтение с элементами сопоставления. Изучающее чтение с выделением главных компонентов содержания текста.
4. Речевой этикет
Профессионально-деловая сфера: уметь продемонстрировать адекватную формулу речевого этикета профессионально-деловой сферы.
Учебно-социальная сфера: понимать и адекватно подбирать ответную реплику, соответствующую ситуации общения. Социально-деловая сфера: продемонстрировать навыки общения в заданной ситуации, предложенной в рамках ролевой игры.
5. Письмо
Оформление делового письма: размещение адресов отправителя, получателя, стиль обращения; оформление содержательной составляющей письма, заключительные фразы. Оформление конверта: правильное размещение адресов. Оформление резюме: основные пункты, стиль изложения. Оформление письма-заявления, письма-уведомления, письма- запроса, контракта: знание речевых клише, форм обращения. Оформление электронного сообщения, факса, служебной записки, повестки дня: знание правил составления, пунктуации, форм завершения письменной информации.
Содержание программы по дисциплине «Математика»
1. Аналитическая геометрия
1) Прямая на плоскости. Общее, каноническое и параметрическое уравнение прямой. Нормальное уравнение прямой. Расстояние от точки до прямой. Взаимное расположение двух прямых. Угол между двумя прямыми.
2) Плоскость в пространстве. Общее уравнение плоскости. Нормальное уравнение плоскости. Расстояние от точки до плоскости. Угол между плоскостями.
3) Прямая в пространстве. Общие уравнения прямой, канонические уравнения прямой и параметрические уравнения прямой. Угол между прямыми в пространстве.
4) Прямая и плоскость в пространстве. Взаимное расположение прямой и плоскости в пространстве. Угол между прямой и плоскостью.
2. Математический анализ
1) Непрерывность функции. Точки разрыва функции и их классификация.
2) Производная функции, ее геометрический смысл. Основные правила дифференцирования. Уравнение касательной и нормали к плоской кривой. Производная сложной функции.
3) Условие возрастания и убывания функций. Точки экстремума. Достаточные признаки максимума и минимума. Отыскание наибольших и наименьших значений непрерывной на отрезке функции. Исследование на максимум и минимум с помощью производных высших порядков. Исследование функций на выпуклость. Точки перегиба. Асимптоты кривой.
4) Первообразная. Неопределенный интеграл и его свойства. Замена переменной, интегрирование по частям. Интегрирование рациональных функций. Интегрирование тригонометрических функций. Интегрирование иррациональных функций.
5) Определение определенного интеграла. Формула Ньютона- Лейбница. Основные свойства определенного интеграла. Замена переменной и интегрирование по частям в определенном интеграле.
3. Комплексный анализ
1) Комплексные числа. Геометрическая, тригонометрическая и показательная форма комплексного числа. Арифметические действия над комплексными числами, сложение, вычитание, умножение и деление.
2) Функции комплексного переменного. Дифференцирование функции комплексного переменного. Условия Коши-Римана. Пространство аналитических функций.
3) Теорема Коши и интегральная формула Коши.
4) Особые точки аналитических функций. Вычеты, способы их вычисления, основная теорема о вычетах. Применение вычетов для вычисления интегралов.
4. Дифференциальные уравнения
1) Дифференциальные уравнения с разделяющимися переменными.
Однородные дифференциальные уравнения. Линейные дифференциальные уравнения 1 порядка. Уравнение Бернулли.
2) Линейные однородные дифференциальные уравнения 2 порядка с постоянными коэффициентами. Линейные неоднородные дифференциальные уравнения 2 порядка с постоянными коэффициентами. Метод неопределенных коэффициентов.
5. Теория вероятностей
1) Виды случайных событий. Теоремы сложения и умножения вероятностей, вероятность суммы событий, вероятность произведения событий. Независимые события.
2) Формула полной вероятности и формула Байеса.
3) Дискретная случайная величина и ее закон распределения. Функция распределения случайной величины. Числовые характеристики дискретных случайных величин.
4) Непрерывная случайная величина и ее закон распределения. Плотность распределения и функция распределения. Числовые характеристики непрерывных случайных величин.
Содержание программы по дисциплине
«Теоретические основы электротехники»
1. Методы анализа электрических и магнитных цепей
Линейные элементы электрических цепей. Основные законы электрических цепей. Метод контурных токов. Метод эквивалентного генератора. Методы анализа нелинейных резистивных цепей постоянного тока. Методы анализа нелинейных магнитных цепей.
2. Теория электрических и магнитных цепей переменного тока
Расчет линейных электрических цепей синусоидального тока в комплексной форме. Резонансные явления в линейных электрических цепях синусоидального тока. Цепи со взаимной индукцией. Трехфазные цепи.
3. Переходные процессы в линейных электрических цепях и методы их расчета
Расчет переходных процессов в R-L цепях первого порядка. Расчет переходных процессов в R-C цепях первого порядка. Операторный метод расчета. Расчет переходных процессов в цепях второго порядка.
4. Методы анализа нелинейных электрических и магнитных цепей
Нелинейные элементы электрических цепей. Методы анализа нелинейных резистивных цепей постоянного тока. Нелинейные цепи переменного тока. Методы анализа нелинейных магнитных цепей.
Содержание программы по дисциплине
«Электротехника и электроника»
1. Основы электроники
Основы цифровой электроники. Микропроцессорные средства. Источники вторичного электропитания.
2. Анализ и расчет электрических и магнитных цепей
Основные понятия теории электромагнитного поля и основные магнитные величины. Свойства ферромагнитных материалов. Определения, классификация, законы магнитных цепей. Расчет электрических цепей.
3. Электромагнитные устройства, электрические машины, основы электропривода и электроснабжения
Трансформаторы. Машины постоянного тока. Асинхронные машины. Синхронные машины.
4. Электроэнергетика
Электрооборудование и схемы распределительных устройств электростанций и подстанций. Режимы работы нейтралей электроустановок. Схемы питания собственных нужд электростанций и подстанций. Требования к устройствам релейной защиты. Максимальная токовая защита и токовая отсечка. Расчет токов короткого замыкания для выбора электрооборудования РУ и расчета уставок релейной защиты. Потери электроэнергии и напряжения в электрических сетях электроэнергетических систем. Качество электроэнергии.
Демоверсия экзаменационного варианта
I Иностранный язык
Английский язык
1. Заполните пропуск
- You _______ hard today.
- Yes, I’ve got a lot to do.
1) works
2) work
3) are working
4) has worked
2. Заполните пропуск
We have got ____ time to make a cake before the party! I will go and buy one, then.
1) no
2) few
3) some
4) any
3. Заполните пропуск
Doctors of the future will ________ make specific pills for each patient.
1) may
2) can
3) be able to
4) be allowed to
4. Заполните пропуск
Do you know the ________ mountain in Europe?
1) high
2) higher
3) highest
4) most highest
5. Расположите части делового письма в правильном порядке:
1. Messrs Dickson & King, 9 Newgate Street, London
2. George Finchley & Sons, 68 Bond Street, London 4 October 2003
3. Dear Sirs,
4. We thank you for your letter dated the 29th September and are pleased to send you our latest catalogue and the current price list. We shall send you a special offer as soon as we have your exact requirements.
5. Yours faithfully,
Julia
Выберите один ответ.
1) 32451
2) 15324
3) 32514
4) 12345
6. Перед Вами конверт

Соотнесите информацию под определенным номером на конверте с тем, что она обозначает.
1) The street name in the return address
2) The addressee
3) The name of the sender
4) The town the letter comes from
5) The addressee’s company name
6) The Zip Code in the mailing address
7. Выберите реплику, наиболее соответствующую ситуации общения:
Woman: “I’m Laura Miles from London office. How do you do!”
Man: “____________________”,
1) What do you want?
2) Pleased to meet you, Ms Miles.
3) Hi, Laura!
4) Hello, everybody!
8. Заполните пропуск A British university year is divided into three _____.
1) conferences
2) sessions
3) periods
4) terms
9. WHAT IS VOIP?
1.Voice Over Internet Protocol (VoIP) is a new technology that uses broadband Internet and network lines to transmit real-time voice information. This technology has the potential for completely changing the way phone calls are made and making phone companies a thing of the past
2.To make a phone call on the Internet, several things must happen. On the sending side, analog voice signals are digitized, compressed, divided into packets and transmitted over network lines. On the receiving end, the signals are recombined, uncompressed and converted back into audio. Because the voice signals are digital, they can be transmitted just like any other data packets on a network. VoIP can be relatively inexpensive to implement, although costs rise as the complexity of the system increases
3.There are currently several problems with this technology. If the computer or network lines fail, then telephone service is interrupted. Though the stability of computer hardware, operating systems and network infrastructure has improved significantly in the last decade, crashes still occur. The "up" time of these systems is still significantly less than with traditional phone systems - which often continue to function even during power outages. Another issue is that tracking the origin of a call is difficult because the signals are transmitted over the Internet. This is especially important to emergency responders to 911 calls. Caller ID service may not function either
4.Additionally, devices that make calls using phone lines, such as fax machines, cable TV boxes, etc. may not function properly. Law enforcement officials may have difficulty wiretapping phone lines that use VoIP technology. Finally, the quality of VoIP service is lower than that of a traditional phone system. Since the information is transmitted over network lines, VoIP phone calls may break up, hesitate, or cause words to be dropped.
All of these issues are being addressed and their significance should be eliminated over time
Укажите, какой части текста (1, 2, 3, 4) соответствует следующая информация With VoIP technology voice signals are transmitted as data packets.
Выберите один ответ.
1) 3
2) 2
3) 4
4) 1
Немецкий язык
10. Заполните пропуск
Wenn sich ein Leiter zwischen den Polen eines Magneten bewegt, ______ in ihm Strom induziert
1) hat
2) wird
3) soll
4) kann
11. Заполните пропуск
Vom Generator fließt der Strom durch die Leitungen über den _______ zum Verbraucher, wo er die gewünschten Wirkungen ausübt
1) Schalter
2) Leiter
3) Läufer
4) Reaktor
12. Заполните пропуск
Die klassische Theorie der elektrischen Leitung besagt, dass sich der Widerstand _______ mit fallender Temperatur verringer.
1) dem Leiter
2) ein Leiter
3) eines Leiters
4) dem Leiter
13. Заполните пропуск
Versuchsweise ______ Generatoren kleiner Leistung entstanden, die direkt eine Frequenz 100 kHz im Generator erzeugen.
1) haben
2) hat
3) sind
4) wird
14. Заполните пропуск
Dresden steht am Fluß __________ .
1) Spree
2) Rhein
3) Donau
4) Elbe
15. Заполните пропуск Bayern befindet sich im __________ der BRD
1) Süden
2) Osten
3) Westen
4) Norden
16. Прочитайте текст
Grundbegriffe der Elektrotechnik
1.Die Elektrizität ist durch ihre Anwendung in Haushalt und Industrie wohlbekannt.
Glühlampen, Fernsehgeräte und Staubsauger werden durch elektrischen Strom betrieben und über elektrische Schalter eingeschaltet. Die Begriffe elektrische Spannung, Sicherung, Zähler, Batterie, Kurzschluß u.a. sind allgemein geläufig. Trotzdem bleibt es eine Tatsache, daß dem Lernenden das Verstehen elektrotechnischer Gesetzmäßigkeiten größere Schwierigkeiten bereitet als z. B. das der Gesetzmäßigkeiten der Mechanik.
2. Das Erlernen der elektrotechnischen Grundbegriffe und Grundgesetze ist deshalb besonders wichtig. Eine Untersuchung des elektrischen Stromkreises führt zunächst zu der Feststellung, daß der elektrische Strom oder die elektrische Strömung als Bewegung an irgendeiner Stelle im Kreis einen Antrieb erfährt, d.h. hervorgerufen oder erzeugt werden muß. Ein solcher Stromerzeuger oder eine Stromquelle ist ein Teil des Stromkreises. Dabei werden die verschiedenen Möglichkeiten der Stromerzeugung erläutert. Hier sei bereits vorweggenommen, daß ohne eine elektrische Spannung kein Strom fließt.
3.Der elektrische Strom kann sehr unterschiedliche Wirkungen hervorrufen, so z.B. Glühlampen aufleuchten lassen, Heizgeräte erwärmen oder Motoren antreiben. Diese Einrichrungen und Geräte werden als Verbraucher bezeichnet. Sie sind, da sie vom Strom durchflossen werden, in den Stromkreis eingeschaltet, sind also ebenfalls ein Teil des Stromkreises. Die wegen des Stromflusses notwendigen Verbindungen zwischen Spannungsquelle und Verbraucher werden durch elektrische Leitungen hergestellt.
4.Im Stromkreis vollzieht der elektrische Strom einen Kreislauf. Von der Spannungsquelle oder dem Generator ausgehend, fließt er durch die Leitungen über den Schalter zum Verbraucher, wo er die gewünschten Wirkungen ausübt. Über eine zweite Leitung fließt er zurück zur Spannungsquelle, fließt durch diese hindurch und beginnt seinen Weg von neuem. Auf ihrem Weg erhält diese Strömung in der Spannungsquelle den Antrieb und damit die Bewegungsenergie, gibt sie dem Verbraucher durch Energieumformung (in Licht, Wärme, mechanische Energie usw.) zum überwiegenden Teil ab und erhält nach diesem Kreislauf in der Spannungsquelle wieder neue Energie. Viele ähnliche Kreisläufe gibt es in Natur und Technik.
Die Wasserströmung im Kühlwasserkreislauf eines Kraftfahrzeuges verläuft z. B. sehr ähnlich.
An den Zylinderwänden des Verbrennungsmotors wird dem Wasser Wärmeenergie zugeführt.
Определите, является ли утверждение:
Das Verstehen der elektrotechnischen Gesetzmäßigkeiten bereitet keine Schwierigkeiten.
1) ложным
2) истинным
3) в тексте нет информации
17. Расположите части делового письма в правильном порядке
1) Mit freundlichen Grüßen
Dr. Birgit Rabow
Anlagen
2) Dr. Birgit Rabow
Hannoversche Straße 102
31061 Alfeld
Telefon 003314628865
E-Mail xbouvier@aol.com
3) mit diesem Schreiben erhalten Sie meine Bewerbung um die in der ZEIT vom 10.03.200...ausgeschriebene Stelle mit allen erforderlichen Unterlagen (Lebenslauf, Foto, Zeugnisse). Über eine positive Nachricht Ihrerseits würde ich mich freuen.
4) Fa. Data-Claus
Schmalkaldener Straße 7
90491 Nürnberg
5) 12.März 200…
6) Sehr geehrte Damen und Herren,
18. Выберите слова или сочетания слов для заполнения пропусков так, чтобы отражали особенности оформления служебной записки:
(1)_____: "Holger Hoesel" <hoesel@ifn.et.tu-dresden.de>
(2)_____: matnt@ifn.et.tu-dresden.de
(3)_____: Do, 07 Jun 2007 09:20:58 +0200
(4)_____: Stromabschaltung: 22.06 / 05.00-08.00 Uhr
(5)________,
für den oben genannten Zeitraum ist zur Überprüfung der Elektroanlage des Barkhausenbaues eine Stromabschaltung für den Bereich des IFNs im Gebäudeteil C-Flügel geplant.
Mit freundlichen Grüßen
(6)_________
1) Von
2) Holger Hösel
3) Datum
4) Liebe Kolleginnen, liebe Kollegen
5) An
6) Betreff
Французский язык
19. Passez-vous bien les examens?
1) Je la passe bien.
2) Je les passe bien.
3) Je le passe bien.
4) Je lui passe bien.
20. C’est une longue histoire … j’ai oublié les détails.
1) dont
2) laquelle
3) qui
21. Je te parle de mon voyage et toi, tu me parleras du … .
1) tienne
2) tiens
3) tien
4) tiennes
22. C’est Pierre ... a fait ces calculs.
1) qui
2) que
23. C’est à cette exposition ... nous irons.
1) qui
2) que
24. Avez-vous de l’argent ?
Nous ... avons assez.
1) le
2) y
3) en
4) les
25. Pensez-vous à votre ami ?
1) Oui, je pense à lui.
2) Oui, j’y pense.
3) Oui, je le pense.
26. Il s’est mis au travail sans avoir lu les instructions.
1) после чтения
2) прочитав
3) не читая
4) не прочитав
27. Il ... faire ses études à l’Université aéronautique d’Oufa.
1) vient
2) a
3) est
4) va
II Математика
28. Если
и
, то скалярное произведение
равно…
1) 42
2) -54
3) 0
4) 27
29. Общее решение линейного однородного дифференциального уравнения второго порядка y''-3y'-4y=0 имеет вид…
1) y=C1cos2x+C2sin2x
2) y=C1ex+C2e-x
3) y=C1xe4x+C2e-x
4) y=C1e4x+C2e-x
30. Если
, тогда значение производной этой функции в точке
равно…
1) 2-i
2) 12-6i
3) 12-i
4) 2-6i
31. Материальная точка движется по закону
. Тогда ее ускорение в момент времени t=0 равно…
1) 5
2) 14
3) 1
4) 6
32. Определенный интеграл
равен
1)
2) 
3) 
4) 
33. Из данных дифференциальных уравнений уравнениями Бернулли не являются…
1) 
2) 
3) 
4)
34. Дана функция f (x) =3cosx, xЄ[-π; π]. Тогда коэффициент b5 разложения f(x) в тригонометрический ряд Фурье равен
1) 0
2) 3π
3) π
4) 3/π
35. Дискретная случайная величина задана законом распределения вероятностей
|
X |
-2 |
-1 |
0 |
1 |
2 |
|
P |
0,2 |
0,1 |
0,5 |
0,1 |
0,1 |
Тогда вероятность
) равна
Выберите один ответ.
1) 0,9
2) 0,8
3) 0,3
4) 0,7
36. Случайная величина распределена равномерно на интервале (0;6). Тогда ее математическое ожидание и дисперсия соответственно равны…
1) 4 и 4/3
2) 3 и 3
3) 2 и 3
4) 3 и 2
III Теоретические основы электротехники
37. Второй закон Кирхгофа формулируется следующим образом…
A) алгебраическая сумма падений напряжений в замкнутом контуре равна алгебраической сумме ЭДС в том же контуре
B) арифметическая сумма напряжений вдоль контура равна нулю
C) алгебраическая сумма токов в ветвях, подсоединенных к узлу, равна нулю
D) сила тока в цепи прямо пропорциональна приложенному напряжению и обратно пропорциональна сопротивлению этой цепи
38. Для одного из контуров справедливо уравнение по второму закону Кирхгофа…

A) 
B) 
C) 
D) 
39. Если при известных: значении Iw (МДС), геометрических параметрах магнитопровода l, S и марки стали, требуется определить магнитный поток Ф неразветвленной магнитной цепи, то такой тип задачи называется…
A) обратная задача расчета неразветвленной магнитной цепи
B) прямая задача расчета неразветвленной магнитной цепи
C) задача определения тягового усилия
D) задача расчета магнитных потерь
40. Магнитное сопротивление цепи можно представить в виде …

A) 
B) 
C) 
D) 
41. Для случая, соответствующего приведенной векторной диаграмме, характер сопротивления пассивной электрической цепи…

A) активно-емкостной
B) активный
C) индуктивный
D) пассивный
42. Комплексной ток I на входе пассивного двухполюсника при комплексном напряжении на входе
В и комплексном сопротивлении
Ом составит…

A)
А
B)
А
C)
А
D)
А
43. В соответствии с векторной диаграммой для цепи с последовательным соединением резистивного R, индуктивного L и емкостного C элементов соотношение между соотношение между XL и XС оценивается как …

A) 
B) 
C) 
D) 
44. Комплексное сопротивление приведенной цепи Z в алгебраической форме записи при XL = 30 Ом и R = 40 Ом составляет…

A) Z = 40 +j 30 Ом
B) Z = 30 +j 40 Ом
C) Z = 40 - j 30 Ом
D) Z = 30 - j 40 Ом
45. Угол сдвига фаз φ между напряжением и током на входе цепи при XC =40 Ом и R = 30 Ом составляет…

A) φ = – 53°
B) φ = – 37°
C) φ = 37°
D) φ = 53°
46. В трехфазной цепи амперметром был замерен ток - 1,5 А, фазный ток
равен…

A) 1,5 А
B) 2,6 А
C) 0,86 А
D) 2,1 А
IV «Электротехника и электроника»
47. На рисунке изображена временная диаграмма напряжения на выходе…

A) однополупериодного выпрямителя
B) двухполупериодного, мостового выпрямителя
C) двухполупериодного выпрямителя с выводом средней точки обмотки трансформатора
D) трехфазного однополупериодного выпрямителя
48. В состав электропривода входит…
A) электродвигатель, редуктор, управляющее устройство и рабочий механизм
B) электродвигатель и редуктор
C) электродвигатель и рабочий механизм
D) электродвигатель и управляющее устройство
49. Приведенному графику нагрузки соответствует…

A) повторно-кратковременный режим работы
B) кратковременный режим работы
C) длительный режим с переменной нагрузкой
D) длительный режим с постоянной нагрузкой
50. Показатели качества электроэнергии:
а) экономичность потребления; эффективность передачи энергии; энергоемкость;
б) отклонение частоты; отклонение напряжения; доза фликера;
в) величина тока; коэффициент нагрузки;
г) потеря мощности; потеря напряжения; потеря тока.
51. Назначение обмотки возбуждения в машине постоянного тока –…
A) создание основного магнитного потока
B) компенсация влияния реакции якоря
C) улучшение коммутации
D) уменьшение влияния добавочных полюсов
52. Какой из следующих факторов является причиной потерь энергии при передаче электрической энергии по проводам?
а) высокое напряжение;
б) воздействие магнитных полей;
в) сопротивление проводов;
г) высокий уровень изоляции.
53. «Реверсирование» двигателя означает изменение…
A) направления вращения якоря
B) частоты вращения по величине
C) тока возбуждения по величине
D) противо-ЭДС по величине
54. Организационные мероприятия по снижению потерь электрической энергии в сетях:
а) выявление неучтенной электроэнергии; совершенствование систем учета;
б) оптимизация загрузки электрических сетей; замена перегруженного и недогруженного оборудования; ввод в работу энергосберегающего оборудования;
в) оптимизация схем и режимов электрических сетей; сокращение продолжительности ремонтов; выравнивание нагрузок по фазам;
г) увеличение сечений проводов; отключение части потребителей.
55. Обмотки трехфазного трансформатора соединены по схеме…

A) звезда/звезда
B) звезда/треугольник
C) треугольник/треугольник
D) треугольник/звезда
56. На рисунке приведена схема включения транзистора с общим (ей)…

A) эмиттером
B) коллектором
C) базой
D) землей
СПИСОК ЛИТЕРАТУРЫ
По дисциплине «Иностранный язык»
По английскому языку:
1. Иващенко И.А. Английский язык / И.А. Иващенко; Рос.акад, обр., Моск, психол.-соц. ин-т; под общ. ред. Т. Н. Кондрашиной. Москва: ФЛИНТА, 2014.
2. Кашаев А.А. Основы делового английского языка [Электронный ресурс]: учебное пособие. 3-е изд. Москва: ФЛИНТА, 2017. 173 с. ISBN 978-5-89349-457-0. URL:https://e.lanbook.com/book/106864.
3. ArmerT. Cambridge English for Scientists. Cambridge: Cambridge University Press, 2011.
4. Hashemi L., Murphy R. English Grammar in Use / Supplementary Exercises. - 3rd Edition. Cambridge: Cambridge University Press, 2012.
5. Иванова О.А. English Grammar in use [Электронный ресурс] / Иванова О.А. 2-е изд. Москва: ФЛИНТА, 2016. 142 с. ISBN 978-5-9765-2712-6. URL:http://e.lanbook.com/books/element.php?pl1_id=83785
6. Профессиональный курс / English for Network Students. Professional Course [Электронный ресурс] / Беседина Н. А., Белоусов В. Ю. 7-е изд., Санкт-Петербург: Лань, 2022. 348 с. ISBN 978-5-8114-9010-3. URL:https://e.lanbook.com/book/183621.
По немецкому языку:
1. Немецкий язык для технических вузов = Deutsch fur technische Hochschulen: [учебник для студентов вузов, обучающимся по техническим направлениям подготовки (квалификация (степень) "бакалавр", дисциплине "Немецкий язык")] / Н. В. Басова [и др.]; под ред. Т. Ф. Гайвоненко. 13-е изд., перераб. и доп. Москва: КНОРУС, 2016. 510 с. ISBN 978-5-406-04135-2.
2. Смолдырева Т.В. Научная работа и карьера. Учебное электронное издание. Уфа: УГАТУ, 2014. 150 с.
3. Лыскова Н.Н. Техносферная безопасность: Учебное пособие по немец кому языку / Н.Н.Лыскова, Д.Р.Мухтарова. Уфа: УГАТУ, 2014, 144 с .
4. Бикулова Г.Р. Немецкий язык в математике. Учебное электронное издание. Уфа: УГАТУ, 2015. 136 с.
5. Даминова Р.А. Немецкий язык: Person und Lebenslauf [Электронный ресурс]: [учебное пособие для студентов очной формы обучения, обучающихся по всем направлениям и специальностям] / Р.А. Даминова. Уфимский государственный авиационный технический университет (УГАТУ). Уфа: УГАТУ, 2017. ISBN 978-5-4221-1050-6.
По французскому языку:
1. Penfornis J-L. Methode du français des affaires. P.: CLE international, 2011/ niveau avance Affaires.com
2. Penfornis J-L. Affaires.com: methode de fraçais des affaires. cahier d`exercices / J-L. Penfornis, L. Habert. Paris: CLE international, 2011. 127 с..
По дисциплине «Математика»
1. Беклемишев Д.В. Курс аналитической геометрии и линейной алгебры. М.: Физматлит, 2007.
2. Проскуряков И.В. Сборник задач по линейной алгебре. Санкт-Петербург: Лань, 2022. 476 с. ISBN 978-5-8114-9039-4. URL:https://e.lanbook.com/book/183752.
3. Беклемишева Л.А. Сборник задач по аналитической геометрии и линейной алгебре / Беклемишева Л.А., Беклемишев Д.В., Петрович А.Ю.,Чубаров И.А. 9-е изд. Санкт-Петербург: Лань, 2022. 496 с. ISBN 978-5-8114-9224-4. URL:https://e.lanbook.com/book/190976 .
4. Ефимов Н.В. Линейная алгебра и многомерная геометрия. М.: Физматлит, 2004.
5. Ильин В.А., Позняк Э.Г. Основы математического анализа. Т. 1,2. М.: Физматлит, 2009.
6. Фихтенгольц Г.М. Курс дифференциального и интегрального исчисления. Т. 1,2, 3. М.: Физматлит, 2003, 2007, 2008.
7. Демидович Б.П. Сборник задач и упражнений по математическому анализу. М.: Астрель, 2007.
8. Кудрявцев Л.Д., Кутасов А.Д., Чехлов В.И., Шабунин М.И. Сборник задач по математическому анализу. В 3-х т. М.: Физматлит, 2003.
9. Свешников А.Г., Тихонов А.Н. Теория функций комплексной переменной / Под ред. Ильина В.А. 6-е изд. Москва: ФИЗМАТЛИТ, 2010. 336 с. ISBN 978-5-9221-0133-2.
URL:http://e.lanbook.com/books/element.php?pl1_id=48167.
10. Волковыский Л.И., Лунц Г.А., Араманович И.Г. Сборник задач по теории функций комплексного переменного. М.: Физматлит, 2006.
По дисциплине «Теоретические основы электротехники»
1. Бессонов Л. А. Теоретические основы электротехники. Электрические цепи: [учебник для студентов высших учебных заведений, обучающихся по направлениям подготовки дипломированных специалистов "Электротехника, электромеханика и электротехнологии", "Электроэнергетика", "Приборостроение"] / Л. А. Бессонов. 11- изд., перераб. и доп. Москва: Юрайт, 2012. 701 с.
2. Демирчян К. С. Теоретические основы электротехники: [учебник для студентов вузов, обучающихся по направлениям подготовки бакалавров и магистров "Электротехника, электромеханика и электротехнологии" и "Электроэнергетика"] / К. С. Демирчян, Л. Р. Нейман, Н. В. Коровкин. Санкт-Петербург [и др.]: Питер, (Учебник для вузов). Т. I. 2009. 512 с.
3. Демирчян К. С. Теоретические основы электротехники: [учебник для студентов вузов, обучающихся по направлениям подготовки бакалавров и магистров "Электротехника, электромеханика и электротехнологии" и "Электроэнергетика"] / К. С. Демирчян, Л. Р. Нейман, Н. В. Коровкин. 5-е изд. Санкт-Петербург [и др.]: Питер, (Учебник для вузов). Т. 2. 2009. 432 с.
4. Лукманов В. С. Теоретические основы электротехники: [учебное пособие по теоретическим основам электротехники для студентов вузов, обучающихся по направлению подготовки "Электротехника, электромеханика, электротехнологии" специальности "Электромеханика"; по направлению подготовки "Электроэнергетика" специальности "Электроэнергетические системы и сети"]. Уфа: УГАТУ, 2005 Ч. 1: Теория линейных электрических цепей. 2005. 120 с.
5. Чечулина И.Е. Методические указания для самостоятельного изучения дисциплины "Теоретические основы электротехники" / И.Е. Чечулина, И.В. Вавилова, В.С. Лукманов; Уфимский государственный авиционный технический университет (УГАТУ). Уфа: УГАТУ, 2015. 77 с.
По дисциплине «Электротехника и электроника»
1. Иванов И. И. Электротехника и основы электроники [Электронный ресурс]: учебник для вузов / Иванов И.И., Соловьев Г.И., Фролов В.Я. 11-е изд., Санкт-Петербург: Лань, 2021. 736 с. ISBN 978-5-8114-7115-7. Рекомендовано Учебно-методическим объединением по университетскому политехническому образованию в качестве учебника для студентов высших учебных заведений, обучающихся по направлениям подготовки и специальностям в области техники и технологии. URL:https://e.lanbook.com/book/155680.
2. Белов H.В. Электротехника и основы электроники [Электронный ресурс]: учебное пособие / Н.В. Белов, Ю.С. Волков. Санкт- Петербург: Лань, 2021. 432 с. ISBN 978-5-8114-1225-9. URL:https://e.lanbook.com/book/168400 .
3. Герасименко А.А. Передача и распределение электрической энергии: Учебное пособие / А.А. Герасименко, В.Т. Федин. Ростов-н/Д.: Феникс; Красноярск: Издательские проекты. 2006. – 720 с.
- Нормы технологического проектирования подстанций переменного тока с высшим напряжением 35-750 кВ. СТО 56947007- 29.240.10.248-2017 ПАО «ФСК ЕЭС» 2017 - 135 с.
- Правила устройства электроустановок (ПУЭ, 7 издание).2007.
7. Идельчик В.И. Электрические системы и сети: Учебник для вузов. М.: Энергоатомиздат, 2014. 592 с.
8. Правила технологического функционирования электроэнергетических систем. 2018
- Электрооборудование электрических станций и подстанций: учебник для студ. учреждений сред. проф. образования / Л.Д. Рожкова, Л. К. Карнеева, Т. В. Чиркова. 10-е изд. М.: Издательский центр «Академия», 2013. 448 с.
- Свод правил по проектированию тепловых электрических станций. СП ТЭС-2007. Москва 2007.
- Чернобровов Н.В., Семенов В.А. Релейная защита энергетических систем:- М.: Энергоатомиздат, 2018. 800с.
- Копылов И. П. Электрические машины: [учебник для академического бакалавриата, студентов вузов, обучающихся по инженерно-техническим направлениям и специальностям]. в 2-х т. Национальный исследовательский университет (МЭИ). 3-е изд., испр. и доп. Москва: Юрайт, 2014.
- Вольдек А. И. Электрические машины. Машины переменного тока: [учебник для студентов высших учебных заведений, обучающихся по направлениям подготовки "Электротехника, электромеханика и электротехнологии" и "Электроэнергетика"] / А. И. Вольдек, В. В. Попов. Санкт-Петербург: Питер, 2010. 349 с.
- Вольдек А. И. Электрические машины. Введение в электромеханику. Машины постоянного тока и трансформаторы: [учебник для студентов вузов, обучающихся по направлению подготовки "Электротехника, электромеханика и электротехнологии" и "Электроэнергетика"] / А.И. Вольдек, В. В. Попов. Санкт-Петербург: Питер, 2008. 320 с.
Экономика и финансы предприятий
ПРОГРАММА
вступительного испытания
для поступающих в магистратуру по направлению подготовки
38.04.01 «Экономика»
программа (профиль)
«Экономика и финансы предприятия»
ОБЩИЕ ПОЛОЖЕНИЯ
Вступительные испытания предназначены для определения практической и теоретической подготовленности поступающего в магистратуру и проводятся с целью определения соответствия знаний умений и навыков требованиям обучения магистратуры по направлению подготовки 38.04.01 «Экономика» (магистратура). Программа составлена в соответствии с требованиями федерального государственного образовательного стандарта высшего профессионального образования.
Вступительные испытания в магистратуру проводят экзаменационные комиссии, назначенные председателем приёмной комиссии УУНиТ.
ПРОЦЕДУРА ВСТУПИТЕЛЬНОГО ИСПЫТАНИЯ
Дата и время проведения вступительного испытания и консультации определяются расписанием вступительных испытаний, которое утверждается председателем приемной комиссии.
Перед вступительным испытанием для поступающих проводится консультация по содержанию программы испытания, критериям оценки, предъявляемым требованиям, правилам поведения на испытании.
Форма вступительного испытания (в соответствии Положением о вступительных испытаниях УУНИТ): тестирование.
Вступительные испытания в виде электронного тестирования проводятся в соответствии с программами вступительных испытаний, утверждаемых председателем предметной комиссии.
Вступительные испытания в форме тестирования включают вопросы как закрытого, так и открытого типа, а также задания в аудио- и видеоформатах.
Составление вариантов экзаменационных заданий в форме электронных тестов осуществляется ответственным секретарем приемной комиссии университета.
Из вариантов экзаменационных заданий формируются комплекты вопросов-тестов.
Компоновку комплектов вопросов-тестов ответственный секретарь, заместитель ответственного секретаря производят до вступительных испытаний.
Тест содержит 40 тестовых вопросов.
Результаты испытаний оцениваются по 100 бальной шкале.
Абитуриент, не согласный с оценкой, полученной на ВИ и (или) в связи с нарушением процедуры проведения ВИ имеет право подать апелляцию. Процедура подачи и рассмотрения апелляции регламентируется Положением об апелляционной комиссии УУНиТ.
КРИТЕРИИ ОЦЕНИВАНИЯ ОТВЕТА
Критериями оценки экзаменационного ответа, поступающего в магистратуру являются полнота, логичность, доказательность, прочность, осознанность знаний и теоретическая обоснованность суждений, самостоятельность в интерпретации информации, практическая направленность, уровень овладения профессиональными умениями менеджера и др. В случае тестирования является правильные ответы на тестовые задания.
При проверке количество первичных баллов переводится в итоговую 100 балльную шкалу через информационную платформу университета.
СОДЕРЖАНИЕ РАЗДЕЛОВ И ТЕМ ПРОГРАММЫ ВСТУПИТЕЛЬНОГО ИСПЫТАНИЯ
Экономика предприятия
- Капитал и имущество предприятия. Состав имущества предприятия. Источники формирования имущества. Уставный капитал.
- Основные фонды предприятия. Состав и классификация. Виды стоимостной оценки (первоначальная, восстановительная, остаточная, ликвидационная, среднегодовая). Физический и моральный износа. Показатели оценки степени износа. Экономическая сущность амортизации. Процесс воспроизводства, показатели динамики движения основных фондов. Показатели уровня использования основных фондов (фондоотдача, фондоемкость, амортзациоемкость, рентабельность, фондовооруженность).
- Производственная мощность предприятия. Порядок определения. Факторы, влияющие на величину производственной мощности.
- Оборотные фонды предприятия. Назначение, состав и классификация оборотных фондов предприятия. Оборотные средства предприятия. Сущность нормирования и процесс нормирования оборотных средств. Кругооборот оборотных средств, денежная, производственная и товарная стадии кругооборота. Показатели оборачиваемости оборотных средств (скорость оборота, период оборачиваемости).
- Персонал предприятия и оплата труда. Состав персонала предприятия. Показатели численности персонала. Абсолютные и относительные показатели движения персонала. Производительность труда и выработка. Принципы организации оплаты труда на предприятии. Номинальная и реальная заработная плата. Элементы и формы тарифной системы оплаты труда. Бестарифная система оплаты труда и ее разновидности.
- Себестоимость, прибыль, рентабельность. Экономическая сущность и виды себестоимости. Классификация затрат на производство продукции по статьям калькуляции. Экономическая сущность и функции прибыли. Элементы балансовой прибыли и порядок их определения. Показатели рентабельности.
Финансы предприятия
- Финансовый механизм предприятия. Финансовые ресурсы и источники их формирования. Финансовые отношения. Функции финансов. Активы и пассивы предприятия, финансовые результаты.
- Финансовый анализ. Методы анализа финансового состояния предприятия. Источники информации для финансового анализа. Анализ ликвидности и платежеспособности. Анализ финансовой устойчивости. Анализ эффективности деятельности предприятия. Анализ деловой активности. Операционный анализ. Основные финансовые коэффициенты.
- Финансовое планирование на предприятии. Текущее и перспективное финансовое планирование. Эффект операционного рычага. Эффект финансового рычага. Мультипликативный (операционно-финансовый) рычаг. Управление финансовыми рисками. Налоговые эффекты в финансовом планировании.
- Инвестиционная деятельность предприятия. Сущность и виды инвестиций. Инвестиционные проекты предприятия, денежные потоки проекта. Оценка эффективности инвестиционных проектов. Концепция временной стоимости денег. Показатели коммерческой эффективности проекта.
Экономико-математическое моделирование и информационно-аналитические технологии
- Системный анализ и управление в экономике предприятия. Системный анализ как методология принятия решений в экономике. Понятие «система», свойства систем, классификация систем, виды описания систем. Жизненный цикл систем – продукции, проекта, предприятия. Управление, функции и система управления. Моделирование как метод исследования и управления. Понятие «модель», назначение модели и свойства моделей.
- Статистический анализ данных. Методы сбора и первичного анализа данных: статистическое измерение и наблюдение социально-экономических явлений и процессов; статистические показатели и ряды распределений. Методы дескриптивного и разведочного анализа данных: статистические группировки и классификации; обобщающие показатели и показатели вариации.
- Эконометрическое моделирование. Эконометрическая методология: объект, предмет, цели, задачи и инструментарий. Эконометрическая модель, особенности и методы построения. Методы анализа связей и зависимостей показателей деятельности предприятий.
- Информационные системы и технологии в экономике предприятия. Цифровая экономика и цифровая трансформация бизнеса. Сквозные цифровые технологии. Основы проектирования и применения информационных систем в экономике предприятия.
Демоверсия экзаменационного варианта
Экономика предприятия
2. О повышении эффективности использования оборотных средств свидетельствует
- Повышение длительности одного оборота
- Увеличение коэффициента оборачиваемости оборотных средств
- Увеличение суммы оборотных средств предприятия
3. Какие виды оплаты труда относятся к бестарифной системе
- Комиссионная
- Сдельно-прогрессивная
- Косвенно-сдельная
- Повременно-премиальная
- Дилерская
4. Какая статья расходов дополняет производственную себестоимость до полной себестоимости
- Топливо и энергия на технологические нужды
- Расходы на освоение и подготовку производства
- Внепроизводственные расходы
- Амортизация основных фондов
- Заработная плата
5. Сопоставить наименование показателя уровня использования основных фондов и его определение
|
показатель |
определение |
|
Фондоотдача |
показатель, характеризующий оснащенность работников предприятий сферы материального производства основными производственными средствами |
|
Фондоемкость |
показатель эффективности (доходности) использования основных средств, участвующих в основной деятельности. |
|
Амортизациоемкость |
показатель, определяющий выпуск продукции в денежном выражении, приходящийся на 1 рубль среднегодовой стоимости основных фондов |
|
Рентабельность |
показатель, отражающий потребность в основных средствах на единицу стоимости продукции. |
|
Фондовооруженность |
показатель, характеризующий величину удельных издержек, связанных с потреблением основных фондов |
Финансы предприятия
1. Основным источником информации для проведения финансового анализа являются
- Данные бухгалтерского учета предприятия
- Данные контрольно-ревизионных служб
- Результаты опросов сотрудников финансовых подразделений
- Отраслевые отчеты
2. Методом анализа, в основе которого лежит деление затрат на переменные и постоянные, является
- Анализ ликвидности
- Анализ деловой активности
- Анализ финансовой устойчивости
- Операционный анализ
- Факторный анализ
- Анализ эффективности деятельности предприятия
3. Точка безубыточности – это
- Период времени, в течение которого доходы становятся равны расходам
- Объем продаж, при котором доходы равны расходам
- Местоположение предприятия, определяющее уровень его доходности
- Величина расходов, которую может себе позволить предприятие
4. Указать соответствие наименования и определения циклов деятельности предприятия
|
Операционный цикл |
период полного оборота денежных средств, инвестированных в оборотные активы (с момента погашения кредиторской задолженности за сырье и материалы, заканчивая погашением дебиторской задолженности) |
|
Производственный цикл |
период полного оборота всей суммы оборотных активов, в процессе которого происходит смена отдельных их видов |
|
Финансовый цикл |
период полного оборота материальных элементов оборотных активов, используемых для обслуживания производственного процесса (с момента поступления сырья и материалов и заканчивая моментом отгрузки изготовленной из них готовой продукции) |
5. Задолженность предприятию от юридических или физических лиц – _____________
Экономико-математическое моделирование
и информационно-аналитические технологии
1. Соотнесите следующие категории и их определения:
|
Технология блокчейн |
наличие распределенной базы данных, которая хранит информацию обо всех транзакциях участников системы в виде «цепочки блоков» |
|
Интернет вещей |
концепция вычислительной сети физических предметов («вещей»), оснащённых встроенными технологиями для взаимодействия друг с другом или с внешней средой |
|
Технология больших данных (big data) |
технологии сбора, обработки и хранения массивов информации, характеризующихся значительным объемом и быстрой скоростью изменений |
2. Изменение, определяющее общее направление развития явления или процесса, называется _____________
3. Метод исследования объектов на основе их моделей, построение и изучение моделей реально существующих предметов и явлений разной природы, а также конструируемых объектов для определения либо улучшения их характеристик, рационализации способов их построения, управления ими, называется ____________
4. Экономико-математическое моделирование это:
- совокупность методов анализа связей между различными экономическими показателями на основании реальных данных с использованием аппарата теории оптимизации, теории игр и теории дифференциальных уравнений
- сбор статистических данных об исследуемых экономических процессах
- передача информации по каналам связи об исследуемых экономических процессах
5. Оценки параметров линейного уравнения множественной регрессии можно найти при помощи метода …
- наименьших квадратов
- нулевых квадратов
- средних квадратов
- нормальных квадратов
СПИСОК ЛИТЕРАТУРЫ
Экономика предприятия
- Мухина, И. А. Экономика организации (предприятия) : учебное пособие / И. А. Мухина. — 3-е изд., стер. — Москва : ФЛИНТА, 2022. — 320 с. — ISBN 978-5-9765-0684-8. — Текст : электронный // Лань : электронно-библиотечная система. — URL: https://e.lanbook.com/book/341372 (дата обращения: 03.04.2025). — Режим доступа: для авториз. пользователей.
- Гусарова, И. А. Экономика предприятия : учебное пособие / И. А. Гусарова, Ю. В. Пантелеева, К. В. Николаева. — 2-е изд., перераб. и доп. — Казань : КНИТУ, 2022. — 100 с. — ISBN 978-5-7882-3196-9. — Текст : электронный // Лань : электронно-библиотечная система. — URL: https://e.lanbook.com/book/330779 (дата обращения: 03.04.2025). — Режим доступа: для авториз. пользователей.
- Болдырева, Н. П. Экономика предприятия (организации) в схемах и таблицах : учебное пособие / Н. П. Болдырева ; научный редактор И. В. Зенченко. — 2-е изд. — Москва : ФЛИНТА, 2024. — 109 с. — ISBN 978-5-9765-5664-5. — Текст : электронный // Лань : электронно-библиотечная система. — URL: https://e.lanbook.com/book/436538 (дата обращения: 03.04.2025). — Режим доступа: для авториз. пользователей.
Финансы предприятия
- Баранова, А. Ю. Финансы организаций : учебное пособие / А. Ю. Баранова. — 2-е изд. — Москва : ФЛИНТА, 2024. — 80 с. — ISBN 978-5-9765-5603-4. — Текст : электронный // Лань : электронно-библиотечная система. — URL: https://e.lanbook.com/book/436511
- Погодина, Т. В. Финансовый менеджмент : учебник и практикум для вузов / Т. В. Погодина. — 2-е изд., перераб. и доп. — Москва : Издательство Юрайт, 2024. — 259 с. — (Высшее образование). — ISBN 978-5-534-16480-0. — Текст : электронный // Образовательная платформа Юрайт [сайт]. — URL: https://urait.ru/bcode/536450.
- Лукасевич, И. Я. Финансовый менеджмент : учебник и практикум для вузов / И. Я. Лукасевич. — 4-е изд., перераб. и доп. — Москва : Издательство Юрайт, 2024. — 680 с. — (Высшее образование). — ISBN 978-5-534-16271-4. — Текст : электронный // Образовательная платформа Юрайт [сайт]. — URL: https://urait.ru/bcode/544902
Экономико-математическое моделирование и информационно-аналитические технологии
- Орлова Е.В. Исследования и разработки (R&D): анализ данных и экономическая эффективность: учебник. Москва: ИНФРА-М, 2024. 282 с. (Высшее образование). ISBN 978-5-16-018291-9
- Орлова Е.В. Эконометрическая методология исследования систем: учебник. 2-е изд. испр. и доп. Москва: Инфра-М, 2021. 221 с. ISBN 978-5-16-016405-2.
- Волкова В.Н., Юрьев В.Е., Широкова С.В., Логинова А.В. Информационные системы в экономике: учебник. Москва: Юрайт, 2023. 402 с.
- Статистика: учебник для вузов / отв. ред. И. И. Елисеева. 6-е изд., перераб. и доп. Москва: Издательство Юрайт, 2025. 619 с.
- Исмагилова Л.А., Орлова Е.В. Системный анализ и принятие решений в экономике. Уфа: УГАТУ, 2017. 157
Биология с основами биотехнологии
ПРОГРАММА
вступительного испытания
для поступающих в магистратуру по направлению подготовки
06.04.01 «Биология»
программы (профили):
«Биотехнология и биомедицина»,
«Биогенетические технологии»
ОБЩИЕ ПОЛОЖЕНИЯ
Вступительные испытания предназначены для определения практической и теоретической подготовленности поступающего в магистратуру и проводятся с целью определения соответствия знаний умений и навыков требованиям обучения магистратуры по направлению подготовки 06.04.01 «Биология» (магистратура). Программа составлена в соответствии с требованиями федерального государственного образовательного стандарта высшего профессионального образования.
Вступительные испытания в магистратуру проводят экзаменационные комиссии, назначенные председателем приёмной комиссии УУНиТ.
ПРОЦЕДУРА ВСТУПИТЕЛЬНОГО ИСПЫТАНИЯ
Дата и время проведения вступительного испытания и консультации определяются расписанием вступительных испытаний, которое утверждается председателем приемной комиссии.
Перед вступительным испытанием для поступающих проводится консультация по содержанию программы испытания, критериям оценки, предъявляемым требованиям, правилам поведения на испытании.
Форма вступительного испытания (в соответствии Положением о вступительных испытаниях УУНИТ): устно-письменная.
Вступительные испытания в виде устно-письменного экзамена проводятся в соответствии с программами вступительных испытаний, утверждаемых председателем приемной комиссии.
Экзаменационные билеты включают два или три вопроса по направлению подготовки (по специальности).
В аудитории, где проводится вступительное испытание в устно-письменной форме, не может находиться одновременно более 6 человек. Нахождение в аудитории посторонних лиц не допускается.
Абитуриенту предоставляется право готовиться к ответу в течение 30 минут.
Абитуриенту предоставляется право ответа на экзаменационные вопросы в течение 20-25 минут.
В процессе сдачи вступительного испытания абитуриенту могут быть заданы дополнительные вопросы как по содержанию экзаменационного билета, так и по любым разделам предмета в пределах программы вступительного испытания.
Абитуриент, не согласный с оценкой, полученной на ВИ и (или) в связи с нарушением процедуры проведения ВИ имеет право подать апелляцию. Процедура подачи и рассмотрения апелляции регламентируется Положением об апелляционной комиссии УУНиТ.
КРИТЕРИИ ОЦЕНИВАНИЯ ОТВЕТА
Критериями оценки экзаменационного ответа, поступающего в магистратуру являются полнота, логичность, доказательность, прочность, осознанность знаний и теоретическая обоснованность суждений, самостоятельность в интерпретации информации, практическая направленность, уровень овладения профессиональными умениями менеджера и др. В случае тестирования является правильные ответы на тестовые задания.
Результаты вступительного испытания определяются по 100-балльной шкале, разброс баллов представлен ниже в таблице:
|
№ |
Критерии оценивания |
Оценка |
|
1 |
Дан полный развернутый ответ на теоретический вопрос:
|
85-100 баллов «отлично» |
|
2 |
Дан в целом правильный ответ на теоретический вопрос:
|
67-84 балла «хорошо» |
|
3 |
Дан в основном правильный ответ на теоретический вопрос:
|
50-66 баллов «удовлетворительно» |
|
4 |
Дан фрагментарный ответ или неправильный ответ на теоретический вопрос из предложенного тематического раздела:
|
0-49 баллов «неудовлетворительно» |
СОДЕРЖАНИЕ РАЗДЕЛОВ И ТЕМ ПРОГРАММЫ
ВСТУПИТЕЛЬНОГО ИСПЫТАНИЯ
Ботаника
- Водоросли. Общая характеристика водорослей. Классификация. Современные достижения в области альгологии.
- Вегетативные органы растений. Строение и функции. Вегетативное размножение растений.
- Строение и функции генеративных органов растений. Опыление и оплодотворение.
- Грибы. Общая характеристика грибов. Классификация. Современные достижения в области микологии.
- Моховидные, плауновидные. Общая характеристика. Обзор основных таксонов. Экологическое разнообразие, механизмы устойчивости.
- Хвощевидные, папоротниковидные. Общая характеристика. Обзор основных таксонов. Экологическое разнообразие, механизмы устойчивости.
- Голосеменные. Общая характеристика. Основные таксоны.
- Покрытосеменные. Общая характеристика цветковых растений. Двудольные и однодольные растения. Основные семейства.
- Способы размножения растений. Их сущность и биологическое значение.
- Лишайники. Общая характеристика. Классификация. Современные достижения в области лихенологии.
Генетика
- Строение геномов эукариот и прокариот. Избыточность генетического материала, классификация.
- Строение и организация генов у про- и эукариот. Регуляция транскрипции.
- Генетика пола. Наследование признаков, сцепленных с полом. Хромосомная теория наследственности Т. Моргана.
- Мутации, виды. Характеристика. Значение мутаций для эволюции
- Взаимодействие генов, виды, молекулярный механизм взаимодействия.
- Теория определения пола (гормональная, балансовая, гормональная)
- Наследование и наследственность. Основные законы наследственности, уставленные Г. Меделем.
- Изменчивость, виды изменчивости. Мутационная изменчивость; классификация мутаций.
- Генетика популяций. Закон Харди - Вайнберга. Факторы генетической эволюции в популяциях. Значение генетики в развитии эволюционной теории.
- Генетика человека. Методы исследования генетики человека.
- Биология клетки. Клеточная теория, основные положения. Структурные компоненты клеток, строение, функции.
- Популяционная генетика. Факторы эволюции.
- Ткани человеческого организма. Особенности организации и классификации тканей
- Происхождение многоклеточных животных.
Экология
- Экология и практическая деятельность человека.
- Среда обитания. Основные среды обитания. Пути приспособления к условиям среды.
- Биосфера. Строение и принципы их функционирования.
- Экосистемы. Строение и принципы их функционирования.
- Типы взаимосвязей и взаимоотношений организмов в биоценозах.
Микробиология. Биохимия
- Морфология и анатомия бактериальной клетки.
- Метаболизм бактерий (брожение, дыхание, фотосинтез у бактерий).
- Фотосинтез, его значение. Фотосинтетический аппарат и пигментные системы. Стадии фотосинтеза. Фотосинтез у эукариот и прокариот.
- Водный обмен растений, его значение. Транспорт воды в растении. Водный баланс.
- Белки. Обмен белков.
- Углеводы. Обмен углеводов.
- Липиды. Обмен липидов.
- Гормоны. Обмен гормонов.
- Участие микроорганизмов в круговороте веществ в природе.
- Нуклеиновая кислота. Виды, обмен.
Теория эволюции
- Додарвиновский период формирования эволюционной идеи. Эволюционное учение Ч. Дарвина и развитие эволюционной теории в последарвиновский период.
- Движущие силы эволюции.
- Микроэволюция. Роль и значение микроэволюции в развитии органического мира.
- Макроэволюция. Развитие жизни на Земле.
- Происхождение и эволюция человека. Движущие силы антропогенеза и их специфика.
Анатомия и морфология
- Опорно–двигательный аппарат. Скелет. Строение и классификация костей. Соединение костей.
- Органы дыхательной системы, их строение и функции. Биомеханика внешнего дыхания и газообмен. Механизмы регуляции дыхания.
- Пищеварительная система. Переваривание и всасывание веществ. Регуляция пищеварительной системы.
- Строение мочевыделительной системы. Почки, их строение и функции. Процесс мочеобразования.
- Кровеносная система. Строение и классификация кровеносных сосудов. Сердечный цикл. Кровообращение, его регуляция.
- Внутренняя среда организма. Функции, состав и свойства крови. Иммунитет. Факторы и механизм свертывания крови.
- Нервная система, функции, классификация. Рефлекторный характер деятельности нервной системы. Классификация рефлексов. Свойства нервных центров
- ЦНС, принципы координационной деятельности. Головной и спинной мозг.
- Высшая нервная деятельность. Условные и безусловные рефлексы. Торможение условных рефлексов. Сенсорные системы.
- Гормональная регуляция функций. Эндокринные железы. Классификация и механизмы действия гормонов.
Биотехнология
- Методы биологии, используемые в биотехнологии. (Метод рекомбиотных ДНК, ферменты и.т.д.)
- Генная инженерия растений. Методы перенесения генов в растениях (Ti –и Ri – плазмиды).
- Генная инженерия животных.
- Успехи и достижения биотехнологии. Нанобиотехнология. ДНК-микрочипы и т.д.
Зоология
59. Общая характеристика простейших. Систематика простейших.
60. Общая характеристика радиально-лучевых животных. Систематика и характеристика кишечно-полостных и гребневиков.
61. Колониальные и полиэнергидные гипотезы происхождения многоклеточных животных.
62. Общая характеристика членистоногих. Систематика типа.
Демоверсия экзаменационного варианта
- НАУКИ И ВЫСШЕГО ОБРАЗОВАНИЯ
- ФЕДЕРАЦИИ
- ГОСУДАРСТВЕННОЕ БЮДЖЕТНОЕ
- УЧРЕЖДЕНИЕ ВЫСШЕГО ОБРАЗОВАНИЯ
- УНИВЕРСИТЕТ НАУКИ И ТЕХНОЛОГИЙ»
- ФИЛИАЛ
- ФАКУЛЬТЕТ
|
Вступительный экзамен по направлению 06.04.01 Биология 2025-2026 уч. год |
УТВЕРЖДАЮ Директор СФ УУНиТ
___________ И.А.Сыров
|
Экзаменационный билет № 1
- Морфология и анатомия бактериальной клетки. Рост и размножение микроорганизмов. Генетика, питание и систематика микроорганизмов.
2. Додарвиновский период формирования эволюционной идеи. Эволюционное учение Ч. Дарвина и развитие эволюционной теории в последарвиновский период.
- кафедрой биологии________________Курамшина З.М.
СПИСОК ЛИТЕРАТУРЫ
- Нормальная физиологии человека: Учебник род ред. Н.А. Агаджаняна. - М.: Российский ун-т дружбы народов. Т.1.-2022.- 832 с.
- Колесников, С.И. Общая экология: учебник / Колесников С.И. — Москва: КноРус, 2021. - 216 с.
- Ленченко, Е.М. Цитология, гистология и эмбриология: учебник для академического бакалавриата / Е.М.Ленченко.— 2-е изд., испр. и доп. — Москва, 2024.- 355 с.
- Глазко В.И. Толковый словарь терминов по общей и молекулярной биологии, общей и прикладной генетике, селекции, ДНК-технологии и биоинформатике: в 2 т. Т.1: А-О./ В.И. Глазко.- М.: Курс, 2022.-1240 с.
- Глазко В. И. Толковый словарь терминов по общей и молекулярной биологии, общей и прикладной генетике, селекции, ДНК-технологии и биоинформатике: в 2 т. Т.2: П-Я / В.И. Глазко.- М.: Курс, 2022.-530 с.
- Алферова, Г. А. Генетика : учебник для вузов / под редакцией Г. А. Алферовой. — 3-е изд., испр. и доп. — Москва : Издательство Юрайт, 2022. — 200 с.
- Машинская, Н. Д. Зоология позвоночных: учебное пособие для вузов / Н. Д. Машинская, Л. А. Конева, Р. В. Опарин. — Москва: Издательство Юрайт, 2024.- 213с.
- Кустов, С. Ю. Зоология беспозвоночных: учебное пособие для вузов / С. Ю. Кустов, В. В. Гладун. — 2-е изд., перераб. и доп. — Москва : Издательство Юрайт, 2021. —271с
- Жохова, Е. В. Ботаника : учебное пособие для вузов / Е. В. Жохова, Н. В. Скляревская. — 2-е изд., испр. и доп. — Москва : Издательство Юрайт, 2021. — 221 с.
- Дробинская, А. О. Анатомия и физиология человека: учебник для среднего профессионального образования / А. О. Дробинская. — 2-е изд., перераб. и доп. — Москва: Издательство Юрайт, 2021. — 414 с.
- Северцов, А. С. Теории эволюции: учебник для вузов / А. С. Северцов. — 2-е изд., испр. и доп. — Москва: Издательство Юрайт, 2021. — 384 с.
- Северцов, А. С. Теории эволюции: учебник для академического бакалавриата / А. С. Северцов. — 2-е изд., испр. и доп. — Москва: Издательство Юрайт, 2024. — 384 с. — (Бакалавр. Академический курс).
- Биотехнология: учебник и практикум для вузов / под редакцией Н. В. Загоскиной, Л. В. Назаренко. — 3-е изд., испр. и доп. — Москва : Издательство Юрайт, 2024. — 384 с.
- Молекулярная биология и генная инженерия : учебное пособие / Т. Н. Субботина, О. А. Гусейнов, И. Е. Маслюкова [и др.].; Сибирский федеральный университет, Институт фундаментальной биологии и биотехнологии. - Красноярск: СФУ, 2021 (2021-04-29). - 234 с.
- Кузнецов, В. В. Физиология растений в 2 т. Том 1: учебник для академического бакалавриата / В. В. Кузнецов, Г. А. Дмитриева. — 4-е изд., перераб. и доп. — Москва: Издательство Юрайт, 2024. — 437 с.
- Ершов, Ю. А. Биохимия : учебник и практикум для вузов / Ю. А. Ершов, Н. И. Зайцева ; под редакцией С. И. Щукина. — 2-е изд., испр. и доп. — Москва : Издательство Юрайт, 2021. — 323 с.
- Емцев, В. Т. Общая микробиология: учебник для вузов / В. Т. Емцев, Е. Н. Мишустин. — Москва: Издательство Юрайт, 2021. — 248 с. — (Высшее образование).
- Коничев, А. С. Молекулярная биология : учебник для вузов / А. С. Коничев, Г. А. Севастьянова, И. Л. Цветков. — 5-е изд. — Москва: Издательство Юрайт, 2021. — 422 с.
Междисциплинарный экзамен по истории
ПРОГРАММА
вступительного испытания
для поступающих в магистратуру по направлению подготовки
44.04.01 «Педагогическое образование»
программа (профиль)
«Историко-социальное образование»
ОБЩИЕ ПОЛОЖЕНИЯ
Вступительные испытания предназначены для определения практической и теоретической подготовленности поступающего в магистратуру, и проводятся с целью определения соответствия знаний умений и навыков требованиям обучения магистратуры по направлению подготовки 44.04.01 «Педагогическое образование» (магистратура). Программа составлена в соответствии с требованиями федерального государственного образовательного стандарта высшего профессионального образования.
Вступительные испытания в магистратуру проводят экзаменационные комиссии, назначенные председателем приёмной комиссии УУНиТ.
ПРОЦЕДУРА ВСТУПИТЕЛЬНОГО ИСПЫТАНИЯ
Дата и время проведения вступительного испытания и консультации определяются расписанием вступительных испытаний, которое утверждается председателем приемной комиссии.
Перед вступительным испытанием для поступающих проводится консультация по содержанию программы испытания, критериям оценки, предъявляемым требованиям, правилам поведения на испытании.
Форма вступительного испытания (в соответствии Положением о вступительных испытаниях УУНИТ): устно-письменная.
Вступительные испытания в виде устно-письменного экзамена проводятся в соответствии с программами вступительных испытаний, утверждаемых председателем приемной комиссии.
Экзаменационные билеты включают три вопроса по направлению подготовки (по специальности).
В аудитории, где проводится вступительное испытание в устно-письменной форме, не может находиться одновременно более 6 человек. Нахождение в аудитории посторонних лиц не допускается.
Абитуриенту предоставляется право готовиться к ответу в течение 30 минут.
Абитуриенту предоставляется право ответа на экзаменационные вопросы в течение 20-25 минут.
В процессе сдачи вступительного испытания абитуриенту могут быть заданы дополнительные вопросы как по содержанию экзаменационного билета, так и по любым разделам предмета в пределах программы вступительного испытания.
Абитуриент, не согласный с оценкой, полученной на ВИ и (или) в связи с нарушением процедуры проведения ВИ имеет право подать апелляцию. Процедура подачи и рассмотрения апелляции регламентируется Положением об апелляционной комиссии УУНиТ.
КРИТЕРИИ ОЦЕНИВАНИЯ ОТВЕТА
Критериями оценки экзаменационного ответа, поступающего в магистратуру являются полнота, логичность, доказательность, прочность, осознанность знаний и теоретическая обоснованность суждений, самостоятельность в интерпретации информации, практическая направленность, уровень овладения профессиональными умениями менеджера и др. В случае тестирования является правильные ответы на тестовые задания.
Результаты вступительного испытания определяются по 100-балльной шкале, разброс баллов представлен ниже в таблице:
|
№ |
Критерии оценивания |
Оценка |
|
1 |
Дан полный развернутый ответ на теоретический вопрос:
|
85-100 баллов «отлично» |
|
2 |
Дан в целом правильный ответ на теоретический вопрос:
|
67-84 балла «хорошо» |
|
3 |
Дан в основном правильный ответ на теоретический вопрос:
|
50-66 баллов «удовлетворительно» |
|
4 |
Дан фрагментарный ответ или неправильный ответ на теоретический вопрос из предложенного тематического раздела:
|
0-49 баллов «неудовлетворительно» |
СОДЕРЖАНИЕ РАЗДЕЛОВ И ТЕМ ПРОГРАММЫ ВСТУПИТЕЛЬНОГО ИСПЫТАНИЯ
Раздел 1. Методика обучения истории.
-
- Методика преподавания истории как наука.
- Методика преподавания истории в дореволюционной России: основные достижения.
- Развитие школьного исторического образования в 1917-1980-е гг.
- Государственные образовательные стандарты по истории первого и второго поколения: сравнительный анализ. Структура и требования стандарта второго поколения.
- Содержание и структура современного исторического образования.
- Учебно-методическое обеспечение преподавания истории в основной и старшей школе.
- Проектная и исследовательская деятельность при изучении истории в школе.
- Урок истории, его типы и формы. Современные подходы к отбору форм урока истории.
- Структурно-функциональный анализ содержания учебного исторического материала.
- Методы и приемы обучения истории в основной и старшей школе.
- Современные средства обучения истории в школе.
- Интерактивные педагогические технологии в обучении истории в школе.
- Воспитательные возможности исторического содержания школьного предмета «История».
- Реализация внутрипредметных, межкурсовых и межпредметных связей при изучении истории.
- Пути организации познавательной деятельности учащихся при изучении истории.
- Проблемное обучение. Познавательные задания в обучении истории в основной и старшей школе.
- Тестирование как средство оценивания результатов обучения истории.
- Уроки истории с использованием информационных средств обучения в школе.
- Технология проведения игр и дискуссий на уроках истории.
- Особенности процесса обучения истории в старшей школе на профильном уровне.
Раздел 2. Отечественная история.
- Проблема образования Древнерусского государства в отечественной историографии.
- Объединительные процессы в Северо-Восточной Руси в XIV- первой трети XVI вв.
- Политический строй и внутренняя политика Россия в середине – второй половине XVI в.
- Политический кризис в Русском государстве на рубеже XVI-XVII в. Проблема «Смуты» и гражданской войны в историографии.
- Особенности социально-экономического развития и политического строя России в XVII веке.
- Модернизация России в эпоху Петра I. Оценка реформ Петра I в историографии.
- Упрочение абсолютизма и сословного строя во второй половине XVIII в.
- Социально-экономический строй России XIX – начала XX вв. Отмена крепостного права и ее последствия.
- Великие реформы Александра II: разработка, ход, последствия. Оценка реформ в историографии и общественной мысли.
- Общественно-политическое течение в России в XIX в.
- Власть и общество в России в начале ХХ в. Революционные события 1905-1907 гг. Формирование системы политических партий и российского парламентаризма.
- Россия в системе международных отношений XVIII – начала ХХ вв.
- Культура дореволюционной России.
- Россия в 1917 г. Проблема выбора путей общественного развития. Гражданская война и интервенция в России в историографии.
- Советская страна в 1920-1930-е гг.: экономика, политический режим, международное положение.
- Великая Отечественная война 1941-1945 гг. Проблемы современной историографии.
- Внутренняя и внешняя политика СССР во второй половине 1940 – середине 1980-х гг. Власть и общество.
- Эпоха перестройки и международное положение СССР (1985-1991 гг.).
- Россия в системе мировой цивилизации в начале XXI в.
- Отечественная историческая наука на современном этапе: методологические подходы, концепции, представители.
Раздел 3. Всеобщая история.
- Современные концепции происхождения человека и общества.
- Особенности социально-экономического и политического строя древневосточных государств.
- Политико-правовая организация и социальная структура античных обществ.
- Античная культура.
- Становление и развитие средневековой западноевропейской цивилизации и культуры.
- Страны Востока в средние века. Мусульманская культура.
- Идеология гуманизма и особенности Ренессанса в странах Западной Европы.
- Реформация и Контрреформация в Западной Европе.
- Европейские революции Нового времени.
- Модернизация европейского общества: переход от традиционного, аграрного общества к индустриальному.
- Традиционные общества Востока в условиях европейской колониальной экспансии.
- Первая мировая война: причины, ход, итоги.
- Эволюция экономической системы, социальной структуры, политико-правовой организации западного общества в XX веке.
- Тоталитарные режимы в странах Запада в ХХ в.
- Международные отношения в Новое и Новейшее время. Мировые войны.
- Вторая мировая война: причины, основные этапы, итоги.
- Системный кризис индустриального общества в ведущих странах Запада в конце 1960-1970-х гг.
- Модели социально-экономического развития стран Азии и Африки во второй половине ХХ в.
- Становление информационного общества в странах Запада на рубеже XX-XXI вв.
- Новейшее направление в Отечественной истории по всемирной истории.
Демоверсия экзаменационного варианта
- НАУКИ И ВЫСШЕГО ОБРАЗОВАНИЯ
- ФЕДЕРАЦИИ
- ГОСУДАРСТВЕННОЕ БЮДЖЕТНОЕ
- УЧРЕЖДЕНИЕ ВЫСШЕГО ОБРАЗОВАНИЯ
- УНИВЕРСИТЕТ НАУКИ И ТЕХНОЛОГИЙ»
- ФИЛИАЛ
- ФАКУЛЬТЕТ
|
Вступительный экзамен по направлению 44.04.01 Педагогическое образование, программа «Историко-социальное образование» 2025-2026 уч. год |
УТВЕРЖДАЮ Директор СФ УУНиТ
___________ И.А.Сыров
|
Экзаменационный билет № 1
1. Проектная и исследовательская деятельность при изучении истории в школе
2. Упрочение абсолютизма и сословного строя во второй половине XVIII в
3. Идеология гуманизма и особенности Ренессанса в странах Западной Европы.
Заведующий кафедрой _______________О.С. Павлова
СПИСОК ЛИТЕРАТУРЫ
- Бурганова, В. Н. История стран Азии и Африки в средние века: электронный конспект лекций: [16+] / В. Н. Бурганова; Кемеровский государственный университет. – Кемерово: Кемеровский государственный университет, 2014. – 81 с.: табл. – Режим доступа: по подписке. – URL: https://biblioclub.ru/index.php?page=book&id=437457 (дата обращения: 08.04.2025);
- Говоров, Ю. Л. История стран Азии и Африки в новейшее время: курс: [16+] / Ю. Л. Говоров, Е. В. Ипатенко; Кемеровский государственный университет. – Изд. 2-е, испр. и доп. – Кемерово: Кемеровский государственный университет, 2017. – 363 с. – Режим доступа: по подписке. – URL: https://biblioclub.ru/index.php?page=book&id=481525 (дата обращения: 08.04.2025). – ISBN 978-5-8353-2138-4. – Текст: электронный.
- Гоголев, Д. А. История древнего мира: учебно-методический комплекс. Рабочая программа для студентов направления подготовки 46.03.01 «История» очной формы обучения: [16+] / Д. А. Гоголев; отв. ред. А. Г. Еманов; Тюменский индустриальный университет. – Тюмень: Тюменский государственный университет, 2017. – 62 с.: ил. – Режим доступа: по подписке. – URL: https://biblioclub.ru/index.php?page=book&id=572381 (дата обращения: 08.04.2025) – Библиогр.: с. 56 - 58. – Текст: электронный.
- Дмитриев, В. А. История древнего мира: учебно-методическое пособие для студентов исторического факультета: [16+] / В. А. Дмитриев. – 3-е изд. испр. и доп. – Москва; Берлин: Директ-Медиа, 2015. – 84 с: ил. – Режим доступа: по подписке. – URL: https://biblioclub.ru/index.php?page=book&id=429822 (дата обращения: 08.04.2025). – Библиогр.в кн. – ISBN 978-5-4475-5663-1. – DOI 10.23681/429822. – Текст: электронный.
- Дугин А.Г. Геополитика России. Учебное пособие для вузов. – М., Академический проект, 2014. – 523 с.
- Иловайский Д.И. Разыскания о начале Руси. – М.: Директ-Медиа, 2014. – 544 с. [Электронный ресурс]. - URL: http://biblioclub.ru/index.php? page=book&id=255970 (дата обращения 08.04.2025)
- История Древней Греции: Учебное пособие для студентов высших учебных заведений / Под. ред. В.И. Кузищина. – М., 2011.
- История России XIX – начала ХХ вв. / Под ред. В.А. Федорова. – М., 2014.
- История России XVIII- XIX веков: Учебное пособие для студентов высших учебных заведений / Под ред. Л.В. Милова. – М., 2012.
- История Древнего мира: учебник и практикум для вузов / под общей редакцией Т. В. Кудрявцевой. — Москва: Издательство Юрайт, 2024. — 437 с. — (Высшее образование). — ISBN 978-5-534-05055-4. — Текст: электронный // Образовательная платформа Юрайт [сайт]. — URL: https://urait.ru/bcode/537002 (дата обращения: 08.04.2025);
- История средних веков: учебник для академического бакалавриата / под ред. И. Н. Осиновского, Г.А. Ртищевой, Н. В. Симоновой. – М.: издательство ЮРАЙТ, 2017, 463 с.
- История Средних веков: учебник для вузов / И. Н. Осиновский [и др.]; под редакцией И. Н. Осиновского, Г. А. Ртищевой, Н. В. Симоновой. — Москва: Издательство Юрайт, 2024. — 463 с. — (Высшее образование). — ISBN 978-5-9916-2745-0. — Текст: электронный // Образовательная платформа Юрайт [сайт]. — URL: https://urait.ru/bcode/536163 (дата обращения: 08.04.2025);
- История стран Азии и Африки (Новое время): учебно-методическое пособие / А. М. Родригес-Фернандес, А. С. Дербенев, Н. Н. Лисицына, В. А. Никитюк. — Москва: МПГУ, 2021. — 96 с. — ISBN 978-5-4263-0600-4. — Текст: электронный // Лань: электронно-библиотечная система. — URL: https://e.lanbook.com/book/112551 (дата обращения: 08.04.2025). — Режим доступа: для авториз. пользователей.
- Короткова М.В. Методика обучения истории: от классики к инноватике / учебник М. В. Короткова. – Москва: МПГУ, 2020. – 248 с. [Электронный ресурс]. - URL: https://www.elibrary.ru/item.asp?id=44471889 (дата обращения 08.04.2025)
- Кручинина Н.А Новая и новейшая история стран Европы и Америки: учебник/Н.А. Кручинина; Министерство образования и науки российской науки, Уральский Федеральный университет – Екатеринбург: издательство Урал. Ун-та 2018. –124 с.
- Мединский В.Р. Торкунов А.В. История России 10 класс. -М., 494 с., 2023;
- Методика обучения и воспитания (по профилю «История»). Учебное пособие / авт. Составитель Э.В. Мухаметзянова. – Стерлитамак, 2013.
- Отечественная историческая наука на современном этапе: учеб. пособие по спецкурсу для студентов исторических факультетов / Е.М. Аллагулова, Р.Р. Басыров, С.Г. Басырова, Э.В. Мухаметзянова, О.С. Павлова, М.Д. Тикеев, О.Н. Туриянова, Л.Я. Юсупова; отв.ред. Д.П. Самородов. – Стерлитамак: Стерлитамакский филиал БашГУ, 2013. – 350 с.
- Павленко Н.И., Андреев И.Л., Федоров В.А. История России с древнейших времен до 1861 года: Учебник для студентов высших учебных заведений. – М., 2015.
- Пономарев М.В. История стран Европы и Америки в новейшее время: Учебник. – М., 2010. 416 с.
- Сафронов Б.В. Новейшая история стран Азии и Африки: учебник для вузов/Б.В. Сафронов Ю.И. Лосев. – второе изд. испр. и доп. – Москва: издательство ЮРАЙТ,2019 – 344 с. – (высшее образование).
- Сахаров, А.Н. Новейшая история России: учебник / А.Н. Сахаров, А.Н. Боханов, В.А. Шестаков; под ред. А.Н. Сахаров. - М.: Проспект, 2014. – 480 с. - ISBN 978-5-392-16394-6; То же [Электронный ресурс]. - URL: http://biblioclub.ru/index.php?page=book&id=251758 (дата обращения: 08.04.2025).
- Сафонов, А.А. Современная история: учебник для вузов / А.А. Сафонов, М.А. Сафонова. — 3-е изд., испр. и доп. — Москва: Издательство Юрайт, 2024. — 284 с. — (Высшее образование). — ISBN 978-5-534-16379-7. — Текст: электронный // Образовательная платформа Юрайт [сайт]. — URL: https://urait.ru/bcode/544570 (дата обращения: 08.04.2025);
- Сторожакова, Е.В. Методика обучения истории. Художественное слово на уроках истории: учебное пособие для вузов / Е. В. Сторожакова. — Москва: Издательство Юрайт, 2020. – 305 с. – (Высшее образование). [Электронный ресурс]. - URL: https://urait.ru/book/metodika-obucheniya-istorii-hudozhestvennoe-slovo-na-urokah-istorii-476649 (08.04.2025).
Математическое моделирование, численные методы и комплексы программ
ПРОГРАММА
вступительного испытания
для поступающих в магистратуру по направлению подготовки
01.04.02 «Прикладная математика и информатика»
программа (профиль)
«Математическое моделирование, численные методы и комплексы программ»
ОБЩИЕ ПОЛОЖЕНИЯ
Вступительные испытания предназначены для определения практической и теоретической подготовленности поступающего в магистратуру и проводятся с целью определения соответствия знаний умений и навыков требованиям обучения магистратуры по направлению подготовки 01.04.02 «Прикладная математика и информатика» (магистратура). Программа составлена в соответствии с требованиями федерального государственного образовательного стандарта высшего профессионального образования.
Вступительные испытания в магистратуру проводят экзаменационные комиссии, назначенные председателем приёмной комиссии УУНиТ.
ПРОЦЕДУРА ВСТУПИТЕЛЬНОГО ИСПЫТАНИЯ
Дата и время проведения вступительного испытания и консультации определяются расписанием вступительных испытаний, которое утверждается председателем приемной комиссии.
Перед вступительным испытанием для поступающих проводится консультация по содержанию программы испытания, критериям оценки, предъявляемым требованиям, правилам поведения на испытании.
Форма вступительного испытания (в соответствии Положением о вступительных испытаниях УУНИТ): устно-письменная.
Вступительные испытания в виде устного, устно-письменного, устного с элементами тестирования проводятся в соответствии с программами вступительных испытаний, утверждаемых председателем приемной комиссии.
Экзаменационные билеты включают два или три вопроса по направлению подготовки (по специальности).
В аудитории, где проводится вступительное испытание в устной форме, не может находиться одновременно более 6 человек. Нахождение в аудитории посторонних лиц не допускается.
Абитуриенту предоставляется право готовиться к ответу в течение 30 минут.
Абитуриенту предоставляется право ответа на экзаменационные вопросы в течение 20-25 минут.
В процессе сдачи вступительного испытания абитуриенту могут быть заданы дополнительные вопросы как по содержанию экзаменационного билета, так и по любым разделам предмета в пределах программы вступительного испытания.
Абитуриент, не согласный с оценкой, полученной на ВИ и (или) в связи с нарушением процедуры проведения ВИ имеет право подать апелляцию. Процедура подачи и рассмотрения апелляции регламентируется Положением об апелляционной комиссии УУНиТ.
КРИТЕРИИ ОЦЕНИВАНИЯ ОТВЕТА
Критериями оценки экзаменационного ответа, поступающего в магистратуру являются полнота, логичность, доказательность, прочность, осознанность знаний и теоретическая обоснованность суждений, самостоятельность в интерпретации информации, практическая направленность, уровень овладения профессиональными умениями менеджера и др. В случае тестирования является правильные ответы на тестовые задания.
Результаты вступительного испытания определяются по 100-балльной шкале, разброс баллов представлен ниже в таблице:
|
№ |
Критерии оценивания |
Оценка |
|
|
Дан полный развернутый ответ на теоретический вопрос:
|
85-100 баллов «отлично» |
|
|
Дан в целом правильный ответ на теоретический вопрос:
|
67-84 балла «хорошо» |
|
|
Дан в основном правильный ответ на теоретический вопрос:
|
50-66 баллов «удовлетворительно» |
|
|
Дан фрагментарный ответ или неправильный ответ на теоретический вопрос из предложенного тематического раздела:
|
0-49 баллов «неудовлетворительно» |
СОДЕРЖАНИЕ РАЗДЕЛОВ И ТЕМ ПРОГРАММЫ ВСТУПИТЕЛЬНОГО ИСПЫТАНИЯ
Алгебра и аналитическая геометрия
- Понятие линейного пространства. Определение линейной зависимости и независимости векторов. Размерность линейного пространства, базис, координаты вектора, формулы преобразования координат при переходе от одного базиса к другому. Линейные преобразования в n мерном пространстве. Матрица линейного преобразования и ее смысл.
- Собственные векторы и собственные числа линейного преобразования. Характеристический многочлен. Линейная независимость собственных векторов, отвечающих различным собственным значениям. Матрица линейного преобразования в базисе из собственных векторов. Понятие жордановой формы матрицы.
- Скалярное произведение и евклидовы пространства. Координатное представление скалярного произведения. Ортонормированный базис. Процесс ортогонализации.
- Понятие самосопряженного линейного преобразования. Свойства его собственных чисел и собственных векторов. Матрица самосопряженного линейного преобразования. Ортогональные преобразования. Матрица ортогонального преобразования. Ортогональные матрицы. Переход от одного ортонормированного базиса к другому.
- Билинейные и квадратичные формы. Приведение квадратичной формы к каноническому виду в ортонормированном базисе. Закон инерции для квадратичных форм. Понятие положительно определенной квадратичной формы. Критерий Сильвестра.
- Простейшие задачи аналитической геометрии. Аффинные координаты. Формулы преобразования координат. Уравнения линии и поверхности. Линейные образы на плоскости и в пространстве. Различные виды задания уравнений прямой и плоскости. Углы между прямыми и плоскостями. Условия параллельности и перпендикулярности прямой и плоскостей. Расстояния между точкой и прямой, точкой и плоскостью.
- Приведение уравнений линии и поверхности второго порядка к каноническому виду. Метод вращения. Метод Лагранжа. Классификация и исследование линий и поверхностей второго порядка.
Математический анализ
- Предел последовательности. Критерий Коши. Существование предела у монотонно возрастающей, ограниченной сверху последовательности. Теорема Больцано-Вейерштрасса.
- Числовые ряды. Критерий Коши сходимости числовых рядов. Признаки сходимости числовых рядов (признаки сравнения, признаки Даламбера и Коши, признак Лебница).
- Предел функции. Непрерывные функции. Свойства функций, непрерывных на отрезке (теорема Вейерштрасса об ограниченности и достижении точных верхней и нижней граней, теорема Коши о промежуточных значениях). Существование пределов у монотонных функций. Теорема о непрерывности функции, обратной к монотонной. Равномерная непрерывность функций. Теорема Кантора.
- Дифференцируемые функции одной и нескольких переменных. Производные и дифференциал. Формула Тейлора для функций одной и нескольких переменных. Ряды Тейлора. Элементарные функции. Экстремумы функций одной и нескольких переменных. Необходимые условия экстремума. Достаточные условия экстремума.
- Интеграл Римана. Необходимые и достаточные условия интегрируемости функции по Риману. Интегрируемость монотонной и непрерывной функций. Теорема о среднем. Формула Ньютона-Лейбница. Несобственные интегралы. Признаки сходимости несобственных интегралов. Признак Абеля-Дирихле. Понятие кратного интеграла по Риману. Сведение кратного интеграла к повторному. Замена переменных в кратных интегралах.
- Интегралы, зависящие от параметра. Равномерная сходимость несобственного интеграла, зависящего от параметра. Теоремы о непрерывности и дифференцируемости интегралов, зависящих от параметра.
- Функциональные последовательности и ряды. Равномерная сходимость. Критерий Коши равномерной сходимости. Признак Вейерштрасса. Непрерывность предела равномерно сходящейся последовательности функций. Теоремы о почленном интегрировании и дифференцировании функциональных рядов.
- Ряды Фурье по тригонометрической системе. Свойства коэффициентов Фурье. Сходимость рядов Фурье для кусочно-гладких функций и непрерывно-дифференцируемых функций.
Дифференциальные уравнения
- Методы интегрирования уравнений первого порядка (уравнения с разделяющимися переменными, однородные уравнения, линейные уравнения, уравнения в полных дифференциалах, уравнения Бернулли и Рикатти).
- Уравнения n-го порядка, методы понижения порядка.
- Линейные уравнения n-го порядка с переменными коэффициентами. Фундаментальная система решений однородного уравнения и ее существование. Определитель Вронского. Метод вариации произвольных постоянных.
- Линейные уравнения n-го порядка с постоянными коэффициентами.
- Теорема существования и единственности решения задачи Коши для уравнения первого порядка.
- Нормальные системы дифференциальных уравнений. Особые решения, особые точки систем дифференциальных уравнений. Классификация особых точек систем дифференциальных уравнений.
- Автономные системы. Положение равновесия. Фазовая плоскость и фазовые траектории. Классификация положений равновесия на плоскости. Понятие устойчивости положения равновесия по Ляпунову и асимптотической устойчивости. Теорема об устойчивости по первому приближению.
- Постановка краевых задач для обыкновенных дифференциальных уравнений. Формула Грина. Построение решения краевой задачи с помощью функции Грина.
Уравнения в частных производных
- Линейные дифференциальные уравнения в частных производных второго порядка. Приведение к каноническому виду в точке. Классификация уравнений.
- Понятие корректной начально-краевой задачи для уравнений в частных производных. Постановки начально-краевых задач для уравнений гиперболического, параболического и эллиптического типов.
- Задача Коши для волнового уравнения. Формула Даламбера в случае уравнения колебания струны. Непрерывная зависимость решений от начальных данных. Негладкие начальные данные, обобщенное решение. Задача Гурса, существование и единственность решения.
- Смешанная задача для уравнения колебания струны. Метод Фурье. Достаточные условия сходимости рядов (существование решения).
- Уравнения параболического типа. Задача о линейном распространении тепла. Интеграл Фурье. Решение задачи Коши по методу Фурье. Корректность постановки задачи Коши.
- Уравнения эллиптического типа. Уравнение Лапласа. Решение задачи Дирихле для круга по методу Фурье. Формула Пуассона. Свойства максимума и минимума. Корректность постановки задачи Дирихле. Теория потенциала. Применение теории потенциала к решению краевых задач.
Функциональный анализ
- Метрические пространства. Определение и примеры метрических пространств. Непрерывные отображения метрических пространств. Нормированные пространства. Линейные пространства. Изоморфные пространства. Линейная зависимость. Линейные операторы в нормированных пространствах.
- Мера открытых и замкнутых множеств на прямой. Множества, измеримые по Лебегу. Теоремы об измеримых множествах. Функции, измеримые по Лебегу, их свойства. Интеграл Лебега от ограниченной функции и его основные свойства. Предельный переход под знаком интеграла Лебега. Сравнение интегралов Римана и Лебега.
- Понятие функционала. Вариационная задача для функционалов. Необходимые условия слабого экстремума.
- Задачи, приводящие к интегральным уравнениям. Классификация интегральных уравнений. Уравнения Вольтера. Уравнения Фредгольма с вырожденным ядром. Метод последовательных приближений. Теоремы существования и единственности.
Теория вероятностей и математическая статистика
- Случайные события, пространство событий, алгебра событий. Классическое определение вероятности. Применение элементов комбинаторики к нахождению вероятности. Геометрические вероятности. Статистическое и аксиоматическое определение вероятности, свойства условных вероятностей. Независимость событий. Условная вероятность, свойства условной вероятности. Умножение и сложение вероятностей. Формула полной вероятности и формула Байеса. Приложения вероятности в естествознании и теории кодирования.
- Случайные величины. Закон распределения дискретной, случайной величины, ее числовые характеристики (математическое ожидание, дисперсия, среднее квадратичное отклонение), и их свойства. Биномиальное распределение и распределение Пуассона. Функция распределения и плотность вероятностей непрерывной, случайной величины, ее числовые характеристики. Равномерное и нормальное распределения.
- Генеральная совокупность и выборка. Случайность и репрезентативность выборки. Статистическое распределение выборки, его геометрическое изображение (полигон, гистограмма). Оценка параметров генеральной совокупности по ее выборке. Конечные оценки генеральной средней и генерального среднего квадратичного отклонения.
- Доверительные интервалы для параметров нормального распределения. Оценки истинного значения измеряемой величины и точности измерений. Задача об оценке независимой вероятности событий по частоте.Проверка статических гипотез. Понятие о критерии согласия c2.
- Эмпирические формулы. Метод наименьших квадратов. Уравнения прямолинейной регрессии. Коэффициенты регрессий. Коэффициент корреляции. Корреляция и регрессия.
Методы оптимизации
- Линейное программирование. Симплекс-метод. Теоремы двойственности.
- Выпуклое программирование. Теорема Куна-Таккера. Метод возможных направлений.
- Динамическое программирование. Принцип динамического программирования и максимума Понтрягина в математической теории оптимальных процессов.
Математическое моделирование
- Классификация математических моделей. Системный подход в научных исследованиях. Исследование математических моделей. Метод подобия. Принцип максимума. Теоремы сравнения, метод осреднения.
- Модели динамических систем. Практические задачи. Абстрактные модели и методы их анализа. Логистические уравнения. Проблема исследования динамических систем. Компьютерный анализ модели и результатов моделирования.
- Стохастические системы: основные понятия, определения и положения. Особенности стохастических систем и способы их анализа. Методы моделирования стохастических процессов. Метод Монте-Карло. Вероятностные модели теории информации.
Численные методы
- Элементы теории погрешностей. Абсолютная и относительная погрешности. Погрешность суммы, разности, произведения, частного. Определение относительной погрешности степени, корня, погрешности элементарных функций. Метод границ. Общая формула для погрешностей.
- Решение систем линейных уравнений. Точные и приближенные методы решения. Метод квадратного корня, Холецкого. Метод итерации. Оценка погрешности.
- Решение обыкновенных дифференциальных уравнений. Метод Пикара. Метод Эйлера. Семейство методов Рунге-Кутта.
- Основные понятия теории разностных схем. Сетки и сеточные функции. Аппроксимация. Оператор проектирования. Согласованность норм. Погрешность аппроксимации. Корректность разностной схемы. Сходимость разностной схемы.
- Сеточные методы решения уравнений в частных производных. Конечно-разностная аппроксимация уравнения Лапласа. Решение задачи Дирихле методом сеток. Аппроксимация краевой задачи уравнения теплопроводности. Метод сеток для уравнения гиперболического типа. Условия сходимости и устойчивости.
Вычислительные системы
- Физические основы вычислительных процессов.
- Общие принципы построения и архитектуры вычислительных машин. Персональные ЭВМ. Информационно-логические основы вычислительных машин. Системы счисления. Представление информации в ЭВМ. Арифметические и логические основы ЭВМ.
- Функциональная и структурная организация ЭВМ. Центральный процессор. Основная память. Периферийные устройства. Внешние ЗУ. Устройства ввода. Внешние устройства. Программное обеспечение. Внешние устройства. Программное обеспечение ЭВМ
- Тактико-технические данные. Многомашинные и многопроцессорные вычислительные системы. Типовые вычислительные структуры и их программное обеспечение.
Вычислительные сети
- Техническое и информационное обеспечение ВС. Программное обеспечение ВС. Архитектура ВС. Организация функционирования ВС (глобальных, региональных, локальных).
- Основные сведения о телекоммуникационных сетях. Коммутация в сетях и маршрутизация пакетов в сетях.
- Различные сети и технологии ТКС: Локальные вычислительные сети (ЛВС); Базовые сетевые технологии. Протоколы; Корпоративные вычислительные сети (КВС); Сети интранет. Глобальная вычислительная сеть (ГВС).
- Администрирование компьютерных сетей.
- Понятие эффективности функционирования телекоммуникационных вычислительных сетей и методология ее оценки. Показатели эффективности функционирования ТВС и пути ее повышения. Перспективы развития вычислительных систем и сетей.
Базы данных
- Трехуровневая архитектура проектирования. Модели данных. Подходы к построению инфологических моделей данных. Инфологическая модель данных "Сущность-связь". Язык инфологического моделирования (ЯИМ). Даталогические модели данных. Основные структуры баз данных. Физические модели.
- Основные понятия. Реляционные базы данных. Пример БД реляционной структуры. Реляционная алгебра. Манипулирование реляционными данными. Операции обработки кортежей. Операции обработки отношений. Реляционное исчисление. Языки манипулирования данными.
- Аномалии модификации данных. Нормальные формы. Пример нормализации. Денормализация отношений. Первичные и внешние ключи. Ссылочная целостность БД и каскадные воздействия. Понятие транзакций
- Объекты базы данных Access. Таблицы. Типы данных. Формы. Запросы. Отчеты. Макросы. Модули. Интеграция с приложениями MS Office (Word, Excel).
- Компоненты SQL (DDL, DML, DCL)
- Основные команды DDL (CREATE, ALTER, DROP )
- Основные команды DML (INSERT, UPDATE, DELETE)
- Общая форма оператора. Простейшая форма оператора SELECT. Объединение нескольких таблиц в запросе. Виды объединения. Группировка. Сортировка. Ограничение результирующих наборов. Использование вложенных запросов.
- Состав СУБД MySQL. Основные преимущества СУБД MySQL. Архитектура MySQL. Варианты подключения к серверу MySQL. Клиент mysql.
- Создание базы данных. Просмотр списка баз данных. Активизация базы данных. Создание таблиц. Типы данных столбцов таблицы, параметры столбцов. Задание ключей и индексов. Команды удаления таблиц и баз данных. Команда изменения структуры таблиц.
- Команды добавления и удаления записей. Команда выборки записей.
- Встроенные функции. Итоговые функции, вычисляемые поля. Строковые функции. Функции даты и времени
- Инструментальные средства для разработки и администрирования MySQL. PHPMyAdmin. Основные возможности
Проектирование информационных систем
- Классификация ИС. Типовые архитектуры ИС. Методология процесса создания ИС. Этапы создания ИС.
- Модели жизненного цикла ИС. Свойства моделей жизненного цикла. Стандарты, регламентирующие жизненный цикл ПО.
- Каноническое проектирование ИС. Состав и содержание технического задания (ГОСТ 34.602-89). Содержание технического проекта (ГОСТ 34.602-89). Типовое проектирование ИС. ISO/IEC 12207. Экстремальное программирование. Теория. Правила.
- Полная бизнес-модель компании. Шаблоны организационного бизнес-моделирования. Построение организационно-функциональной модели компании. Спецификация функциональных требований к ИС. Процессные потоковые модели. Основные элементы процессного подхода. Выделение и классификация процессов. Референтная модель бизнес-процесса. Проведение предпроектного обследования предприятий. Результаты предпроектного обследования
- Внемашинное информационное обеспечение. Внутримашинное информационное обеспечение. Моделирование информационного обеспечения. Моделирование данных. Создание логической модели данных. Проектирование хранилищ данных.
- Разработка модели бизнес - прецедентов. Разработка модели бизнес -объектов. Разработка концептуальной модели данных. Разработка требований к системе. Разработка моделей базы данных и приложений. Проектирование физической реализации системы
Программная инженерия
- История развития и роль дисциплины в современном мире. Основные понятия. Этапы разработки ПО. Понятие жизненного цикла. Модели и стандарты жизненного цикла ПО.
- Классификация, определение, анализ, спецификация и проверка требований к ПО. Стандарты.
- Основы проектирования. Ключевые вопросы проектирования. Архитектура ПО. Анализ качества архитектуры ПО. Нотации проектирования. Язык UML. Объектно-ориентированное проектирование. Шаблоны объектно-ориентированного проектирования.
- Основы конструирования. Минимизация сложности. Количественный анализ интерфейса.
- Основы тестирования. Уровни и техники тестирования. Измерение результатов. Процесс тестирования. Стандарты.
Проектирование и разработка Web-ресурсов
- Организация компьютерных сетей. Адресация в Internet. Архитектура. Серверы и клиенты WWW.
- Понятие протокола. Протоколы прикладного уровня.
- Основные понятия. URL. Всемирная паутина (WWW). Основные сервисы сети Internet. Система доменных имен DNS.
- Структура HTML-документа. Общие атрибуты элементов HTML. Теги заголовка документа. Теги тела документа. Блочные и строчные элементы разметки. Работа с текстом. Заголовки и абзацы. Списки: нумерованные, маркированные. Объекты HTML-документов.
- Типы файлов иллюстраций. Управление размещением иллюстрации и обтеканием текста. Вставка объектов. Карты ссылок. Создание гиперссылок. Понятие внешней и внутренней ссылки. Способы указания источника файла для ссылок и иллюстраций: абсолютный, относительный, URL.
- Таблицы — основное средство для управления расположением материалов в современном HTML. Основные теги создания таблиц. Основные атрибуты таблиц, строк, ячеек. Логическое форматирование фрагментов таблиц. Объединение ячеек.
- Элементы форм. Типы управляющих элементов. Ввод данных: элемент INPUT. Меню. Многострочный текст. Кнопки. Группы управляющих элементов. Правила работы с формами.
- Особенности синтаксиса языка JavaScript. Типы данных, литералы.
- Интерфейс CGI и HTTP. Web сервер. Сервер баз данных. Основы языка PHP.
Программирование
- Языки программирования и их классификация. Методы и средства разработки, тестирования и отладки программ на языках высокого уровня. Парадигмы программирования: процедурное, структурное, модульное и объектно-ориентированное программирование.
- Общая характеристика платформы .NET. Компонентное программирование в .NET. Архитектура и состав .NET Framework. Microsoft Visual Studio .NET как единая визуальная среда для создания .NETприложений.
- Типы данных. Описания констант, переменных, типов. Стандартные типы данных: целый, вещественный, символьный, логический, их представление в памяти. Выражения, операции. Стандартные функции. Присваивание. Ввод-вывод данных.
- Запись базовых структур алгоритма на языке программирования. Условный оператор. Составной оператор. Операторы циклов с предусловием и с постусловием. Цикл с параметром. Программирование структурированных алгоритмов.
- Основные понятия объектно-ориентированного программирования (ООП). Синтаксические особенности объектно-ориентированных языков программирования.
- Технология и среды визуального программирования. Форма и основные элементы управления. Разработка пользовательского интерфейса.
- Описание подпрограмм. Методы. Процедуры и функции. Способы передачи параметров по ссылке и значению. Использование библиотечных программ. Рекурсия.
- Данные и алгоритмы. Методы и средства представления и реализации основных структур данных. Массивы. Коллекции. Строки. Структуры. Файлы.
Демоверсия экзаменационного варианта
Образец экзаменационного билета
|
МИНОБРНАУКИ РФ ФЕДЕРАЛЬНОЕ ГОСУДАРСТВЕННОЕ БЮДЖЕТНОЕ ОБРАЗОВАТЕЛЬНОЕ УЧРЕЖДЕНИЕ ВЫСШЕГО ОБРАЗОВАНИЯ «УФИМСКИЙ УНИВЕРСИТЕТ НАУКИ И ТЕХНОЛОГИЙ» БИРСКИЙ ФИЛИАЛ УУНиТ Кафедра высшей математики и физики |
|
|
Вступительные испытания |
Направление 01.04.02 Прикладная математика и информатика Профиль: Направленность (профиль) "Математическое моделирование, численные методы и комплексы программ" |
|
Экзаменационный билет № 1
|
|
|
Заведующий кафедрой |
______________________________ |
СПИСОК ЛИТЕРАТУРЫ
Алгебра и аналитическая геометрия
- Беклемишев Д.В. Курс аналитической геометрии и линейной алгебры. – М: Физматлит, 2002.
- Беклемишева Л.А., Петрович А.Ю., Чубаров И.А. Сборник задач по аналитической геометрии и линейной алгебре. – М: Физматлит, 2006.
- Ефимов Н.В.Краткий курс аналитической геометрии-13 изд-М.:ФИЗМАТЛИТ.2006.-240с.Гриф.
Математический анализ
- Ильин В.А., Садовничий В.А., Сендов Бл.Х. Математический анализ, ч. 1, М.: Наука. 1979. М.: МГУ. 1985. М.: Проспект. 2004
- Ильин В.А., Куркина А.В. Высшая математика, М.. Проспект, 2004.
- Демидович Б.П. Сборник задач по математическому анализу, М., Наука, 1990 и последующие издания.
- Виноградова И.А., Олехник С.Н . Садовничий В.А., Задачи и упражнения по математическому анализу, книга 1. - М.: Высшая школа. 2000.
- Виноградова И.А., Олехник С.Н . Садовничий В.А., Задачи и упражнения по математическому анализу, книга 2. - М.: Высшая школа. 2000.
Дифференциальные уравнения
- Петровский И.Г. Лекции по теории обыкновенных дифференциальных уравнений. МГУ им. Ломоносова, 2009. 240 с.
- Пушкарь Е.А. Дифференциальные уравнения. Учебное пособие. М.:МГИУ, 2008. 254 с.
- Матвеев Н.М. Сборник задач и упражнений по обыкновенным дифференциальным уравнениям: Учеб.пособ./Н.М.Матвеев.-7е изд., доп.-СПб.:Лань,2002.-431с.-(Учебники для вузов.Специальная литература).
- Филиппов А.Ф. Сборник задач по дифференциальным уравнениям/А. Ф. Филиппов.-М: Ижевск:R&C:РХД,2005.-175с.
Теория функций комплексного переменного
- Лаврентьев М.А. Методы теории функций комплексного переменного/ М.А. Лаврентьев, Б.В.Шабат. - 6-е изд. стереотип. - СПб.: Лань, 2002 . - 688с.
Уравнения в частных производных
1.Сабитов К.Б.Уравнения математической физики. - М.:Высш.шк.,2003.-255с
2. Тихонов А.Н., Самарский А.А Уравнения математической физики. - М. Наука,1962.-724с.
Функциональный анализ
- Гельфанд И.М., Шилов Г.Е. Обобщенные функции и действия над ними. – М.: Добросвет, 2000. – 412с.
- Колмогоров А. Н., Фомин С. В. Элементы теории функций и функционального анализа. –М.: ФИЗМАТЛИТ, 2006. – 572 с.
- Лебедев В. И. Функциональный анализ и вычислительная математика.: Учебное пособие. – 4-е издание, перераб. и доп. – М.: ФИЗМАТЛИТ, 2000. – 296 с.
- Треногин В.А. Функциональный анализ: Учебник для вузов. – М.: ФИЗМАТЛИТ, 2002. – 488с.
Теория вероятностей и математическая статистика
- Бородин А.Н. Элементарный курс теории вероятностей и математической статистики. –Спб: Лань, 2002
- Вентцель Е.С. Теория вероятностей. -2003.
- Михайлов Г.А.Войтишек А.В.Численное статистическое моделирование.Методы Монте-Карло:Учеб.пособ.-М:Изд. Центр»Академия»,2006-368с.Гриф
Методы оптимизации
- Пантелеев А.В.Методы оптимизации в примерах и задачах:Учеб. пособ.-М.:Высш . шк.,2008.-544с.
- Пантелеев А.В.Вариационное исчисление в примерах и задачах:Учеб.пособ.-М.:Высш.шк.,2006.-272с.
Математическое моделирование
- Назаров Н.Г. Метромегия. Основные понятия математической модели. Уч. пособие.-М.: Высшая школа, 2002
- Самарский А.А., Михайлов И.М. Математическое моделирование. –М.: Наука, 2001.
- Бешенков С.А.Моделирование и формализация. Метод.пособие. -М.: Лабор.Базов.Знаницй.2002
- Краснощеков П.С., Петров А.А. Принципы построения моделей. - М.: Фазис, 2000.
- Павловский Ю.Н. Имитационные модели и системы. - М.: Фазис, 2000.
- Михайлов Г.А.Войтишек А.В.Численное статистическое моделирование. Методы Монте-Карло:Учеб.пособ.-М:Изд. Центр»Академия»,2006. -368 с.
Численные методы
- Лапчик М.П., Рагулина М.И., Хеннер Е.К. Численные методы.-М.: ”Академия”, 2004.
- Костомаров Д.П.Фаворский А.П. Вводные лекции по численным методам:Учеб пособ.-М.:Логос,2004-184с.
- Лапчик М.П.Численые методы:Учеб. пособ. для вузов./М.П.Лапчик,М.И.Рагулина ,Хеннер Е.К.-М.:Изд. «Академия»,2005.-384с.
- Алиев В. Практикум по бизнес - планированию с использованием программы ProjectExpert / В. С. Алиев. - 2-е изд., перераб. и доп. – М: ИНФРА-М, 2010. (16 экз.).
- Андрейчиков А .В. Андрейчикова О.Н. Интеллектуальные информационные системы: Учебник. - М.: Финансы и статистика, 2004. - 424 с.
- Васильев Г. А. Электронный бизнес и реклама в Интернете: учеб. пособие / Г. А. Васильев, Д. А. Забегалин. – М.: ЮНИТИ, 2008. .
- Вендров А.М. Практикум по проектированию программного обеспечения экономических информационных систем: учебное пособие для вузов по спец. 351400 "Прикладная информатика в экономике", 351500 "Математическое обеспечение и администрирование информационных систем. – 190 с. .
- Вендров А.М. Проектирование программного обеспечения экономических информационных систем: Учеб. для вузов по спец. "Прикладная информатика (по областям)" и "Прикладная математика и информатика". – 2005. - 543 с.
- Виханский О.С., Наумов А.И. Менеджмент. - М., 2002. – 281 с. .
- Голенищев Э.П. Информационное обеспечение систем управления / Э. П. Голенищев, И. В. Клименко. – Ростов-на-Дону: Феникс, 2003. – 350 с.
- Галатенко В.А. Стандарты информационной безопасности: курс лекций ./ В. А. Галатенко ; под ред. В. Б. Бетелина, 2006. – 262 с. .
- Гусаров В. М. Статистика: учебное пособие для вузов. - М.: Юнити, 2003. – 457 с.
- Данилов Н.Н. Курс математической экономики. / Н. Н. Данилов, 2006. – 406 с.
- Информационные технологии в экономике/ Л. Н. Панасюк и др.; под ред. Ю. Ф. Симонова. - Ростов-на-Дону : Феникс, 2003. – 345 с.
- Колемаев В.А. Математическая экономика. / В. А. Колемаев. - 3-е изд., стер. –М.: ЮНИТИ, 2005.
- Костров А.В. Основы информационного менеджмента: Уч. пособие. - М.: Финансы и статистика, 2004. - 336 с.
- Макроэкономика: учеб. / В. М. Гальперин, П. И. Гребенников, А.И. Леусский, Л. С. Тарасевич ; Общ. ред. Л. С. Тарасевича ; СПб: Экон. шк., 1994. - 398 с.
- Максимов Н. В. Компьютерные сети: учебное пособие / Н.В. Максимов, И. И. Попов. – М.: Инфра-М : Форум, 2005.
- Мельников В.П. Информационная безопасность: учеб.пособие / В. П. Мельников, С. А. Клейменов, А. М. Петраков ; под ред. С. А. Клейменова, 2005. – 331 с.
- Микроэкономика: Теория и российская практика : / О. В. Карамова и др.; под ред. А. Г. Грязновой и А. Ю. Юданова. - Изд. 4-е, испр. и доп. - Москва : КНОРУС, 2004. - 587 с.
- Сафрончук М.В. Микроэкономика: / М. В. Сафрончук. - 2-е изд., стер. - Москва : КноРус, 2009. – 246 с.
- Мишенин А.И. Теория экономических информационных систем.- М.: Финансы и статистика, 2002. – 237 с.
- Моисеев С. Р. Макроэкономика: / С. Р. Моисеев. – М.: КноРус, 2008. - 320 с.
- Орлова И. В. Экономико-математические методы и модели: компьютерное моделирование / И. В. Орлова, В. А. Половников. - 2-е изд., испр. и доп. – М.: ИНФРА-М, 2011. - 364 с.
- Партыка Т. Л. Операционные системы, среды и оболочки: учебное пособие по спец. информатики и вычислительной техники / Т. Л. Партыка, И. И. Попов. – М.: ИНФРА-М, 2005. - 399 с.
- Пескова С.А. Сети и телекоммуникации. / С. А. Пескова, А. В. Кузин, А. Н. Волков, 2006. - 349 с.
- Пятибратов А.П. Вычислительные системы, сети и телекоммуникации.: Учебник. – М.: Финансы и статистика, 2005. – 497 с.
- Рудакова, Ольга Степановна. Банковские электронные услуги [Текст] : учебное пособие / О. С. Рудакова. – М: ИНФРА-М, 2011.
- Рыжиков Ю. Имитационное моделирование. Теория и технологии. СПб.: Корона, 2004. - 384 с.
- Хомоненко А.Д., Цыганков В.М., Мальцев М.Г. Базы данных: Уч. для вузов.-СПб.: Корона-принт, 2004. – 736 с.
- Хорошилов А. В. Управление информационными ресурсами / А.В. Хорошилов, С.Н. Селетков, Н.В. Днепровская; под ред. А.В. Хорошилова. - Москва : Финансы и статистика, 2006. – 269 с.
- Юдицкий С.А. Основы предпроектного анализа организационных систем. / С. А. Юдицкий, П. Н. Владиславлев, 2005. - 142 с.
- Excel для экономистов и менеджеров : экономические расчёты и оптимизационное моделирование в среде Excel / А. Г. Дубина, С. С. Орлова, И. Ю. Шубина, А. В. Хромов, 2004. - 294 с.
